Agronomic and Economic Evaluation of Autumn Planted Sugarcane under Different Planting Patterns with Lentil Intercropping
Abstract
1. Introduction
2. Materials and Methods
2.1. Site and Soil
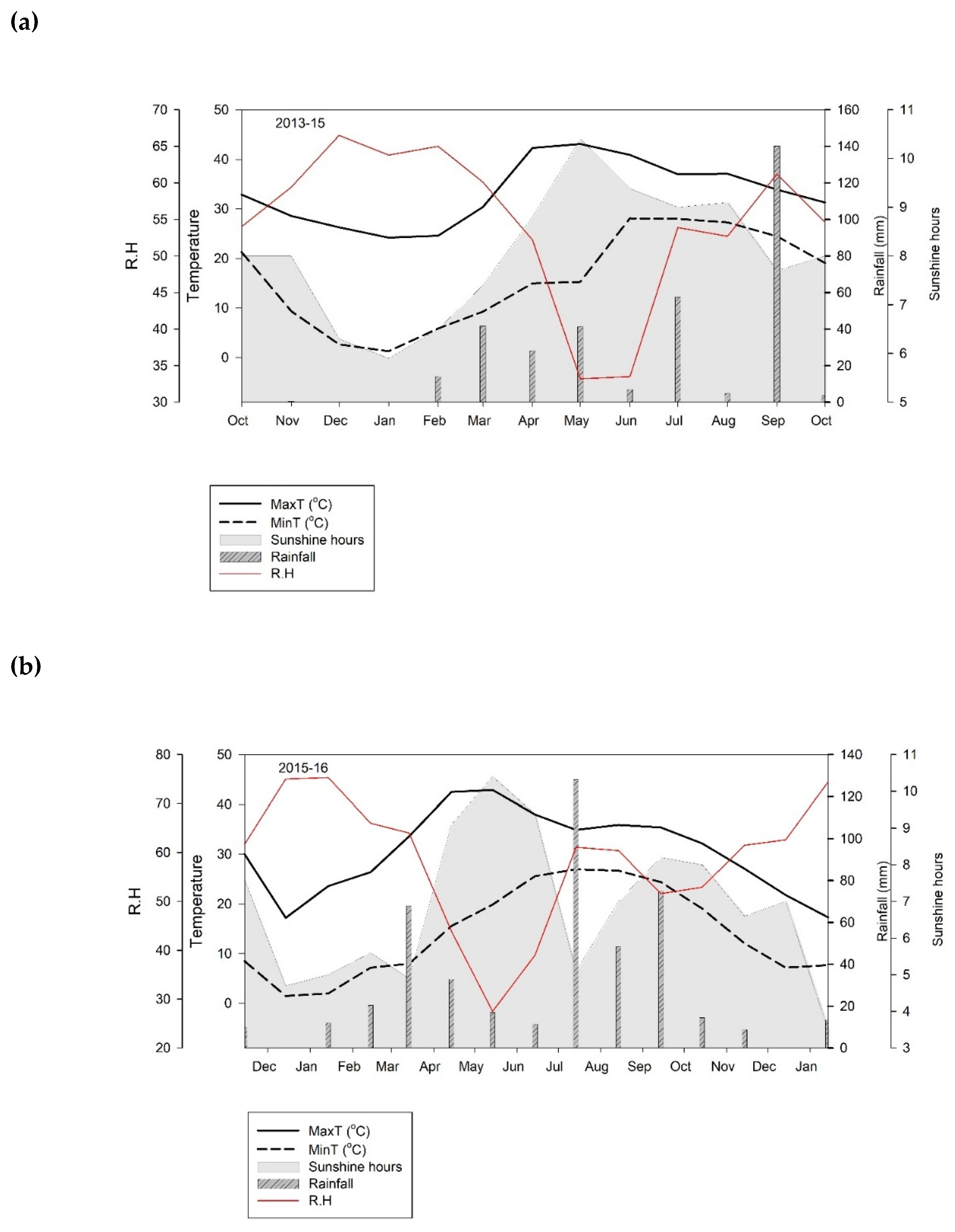
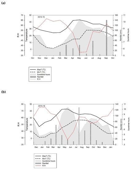
2.2. Meteorological Data
2.3. Experimental Design and Treatments
2.4. Crop Husbandry
2.5. Observations
2.6. Economic Analysis
2.7. Statistical Analysis
3. Results
3.1. Sugarcane Growth
3.2. Sugarcane Yield and Yield Components
3.3. Lentil Yield
3.4. Economic Analysis
4. Discussion
Author Contributions
Conflicts of Interest
References
- GOP. Economic Survey of Pakistan 2017–2018; Ministry of Food Agriculture and Livestock, Federal Bureau of Statistics: Islamabad, Pakistan, 2018.
- FAO. Statistical Database. Food and Agriculture Organization (FAO). 2012. Available online: www.faostat.fao.org (accessed on 15 December 2019).
- Majid, A. Sugarcane variety composition in Pakistan. Pak. Sugar J. 2007, 22, 2–21. [Google Scholar]
- Nazir, A.; Jariko, G.A.; Junejo, M.A. Factors affecting sugarcane production in Pakistan. Pak. J. Commer. Soc. Sci. 2013, 7, 89–95. [Google Scholar]
- Bashir, S.; Saeed, M. Biomass production and partitioning in sugarcane genotype SPSG 394 as influenced by planting pattern and seeding density. J. Agric. Res. 2000, 36, 129–137. [Google Scholar]
- Mahmood, A.; Ishfaq, M.; Iqbal, J.; Nazir, M.S. Agronomic performance and juice quality of autumn planted sugarcane (Saccharum officinarum L.) as affected by flat, ditch and pit planting under different spatial arrangements. Int. J. Agric. Biol. 2007, 9, 167–169. [Google Scholar]
- Ehsanullah; Jabran, K.; Jamil, M.; Ghaffar, A. Optimizing the sugarcane row spacing and seeding density to improve its yield and quality. Crop Environ. 2011, 2, 1–5. [Google Scholar]
- Maqsood, M.; Iqbal, M.; Tayyab, M. Comparative productivity performance of sugarcane (Saccharum officinarum L.) sown in different planting patterns at farmer’s field. Pak. J. Agric. Sci. 2005, 42, 25–28. [Google Scholar]
- Zafar, M.; Tanveer, A.; Cheema, Z.A.; Ashraf, M. Weed-crop competition effects on growth and yield of sugarcane planted using two methods. Pak. J. Bot. 2010, 42, 815–823. [Google Scholar]
- Ghaffar, A.; Ehsanullah, N.A.; Khan, S.H. Influence of zinc and iron on yield and quality of sugarcane planted under various trench spacing. Pak J. Agric. Sci. 2011, 48, 25–33. [Google Scholar]
- Singh, N.; Jain, J.L.; Singh, D.K. Impact of planting techniques on sugarcane and sugar productivity at Harinagar, Bihar. Indian Sugar Technol. 2009, 59, 19–22. [Google Scholar]
- Sureka, B.K.; Shahi, V.P.; Singh, I.S.; Singh, N. Ring pit planting technique of sugarcane adopted to increase cane productivity at Bharat sugar mills, Sidhwalia, Gopalganj Bihar. Indian Sugar 2009, 59, 69–74. [Google Scholar]
- Chand, M.; Khippal, A.; Singh, S.; Lal, R.; Singh, R. Effect of planting material and seed rate in pit planted sugarcane (Saccharum spp. hybrid complex) in sub-tropical India. Indian J. Agron. 2011, 56, 78–82. [Google Scholar]
- Chattha, M.U.; Ehsanullah. Agro-quantitative and qualitative performance of different cultivars and strains of sugarcane (Saccharum officinarum L.). Pak. Sugar J. 2003, 18, 2–5. [Google Scholar]
- Akhtar, M.; Ashraf, M.; Akhtar, M.E. Sugarcane yield gap analysis: Future options for Pakistan. Sci. Technol. Dev. 2003, 1, 38–48. [Google Scholar]
- Yadav, R.L. Sugarcane Production Technology; Constraints and Potentialities; Oxford and IBH Publishing Co. (Pvt.) Ltd.: Bombay, India, 1991; p. 204. [Google Scholar]
- Rehman, A.; Ehsanullah. Increasing Yield of Ratoon Sugarcane. 2008. Available online: http://www.dawn.com/news/296976/increasing-yield-of-ratoon-sugarcane (accessed on 22 December 2019).
- Malik, K.B.; Ali, F.G.; Khaliq, A. Effect of plant population and row spacing on cane yield of spring-planted cane. J. Agric. Res. 1996, 34, 389–395. [Google Scholar]
- Eskandari, H.; Ghanbari, A. Environmental resource consumption in wheat and bean intercropping: Comparison of nutrient uptake and light interception. Not. Sci. Biol. 2010, 2, 100–103. [Google Scholar] [CrossRef]
- Imran, M.; Ali, A.; Waseem, M.; Tahir, M.; Mohsin, A.U.; Shehzad, M.; Ghaffari, A.; Rehman, H. Bio-economic assessment of sunflower mungbean intercropping system at different planting geometry. Int. Res. J. Agric. Sci. 2011, 1, 126–136. [Google Scholar]
- Alizadeh, K.; Silva, J.A.T. Mix cropping of annual feed legumes with barley improves feed quantity and crude protein content under dry land conditions in Iran. Maejo Int. J. Sci. Technol. 2013, 7, 42–47. [Google Scholar]
- Akhtar, M.; Yaqub, M.; Iqbal, Z.; Ashraf, M.Y.; Akhter, J.; Hussain, F. Improvement in yield and nutrient uptake by co-cropping of wheat and chickpea. Pak. J. Bot. 2010, 42, 4043–4049. [Google Scholar]
- Pawar, M.W.; More, D.B.; Amodkar, V.T.; Joshi, S. Effect of inter-settling spacing on sugarcane yield and quality. Sugar Technol. 2005, 7, 87–89. [Google Scholar] [CrossRef]
- Rana, N.S.; Kumar, S.; Saini, S.K.; Panwar, G.S. Production potential of autumn sugarcane-based intercropping systems as influenced by intercrops and row spacing. Indian J. Agron. 2006, 51, 31–33. [Google Scholar]
- Hunt, R. Plant Growth Analysis; Academic Division of Unwin Hyman Ltd.: Edward Arnold, UK, 1978; pp. 26–38. [Google Scholar]
- Spancer, G.L.; Meade, G.P. Cane Sugar Hand Book, 9th ed.; John Wiley and Sons, Inc.: New York, NY, USA, 1963; p. 17. [Google Scholar]
- Willey, R.W. Intercropping, its importance and research needs. Agron. J. 1979, 71, 115–119. [Google Scholar]
- CIMMYT. From Agronomic Data to Farmers Recommendations: An Economics Training Manual; CIMMYT: Mexico City, Mexico, 1988. [Google Scholar]
- Steel, R.G.D.; Torrie, J.H.; Dicky, D.A. Principles and Procedures of Statistics, A Biometrical Approach, 3rd ed.; McGraw Hill, Inc. Book Co.: New York, NY, USA, 1996. [Google Scholar]
- Li, X.; Mu, Y.; Cheng, Y.; Liu, X.; Nian, H. Effects of intercropping sugarcane and soybean on growth, rhizosphere soil microbes, nitrogen and phosphorus availability. Acta Physiol. Plant. 2013, 35, 1113–1119. [Google Scholar] [CrossRef]
- Yang, W.; Li, Z.; Wang, J.; Wu, P.; Zhang, Y. Crop yield, nitrogen acquisition and sugarcane quality as affected by interspecific competition and nitrogen application. Field Crops Res. 2013, 146, 44–50. [Google Scholar] [CrossRef]
- Mendoza, T.C. Light interception and total biomass productivity in sugarcane intercropping. Philipp. J. Crop Sci. 1986, 11, 181–187. [Google Scholar]
- Gill, M.B. Physio-Agronomic Studies on Flat Versus Pit Plantation of Autumn and Spring Sugarcane (Saccharum officinarum L.). Ph.D. Thesis, Department of Agronomy, University of Agriculture, Faisalabad, Pakistan, 1995; pp. 41–89. [Google Scholar]
- Ahmad, I. Bio-Economic Efficiency of Spring-Planted Sugarcane as Influenced by Spatial Arrangement and Nutrient Management. Ph.D. Thesis, Department of Agronomy, University of Agriculture, Faisalabad, Pakistan, 2002. [Google Scholar]
- Pammenter, N.W.; Allison, J.C.S. Effects of treatments potentially influencing the supply of assimilate on its partitioning in sugarcane. Exp. Bot. 2002, 53, 123–129. [Google Scholar] [CrossRef]
- Ahmad, R. Studies on Geometry of Planting Autumn Sugarcane Facilitating Intercropping of Wheat and Berseem. Master’s Thesis, Department of Agronomy, University of Agriculture, Faisalabad, Pakistan, 1982. [Google Scholar]
- Bukhtiar, B.A.; Muhammad, G. Feasibility of companion cropping with autumn planted cane. Pak. J. Agric. Res. 1988, 9, 294–299. [Google Scholar]
- Khan, A.A.; Khan, M.A.; Khan, Q. Economic analysis of sugarcane (Saccharum officinarum L.) intercropping with canola (Brassica napus L.). Pak. J. Agric. Sci. 2012, 49, 589–592. [Google Scholar]
- Roodagi, L.I.; Itnal, C.J.; Karabantanal, S.S.; Rachappa, V. Influence of planting systems and intercross on sugarcane tillering and yield. Indian Sugar 2001, 51, 159–163. [Google Scholar]
- Chogatapur, S.V.; Deepa, G.S.; Chandranath, H.T. Review on Intercropping in Sugarcane (Saccharum officinarum L.). Int. J. Pure Appl. Biosci. 2017, 5, 319–323. [Google Scholar] [CrossRef]
- Chattha, M.U. Studies on Growth, Yield and Quality of Sugarcane (Saccharum officinarum L.) under Different Planting Techniques, Irrigation Methods, Water Levels and Mulch Types. Ph.D. Thesis, Department of Agronomy, University of Agriculture, Faisalabad, Pakistan, 2007. [Google Scholar]
- Gascho, G.T.; Shih, S.F. Cultural methods to increase sucrose and energy yield of sugarcane. Agron. J. 1981, 73, 999–1003. [Google Scholar] [CrossRef]
- Domini, M.E.; Plana, R. Effect of planting density on sugarcane stalk growth and yield. Cultiaos Trop. 1989, 11, 67–73. [Google Scholar]
- Raskar, B.S.; Bhoi, P.G. Response of sugarcane to planting materials, intra-row spacings and fertilizer levels under drip irrigation. Indian Sugar J. 2003, 53, 685–690. [Google Scholar]
- Aziz, K. Ratooning Potential of Autumn Sugarcane as Affected by Pit and Flat Planting. Master’s Thesis, Department of Agronomy, University of Agriculture, Faisalabad, Pakistan, 1991. [Google Scholar]
- Nazir, M.S.; Jabbar, A.; Ahmad, I.; Nawaz, S.; Bhatti, I.H. Production Potential and Economics of Intercropping in Autumn-Planted Sugarcane. Int. J. Agric. Biol. 2001, 4, 140–142. [Google Scholar]
- Fareed, G. Effect of Associated Culture and Planting Geometry on the Yield and Quality of Autumn Sugarcane. Master’s Thesis, Department of Agronomy, University of Agriculture, Faisalabad, Pakistan, 1990. [Google Scholar]
- Kumar, S.; Angiras, N.N.; Singh, R. Effect of planting and weed control methods on weed growth and seed yield of Black gram. Indian J. Weed Sci. 2006, 38, 73–76. [Google Scholar]
- Chattha, M.U.; Ali, A.; Bilal, M. Influence of planting techniques on growth and yield of spring planted sugarcane (Saccharum officinarum L.). Pak. J. Agric. Sci. 2007, 44, 452–455. [Google Scholar]
- Devi, C.; Rao, K.L.; Raju, D.V.M. The effect of row spacing and nitrogen on yield and quality of early maturing sugarcane cultivars. Indian Sugar 1990, 40, 541–544. [Google Scholar]
- Bhatti, I.H. Agro-Physiological Studies on Sesame-Legume Intercropping Systems in Different Geometric Arrangements. Ph.D. Thesis, Department of Agronomy, University of Agriculture, Faisalabad, Pakistan, 2005. [Google Scholar]
- Patrick, M.C.; Gardner, J.C.; Schatz, B.G.; Zwinger, S.W.; Guldan, S.J. Grain yield and weed biomass of wheat-lentil intercrop. Agron. J. 1995, 87, 574–579. [Google Scholar]
- Saleem, K. Effect on Some Legume and Non-Legume Associated Cultures on Growth and Yield of Lentil. Master’s Thesis, Department of Agronomy, University of Agriculture, Faisalabad, Pakistan, 1991. [Google Scholar]
- Ehsanullah. Agro-Economic Studies on Various Sugarcane Based Intercropping Systems. Ph.D. Thesis, Department of Agronomy, University of Agriculture, Faisalabad, Pakistan, 1995. [Google Scholar]








| Soil Characteristics | 2013–2015 | 2015–2016 |
|---|---|---|
| A. Physical characteristics | ||
| Sand % | 63.12 | 61.85 |
| Silt % | 19.75 | 16.39 |
| Clay % | 19.29 | 20.95 |
| B. Chemical analysis | ||
| pH | 7.80 | 7.85 |
| ECe (dSm−1) | 1.21 | 1.19 |
| Organic matter (%) | 0.79 | 0.80 |
| Available N (%) | 0.041 | 0.043 |
| Available Phosphorus P2O5 (ppm) | 6.99 | 6.88 |
| Available Potassium K2O (ppm) | 140 | 135 |
| Planting Methods (P) | Number of Millable Canes/m2 | Plant Height (cm) | Cane Length (cm) | |||
|---|---|---|---|---|---|---|
| Sugarcane Alone (I0) | Sugarcane + Lentil (I1) | Sugarcane Alone (I0) | Sugarcane + Lentil (I1) | Sugarcane Alone (I0) | Sugarcane + Lentil (I1) | |
| Plant crop | ||||||
| P1: 45 cm pits with 90 cm diameter | 19.00 a | 17.50 ab | 367.17 cde | 367.92 b–e | 240.28 b–e | 236.86 c–f |
| P2: 60 cm pits with 90 cm diameter | 16.00 b–e | 14.75 e | 370.78 bcd | 364.99 c–f | 243.67 bcd | 237.62 b–f |
| P3: 75 cm pits with 90 cm diameter | 15.25 cde | 14.25 ef | 369.16 bcd | 366.28 cde | 246.45 bc | 242.42 bcd |
| P4: 90 cm pits with 90 cm diameter | 15.00 de | 13.75 efg | 381.11 a | 369.65 bcd | 259.51 a | 250.60 ab |
| P5: 60 cm single row planting | 11.75 gh | 11.25 h | 356.19 f | 359.94 ef | 225.75 fg | 222.00 g |
| P6: 90 cm double row planting | 12.00 fgh | 11.50 h | 364.49 def | 361.74 def | 232.15 d–g | 228.15 efg |
| P7: Trench planting at 120 cm | 17.50 ab | 17.00 a–d | 376.52 ab | 374.44 abc | 251.46 ab | 247.26 abc |
| Mean | 15.21 A | 14.28 B | 370.10 A | 365.67 B | 242.75 A | 287.84 B |
| Ratoon crop | ||||||
| P1: 45 cm pits with 90 cm diameter | 15.75 a | 14.50 ab | 322.39 b–e | 320.64 b–e | 216.31 a–e | 208.55 def |
| P2: 60 cm pits with 90 cm diameter | 13.00 b–e | 12.00 c–g | 324.34 a–d | 321.84 b–e | 217.37 a–d | 209.37 c–f |
| P3: 75 cm pits with 90 cm diameter | 12.75 b–f | 11.50 d–i | 325.88 abc | 322.63 b–e | 219.67 abc | 214.17 b–e |
| P4: 90 cm pits with 90 cm diameter | 12.50 c–g | 11.00 f–i | 326.10 ab | 323.02 a–e | 225.76 a | 222.69 ab |
| P5: 60 cm single row planting | 10.50 ghi | 9.75 h | 318.44 de | 316.44 e | 202.00 f | 200.50 f |
| P6: 90 cm double row planting | 11.00 e–i | 10.25 hi | 320.49 b–e | 318.74 cde | 207.07 ef | 205.90 ef |
| P7: Trench planting at 120 cm | 13.50 bc | 13.50 bcd | 330.20 a | 323.41 a–e | 224.80 a | 221.51 ab |
| Mean | 12.75 A | 11.78 B | 323.98 A | 320.96 B | 216.14 A | 211.81 B |
| Planting Methods (P) | Cane Diameter (cm) | Stripped Cane Yield (t/ha) | Total Sugar Yield (t/ha) | |||
|---|---|---|---|---|---|---|
| Sugarcane Alone (I0) | Sugarcane + Lentil (I1) | Sugarcane Alone (I0) | Sugarcane + Lentil (I1) | Sugarcane Alone (I0) | Sugarcane + Lentil (I1) | |
| Plant crop | ||||||
| P1: 45 cm pits with 90 cm diameter | 2.40 ab | 2.36 ab | 142.88 b | 140.50 bc | 19.11 b | 18.83 bc |
| P2: 60 cm pits with 90 cm diameter | 2.44 ab | 2.39 ab | 137.00 bc | 136.61 c | 18.44 c | 18.27 c |
| P3: 75 cm pits with 90 cm diameter | 2.45 ab | 2.41 ab | 124.49 d | 123.03 d | 17.64 d | 16.28 e |
| P4: 90 cm pits with 90 cm diameter | 2.51 ab | 2.49 ab | 115.97 e | 115.50 e | 15.64 f | 15.35 f |
| P5: 60 cm single rows planting | 2.32 ab | 2.28 b | 99.49 g | 95.32 g | 13.40 h | 12.70 i |
| P6: 90 cm double rows planting | 2.37 ab | 2.34 ab | 108.45 f | 98.05 g | 14.54 g | 13.19 hi |
| P7: Trench planting at 120 cm | 2.54 a | 2.52 a | 154.36 a | 153.10 a | 20.62 a | 20.50 a |
| Mean | 2.43 | 2.39 | 126.09 A | 123.09 B | 17.06 A | 16.44 B |
| Ratoon crop | ||||||
| P1: 45 cm pits with 90 cm diameter | 2.29 a–e | 2.23 de | 122.03 b | 121.85 b | 16.89 b | 16.84 b |
| P2: 60 cm pits with 90 cm diameter | 2.32 a–d | 2.24 cde | 116.28 c | 115.98 cd | 16.02 c | 16.00 c |
| P3: 75 cm pits with 90 cm diameter | 2.33 abc | 2.25 b–e | 111.73 de | 110.78 ef | 15.24 de | 15.28 d |
| P4: 90 cm pits with 90 cm diameter | 2.35 ab | 2.27 b–e | 107.84 ef | 106.84 f | 14.79 f | 14.80 ef |
| P5: 60 cm single row planting | 2.26 b–e | 2.20 e | 92.84 h | 90.99 h | 12.65 h | 12.52 h |
| P6: 90 cm double row planting | 2.28 b–e | 2.21 e | 101.28 g | 100.98 g | 13.88 g | 14.07 g |
| P7: Trench planting at 120 cm | 2.39 a(8.63) | 2.29 a–e | 130.28 a | 130.10 a | 17.88 a | 17.86 a |
| Mean | 2.31 A | 2.24 B | 111.75 | 111.07 | 15.30 A | 14.36 B |
| Planting Methods (P) | Biological Yield (kg/ha) | Seed Yield (kg/ha) | Harvest Index (HI) | Land Equivalent Ratio | ||||
|---|---|---|---|---|---|---|---|---|
| 2013–2014 | 2014–2015 | 2013–2014 | 2014–2015 | 2013–2014 | 2014–2015 | 2013–2014 | 2014–2015 | |
| P1: 45 cm pits with 90 cm diameter + one row of lentil | 517.50 e | 587.50 e | 150.30 f | 165.30 e | 29.03 ab | 28.08 b | 1.09 d | 1.10 d |
| P2: 60 cm pits with 90 cm diameter + two rows of lentil | 1022.50 d | 1102.50 d | 265.30 de | 275.00 d | 25.94 c | 24.93 c | 1.18 c | 1.16 c |
| P3: 75 cm pits with 90 cm diameter + two rows of lentil | 1032.00 d | 1117.50 d | 275.00 d | 285.00 d | 26.66 c | 25.49 c | 1.18 c | 1.16 c |
| P4: 90 cm pits with 90 cm diameter + three rows of lentil | 1510.00 c | 1570.50 c | 394.50 c | 402.00 c | 26.13 c | 25.60 c | 1.26 b | 1.23 b |
| P5: 60 cm single row planting + one row of lentil | 530.00 e | 595.00 e | 129.80 f | 145.00 e | 26.48 c | 24.37 c | 1.05 d | 1.07 d |
| P6: 90 cm double row planting + two rows of lentil | 1027.50 d | 1080.00 d | 240.30 e | 265.30 d | 23.37 d | 24.53 c | 1.07 d | 1.15 c |
| P7: Trench planting at 120 cm + four rows of lentil | 1987.00 b | 2052.50 b | 598.00 b | 629.80 b | 29.96 a | 30.68 a | 1.40 a | 1.37 a |
| P8: Lentil alone 30 cm spaced single rows (twelve rows) | 5215.00 a | 5390.00 a | 1476.00 a | 1700.00 a | 28.30 b | 31.54 a | - | - |
| LSD | 45.20 | 61.25 | 27.40 | 29.87 | 1.54 | 1.28 | 0.049 | 0.054 |
| Planting Methods (P) | Variable Cost (Rs. ha−1) | Total Cost (Rs. ha−1) | Gross Income (Rs. ha−1) | Net Return (Rs. ha−1) | Net Field Benefit (Rs. ha−1) | Benefit Cost Ratio | Cost That Vary (Rs.) | Net Field Benefits (Rs.) | Marginal Cost (Rs.) | Marginal Net Profit (Rs.) | MRR (%) |
|---|---|---|---|---|---|---|---|---|---|---|---|
| P1: 45 cm pits with 90 cm diameter | 152,705 | 323,154 | 553,993 | 230,839 | 401,288 | 1.71 | 92,245 | 310,269 | - | - | - |
| P2: 60 cm pits with 90 cm diameter | 142,147 | 312,596 | 529,658 | 217,061 | 387,510 | 1.69 | 94,379 | D | 2133 | −7710 | D |
| P3: 75 cm pits with 90 cm diameter | 131,754 | 302,203 | 494,202 | 191,999 | 362,448 | 1.64 | 99,068 | 339,825 | 4689 | 37,266 | 795 |
| P4: 90 cm pits with 90 cm diameter | 116,822 | 287,271 | 468,359 | 181,087 | 351,536 | 1.63 | 103,194 | D | 4126 | −9257 | D |
| P5: 60 cm single row planting | 92,245 | 262,694 | 402,514 | 139,820 | 310,269 | 1.53 | 116,822 | 351,536 | 13,628 | 20,969 | 154 |
| P6: 90 cm double row planting | 99,068 | 269,517 | 438,893 | 169,376 | 339,825 | 1.63 | 129,127 | 365,253 | 12,305 | 13,716 | 111 |
| P7: Trench planting at 120 cm | 129,720 | 300,169 | 595,207 | 295,038 | 465,487 | 1.98 | 129,720 | 465,487 | 593 | 100,234 | 16,902 |
| P8: 45 cm pits with 90 cm diameter + lentil | 156,801 | 327,250 | 555,604 | 228,354 | 398,803 | 1.70 | 131,754 | D | 2034 | −103,039 | D |
| P9: 60 cm pits with 90 cm diameter + lentil | 150,725 | 321,174 | 545,894 | 224,720 | 395,169 | 1.70 | 139,953 | D | 8199 | 5684 | D |
| P10: 75 cm pits with 90 cm diameter + lentil | 139,953 | 310,402 | 508,085 | 197,683 | 368,132 | 1.64 | 142,147 | D | 2194 | 19,378 | D |
| P11: 90 cm pits with 90 cm diameter + lentil | 129,127 | 299,576 | 494,380 | 194,804 | 365,253 | 1.65 | 149,077 | 491,703 | 6930 | 104,193 | 1504 |
| P12: 60 cm single row planting + lentil | 94,379 | 264,828 | 396,937 | 132,110 | 302,559 | 1.50 | 150,725 | D | 1648 | −96,534 | D |
| P13: 90 cm double row planting + lentil | 103,194 | 273,643 | 433,762 | 160,119 | 330,568 | 1.59 | 152,705 | D | 1981 | 6119 | D |
| P14: Trench planting at 120 cm + lentil | 149,077 | 319,526 | 640,780 | 321,254 | 491,703 | 2.01 | 156,801 | D | 4096 | −2485 | D |
© 2020 by the authors. Licensee MDPI, Basel, Switzerland. This article is an open access article distributed under the terms and conditions of the Creative Commons Attribution (CC BY) license (http://creativecommons.org/licenses/by/4.0/).
Share and Cite
Nadeem, M.; Tanveer, A.; Sandhu, H.; Javed, S.; Safdar, M.E.; Ibrahim, M.; Shabir, M.A.; Sarwar, M.; Arshad, U. Agronomic and Economic Evaluation of Autumn Planted Sugarcane under Different Planting Patterns with Lentil Intercropping. Agronomy 2020, 10, 644. https://doi.org/10.3390/agronomy10050644
Nadeem M, Tanveer A, Sandhu H, Javed S, Safdar ME, Ibrahim M, Shabir MA, Sarwar M, Arshad U. Agronomic and Economic Evaluation of Autumn Planted Sugarcane under Different Planting Patterns with Lentil Intercropping. Agronomy. 2020; 10(5):644. https://doi.org/10.3390/agronomy10050644
Chicago/Turabian StyleNadeem, Mubashar, Asif Tanveer, Hardev Sandhu, Saba Javed, Muhammad Ehsan Safdar, Muhammad Ibrahim, Muhammad Atif Shabir, Muhammad Sarwar, and Usman Arshad. 2020. "Agronomic and Economic Evaluation of Autumn Planted Sugarcane under Different Planting Patterns with Lentil Intercropping" Agronomy 10, no. 5: 644. https://doi.org/10.3390/agronomy10050644
APA StyleNadeem, M., Tanveer, A., Sandhu, H., Javed, S., Safdar, M. E., Ibrahim, M., Shabir, M. A., Sarwar, M., & Arshad, U. (2020). Agronomic and Economic Evaluation of Autumn Planted Sugarcane under Different Planting Patterns with Lentil Intercropping. Agronomy, 10(5), 644. https://doi.org/10.3390/agronomy10050644

