Comparisons of Chlorophyll Fluorescence and Physiological Characteristics of Wheat Seedlings Influenced by Iso-Osmotic Stresses from Polyethylene Glycol and Sodium Chloride
Abstract
1. Introduction
2. Materials and Methods
2.1. Plant and Growth Conditions
2.2. Experimental Treatments
2.3. Growth Analysis
2.4. Measurements of ChlF
2.5. Measurement of APX Activity
2.6. Determination of Photosynthetic Pigment Concentration
2.7. Determination of MDA Concentration
2.8. Statistical Analyses
3. Results
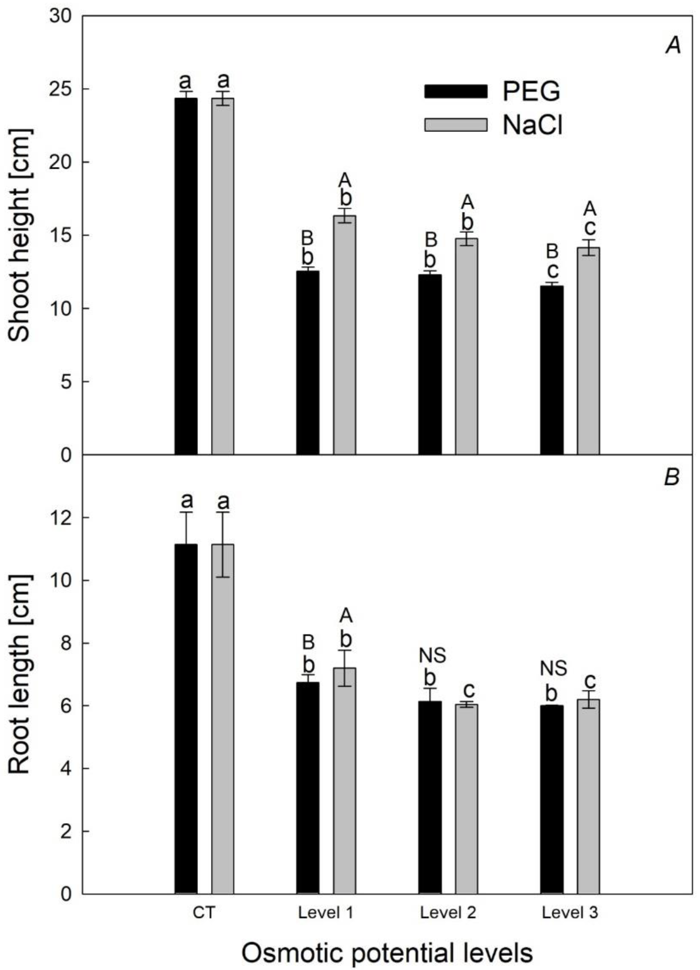
3.1. Growth Analysis
3.2. ChlF
3.3. APX Activity
3.4. Photosynthetic Pigments
3.5. MDA Concentration
4. Discussion
5. Conclusions
Author Contributions
Funding
Conflicts of Interest
References
- Isayenkov, S. Physiological and molecular aspects of salt stress in plants. Cytol. Genet. 2012, 46, 302–318. [Google Scholar] [CrossRef]
- Munns, R.; Sharp, R. Involvement of abscisic acid in controlling plant growth in soil of low water potential. Funct. Plant Biol. 1993, 20, 425–437. [Google Scholar] [CrossRef]
- Filek, M.; Walas, S.; Mrowiec, H.; Rudolphy-Skórska, E.; Sieprawska, A.; Biesaga-Kościelniak, J. Membrane permeability and micro-and macroelement accumulation in spring wheat cultivars during the short-term effect of salinity-and PEG-induced water stress. Acta Physiol. Plant. 2012, 34, 985–995. [Google Scholar] [CrossRef]
- Munns, R. Comparative physiology of salt and water stress. Plant Cell Environ. 2002, 25, 239–250. [Google Scholar] [CrossRef]
- Agarwal, P.K.; Shukla, P.S.; Gupta, K.; Jha, B. Bioengineering for salinity tolerance in plants: State of the art. Mol. Biotechnol. 2013, 54, 102–123. [Google Scholar] [CrossRef]
- Zhang, D.; Tong, J.; He, X.; Xu, Z.; Xu, L.; Wei, P.; Huang, Y.; Brestic, M.; Ma, H.; Shao, H. A novel soybean intrinsic protein gene, GmTIP2; 3, involved in responding to osmotic stress. Front. Plant Sci. 2016, 6, 1237. [Google Scholar] [CrossRef]
- Tahjib-UI-Arif, M.; Sohag, A.A.M.; Afrin, S.; Bashar, K.K.; Afrin, T.; Mahamud, A.; Polash, M.A.S.; Hossain, M.; Sohel, M.; Taher, A. Differential response of sugar beet to long-term mild to severe salinity in a soil–pot culture. Agriculture 2019, 9, 223. [Google Scholar] [CrossRef]
- Nxele, X.; Klein, A.; Ndimba, B. Drought and salinity stress alters ROS accumulation, water retention, and osmolyte content in sorghum plants. S. Afr. J. Bot. 2017, 108, 261–266. [Google Scholar] [CrossRef]
- Almansouri, M.; Kinet, J.M.; Lutts, S. Effect of salt and osmotic stresses on germination in durum wheat (Triticum durum Desf.). Plant Soil 2001, 231, 243–254. [Google Scholar] [CrossRef]
- Sayar, R.; Bchini, H.; Mosbahi, M.; Khemira, H. Response of durum wheat (Triticum durum Desf.) growth to salt and drought stresses. Czech J. Genet. Plant Breed. 2010, 46, 54–63. [Google Scholar] [CrossRef]
- Marcińska, I.; Czyczyło-Mysza, I.; Skrzypek, E.; Filek, M.; Grzesiak, S.; Grzesiak, M.T.; Janowiak, F.; Hura, T.; Dziurka, M.; Dziurka, K. Impact of osmotic stress on physiological and biochemical characteristics in drought-susceptible and drought-resistant wheat genotypes. Acta Physiol. Plant. 2013, 35, 451–461. [Google Scholar] [CrossRef]
- Huang, J.; Redmann, R. Salt tolerance of Hordeum and Brassica species during germination and early seedling growth. Can. J. Plant Sci. 1995, 75, 815–819. [Google Scholar] [CrossRef]
- Rakhmankulova, Z.; Voronin, P.Y.; Shuyskaya, E.; Kuznetsova, N.; Zhukovskaya, N.; Toderich, K. Effect of NaCl and isoosmotic polyethylene glycol stress on gas exchange in shoots of the C 4 xerohalophyte Haloxylon aphyllum (Chenopodiaceae). Photosynthetica 2014, 52, 437–443. [Google Scholar] [CrossRef]
- Muranaka, S.; Shimizu, K.; Kato, M. Ionic and osmotic effects of salinity on single-leaf photosynthesis in two wheat cultivars with different drought tolerance. Photosynthetica 2002, 40, 201–207. [Google Scholar] [CrossRef]
- Muranaka, S.; Shimizu, K.; Kato, M. A salt-tolerant cultivar of wheat maintains photosynthetic activity by suppressing sodium uptake. Photosynthetica 2002, 40, 505–515. [Google Scholar] [CrossRef]
- Greenway, H.; Munns, R. Mechanisms of salt tolerance in nonhalophytes. Annu. Rev. Plant Physiol. 1980, 31, 149–190. [Google Scholar] [CrossRef]
- Sharma, S.; Joshi, Y.; Bal, A. Osmotic and ionic effects in salt sensitive and resistant wheat varieties. Indian J. Plant Physiol. 1984, 27, 153–158. [Google Scholar]
- Lutts, S.; Kinet, J.; Bouharmont, J. Changes in plant response to NaCl during development of rice (Oryza sativa L.) varieties differing in salinity resistance. J. Exp. Bot. 1995, 46, 1843–1852. [Google Scholar] [CrossRef]
- Borsani, O.; Valpuesta, V.; Botella, M.A. Evidence for a role of salicylic acid in t he oxidative damage generated by NaCl and osmotic stress in Arabidopsis seedlings. Plant Physiol. 2001, 126, 1024–1030. [Google Scholar] [CrossRef]
- Chaves, M.M.; Flexas, J.; Pinheiro, C. Photosynthesis under drought and salt stress: Regulation mechanisms from whole plant to cell. Ann. Bot. 2009, 103, 551–560. [Google Scholar] [CrossRef]
- Munns, R. Genes and salt tolerance: Bringing them together. New Phytol. 2005, 167, 645–663. [Google Scholar] [CrossRef] [PubMed]
- Yeo, A. Salinity resistance: Physiologies and prices. Physiol. Plant. 1983, 58, 214–222. [Google Scholar] [CrossRef]
- Hsiao, T.C.; Acevedo, E.; Fereres, E.; Henderson, D. Water stress, growth and osmotic adjustment. Philos. Trans. R. Soc. Lond. B Biol. Sci. 1976, 273, 479–500. [Google Scholar]
- Prat, D.; Fathi-Ettai, R.A. Variation in organic and mineral components in young Eucalyptus seedlings under saline stress. Physiol. Plant. 1990, 79, 479–486. [Google Scholar] [CrossRef]
- Pérez-Alfocea, F.; Estan, M.; Caro, M.; Guerrier, G. Osmotic adjustment in Lycopersicon esculentum and L. Pennellii under NaCl and polyethylene glycol 6000 iso–osmotic stresses. Physiol. Plant. 1993, 87, 493–498. [Google Scholar] [CrossRef]
- Darko, E.; Végh, B.; Khalil, R.; Marček, T.; Szalai, G.; Pál, M.; Janda, T. Metabolic responses of wheat seedlings to osmotic stress induced by various osmolytes under iso-osmotic conditions. PLoS ONE 2019, 14, e0226151. [Google Scholar] [CrossRef]
- Slama, I.; Ghnaya, T.; Savouré, A.; Abdelly, C. Combined effects of long-term salinity and soil drying on growth, water relations, nutrient status and proline accumulation of Sesuvium portulacastrum. C. R. Biol. 2008, 331, 442–451. [Google Scholar] [CrossRef]
- Zörb, C.; Geilfus, C.M.; Dietz, K.J. Salinity and crop yield. Plant Biol. 2019, 21, 31–38. [Google Scholar] [CrossRef]
- Siringam, K.; Juntawong, N.; Cha-um, S.; Kirdmanee, C. Relationships between sodium ion accumulation and physiological characteristics in rice (Oryza sativa L. spp. indica) seedlings grown under iso-osmotic salinity stress. Pak. J. Bot. 2009, 41, 1837–1850. [Google Scholar]
- Sayar, R.; Khemira, H.; Kameli, A.; Mosbahi, M. Physiological tests as predictive appreciation for drought tolerance in durum wheat (Triticum durum Desf.). Agron. Res. 2008, 6, 79–90. [Google Scholar]
- Dąbrowski, P.; Pawluśkiewicz, B.; Baczewska, A.H.; Oglecki, P.; Kalaji, H. Chlorophyll a fluorescence of perennial ryegrass (Lolium perenne L.) varieties under long term exposure to shade. Zemdirbyste 2015, 102. [Google Scholar] [CrossRef]
- Dąbrowski, P.; Baczewska, A.; Pawluśkiewicz, B.; Paunov, M.; Alexantrov, V.; Goltsev, V.; Kalaji, M. Prompt chlorophyll a fluorescence as a rapid tool for diagnostic changes in PSII structure inhibited by salt stress in Perennial ryegrass. J. Photochem. Photobiol. B Biol. 2016, 157, 22–31. [Google Scholar] [CrossRef] [PubMed]
- Kalaji, H.; Rastogi, A.; Živčák, M.; Brestic, M.; Daszkowska-Golec, A.; Sitko, K.; Alsharafa, K.; Lotfi, R.; Stypiński, P.; Samborska, I. Prompt chlorophyll fluorescence as a tool for crop phenotyping: An example of barley landraces exposed to various abiotic stress factors. Photosynthetica 2018, 56, 953–961. [Google Scholar] [CrossRef]
- Faseela, P.; Sinisha, A.; Brestic, M.; Puthur, J. Special issue in honour of Prof. Reto J. Strasser–Chlorophyll a fluorescence parameters as indicators of a particular abiotic stress in rice. Photosynthetica 2019, 57, 108–115. [Google Scholar]
- Dąbrowski, P.; Kalaji, M.; Baczewska, A.; Pawluśkiewicz, B.; Mastalerczuk, G.; Borawska-Jarmułowicz, B.; Paunov, M.; Goltsev, V. Delayed chlorophyll a fluorescence, MR 820, and gas exchange changes in perennial ryegrass under salt stress. JLum 2017, 183, 322–333. [Google Scholar] [CrossRef]
- Dąbrowski, P.; Baczewska-Dąbrowska, A.H.; Kalaji, H.M.; Goltsev, V.; Paunov, M.; Rapacz, M.; Wójcik-Jagła, M.; Pawluśkiewicz, B.; Bąba, W.; Brestic, M. Exploration of chlorophyll a fluorescence and plant gas exchange parameters as indicators of drought tolerance in perennial ryegrass. Sensors 2019, 19, 2736. [Google Scholar] [CrossRef]
- Kalaji, H.M.; Račková, L.; Paganová, V.; Swoczyna, T.; Rusinowski, S.; Sitko, K. Can chlorophyll-a fluorescence parameters be used as bio-indicators to distinguish between drought and salinity stress in Tilia cordata Mill? Environ. Exp. Bot. 2018, 152, 149–157. [Google Scholar] [CrossRef]
- Lan, C.Y.; Lin, K.H.; Huang, W.D.; Chen, C.C. Protective effects of selenium on wheat seedlings under salt stress. Agronomy 2019, 9, 272. [Google Scholar] [CrossRef]
- Zadoks, J.C.; Chang, T.T.; Konzak, C.F. A decimal code for the growth stages of cereals. Weed Res. 1974, 14, 415–421. [Google Scholar] [CrossRef]
- Van Kooten, O.; Snel, J.F. The use of chlorophyll fluorescence nomenclature in plant stress physiology. Photosynth. Res. 1990, 25, 147–150. [Google Scholar] [CrossRef]
- Kramer, D.M.; Johnson, G.; Kiirats, O.; Edwards, G.E. New fluorescence parameters for the determination of QA redox state and excitation energy fluxes. Photosynth. Res. 2004, 79, 209. [Google Scholar] [CrossRef] [PubMed]
- Nakano, Y.; Asada, K. Hydrogen peroxide is scavenged by ascorbate-specific peroxidase in spinach chloroplasts. Plant Cell Physiol. 1981, 22, 867–880. [Google Scholar]
- Yang, C.M.; Chang, K.W.; Yin, M.H.; Huang, H.M. Methods for the determination of the chlorophylls and their derivatives. Taiwania 1998, 43, 116–122. [Google Scholar]
- Heath, R.L.; Packer, L. Photoperoxidation in isolated chloroplasts: I. Kinetics and stoichiometry of fatty acid peroxidation. Arch. Biochem. Biophys. 1968, 125, 189–198. [Google Scholar] [CrossRef]
- Sun, Y.; Xu, W.; Fan, A. Effects of salicylic acid on chlorophyll fluorescence and xanthophyll cycle in cucumber leaves under high temperature and strong light. J. Appl. Ecol. 2006, 17, 399–402. [Google Scholar]
- Suriyan, C.U.; Chalermpol, K. Proline accumulation, photosynthetic abilities and growth characters of sugarcane (Saccharum officinarum L.) plantlets in response to iso-osmotic salt and water-deficit stress. Agric. Sci. China 2009, 8, 51–58. [Google Scholar] [CrossRef]
- Flagella, Z.; Campanile, R.; Stoppelli, M.; De Caro, A.; Di Fonzo, N. Drought tolerance of photosynthetic electron transport under CO2-enriched and normal air in cereal species. Physiol. Plant. 1998, 104, 753–759. [Google Scholar] [CrossRef]
- Siefermann-Harms, D. The light-harvesting and protective functions of carotenoids in photosynthetic membranes. Physiol. Plant. 1987, 69, 561–568. [Google Scholar] [CrossRef]
- Wang, W.B.; Kim, Y.H.; Lee, H.S.; Kim, K.Y.; Deng, S.P.; Kwak, S.S. Analysis of antioxidant enzyme activity during germination of alfalfa under salt and drought stresses. Plant Physiol. Biochem. 2009, 47, 570–577. [Google Scholar] [CrossRef]
- Pandey, S.; Fartyal, D.; Agarwal, A.; Shukla, T.; James, D.; Kaul, T.; Negi, Y.K.; Arora, S.; Reddy, M.K. Abiotic Stress tolerance in plants: Myriad roles of ascorbate peroxidase. Front. Plant Sci. 2017, 8, 581. [Google Scholar] [CrossRef]
- Pinto, S.D.S.; Souza, A.E.D.; Oliva, M.A.; Pereira, E.G. Oxidative damage and photosynthetic impairment in tropical rice cultivars upon exposure to excess iron. Sci. Agric. 2016, 73, 217–226. [Google Scholar] [CrossRef]
- Shao, H.B.; Chu, L.Y.; Jaleel, C.A.; Zhao, C.X. Water-deficit stress-induced anatomical changes in higher plants. C. R. Biol. 2008, 331, 215–225. [Google Scholar] [CrossRef] [PubMed]
- Sayar, R.; Khemira, H.; Kharrat, M. Inheritance of deeper root length and grain yield in half-diallel durum wheat (Triticum durum) crosses. Ann. Appl. Biol. 2007, 151, 213–220. [Google Scholar] [CrossRef]
- Greacen, E.; Oh, J. Physics of root growth. Nat. Cell Biol. 1972, 235, 24. [Google Scholar] [CrossRef] [PubMed]
- Igarashi, K.; Kashiwagi, K. Polyamines: Mysterious Modulators of Cellular Functions. Biochem. Biophys. Res. Commun. 2000, 271, 559–564. [Google Scholar] [CrossRef]





| Osmotic Potential Level | Osmoticum | Chl a [mg g−1 (DW)] | Chl b [mg g−1 (DW)] | Chl a + b [mg g−1 (DW)] | Car [mg g−1 (DW)] | ||||
|---|---|---|---|---|---|---|---|---|---|
| CT | PEG | 6.92 ± 0.16 | a | 3.19 ± 0.09 | a | 10.1 ± 0.3 | a | 1.40 ± 0.04 | a |
| NaCl | 6.92 ± 0.16 | a | 3.19 ± 0.09 | a | 10.1 ± 0.3 | a | 1.40 ± 0.04 | a | |
| Level 1 | PEG | 3.77 ± 0.19 | b B | 1.68 ±0.09 | b B | 5.45 ± 0.17 | b B | 0.84 ± 0.02 | b B |
| NaCl | 4.52 ± 0.26 | b A | 2.04 ± 0.09 | b A | 6.56 ± 0.35 | b A | 0.92 ± 0.04 | b A | |
| Level 2 | PEG | 3.10 ± 0.16 | c B | 1.48 ±0.05 | c B | 4.58 ± 0.18 | c B | 0.81 ± 0.05 | b B |
| NaCl | 4.43 ± 0.00 | b A | 1.82 ± 0.05 | c A | 6.25 ± 0.05 | b A | 0.90 ± 0.02 | b A | |
| Level 3 | PEG | 2.29 ± 0.04 | d B | 1.04 ± 0.03 | d B | 3.33 ± 0.07 | d B | 0.84 ± 0.03 | b B |
| NaCl | 3.25 ± 0.07 | c A | 1.43 ± 0.03 | d A | 4.68 ± 0.10 | c A | 0.87 ±0.01 | b A | |
© 2020 by the authors. Licensee MDPI, Basel, Switzerland. This article is an open access article distributed under the terms and conditions of the Creative Commons Attribution (CC BY) license (http://creativecommons.org/licenses/by/4.0/).
Share and Cite
Lan, C.-Y.; Lin, K.-H.; Chen, C.-L.; Huang, W.-D.; Chen, C.-C. Comparisons of Chlorophyll Fluorescence and Physiological Characteristics of Wheat Seedlings Influenced by Iso-Osmotic Stresses from Polyethylene Glycol and Sodium Chloride. Agronomy 2020, 10, 325. https://doi.org/10.3390/agronomy10030325
Lan C-Y, Lin K-H, Chen C-L, Huang W-D, Chen C-C. Comparisons of Chlorophyll Fluorescence and Physiological Characteristics of Wheat Seedlings Influenced by Iso-Osmotic Stresses from Polyethylene Glycol and Sodium Chloride. Agronomy. 2020; 10(3):325. https://doi.org/10.3390/agronomy10030325
Chicago/Turabian StyleLan, Chiu-Yueh, Kuan-Hung Lin, Chun-Liang Chen, Wen-Dar Huang, and Chang-Chang Chen. 2020. "Comparisons of Chlorophyll Fluorescence and Physiological Characteristics of Wheat Seedlings Influenced by Iso-Osmotic Stresses from Polyethylene Glycol and Sodium Chloride" Agronomy 10, no. 3: 325. https://doi.org/10.3390/agronomy10030325
APA StyleLan, C.-Y., Lin, K.-H., Chen, C.-L., Huang, W.-D., & Chen, C.-C. (2020). Comparisons of Chlorophyll Fluorescence and Physiological Characteristics of Wheat Seedlings Influenced by Iso-Osmotic Stresses from Polyethylene Glycol and Sodium Chloride. Agronomy, 10(3), 325. https://doi.org/10.3390/agronomy10030325

