Abstract
Urban soils are subject to anthropogenic influences and, reciprocally, provide benefits and disbenefits to human wellbeing; for example carbon storage, nutrient cycling and the regulation trace element and contaminant mobility. Collective stewardship of urban green commons provides contemporary examples of the diversity of uses and management of green space in cities and represents a growing movement in user participation in, and awareness of, the importance of urban ecological health. Exploring the range of social-ecological benefits exemplified in the urban environment has generally focused on above-ground processes, with few studies examining the potential for (dis)benefits arising from edaphic characteristics of collectively-managed spaces. An investigation into the influence of formal and informal green space management on carbon fluxes and heavy metal concentrations in urban soils was carried out in Manchester (UK) finding that carbon storage in soils of collectively managed urban green commons (7.15 ± 1.42 kg C m−2) was significantly greater than at formally managed sites (for example city parks: 5.08 ± 0.69 kg C m−2), though the latter exhibited reduced losses through CO2 emission. Variation in heavy metal concentrations and mobility were likewise observed, exemplified by the acidification of surface soils by leaf litter at orchard sites, and the resultant increase in the mobility of lead (Pb) and zinc (Zn). The results of this study indicate the importance of small-scale contemporary urban green space management on selected ecosystem services provided by the limited soil resource of cities. Thus, a greater consideration of the effects of horticultural and amenity activities with regards to soil quality/functionality is required to ensure available urban green commons retain or increase their ecological quality over time.
1. Introduction
Urbanisation is a key driver of global land-use change and now provides the principal place of residence for the majority of the world’s population [1]. Although it is widely accepted that urban areas depend on distant ecosystems [2,3] and occupy vast ecological footprints [4,5], nonetheless natural resources within urban areas have a key role to play towards the wellbeing of city-dwellers as well as in wider ecosystem health [6,7,8,9,10]. Urban green spaces represent a variety of public and private land uses including urban woodland, formal parks, institutional grounds, domestic gardens, allotments, community gardens, agricultural and informal open spaces [11,12,13]. The need to evaluate trade-offs and synergies associated with the provision of ecosystem services, and disservices, is an important consideration for the environmental management of human-dominated ecosystems [14,15]. To this end, much work has recently been undertaken to unpick the complexities implied in the co-management of urban ecosystem services [16,17,18,19]. However, in the majority of cases, studies have focused on public green spaces [20] along with a few more recent examples which have highlighted the importance of private spaces, such as allotment and community gardens, in the maintenance of ecosystem services and promotion of urban biodiversity [21,22]. The collective management of urban green spaces, both public and private, by community and horticultural groups, has been shown to comprise a diverse and highly productive component of urban green infrastructure in terms of management approaches and related ecosystem service provision [23]. Such collective, horticulture-based practices have been promoted elsewhere as effective examples of nature-based solutions, based on the ecological and social benefits associated with these spaces [22,23,24].
The multi-functionality of urban green spaces is augmented and mediated by levels of user participation (in, for example, recreation and management; see [24] or [13], and urban residents can be at once recipients and stewards of social-ecological benefits [3,25]. Stakeholder-led stewardship of ecosystems, especially in urban areas, is becoming a common feature of the social-ecological landscape [26,27] and follows calls for decentralized approaches to environmental management [14,15,28,29]. Attempts have been made to study, in greater detail, the productivity [23], value [30] and user participation [13] associated with multi-functional, collectively managed urban green spaces in the form of community gardens, allotments and orchards. However, research on the collective management of both public and private urban green space has centred on the benefits arising from largely horticultural management practices associated with such spaces, without duly considering the potential dis-benefits associated with collectively managed sites which exhibit a diversity of ownership, management and historical land-use.
For example, although previous work has estimated soil-related ecosystem service provision such as nutrient cycling by microbial biomass in community and allotment gardens [22], further work is needed to understand the presence and behaviour of factors which represent ecosystem disservices, such as in the case of user exposure to harmful soil contaminants. Klimas et al. [31] have published work suggesting that greenhouse gas emissions and soil soluble reactive phosphorus from different urban soil types present examples of ecosystem disservices. Though broad estimations of the ecosystem (dis)services associated with urban soil outputs is important, direct disservices to users involved in collective green space management are as yet poorly described. In addition, the collective management of urban green spaces includes, in addition to community gardening, other horticultural practices such as forest and orchard gardening. Therefore, increasing the knowledge-base on soil-related characteristics associated with a range of horticultural approaches, including traditional urban green space management in public parks and gardens, is necessary in order to assess the opportunities and challenges of implementing collective stewardship of green space as a nature-based solution in urban areas.
Urban soils in the UK are notoriously heterogeneous media, both in terms of soil properties and spatial distribution as a function of anthropogenic activity [32]. This is characterised by the significant presence of anthropogenic artefacts essentially fouling their background [geological] characteristics. At least partially as a result of this several studies report highly variable carbon storage in urban soils at a variety of landscape scales [33,34,35,36,37,38,39,40]. Similarly, heavy metal concentrations in urban soils are largely influenced by exogeneous inputs, for example through past industrial activities. Parry et al. [41], in a soil survey of post-industrial Merseyside (UK) measured lead and zinc hotspots closely correlated with the extent of urbanisation whilst copper and cadmium were synonymous with former industrial activity. The effect is also three-dimensional, with urban soils often exhibiting a chronology of local industrial emissions detailed in the heavy metal concentrations of their soil horizons [42]. In the light of this, research on the formation and character of urban soils has largely lacked an appreciation of how soil characteristics may vary at the local site level due to previous use in combination with contemporary soil inputs and management. Therefore, informal horticultural practices which involve the potential input of exogenous materials to soils could significantly impact on soil carbon content and heavy metal mobility. By the same token the removal of material from the soil surface may result in the local impoverishment of soil carbon inputs over a relatively short time scale. Due to the variety [38,43] and productivity [23,30] of collective approaches to urban green space use, collectively managed sites provide an opportunity for studying the effects of discrete local management approaches on urban soil characteristics. Given the promotion of community-led gardening initiatives in urban areas as effective nature-based solutions to a range of urban environmental challenges [22,44], knowledge on urban soils characteristics associated with different horticultural practices and the potential for human exposure to ecosystem (dis)services is a priority for research on nature-based approaches to urban environmental management. This is perhaps especially pertinent, given that access to any form of soil in some urban areas is ever reducing due to surface sealing [45].
The aim of this study was to explore the effect of different local green space management regimes on soil characteristics relating to soil carbon and heavy metal fluxes, equating broadly to two ecosystem services provided by soils (as detailed above). Sites from a typology of management approaches adapted from a previous study [13] consisting of community gardens, allotments and orchards (see Section 2.1) located in Manchester (UK) were selected and soils were sampled for soil organic matter (SOM) and soil organic carbon (SOC) density, pH, carbon emission (soil respiration) and soil and water-soluble trace elements (Pb, Zn) The city of Manchester provides a particularly useful context for this work given its status as one of the first industrialized cities in the world, with a long history of social-ecological activism and collective approaches to environmental management [38,46].
2. Methods
2.1. Site Selection
Nine sites within the metropolitan limits of Manchester (UK) were identified, adapted from an existing typology employed in studies by [13,39] which represented a range of site management styles. Six of the sites were examples of collectively managed spaces, for which one hundred percent of land management was carried out by local participants, and the remaining three were areas of local authority-managed public parkland and these sites therefore represent formal urban green spaces in this study. Much of Manchester falls under the same general soil type, based on background geology and local climatic characteristics, being seasonally wet acid loamy and clayey soils [47], but are not surveyed by the British Geological Survey in terms of applying World Reference Base (WRB) soil classification. Rossiter [48] describes the application of the World Reference Base system for soil classification as applicable to urban soils, through their designation as ‘technosol’. Since not all urban areas in UK have detailed soil mapping provision (see; http://mapapps2.bgs.ac.uk/ukso/home.html [49]), it cannot be stated that the soils sampled in this study were technosols. It is more likely that the soils sampled could be classified as ‘anthrosols’; that is to say that these soils have been modified by human activity, from their natural state, by addition of organic matter etc. Four management approaches were studied in total:
2.1.1. Community Gardens (CG)
Areas of public green space which are maintained by members of the community for a range of activities and social provision. Holland’s [50] study shows the surge of these spaces recently in the UK, with this ‘Americanised’ form of gardening appearing more often due to the lack of traditional allotment space. A proportion of site area is often centered on gardening for food or other recreational activities, but with a range of additional structures and land cover types which serve priorities such as leisure and educational activities, social interaction, and provision of communal open spaces. Sites of this category were located on pockets of land of historical amenity and recreational use but recently classified as DUN (derelict, under-used or neglected) before reclamation by local communities as common pooled resources (1000–2000 m2). CG1 was located in Old Trafford and created through a consultation between local residents and the local charity Groundwork Manchester, Salford, Stockport, Tameside and Trafford, transforming an area of land classed as derelict, under-used and neglected (DUN) which had previously been occupied by a local Scouts centre before which the site had been part of the nearby by Seymour Park (site P1). The site is subject to previous development and the presence of artefacts is therefore to be expected. CG2 was situated on the site of land previously designated for recreational use enclosed on all sides by domestic gardens in a heavily residential part of South Manchester. The site was offered to local residents by a local housing association (City South Housing Association) in order to create a community space on this otherwise derelict (DUN) piece of land. Less than 10 percent of community garden sites were under cultivation for food.
2.1.2. Community Allotments (CA)
Pre-existing or adapted plots on established allotment gardens which had been designated by the local authority as areas for use by the wider community primarily for food production, with small areas set aside for wildlife or related educational activities (600–1000 m2). Closed-loop systems of organic waste management were employed at allotment sites. CA1 is situated within Seymour Grove Allotments in Old Trafford and was formed through partnership between Trafford Council and BlueSci, a local community well-being centre. The project is run by experienced allotment gardener volunteers. The plot is located on a long-standing allotment garden site (Seymour Grove Allotments, in use since at least the 1960s). CA2 was situated close to CA1 (see Figure 1) and also a community managed allotment on an established site (Scott Avenue Allotments) surrounded by residential land-use. Both sites had been managed communally since 2009 and used primarily for food-based horticulture (Table 1). Between 40 and 50 percent of allotment sites were under cultivation for food.
Figure 1.
Locations of the study sites (sources: Esri, DigitalGlobe, GeoEye, i-cubed, USDA FSA, USGS, AEX, Getmapping, Aerogrid, IGN, IGP, swisstopo, and the GIS User Community).
Table 1.
Soil characteristics by site mean (±S.E.).
2.1.3. Community Orchards (CO)
Areas of land managed by local residents and volunteers dedicated primarily to the cultivation of hard and soft fruits. Set in areas of extensive recreational public green space. Both forest gardening and traditional approaches to orchard management were observed making these sites the least intensively managed in terms of organic inputs and soil disturbance. Site sizes were in the range of 1000–2000 m2. CO1 was situated within the boundaries of P3 and as such offered a direct comparison of soil conditions as a function of management. The sites had been managed collectively by local residents and the Friend of Birch Fields Park group since 2007 employing permaculture principles to soft and hard fruit cultivation. CO2 was located on a plot of and annexed to a local sports club and adjacent to a site with Local Nature Reserve status (a statutory land designation in England). Both community orchard site were therefore located on existing recreational green spaces. Between 25 and 35 percent of community orchard sites were under cultivation for fruit.
Of all sites, CG1 and CG2 were the only sites known to have been subject to previous developed or dereliction and therefore soils at these sites were assumed to be most likely affected by technical artefacts in their composition. CA sites had been under continuous cultivation for a longer period of time and were assumed to represent disturbed and ameliorated soils (i.e., through horticultural add-mixtures). CO sites were assumed to contain the least disturbed soils given that they occurred within long-standing green spaces. P sites were assumed to represent a baseline of relatively undisturbed soils within intensively managed (mowed) green spaces.
2.1.4. Municipal Public Parks (P)
Significant areas of public green space managed by local authorities primarily for recreational, social and amenity purposes. Land cover includes expansive areas of mown grassland, <20% tree canopy cover, designated areas for physical recreation and built infrastructure such as footpaths, sporting facilities and play areas for children (>2 ha). Intensive mowing regimes were employed at each site. P1 is located adjacent to CG1 (originally both had been part of the same site) and consists primarily of large mown areas and tree lined paths. P2 is located approximately 1 km from P1, known locally as Tamworth Park and of similar composition to both P1 and P3, the latter being the largest of the three and containing CO1. Locations of all sites in the study are presented in Figure 1.
2.2. Soil Sampling
The sampling process focused on topsoils as this was considered to be the most sensitive to changes in recent site management due to the relatively rapid turnover of topsoil in urban areas [39]. From each site, surface soils were sampled to 10 cm depth, at five sampling points using a stainless-steel corer (5 cm diameter) with 5 cm length removable sleeves (i.e., each sampling point consisted of two 5 cm cores to 10 cm depth). Sampling points were selected in a directed fashion from areas under observably different management (for example raised vegetable plots and flower beds in community gardens, and lawns and treed areas in parks) This was done in order to reflect the character of each site as far as possible. Primarily this was to capture diversity of land-use in community gardens which, of the four site types, were the most multi-functional. In-tact cores were dried overnight at 105 °C before analytical procedures were carried out. For each analysis four subsamples (replicates) were taken from each core sampled at the study sites (i.e., duplicate measures from each 5 cm sleeve). This provided 5 cases with four replicates per site for each subsequent statistical test.
2.3. Soil Organic Matter and Carbon Determination
Bulk density was determined by recording the mass of the undisturbed oven-dry samples contained within the sampling cores of known volume and pre-determined mass Bulk density per core was taken as the mean derived from the two 5cm sleeves for the 10 cm core. Subsamples from each sleeve were sieved through a 2 mm wire mesh sieve, dried for a further 16 h in pre-weighed porcelain crucibles, and their mass recorded before ignition in a 650 °C furnace for 30 min. This method was adapted from Cox et al. [51], the only modification being that ignition duration was doubled to allow for the furnace temperature to stabilize after fluctuations following insertion of the sample trays. Ignition duration was not increased beyond this however as, at temperatures ≥600 °C, extending heating time has been shown to have little effect on organic matter determination [52]. Samples were re-weighed and the percentage mass loss on ignition calculated as a measure of SOM. These values were then converted to a measure of organic carbon by dividing percentage loss on ignition by the commonly adopted conversion factor of 1.72 (after Nelson and Sommers [53]). Organic carbon density was subsequently calculated as kg C m−2 (to 10 cm depth) according to the following equation:
where A is area (1 m2), d is depth (0.1 m), Bd is soil bulk density (in g cm−3) and SOC is soil organic carbon content (in g kg−1).
2.4. Determination of Soil pH, Total and Water-Soluble Lead and Zinc Concentrations
Oven-dry samples were initially passed through a 2 mm wire mesh sieve before being finely ground with a mortar and pestle and sieved again to <125 µm [54,55]. Subsamples were then placed in sample cups with a Mylar 6 µm film window and heavy metal (Pb and Zn) concentrations were analyzed in duplicate with a X-ray fluorescence (XRF) spectrometer (Niton XL3t, Winchester, UK) (mining analytical mode). For XRF analysis, finely ground samples are needed in order to ensure even particle size and best results [55]. Limits of detection for Pb and Zn were 4.122 and 3.43 ppm respectively (based on three times the standard deviation of returned values for the CRM used). These values were well below those associated with site soils (Table 1). For water-extractable trace elements, fine earth soil samples (<2 mm) are sufficient for analysis and were placed in 1:5 suspensions of 18 MΩ deionised water. The suspensions were shaken at 180 rpm for 3 h on a rotating platform, after which triplicate measurements of pH were taken of each sample with a pH meter (Hanna HI 2020, Leighton Buzzard, UK). Samples were subsequently centrifuged for 10 min at 3000 rpm and filtered through 0.45 µm Whatman 42 filter paper. The resulting filtrate was then analysed in triplicate for the heavy metals of interest by inductively coupled plasma optical emission spectroscopy (Varian 720-ES, Agilent Technologies, Stockport, UK). Given that all of the analyses were based on fine earth (i.e., <2 mm) the results in subsequent sections reflect this fraction of site soils. Although soil trace elements (XRF) were measured using the <125 µm fraction, this was achieved through grinding of the initial fine earth samples and therefore results relate to the latter.
2.5. Measures of Soil CO2 Evolution
Evolution of carbon dioxide through microbial respiration was determined with an infra-red gas analyser (EGM-4, PP-Systems, Hitchin, UK) attached to a SRC-1 closed-system soil respiration chamber. Composite soil samples at each site were taken, from the same sampling point locations as for organic matter and trace element analyses, and allowed to equilibrate in plastic collars for a minimum of five hours before being analysed in triplicate for 30 min each. The EGM-4 records carbon dioxide flux according to the following equation:
where R is the soil respiration rate (flux of carbon dioxide/unit area/unit time), Co is the carbon dioxide concentration at T = 0, Cn is the concentration at a time Tn later and A is the area of soil exposed and V the total system volume. Values in ppm are then converted to g CO2 m2 h−1 based on one kilogram mole of CO2 (44.01 kg) occupying 22.41 m3 at standard temperature and pressure. The subsequent values produced by the EGM-4 in g CO2 m−2 h−1 were converted to g C m−2 h−1 (using the molar mass of CO2 (44.01 g mol−1) and C (12.01 g mol−1)) before statistical analysis.
2.6. Statistical Analyses
Normality tests (Shapiro-Wilks) revealed the data were non-normally distributed and pair-wise comparisons of group means were performed by Mann-Whitney U-test. Site type was used as the independent factor and SOM percentage, SOC density, soil respiration, lead and zinc soil and water extractable concentrations were all treated as independent variables.. Pearson’s product moment correlational analyses were performed on soil heavy metal concentrations and linear regressions were also performed, regressing trace element solubility on soil suspension pH values. All statistical analyses were performed in R [56] and IBM SPSS.20 statistical packages (IBM Inc., Armonk, NY, USA).
3. Results
3.1. Soil Characteristics and Carbon Storage
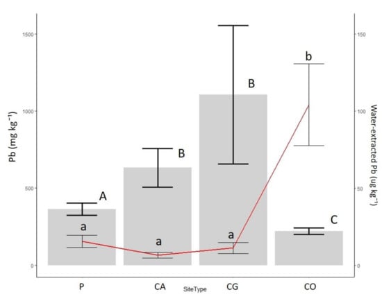
Basic site details on the extent of food cultivation and soil characteristics are presented in Table 1. Community orchard soils had significantly lower bulk density than all other types (p < 0.001) and, although containing significantly greater SOM density than other soils, SOC density was lower for this type than for community garden soils (7.73 ± 1.22 kg m−2), as a function of bulk density (Figure 1). The lowest carbon density recorded was for parkland soils followed by community allotments. Community garden soils, although ranking highest in terms of carbon density, also exhibited the greatest variation for both SOM and SOC (SD = 2.27% and 1.22 kg m−2, respectively) with community allotment soils being the least variable (SD = 0.14% and 0.17 kg m−2). Soil respiration values mimicked closely those of organic matter. Differences in respiration rates between site types were, however, non-significant.
3.2. Lead and Zinc Concentrations
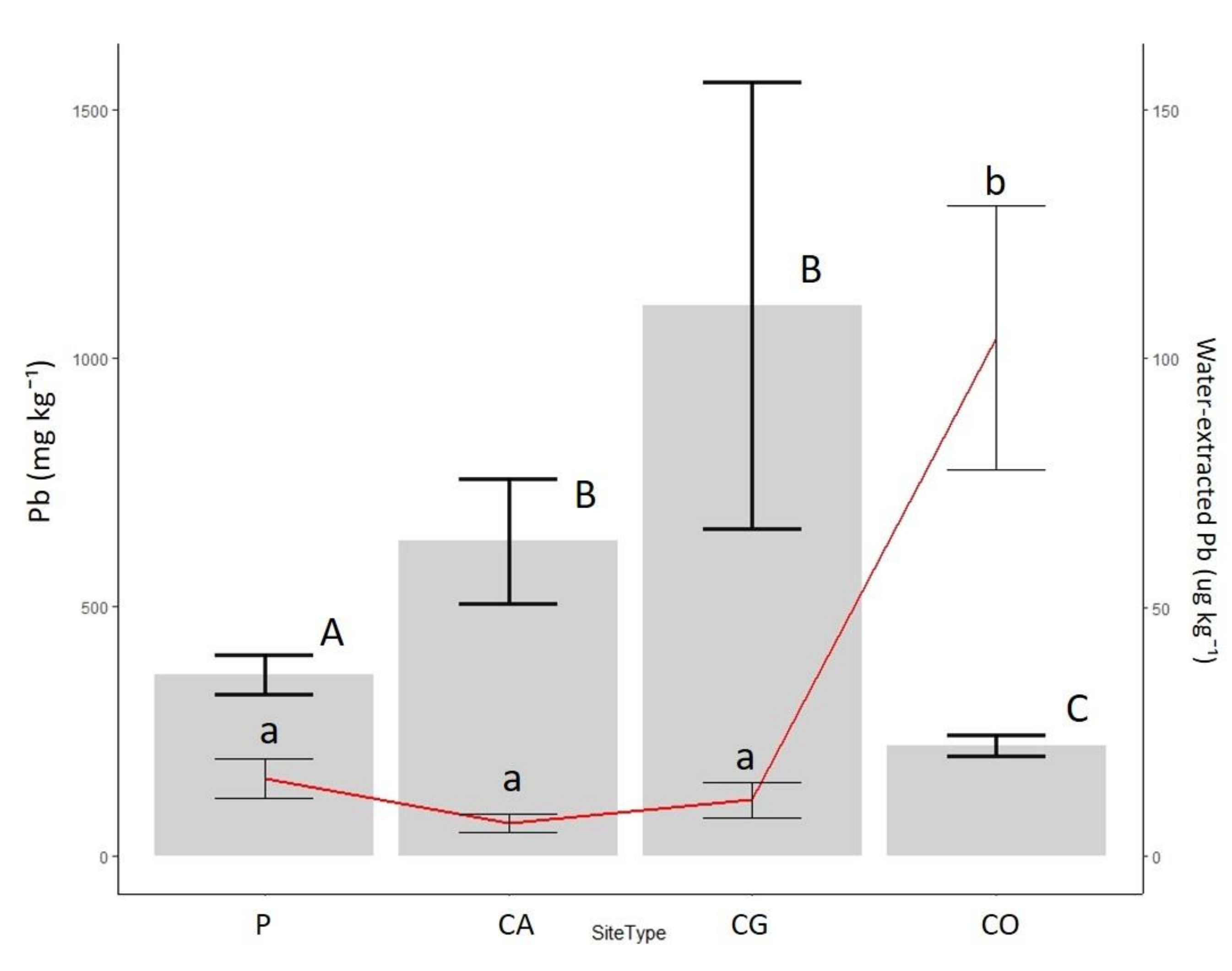
In terms of lead and zinc soil concentrations, the site types held the same rank as for SOC values, with community orchards exhibiting much lower concentrations of soil lead and zinc relative to SOM and lowest overall (Figure 2 and Figure 3). Parkland and orchard soils were the only types in the study with mean lead concentrations below UK Environment Agency Soil Guideline Values (SGVs) for urban allotments and residential areas (450 mg kg−1: [57]). Lead and zinc total, and water extractable, fractions were closely related (r2 = 0.84; p < 0.001 and r2 = 0.78; p < 0.001 respectively). Values for type mean water-extractable heavy metals showed a starkly different pattern to that observed for total soil metals (Table 1; Figure 2 and Figure 3). Here those soils containing the greatest total metal concentrations (community allotments and garden soils) exhibited the lowest concentrations of water-soluble lead (6 ± 6 µg L−1 (0.001% of total) and 11 ± 11 µg L−1 (0.002%) respectively) and zinc (38 ± 22 µg L−1 (0.007%) and 52 ± 31 µg L−1 (0.01%) respectively). In contrast, although community orchard soils contained the lowest total concentrations of Pb and Zn, the latter were highly water-soluble with mean water extractable values of 104 ± 84 µg L−1 (0.03%) and 189 ± 112 µg L−1 (0.1%) for lead and zinc respectively.
Figure 2.
Mean site type SOM percentage by mass and SOC density (primary y axis.), and soil respiration (SR: secondary y axis). Different letters denote significant mean difference at p < 0.05. Error bars are ±1 S.E.
Figure 3.
Site type total (mg kg−1: column, primary y axis) and water-extractable lead concentrations (µg L−1: line, secondary y axis). Different letters denote significant mean difference at p < 0.05. Error bars are ±1 S.E.
Variability in water-extractable heavy metals, in Figure 2 and Figure 3, appeared to mimic that of soil pH by type mean and linear regression analysis revealed close relationships between soil pH and water-extractability of lead (Figure 4).
Figure 4.
Site type total (mg kg−1, column: primary y axis) and water-extractable zinc concentrations (µg L−1, line: secondary y axis). Different letters denote significant mean difference at p < 0.05. Error bars are ±1 S.E.
4. Discussion
Significant differences occurred between site types across a number of the parameters investigated, indicating that soil management could play a key role in the storage of SOC and the solubility [ergo mobility and availability], of lead and zinc. In particular there was a clear delineation between the parkland sites and the collectively managed spaces across the various soil characteristics (Figure 2, Figure 3 and Figure 4).
4.1. Soil Carbon Storage and Respiration
Soil carbon density is a function of bulk density and organic matter content of soils, both of which were variable between site types (Table 1; Figure 2) and resulted in SOC densities of ~5–7 kg C m−2 in the present study. These values were similar to those found in 92 park and road verge topsoils sampled from the neighbouring city of Liverpool (1–10 kg C m−2; [33,58]). Values from soils of both Manchester and Liverpool were within the range reported elsewhere typically 1.5–18 kg C m−2 (for example [34,35,36]).
In the present study community garden sites were unique in their heterogeneity and combined elements common to the three other site types, including land cover by lawns, tree canopy, shrubs and vegetable beds. The values of SOM for soils of this type were likewise variable (SD = 2.27%). Of note was the disparity between park and community orchard categories. Whereas both types were managed using a zero-tillage approach and minimal soil disturbance, the latter appeared able to store significantly greater amounts of SOM. This is likely due to the management goals of these spaces; orchard management takes a minimal approach, allowing leaf and plant litter to be re-integrated into the upper soil horizon, resulting in elevated organic matter (SOM) content at such sites. Conversely, management of municipal parks, whilst also aiming at minimal intervention, often employ regular mowing regimes and the removal of most, if not all, cut vegetation and foliage in order to achieve aesthetic and amenity goals.
Similarly, management strategies at community allotments and gardens encourage the accumulation of SOM in order to meet the horticultural needs of these site types. Such build-up of SOM, which also exceeded that of park soils in this study, is sometimes achieved through use of add-mixtures sourced ex-situ, compost and materials rich in organic matter such as animal and green manures etc., rather than mimicry of natural systems. Lower SOC values in allotment soils relative to those of gardens and orchards may be the result of depletion through intensive crop production and rotation, removal of plant residues for compost, and increased disaggregation and aeration of soils [59].
Soil respiration is a function of soil physico-chemical parameters mediated by local climatic variability [60]. Relatively lower respiration values in parkland soils in the present study were likely a reflection of lower SOM and reduced aeration (indicated by relatively higher bulk density: Table 1) in these soils relative to other types. This is to be expected for this site type given the usage of bulk mowing equipment, such as tractors, which may compact soils. Increasing SOM through horticultural interventions may present a potential synergy by building both organic carbon and improving soil nutrient availability. On the other hand, it has been observed that the addition of fresh organic matter can stimulate, or ‘prime’ the mineralisation of existing stocks of more recalcitrant SOM in soils [61] meaning that more actively worked or amended urban lands may become net emitters of carbon (as carbon dioxide) even when receiving regular fresh inputs of organic matter. Such an effect was measured by [62] on pedogenically immature soils manufactured by mixtures of inorganic and organic urban wastes, counterbalancing somewhat the C storage benefits of adding extra organic matter. Further sampling to facilitate the calculation of detailed carbon budgets for collectively-managed urban soils would be necessary to ascertain the long-term effects of scaling up community-led horticultural practices on urban soils. Notwithstanding the need for further investigation, the results of this study suggest that significant gains may be achievable through collectively-oriented green space management in the form of increased SOC storage relative to more traditional management approaches. Their efficacy as a form of nature-based solution in urban environmental management, as suggested elsewhere [22], is thereby supported by the findings on C storage in this study.
4.2. Mobility of Lead and Zinc
Lead is especially abundant in urban soils in the UK, its concentrations often within the same order of magnitude as some mining and smelting areas [63]. The concentrations of lead and zinc in some soils collected in the present study were within the range reported by other contemporary soil surveys. For example, Madrid et al. ([64] lead and zinc up to 237 mg kg−1 and 210 mg kg−1 respectively; n = 63) and Ruiz-Cortes et al. ([65]; lead and zinc up to 725 mg kg−1 and 137 mg kg−1 respectively; n = 51). Lead and zinc concentrations of ≤ 650 mg kg−1 and ≤ 200 mg kg−1 respectively were measured in soil samples from Liverpool municipal parks and road verge areas [33]. It must be noted that these previous studies used nitric acid or aqua-regia digestion methods for extracting metals, which can result in incomplete extraction of metals, rather than the XRF method used in the present study.
Moreno-Jimenez et al. [66] argued that water-extractable concentrations of metals are the more ecotoxicologically relevant fraction than total concentrations, and surveyed several urban sites, extracting soil water solutions from soils. They showed, as other workers have done, that total and water extractable concentrations of metals are sporadically correlated according to previous and current site usages and soil management. In the present study, site use appeared to predict soil total concentrations and solubility of lead and zinc. The accumulation of organic matter from leaf litter and plant residue at orchard sites, whilst contributing to the increase in SOM, results in a reduction of soil pH which has a dramatic effect on the availability of soil trace metals [67,68]. Zinc, for example, is more soluble in soils of pH < 5 [69,70] and orchard sites had pH < 5 (Table 1), explaining the enhanced water-soluble zinc in these soils, despite their total concentrations being the lowest measured of all sites (Figure 4). Conversely, management at allotment and garden sites, which is aimed at achieving more neutral soil pH, for example through the addition of compost, animal manure and liming agents for optimizing horticultural potential, may result in the added beneficial effect of reducing the availability of metals to crops [71].
Sites used in this way exhibited an elevated concentration of soil borne contaminants with mean concentrations of lead at allotment and garden sites well above UK Environment Agency soil guideline values (SGVs) [57] for human exposure. Given that the design and management of vegetable gardening approaches often leaves large areas of bare earth between crops, exposure to humans from direct contact with the soil and through dust and air-borne contaminants is exacerbated [72,73] relative to sites with more extensive ground flora, as at park and orchard sites. Moreover, allotment and garden sites in the present study were located, as they often are, in close proximity to roadsides and, therefore, anthropogenic sources of pollution, whereas orchards were situated within areas of more expansive green space. As such, the latter may have been further buffered from such exposures. Orchards also benefited from greater vertical as well as horizontal vegetation cover which may provide a further screening effect [73] acting as a form of self-protection. In the case of community garden soils sampled in our study, these had the highest concentrations of lead and zinc, likely the result of their occurrence on vacant, previously derelict industrial (contaminated) land, upon which such collectively managed projects are often created [3,13]. Both CG sites had been subject to prior dereliction and development suggesting that related anthropogenic artefacts may have contributed to the high and variable concentrations of metals in their soils.
All collectively managed sites were involved to some extent with food production, and although types differed in terms of metal concentration and mobility, their management, whether intentional or otherwise, appeared to provide an effective mitigation against potential crop contamination. For example, sites with high soil heavy metal concentrations proved effective, through elevated soil pH, in limiting the proportion of such metals which may become potentially available to plants (Figure 5). Likewise, orchards, which were subject to much greater metal solubility, contained a much lower baseline of soil lead and zinc and, by virtue of the fact that fruit rather than vegetables were under cultivation, are less likely to yield contaminated produce [72]. However, the potential for direct human exposure to soil borne contaminants may still pose a significant risk at sites with high levels of atmospheric deposition and where soils are worked intensively [73].
Figure 5.
Relationship between soil pH and water extractable Pb (p = 0.001). Note: y axes denote water extractable concentrations as a percentage of measured total soil concentrations. All values are derived from sample site means.
4.3. Considerations for Urban Green Space Planning
Specific knowledge on below-ground characteristics of diverse green space types should be a priority for urban spatial planning and for nature-based solutions which focus on collective management practices. For carbon storage, the conversion of approaches from, for example, those adopted by parkland management, to those represented by collectively managed sites in this study may be an effective means of building soil SOC with only relatively moderate loss through soil respiration (Figure 1). Data from over 700 urban soils compiled by Vasenev and Kuzyakov [74] showed that C sequestration permeated to greater depths in urban than in ‘natural’ soils. Thus, up to five times greater C storage was found in some urban soils, compared to control ‘natural’ ones. A variety of reasons could lead to this such as, increased application of organic matter and/or reduced tillage. Thus, in the present study, if soil depths of more than those measured here were accounted for, this may yet further increase C densities in orchard soils compared to, for example, community allotments. The same depth variations in metal(loid) concentrations may also be expected, though more complex geochemical mechanisms account for these and are metal specific, being heavily related to point source emissions of metals from local legacy industrial activity [75]. That community garden and allotment soils harboured lead concentrations consistently above the corresponding land-use SGVs, presents a challenge in the management of exposure risks associated with these soils whether in Manchester or other post-industrial urban areas, especially if self-grown produce is consumed regularly.
Similarly, orchard management, or the promotion of soil C building horticultural activities in general on urban land may present an opportunity for site restoration. Trees have been presented as a potentially effective means of remediation of heavy metal contaminated soils [76] and moreover, research shows that orchards are able to produce viable fruit even in instances of ground contamination [72]. However, further research on plant varieties (e.g., of different root depths) and methods of cultivation is necessary to confirm forest gardening as a risk-free form of urban site use and remediation.
5. Conclusions
This study investigated selected urban soil characteristics in Manchester, demonstrating associations between small scale land management practices on carbon storage, nutrient cycling and heavy metal mobility. Carbon storage was proven to be related to the working and modification of soils, as demonstrated by differences in carbon storage relevant soil parameters (organic matter content, bulk density etc) at allotment and community garden sites, versus urban parks. Minimal intervention management combined with horticulture/food growing (represented here by orchard sites) resulted in the greatest SOC percentage by mass but, due to significantly lower bulk soil density, carbon storage (as kg m−2) values lower than those of community gardens. This effect was exacerbated by enhanced respiration (carbon emission) in the less compacted orchard soils. Acidification of surface soils by orchard litter resulted in enhanced risk-relevant concentrations of lead and zinc, relative to other site types surveyed. These data, therefore, demonstrate important and often overlooked trade-offs in small-scale urban land-use which may simultaneously accumulate soil carbon whilst apparently increasing the lability of heavy metals in the same soils. That allotment and community garden sites were seemingly able to increase carbon density and achieve greater immobilization of metals than other management types, suggests that these management practices represent a desirable means of stabilizing organic carbon, feeding back to an enhanced sorption capacity of soils for extant heavy metals.
Thus, the considered management of urban green space with discrete above-ground horticulture and amenity measures may have significant implications for soil characteristics and the enhancement of ecosystem services. Further research would do well to focus on how those benefits can be harnessed and risks reduced in order to best integrate local urban green spaces into wider nature-based approaches to urban environmental management. In that sense, creating urban green commons which are ecologically sound safe-spaces for adaptable food production, horticultural and amenity uses.
Author Contributions
M.D., L.B., M.H. and P.J. conceived the study. M.D. carried out field and laboratory work. M.D. and L.B. analyzed results and co-wrote the manuscript. M.H. and P.J. provided commentary and final editing on the paper. P.J. supervised the research. All authors have read and agreed to the published version of the manuscript.
Conflicts of Interest
The authors declare no conflict of interest.
References
- United Nations, Department of Economic and Social Affairs. World Urbanisation Prospects: 2007 Revision; United Nations: New York, NY, USA, 2007. [Google Scholar]
- Grimm, N.; Faeth, S.; Golubiewski, N.; Redman, C.; Wu, J.; Bai, X.; Briggs, J. Global Change and the Ecology of Cities. Science 2008, 319, 756–760. [Google Scholar] [CrossRef] [PubMed]
- Krasny, M.; Tidball, K. Civic Ecology: Adaptation and Transformation from the Ground Up; MIT Press: Cambridge, MA, USA, 2015. [Google Scholar]
- Folke, C.; Jansson, Å.; Larsson, J.; Costanza, R. Ecosystem appropriation by cities. Ambio 1997, 26, 167–172. [Google Scholar]
- Scott, A.J.; Carter, C.; Reed, M.R.; Larkham, P.; Adams, D.; Morton, N.; Waters, R.; Collier, D.; Crean, C.; Curzon, R.; et al. Disintegrated development at the rural–urban fringe: Re-connecting spatial planning theory and practice. Prog. Plan. 2013, 83, 1–52. [Google Scholar] [CrossRef]
- McDonnell, M.J.; Pickett, S.T. Ecosystem Structure and Function along Urban-Rural Gradients: An Unexploited Opportunity for Ecology. Ecology 1990, 71, 1232–1237. [Google Scholar] [CrossRef]
- Bolund, P.; Hunhammar, S. Ecosystem services in urban areas. Ecol. Econ. 1999, 29, 293–301. [Google Scholar] [CrossRef]
- Gómez-Baggethun, E.; Barton, D.N. Classifying and valuing ecosystem services for urban planning. Ecol. Econ. 2013, 86, 235–245. [Google Scholar] [CrossRef]
- Chipungu, L.; Magidimisha, H.; Hardman, M.; Beesley, L. The importance of soil quality in the safe practice of urban agriculture in Zimbabwe, Kenya and South Africa. In Land-Use Change Impacts on Soil Processes in Tropical and Savannah Ecosystems; Brearley, F., Thomas, A., Eds.; Centre for Agriculture and Biosciences International: Wallingford, UK, 2015; pp. 72–84. [Google Scholar]
- Dennis, M.; Armitage, R.; James, P. Social-ecological innovation: Adaptive responses to urban environmental conditions. Urban Ecosyst. 2016, 19, 1063–1082. [Google Scholar] [CrossRef]
- Dennis, M.; Barlow, D.; Cavan, G.; Cook, P.; Gilchrist, A.; Handley, J.F.; James, P.; Thompson, J.; Tzoulas, K.; Wheater, C.P.; et al. Mapping Urban Green Infrastructure: A Novel Landscape-Based Approach to Incorporating Land Use and Land Cover in the Mapping of Human-Dominated Systems. Land 2018, 7, 17. [Google Scholar] [CrossRef]
- CIWEM (Chartered Institution of Water and Environmental Management). Multi-Functional Urban. Green Infrastructure. London: CIWEM. Available online: http://www.ciwem.org/FileGet.ashx?id=1875&library=Public%20 (accessed on 7 April 2020).
- Dennis, M.; James, P. User participation in urban green commons: Exploring the links between access, voluntarism, biodiversity and well being. Urban For. Urban Green. 2016, 15, 22–31. [Google Scholar] [CrossRef]
- MEA (Millenium Ecosystem Assessment). Ecosystems and Human Well-Being: Health Synthesis; Island Press: Washington, DC, USA, 2005. [Google Scholar]
- UK NEA (United Kingdom National Ecosystem Assessment). UK National Ecosystem Assessment: Understanding Nature’s Value to Society; UK NEA: London, UK, 2011. [Google Scholar]
- Nelson, E.; Mendoza, G.; Regetz, J.; Polasky, S.; Tallis, H.; Cameron, D.; Chan, K.M.A.; Daily, G.C.; Goldstein, J.; Kareiva, P.; et al. Modeling multiple ecosystem services, biodiversity conservation, commodity production, and tradeoffs at landscape scales. Front. Ecol. Environ. 2009, 7, 4–11. [Google Scholar] [CrossRef]
- Power, A.G. Ecosystem services and agriculture: Tradeoffs and synergies. Philos. Trans. R. Soc. B Biol. Sci. 2010, 365, 2959–2971. [Google Scholar] [CrossRef] [PubMed]
- Haase, D.; Strohbach, M.; Kroll, F.; Schwarz, N.; Seppelt, R. Synergies, Trade-offs, and Losses of Ecosystem Services in Urban Regions: An Integrated Multiscale Framework Applied to the Leipzig-Halle Region, Germany. Ecol. Soc. 2012, 17, 22. [Google Scholar] [CrossRef]
- Howe, C.; Suich, H.; Vira, B.; Mace, G.M. Creating win-wins from trade-offs? Ecosystem services for human well-being: A meta-analysis of ecosystem service trade-offs and synergies in the real world. Glob. Environ. Chang. 2014, 28, 263–275. [Google Scholar] [CrossRef]
- Breuste, J.H.; Artmann, M. Allotment Gardens Contribute to Urban Ecosystem Service: Case Study Salzburg, Austria. J. Urban Plan. Dev. 2015, 141, A5014005. [Google Scholar] [CrossRef]
- Speak, A.; Mizgajski, A.; Borysiak, J. Allotment gardens and parks: Provision of ecosystem services with an emphasis on biodiversity. Urban For. Urban Green. 2015, 14, 772–781. [Google Scholar] [CrossRef]
- Cabral, I.; Keim, J.; Engelmann, R.; Kraemer, R.; Siebert, J.; Bonn, A. Ecosystem services of allotment and community gardens: A Leipzig, Germany case study. Urban For. Urban Green. 2017, 23, 44–53. [Google Scholar] [CrossRef]
- Dennis, M.; James, P. Site-specific factors in the production of local urban ecosystem services: A case study of community-managed green space. Ecosyst. Serv. 2016, 17, 208–216. [Google Scholar] [CrossRef]
- Charzynski, P.; Bednarek, R.; Hudańska, P.; Świtoniak, M. Issues related to classification of garden soils from the urban area of Toruń, Poland. Soil Sci. Plant Nutr. 2018, 64, 132–137. [Google Scholar] [CrossRef]
- Ernstson, H.; Sörlin, S.; Elmqvist, T. Social Movements and Ecosystem Services—The Role of Social Network Structure in Protecting and Managing Urban Green Areas in Stockholm. Ecol. Soc. 2008, 13, 39. [Google Scholar] [CrossRef]
- Barthel, S.; Folke, C.; Colding, J. Social–ecological memory in urban gardens—Retaining the capacity for management of ecosystem services. Glob. Environ. Chang. 2010, 20, 255–265. [Google Scholar] [CrossRef]
- Olsson, P.; Galaz, V. Social-Ecological Innovation and Transformation; Springer Science and Business Media LLC: Berlin/Heidelberg, Germany, 2012; pp. 223–247. [Google Scholar]
- Krasny, M.E.; Russ, A.; Tidball, K.; Elmqvist, T. Civic ecology practices: Participatory approaches to generating and measuring ecosystem services in cities. Ecosyst. Serv. 2014, 7, 177–186. [Google Scholar] [CrossRef]
- UK NEA (United Kingdom National Ecosystem Assessment). Follow-On UK National Ecosystem Assessment, Follow-On: Synthesis of the Key Findings; UK NEA: London, UK, 2014. [Google Scholar]
- Dennis, M.; James, P. Considerations in the valuation of urban green space: Accounting for user participation. Ecosyst. Serv. 2016, 21, 120–129. [Google Scholar] [CrossRef]
- Klimas, C.; Williams, A.; Hoff, M.; Lawrence, B.; Thompson, J.; Montgomery, J. Valuing Ecosystem Services and Disservices across Heterogeneous Green Spaces. Sustainabiluty 2016, 8, 853. [Google Scholar] [CrossRef]
- Greinert, A. The heterogeneity of urban soils in the light of their properties. J. Soils Sediments 2015, 15, 1725–1737. [Google Scholar] [CrossRef]
- Beesley, L.; Moreno-Jiménez, E.; Jenn, P.; Lepp, N. Carbon and Metal(loid)s in Parkland and Road Verge Surface Soils in the City of Liverpool, UK. Agronomy 2020, 10, 335. [Google Scholar] [CrossRef]
- Jo, H.-K.; McPherson, G.E. Carbon Storage and Flux in Urban Residential Greenspace. J. Environ. Manag. 1995, 45, 109–133. [Google Scholar] [CrossRef]
- Pouyat, R.; Groffman, P.M.; Yesilonis, I.; Hernandez, L. Soil carbon pools and fluxes in urban ecosystems. Environ. Pollut. 2002, 116, S107–S118. [Google Scholar] [CrossRef]
- Pouyat, R.V.; Yesilonis, I.D.; Nowak, D.J. Carbon Storage by Urban Soils in the United States. J. Environ. Qual. 2006, 35, 1566–1575. [Google Scholar] [CrossRef]
- Pouyat, R.V.; Yesilonis, I.D.; Golubiewski, N.E. A comparison of soil organic carbon stocks between residential turf grass and native soil. Urban Ecosyst. 2008, 12, 45–62. [Google Scholar] [CrossRef]
- Pouyat, R.V.; Szlavecz, K.; Yesilonis, I.D.; Groffman, P.M.; Schwarz, K. Urban Ecosystem Ecology; Aitkenhead-Peterson, J., Volder, J., Eds.; American Society of Agronomy: Madison, WI, USA, 2015; pp. 119–152. [Google Scholar]
- Kaye, J.P.; McCulley, R.L.; Burke, I.C. Carbon fluxes, nitrogen cycling, and soil microbial communities in adjacent urban, native and agricultural ecosystems. Glob. Chang. Biol. 2005, 11, 575–587. [Google Scholar] [CrossRef]
- Golubiewski, N.E. Urbanization Increases Grassland Carbon Pools: Effects of Landscaping in Colorado’s Front Range. Ecol. Appl. 2006, 16, 555–571. [Google Scholar] [CrossRef]
- Parry, G.; Johnson, M.; Bell, R. Trace metal surveys of soil as a component of strategic and local planning policy development. Environ. Pollut. Ser. B Chem. Phys. 1981, 2, 97–107. [Google Scholar] [CrossRef]
- Beesley, L.; Dickinson, N. Carbon and trace element fluxes in the pore water of an urban soil following greenwaste compost, woody and biochar amendments, inoculated with the earthworm Lumbricus terrestris. Soil Biol. Biochem. 2011, 43, 188–196. [Google Scholar] [CrossRef]
- Stringer, L.C.; Dougill, A.J.; Fraser, E.D.; Hubacek, K.; Prell, C.; Reed, M.S. Unpacking “Participation” in the Adaptive Management of Social–ecological Systems: A Critical Review. Ecol. Soc. 2006, 11, 39. [Google Scholar] [CrossRef]
- Kabisch, N.; Frantzeskaki, N.; Pauleit, S.; Naumann, S.; Davis, M.; Artmann, M.; Haase, D.; Knapp, S.; Korn, H.; Stadler, J.; et al. Nature-based solutions to climate change mitigation and adaptation in urban areas: Perspectives on indicators, knowledge gaps, barriers, and opportunities for action. Ecol. Soc. 2016, 21, 15. [Google Scholar] [CrossRef]
- European Commission. Hard Surfaces. In Hidden Costs-Searching for Alternatives to Land Take and Soil Sealing; European Union: Luxembourg, 2013. [Google Scholar] [CrossRef]
- Ritvo, H. The Dawn of Green: Manchester, Thirlmere, and Modern Environmentalism; University of Chicago Press: Chicago, IL, USA, 2009. [Google Scholar]
- Cranfield Soil and Agrifood Institute. Soilscapes. Available online: http://www.landis.org.uk/soilscapes/ (accessed on 7 April 2020).
- Rossiter, D.G. Classification of Urban and Industrial Soils in the World Reference Base for Soil Resources. J. Soils Sediments 2007, 7, 96–100. [Google Scholar] [CrossRef]
- UK Soils Portal Map Viewer. Available online: http://mapapps2.bgs.ac.uk/ukso/home.html (accessed on 7 April 2020).
- Holland, L. Diversity and connections in community gardens: A contribution to local sustainability. Local Environ. 2004, 9, 285–305. [Google Scholar] [CrossRef]
- Cox, R.J.; Peterson, H.L.; Young, J.; Cusik, C.; Espinoza, E. The forensic analysis of soil organic by FTIR. Forensic Sci. Int. 2000, 108, 107–116. [Google Scholar] [CrossRef]
- Hoogsteen, M.J.J.; Lantinga, E.A.; Bakker, E.J.; Jeroen, J.G.; Tittonell, P.A. Estimating soil organic carbon through loss on ignition: Effects of ignition conditions and structural water loss. Eur. J. Soil Sci. 2015, 66, 320–328. [Google Scholar] [CrossRef]
- Nelson, D.; Sommers, L. Total Carbon, Organic Carbon and Organic Matter. In Methods of Soil Analysis: Part 3, Chemical Methods; Sparks, D., Page, A., Helmke, P., Loeppert, T., Eds.; Soil Science Society of America; American Society of Agronomy: Madison, WI, USA, 1996; pp. 961–1010. [Google Scholar]
- Clark, S.; Menrath, W.; Chen, M.; Roda, S.; Succop, P. Use of a field portable X-ray fluorescence analyzer to determine the concentration of lead and other metals in soil samples. Ann. Agric. Environ. Med. 1999, 6, 27–32. [Google Scholar]
- Markey, A.M.; Clark, C.S.; Succop, P.A.; Roda, S. Determination of the feasibility of using a portable X-ray fluorescence (XRF) analyzer in the field for measurement of lead content of sieved soil. J. Environ. Health 2008, 70, 24–29. [Google Scholar] [PubMed]
- R Core Team. R: A Language and Environment for Statistical Computing; R Foundation for Statistical Computing: Vienna, Austria, 2019; Available online: http://www.R-project.org/ (accessed on 10 April 2020).
- Defra and Environment Agency. Soil Guideline Values for Lead Contamination; R&D Publication SGV London; Environment Agency: London, UK, 2002. [Google Scholar]
- Beesley, L. Carbon storage and fluxes in existing and newly created urban soils. J. Environ. Manag. 2012, 104, 158–165. [Google Scholar] [CrossRef] [PubMed]
- Lal, R.; Follett, R.F.; Stewart, B.A.; Kimble, J.M. Soil carbon sequestration to mitigate climate change and advance food security. Soil Sci. 2007, 172, 943–956. [Google Scholar] [CrossRef]
- Luo, Y.; Zhou, X. Soil Respiration and the Environment; Elsevier: Burlington, MA, USA, 2006. [Google Scholar]
- Blagodatskaya, E.; Yuyukina, T.; Blagodatsky, S.; Kuzyakov, Y. Three-source-partitioning of microbial biomass and of CO2 efflux from soil to evaluate mechanisms of priming effects. Soil Biol. Biochem. 2011, 43, 778–786. [Google Scholar] [CrossRef]
- Beesley, L. Respiration (CO2 flux) from urban and peri-urban soils amended with green waste compost. Geoderma 2014, 223, 68–72. [Google Scholar] [CrossRef]
- Davies, D.; Alloway, B.J. (Eds.) Heavy Metals in Soils; Blackie: London, UK, 1990; pp. 177–196. [Google Scholar]
- Madrid, F.; Reinoso, R.; Florido, M.; Barrientos, E.D.; Ajmone-Marsan, F.; Davidson, C.; Madrid, L. Estimating the extractability of potentially toxic metals in urban soils: A comparison of several extracting solutions. Environ. Pollut. 2007, 147, 713–722. [Google Scholar] [CrossRef]
- Ruiz-Cortés, E.; Reinoso, R.; Díaz-Barrientos, E.; Madrid, L. Concentrations of Potentially Toxic Metals in Urban Soils of Seville: Relationship with Different Land Uses. Environ. Geochem. Health 2005, 27, 465–474. [Google Scholar] [CrossRef]
- Moreno-Jiménez, E.; Beesley, L.; Lepp, N.W.; Dickinson, N.; Hartley, W.; Clemente, R. Field sampling of soil pore water to evaluate trace element mobility and associated environmental risk. Environ. Pollut. 2011, 159, 3078–3085. [Google Scholar] [CrossRef]
- Chuan, M.C.; Shu, G.Y.; Liu, J.C. Solubility of heavy metals in a contaminated soil: Effects of redox potential and pH. Water Air Soil Pollut. 1996, 90, 543–556. [Google Scholar] [CrossRef]
- Clemente, R.; Walker, D.J.; Roig, A.; Bernal, M.P. Heavy metal bioavailability in a soil affected by mineral sulphides contamination following the mine spillage at Aznalcóllar (Spain). Biodegradation 2003, 14, 199–205. [Google Scholar] [CrossRef]
- Ross, S. Sources and Forms of Potentially Toxic Metals in Soil-Plant Systems. In Toxic Metals in Soil-Plant Systems; Ross, S., Ed.; John Wiley and Sons Ltd: Chichester, UK, 1994; pp. 3–25. [Google Scholar]
- Kabata-Pendias, A. Soil–plant transfer of trace elements—An environmental issue. Geoderma 2004, 122, 143–149. [Google Scholar] [CrossRef]
- Walker, D.J.; Clemente, R.; Bernal, M.P. Contrasting effects of manure and compost on soil pH, heavy metal availability and growth of Chenopodium album L. in a soil contaminated by pyritic mine waste. Chemosphere 2004, 57, 215–224. [Google Scholar] [CrossRef] [PubMed]
- Mauro, S.E.-D. An exploratory study of potential As and Pb contamination by atmospheric deposition in two urban vegetable gardens in Rome, Italy. J. Soils Sediments 2016, 18, 426–430. [Google Scholar] [CrossRef]
- Spliethoff, H.; Mitchell, R.G.; Shayler, H.; Marquez-Bravo, L.G.; Russell-Anelli, J.; Ferenz, G.; McBride, M. Estimated lead (Pb) exposures for a population of urban community gardeners. Environ. Geochem. Health 2016, 38, 955–971. [Google Scholar] [CrossRef] [PubMed]
- Vasenev, V.; Kuzyakov, Y. Urban soils as hot spots of anthropogenic carbon accumulation: Review of stocks, mechanisms and driving factors. Land Degrad. Dev. 2018, 29, 1607–1622. [Google Scholar] [CrossRef]
- Lepp, N.W.; Hartley, J.; Toti, M.; Dickinson, N.M. Patterns of soil copper contamination in the vicinity of a copper rod rolling factory. Environ. Pollut. 1997, 95, 363–369. [Google Scholar] [CrossRef]
- Pulford, I.; Watson, C. Phytoremediation of heavy metal-contaminated land by trees—A review. Environ. Int. 2003, 29, 529–540. [Google Scholar] [CrossRef]
© 2020 by the authors. Licensee MDPI, Basel, Switzerland. This article is an open access article distributed under the terms and conditions of the Creative Commons Attribution (CC BY) license (http://creativecommons.org/licenses/by/4.0/).




