Integrating Phenological, Aerobiological and Weather Data to Study the Local and Regional Flowering Dynamics of Four Grapevine Cultivars
Abstract
1. Introduction
2. Material and Methods
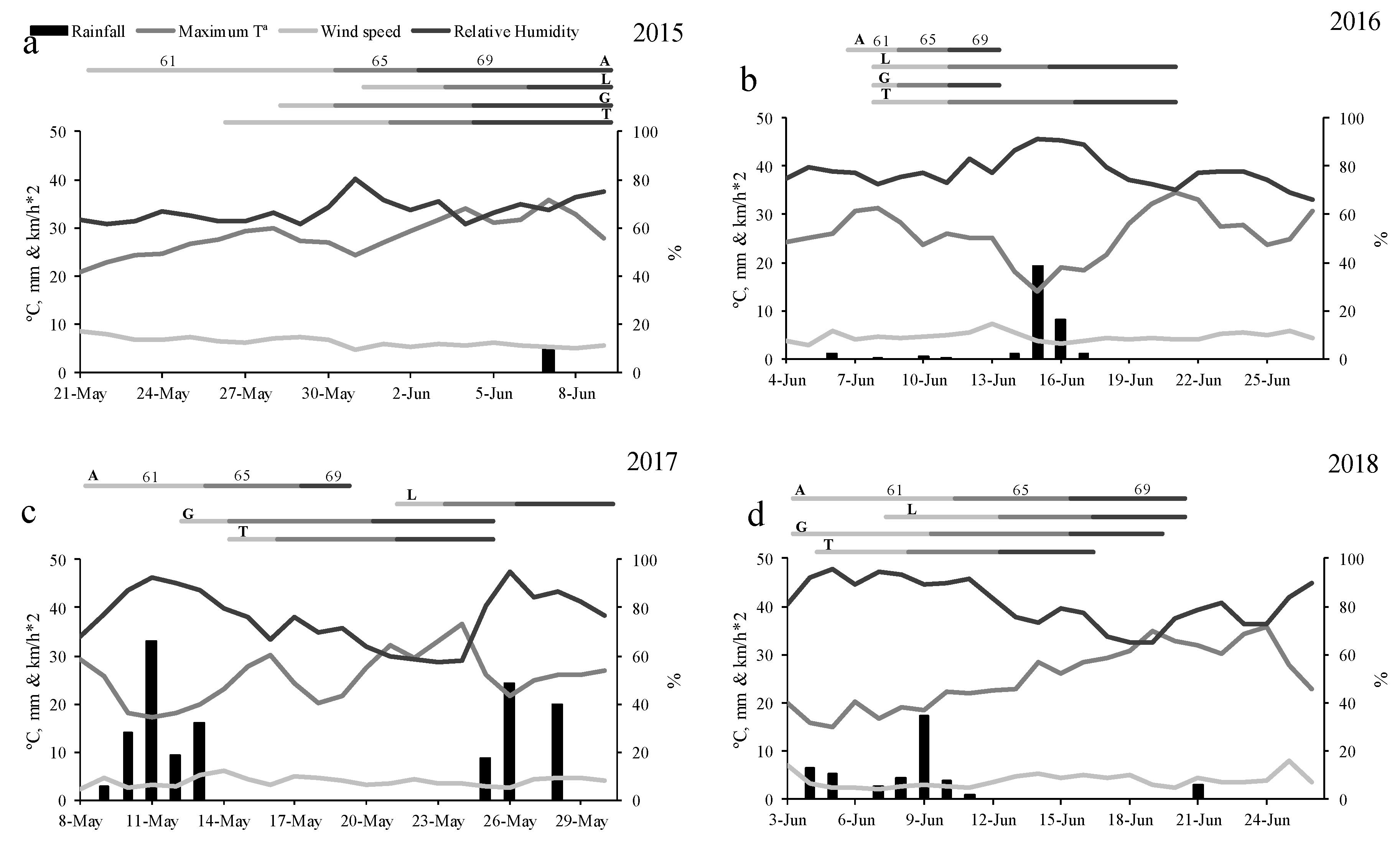
3. Results
4. Discussion
5. Conclusions
Author Contributions
Funding
Conflicts of Interest
References
- Leolini, L.; Moriondo, M.; Fila, G.; Costafreda-Aumedes, S.; Ferrise, R.; Bindi, M. Late spring frost impacts on future grapevine distribution in Europe. Field Crop. Res. 2018, 222, 197–208. [Google Scholar] [CrossRef]
- Parker, A.; de Cortázar-Atauri, I.G.; Chuine, I.; Barbeau, G.; Bois, B.; Boursiquot, J.M.; Cahurel, J.-Y.; Claverie, M.; Dufourcq, T.; Gény, L.; et al. Classification of varieties for their timing of flowering and veraison using a modelling approach: A case study for the grapevine species Vitis vinifera L. Agric. For. Meteorol. 2013, 180, 249–264. [Google Scholar] [CrossRef]
- Fernández-González, M.; Rodríguez-Rajo, F.J.; Jato, V.; Aira, M.J.; Ribeiro, H.; Oliveira, M.; Abreu, I. Forecasting ARIMA models for atmospheric vineyard pathogens in Galicia and Northern Portugal: Botrytis cinerea spores. Ann. Agric. Environ. Med. 2012, 19, 255–262. [Google Scholar] [PubMed]
- Fernández-González, M.; Rodríguez-Rajo, F.J.; Escuredo, O.; Aira, M.J. Influence of thermal requirement in the aerobiological and phenological behavior of two grapevine varieties. Aerobiologia 2013, 29, 523–535. [Google Scholar] [CrossRef]
- Kishino, A.Y.; Marur, I.P.H. Factores climáticos e o desenvolvimento da videira. In Viticultura Tropical: O Sistema deProducao doParana; Kishino, A.Y., de Carvalho, S.C., Roberto, S.R., Eds.; IAPAR: Londrina, Brazil, 2007; pp. 59–86. [Google Scholar]
- Duchene, E.; Huard, F.; Dumas, V.; Schneider, C.; Merdinoglu, D. The challenge of adapting grapevine varieties to climate change. Clim. Res. 2010, 41, 193–204. [Google Scholar] [CrossRef]
- Mandelli, F.; Tonietto, J.; Camargo, U.A.; Czermainski, A.B.C. Fenologia e necessidades térmicas da videira na Serra Gaúcha. In XVIII Congresso Brasileiro de Fruticultura; Agrolink: Florianópolis, Brazil, 2004. [Google Scholar]
- Piña, S.; Bautista, D. Ciclo fenológico de cultivares de vid (Vitis vinifera L.) para mesa en condiciones tropicales. Bioagro 2004, 16, 9–15. [Google Scholar]
- Kamel, A. Estudio Sobre la Sexualidad de las Uvas de Mesa en España; Instituto Nacional de Investigaciones Agronómicas: Madrid, Spain, 1959. [Google Scholar]
- Fernández-González, M.; Rodríguez-Rajo, F.J.; Aira, M.J.; Jato, V. Phenology of the Treixadura variety cultivated in the Ribeiro Denomination of Origin (Ourense-Spain) during the year 2008. Polen 2007, 17, 23–38. [Google Scholar]
- Fernández-González, M.; Rodríguez-Rajo, F.J.; Jato, V.; Escuredo, O.; Aira, M.J. Estimation of yield ‘Loureira’ variety with an aerobiological and phenological model. Grana 2011, 50, 63–72. [Google Scholar] [CrossRef]
- Cunha, M.; Abreu, I.; Pinto, P.; Castro, R. Airborne pollen samples for early-season estimates of wine production in a Mediterranean climate of northern Portugal. Am. J. Enol. Vitic. 2003, 54, 189–194. [Google Scholar]
- Cunha, M.; Ribeiro, H.; Costa, P.; Abreu, I. A comparative study of vineyard phenology and pollen metrics extracted from airborne pollen time series. Aerobiologia 2015, 31, 45–56. [Google Scholar] [CrossRef]
- Galán, C.; Vázquez, L.; García-Mozo, H.; Dominguez-Vilches, E. Forecasting olive (Olea europaea) crop yield based on pollen emission. Field Crop Res. 2004, 86, 43–51. [Google Scholar] [CrossRef]
- Ribeiro, H.; Cunha, M.; Abreu, I. A bioclimatic model for forecasting olive yield. J. Agric. Sci. 2009, 147, 647–656. [Google Scholar] [CrossRef]
- Ribeiro, H.; Abreu, I.; Cunha, M. Olive crop-yield forecasting based on airborne pollen in a region where the olive groves acreage and crop system changed drastically. Aerobiologia 2017, 33, 473–480. [Google Scholar] [CrossRef]
- Oteros, J.; Orlandi, F.; García-Mozo, H.; Aguilera, F.; Dhiab, A.B.; Bonofiglio, T.; Abichou, M.; Ruiz-Valenzuela, L.; Trigo, M.M.; Díaz de la Guardia, C.; et al. Better prediction of Mediterranean olive production using pollen-based models. Agron. Sustain. Dev. 2014, 34, 685–694. [Google Scholar] [CrossRef]
- Belmonte, J.; Canela, M.; Guàrdia, R.A. Comparison between categorical pollen data obtained by Hirst and Cour sampling methods. Aerobiologia 2000, 16, 177–185. [Google Scholar] [CrossRef]
- Kelly, H.Y.; Dufault, N.S.; Walker, D.R.; Isard, S.A.; Schneider, R.W.; Giesler, L.J.; Wright, D.L.; Marois, J.J.; Hartman, G.L. From select agent to an established pathogen: The response to Phakopsora pachyrhizi (soybean rust) in North America. Phytopathology 2015, 105, 905–916. [Google Scholar] [CrossRef]
- Moreno-Grau, S.; Aira, M.J.; Elvira-Rendueles, B.; Fernández-González, M.; Fernández-González, D.; García-Sánchez, A.; Martínez-García, M.J.; Moreno, J.M.; Negral, L.; Vara, A.; et al. Assessment of the Olea pollen and its major allergen Ole e 1 concentrations in the bioearosol of two biogeographical areas. Atmos. Environ. 2016, 145, 264–271. [Google Scholar] [CrossRef]
- Galán, C.; Alcázar, P.; Oteros, J.; García-Mozo, H.; Aira, M.J.; Belmonte, J.; Díaz de la Guardia, C.; Fernández-González, D.; Gutierrez-Bustillo, M.; Moreno-Grau, S.; et al. Airborne pollen trends in the Iberian Peninsula. Sci. Total Environ. 2016, 550, 53–59. [Google Scholar] [CrossRef]
- Aira, M.J.; Almaguer Chávez, M.; Fernández-González, M.; Rodríguez-Rajo, F.J. Pollen diversity in the atmosphere of Havana, Cuba. Aerobiologia 2018, 34, 389–403. [Google Scholar] [CrossRef]
- Almaguer-Chávez, M.; Aira, M.J.; Rojas, T.I.; Fernández-González, M.; Rodríguez-Rajo, F.J. New findings of airborne fungal spores in the atmosphere of havana, cuba, using aerobiological non-viable methodology. Ann. Agric. Environ. Med. 2018, 25, 349–359. [Google Scholar] [CrossRef]
- Fernández-González, M.; Rodríguez-Rajo, F.J.; Escuredo, O.; Aira, M.J. Optimization of integrated pest management for powdery mildew (Unincula necator) control in a vineyard based on a combination of phenological, meteorological and aerobiological data. J. Agric. Sci. 2013, 151, 648–658. [Google Scholar] [CrossRef]
- West, J.S.; Kimber, R.B.E. Innovations in air sampling to detect plant pathogens. Ann. Appl. Biol. 2015, 166, 4–17. [Google Scholar] [CrossRef] [PubMed]
- Blanco-Ward, D.; García, J.M.; Jones, G.V. Spatial climate variability and viticulture in the Miño River Valley of Spain. Vitis 2007, 46, 63–70. [Google Scholar]
- Orriols, I.; Vázquez, I.; Losada, A. Variedades gallegas. Terruños 2006, 16, 11–18. [Google Scholar]
- Hirst, J.M. An automatic volumetric spore trap. Ann. Appl. Biol. 1952, 39, 257–265. [Google Scholar] [CrossRef]
- Galán, C.; Cariñanos, P.; Alcázar, P.; Dominguez-Vilches, E. Spanish Aerobiology Network (REA): Management and Quality Manual; Servicio de Publicaciones: Córdoba, Spain, 2007; pp. 39–74. [Google Scholar]
- Galán, C.; Ariatti, A.; Bonini, M.; Clot, B.; Crouzy, B.; Dahl, A.; Fernández-González, D.; Frenguelli, G.; Gehrig, R.; Isard, S.; et al. Recommended terminology for aerobiological studies. Aerobiologia 2017, 33, 293–295. [Google Scholar] [CrossRef]
- Cour, P. Nouvelles technique de détection des flux et des retombé es polliniques: Étude de la sedimentation des pollens et des spores á la surface du sol. Pollen et Spores XVI 1974, 1, 103–141. [Google Scholar]
- Ribeiro, H.; Cunha, M.; Abreu, I. Definition of the main pollen season using a logistic model. Ann. Agric. Environ. Med. 2007, 14, 159–167. [Google Scholar]
- Lorenz, D.H.; Eichorn, K.W.; Bleiholder, H.; Klose, R.; Meier, U.; Weber, E. Phänologische Entwicklungsstadien der Weinrebe (Vitis vinifera L. ssp. vinifera). Codierung und Beschreibung nach der erweiterten BBCH-Skala. Viticult. Enol. Sci. 1994, 49, 66–70. [Google Scholar]
- Meier, U. Growth Stages of Mono and Dicotyledonous Plants. 2001. Available online: https://www.julius-kuehn.de/media/Veroeffentlichungen/bbch%20epaper%20en/page.pdf (accessed on 19 December 2019).
- Rolph, G.D. Real-time Environmental Applications and Display SYstem (READY). Environ. Modell. Softw. 2017, 95, 210–228. [Google Scholar] [CrossRef]
- Jones, G.V.; Reid, R.; Vilks, A. Climate, grapes, and wine: Structure and suitability in a variable and changing climate. In The Geography of Wine: Regions, Terroir, and Techniques; Dougherty, P.H., Ed.; Springer: Heidelberg, The Netherlands, 2012; pp. 109–133. [Google Scholar]
- Pedro Júnior, M.J.; Sentelhas, P.C. Clima e produção. In Uva: Tecnologia de Produção, Pós-Colheita, Mercado; Pommer, C.V., Ed.; Editora Cinco Continentes: Porto Alegre, Brazil, 2003; pp. 63–107. [Google Scholar]
- Kelen, M.; Dermitas, I. Pollen viability, germination capability and pollen production level of some grape varieties (Vitis vinifera L.). Acta Physiol. Plant. 2003, 25, 229–233. [Google Scholar] [CrossRef]
- Martínez-Bracero, M.; Alcázar, P.; Velasco-Jiménez, M.J.; Calderón-Ezquerro, C.; Galán, C. Phenological and aerobiological study of vineyards in the Montilla-Moriles PDO area, Cordoba, southern Spain. J. Agric. Sci. 2018, 156, 821–831. [Google Scholar] [CrossRef]
- Sato, A.J.; Jubileu, B.S.; Marinho de Asis, A.; Roberto, S.R. Phenology production and must compounds of ‘‘Cabernet Saugvignon’’ and ‘‘Tanat’’ grapevines in subtropical climate. Rev. Bras. Frutic. 2011, 33, 491–499. [Google Scholar] [CrossRef][Green Version]
- Sato, A.J.; Silva, B.J.; Santos, C.E.; Bertolucci, R.; Santos, R.; Carielo, M.; Guiraud, M.C.; de Batista Fonseca, I.C.; Roberto, S.R. Phenology and thermal demand of ‘‘Isabel’’ and ‘‘Rubea’’ grapevines on different rootstocks in North of Paraná. Semina Ciencias Agrárias 2008, 29, 283–292. [Google Scholar]
- Cristofolini, F.; Gottardini, E. Concentration of airborne pollen of Vitis vinifera L. and yield forecast: A case study at S. Michele all’Adige, Trento, Italy. Aerobiologia 2000, 16, 125–129. [Google Scholar] [CrossRef]
- Jones, G.V.; Davis, R.E. Climate influences on grapevine phenology, grape composition, and wine production and quality for Bordeaux, France. Am. J. Enol. Vitic. 2000, 51, 249–261. [Google Scholar]
- Ribeiro, H.; Cunha, M.; Abreu, I. Airborne pollen concentration in the regions of Braga, Portugal, and its relationship with meteorological parameters. Aerobiologia 2003, 19, 21–27. [Google Scholar] [CrossRef]
- Martínez-Bracero, M.; Alcázar, P.; Velasco-Jiménez, M.J.; Galán, C. Effect of the Mediterranean crops in the ariborne pollen espectrum. Aerobiologia 2019, 35, 647–657. [Google Scholar] [CrossRef]
- Fernández-González, M.; Ribeiro, H.; Pereira, J.R.S.; Rodríguez-Rajo, F.J.; Abreu, I. Assessment of the potential real pollen related allergenic load on the atmosphere of Porto city. Sci. Total Environ. 2019, 668, 333–341. [Google Scholar] [CrossRef]








| Phenological | ‘Treixadura’ | ‘Godello’ | ‘Loureira’ | ‘Albariño’ | Average | |||||||||
|---|---|---|---|---|---|---|---|---|---|---|---|---|---|---|
| Phases | Start | End | Length | Start | End | Length | Start | End | Length | Start | End | Length | Annual Length | |
| 2015 | 61 | 26-May | 1-Jun | 7 | 28-May | 31-May | 3 | 31-May | 2-Jun | 4 | 21-May | 30-May | 10 | 15 |
| 65 | 2-Jun | 4-Jun | 3 | 1-Jun | 4-Jun | 5 | 3-Jun | 6-Jun | 3 | 31-Jun | 2-Jun | 3 | ||
| 69 | 5-Jun | 9-Jun | 5 | 5-Jun | 9-Jun | 5 | 7-Jun | 9-Jun | 3 | 3-Jun | 9-Jun | 7 | ||
| 2016 | 61 | 9-Jun | 12-Jun | 4 | 9-Jun | 10-Jun | 2 | 9-Jun | 12-Jun | 4 | 8-Jun | 10-Jun | 3 | 10 |
| 65 | 13-Jun | 17-Jun | 5 | 11-Jun | 12-Jun | 2 | 13-Jun | 16-Jun | 4 | 11-Jun | 12-Jun | 2 | ||
| 69 | 18-Jun | 21-Jun | 4 | 13-Jun | 14-Jun | 2 | 17-Jun | 21-Jun | 5 | 13-Jun | 14-Jun | 2 | ||
| 2017 | 61 | 14-May | 16-May | 3 | 12-May | 14-May | 3 | 21-May | 23-May | 3 | 8-May | 13-May | 6 | 12 |
| 65 | 17-May | 21-May | 5 | 15-May | 20-May | 6 | 24-May | 26-May | 3 | 14-May | 17-May | 4 | ||
| 69 | 22-May | 25-May | 4 | 21-May | 25-May | 5 | 27-May | 30-May | 4 | 18-May | 19-May | 2 | ||
| 2018 | 61 | 4-Jun | 8-Jun | 5 | 3-Jun | 9-Jun | 7 | 7-Jun | 12-Jun | 6 | 3-Jun | 10-Jun | 8 | 16 |
| 65 | 9-Jun | 12-Jun | 4 | 10-Jun | 15-Jun | 6 | 13-Jun | 16-Jun | 4 | 11-Jun | 15-Jun | 5 | ||
| 69 | 13-Jun | 16-Jun | 4 | 16-Jun | 19-Jun | 4 | 17-Jun | 20-Jun | 4 | 16-Jun | 20-Jun | 5 | ||
| 2019 | 61 | 24-May | 27-May | 4 | 24-May | 27-May | 4 | 30-May | 31-May | 2 | 24-May | 27-May | 4 | 11 |
| 65 | 28-May | 30-May | 3 | 28-May | 30-May | 3 | 1-Jun | 4-Jun | 4 | 28-May | 30-May | 3 | ||
| 69 | 31-May | 4-May | 5 | 31-May | 4-May | 5 | 5-Jun | 7-Jun | 3 | 31-May | 4-May | 5 | ||
| Start (date) | End (date) | Lenght (days) | SPIn (pollen) | Peak (pollen/m3 or pollen/m2) | Peak Date | ||
|---|---|---|---|---|---|---|---|
| Hirst | 2015 | 24-May | 3-Jun | 11 | 89 | 28 | 29-May |
| 2016 | 4-Jun | 27-Jun | 24 | 302 | 42 | 21-Jun | |
| 2017 | 15-May | 29-May | 15 | 271 | 49 | 24-May | |
| 2018 | 9-Jun | 21-Jun | 13 | 138 | 32 | 15-Jun | |
| 2019 | 26-May | 6-Jun | 12 | 175 | 54 | 1-Jun | |
| Cour | 2015 | 23-May | 31-May | 9 | 1.595.833 | 1.068.193 | 29-May/31-May |
| 2016 | 3-Jun | 14-Jun | 12 | 1.787.525 | 836.780 | 10-Jun/13-Jun | |
| 2017 | 11-May | 21-May | 11 | 1.260.434 | 852.687 | 17-May/19-May | |
| 2018 | 5-Jun | 18-Jun | 14 | 1.368.687 | 544.199 | 15-Jun/18-Jun | |
| 2019 | 21-May | 3-Jun | 14 | 1.797.765 | 612.109 | 24-May/27-May |
| MPS | Pre-Peak | |||||||
|---|---|---|---|---|---|---|---|---|
| Hirst | Cour | Hirst | Cour | |||||
| R2 | p | R2 | p | R2 | p | R2 | p | |
| Average Temperature | 0.325 ** | 0.004 | 0.230 | 0.344 | 0.498 ** | 0.000 | 0.357 | 0.191 |
| Maximum Temperature | 0.251 * | 0.030 | 0.161 | 0.509 | 0.417 ** | 0.003 | 0.304 | 0.271 |
| Minimum Temperature | 0.263 * | 0.023 | 0.011 | 0.966 | 0.444 ** | 0.002 | −0.079 | 0.781 |
| DewPoint | 0.177 | 0.129 | −0.107 | 0.663 | 0.313 * | 0.030 | −0.089 | 0.752 |
| Relative Humidity | −0.213 | 0.067 | −0.249 | 0.304 | −0.354 * | 0.014 | −0.379 | 0.164 |
| Rainfall | −0.231 * | 0.046 | −0.463 * | 0.046 | −0.333 * | 0.021 | −0.581 * | 0.023 |
| Wind speed | 0.109 | 0.350 | 0.067 | 0.786 | 0.179 | 0.223 | 0.157 | 0.576 |
© 2020 by the authors. Licensee MDPI, Basel, Switzerland. This article is an open access article distributed under the terms and conditions of the Creative Commons Attribution (CC BY) license (http://creativecommons.org/licenses/by/4.0/).
Share and Cite
Fernández-González, M.; Ribeiro, H.; Piña-Rey, A.; Abreu, I.; Rodríguez-Rajo, F.J. Integrating Phenological, Aerobiological and Weather Data to Study the Local and Regional Flowering Dynamics of Four Grapevine Cultivars. Agronomy 2020, 10, 185. https://doi.org/10.3390/agronomy10020185
Fernández-González M, Ribeiro H, Piña-Rey A, Abreu I, Rodríguez-Rajo FJ. Integrating Phenological, Aerobiological and Weather Data to Study the Local and Regional Flowering Dynamics of Four Grapevine Cultivars. Agronomy. 2020; 10(2):185. https://doi.org/10.3390/agronomy10020185
Chicago/Turabian StyleFernández-González, María, Helena Ribeiro, Alba Piña-Rey, Ilda Abreu, and F. Javier Rodríguez-Rajo. 2020. "Integrating Phenological, Aerobiological and Weather Data to Study the Local and Regional Flowering Dynamics of Four Grapevine Cultivars" Agronomy 10, no. 2: 185. https://doi.org/10.3390/agronomy10020185
APA StyleFernández-González, M., Ribeiro, H., Piña-Rey, A., Abreu, I., & Rodríguez-Rajo, F. J. (2020). Integrating Phenological, Aerobiological and Weather Data to Study the Local and Regional Flowering Dynamics of Four Grapevine Cultivars. Agronomy, 10(2), 185. https://doi.org/10.3390/agronomy10020185

