Next Article in Journal
Influence of Pre-Harvest Factors on Postharvest Quality of Fresh-Cut and Baby Leafy Vegetables
Previous Article in Journal
Effects of Different Microbial Inocula on Tomato Tolerance to Water Deficit
 
 
Font Type:
Arial Georgia Verdana
Font Size:
Aa Aa Aa
Line Spacing:
Column Width:
Background:
Article

Comparison of Agronomic Performance between Japonica/Indica Hybrid and Japonica Cultivars of Rice Based on Different Nitrogen Rates

1
Zhejiang Provincial Key Laboratory of Agricultural Resources and Environment, College of Environmental and Resource Sciences, Zhejiang University, Hangzhou 310058, China
2
State Key Laboratory of Nutrition Resources Integrated Utilization, Kingenta Ecological Engineering Group Co. Ltd., Linyi 276000, China
3
Shangrao Key Laboratory of Quality Rice, College of Life Science, Shangrao Normal University, Shangrao 334001, China
4
Ocean College, Shanghai Jiao Tong University, Shanghai 200240, China
5
Agriculture and Forestry Bureau of Wucheng District, Jinhua 321025, China
6
Kingenta Ecological Engineering Group Co. Ltd., Linyi 276000, China
*
Authors to whom correspondence should be addressed.
Agronomy 2020, 10(2), 171; https://doi.org/10.3390/agronomy10020171
Submission received: 13 January 2020 / Revised: 17 January 2020 / Accepted: 22 January 2020 / Published: 25 January 2020

Abstract

Previous studies have revealed that the japonica/indica hybrid rice has a higher yield potential, biomass production, and nitrogen (N) accumulation than japonica rice in China, however, at a single N application rate. It remains unclear whether it also occurs at a higher or lower N application rate under the same field condition. To investigate the effects of nitrogen application rates on grain yield, N uptake, dry matter accumulation, and agronomic N use efficiency, field experiments were conducted in Jinhua City, Zhejiang Province during three consecutive growth seasons in 2016, 2017, and 2018. Two japonica/indica hybrid varieties (Yongyou 12 and Yongyou 538) and two japonica varieties (Xiushui 134 and Jia 58) were exposed to five N application rates (0, 150, 225, 300, and 375 kg ha−1). The results showed that grain yields of all the varieties increased with increasing nitrogen application rates, except for Jia 58 whose optimum nitrogen level was 225 kg ha−1, because no significant difference was observed between N225 and N300. Across the four rice varieties, N uptake increased significantly with increased N-fertilizer rates at all the growth stages (p < 0.05). Across the three planting years, the average grain yield of japonica/indica hybrid rice was higher than that of japonica rice by 75.6% at N0, 57.2% at N150, 41.1% at N225, 38.3% at N300, and 45.8% at N375. We also found that as compared with japonica rice, the japonica/indica hybrid rice had more grain yield, higher dry matter, and higher N uptake at all growth stages, regardless of the N application rate.

1. Introduction

Rice (Oryza sativa L.) is one of the most important staple crops [1,2] feeding approximately three billion people in the world [3]. Faced with an increasing demand for rice, improving rice yield potential has been regarded as the primary objective of rice breeding in many countries for several decades [4,5]. In 1996, a “super” rice program was launched to breed rice varieties with high yield potential in China [6]. As of 2019, 132 “super” rice varieties were released by the Ministry of Agriculture of China (http://www.ricedata.cn/variety/superice.htm). These “super” rice cultivars, especially the japonica/indica hybrid rice, have made tremendous contributions to food security in China. However, the promotion of japonica/indica hybrids for large-scale applications has been greatly limited by various factors, including the low rate of grain filling [7] and sterility in the first generation [8]. In recent years, great progress has been achieved in solving some of these obstacles, and high-yielding japonica/indica hybrids have been bred successfully and made available in China [9]. The Yongyou japonica/indica hybrid series, which is a late-maturity type, was one of the representative high-yielding japonica/indica hybrids. For example, Yongyou 12 has achieved 15 t ha−1 yield performance in production for two executive years in Zhejiang Province, China [10,11].
Nitrogen (N), the most critical nutrient for rice growth, is required in larger amounts than other nutrients [12]. To improve yield performance, most Chinese farmers apply N fertilizer in amounts that exceed the demand for rice growth [13]. However, the N recovery efficiency (NRE) of rice in paddy soils of southern China is generally low, ranging from 20% to 40% [14]. Lodging and yield losses can be caused by luxury absorption due to the overapplication of N fertilizer [15,16]. In addition, the excessive use of N fertilizer also enhances N losses through runoff, leaching, and volatilization, into the environment, which has a negative effect on ground water, surface water, and the atmosphere [17,18]. Several studies have shown that an optimum amount of nitrogen application is essential for high rice yield [5,19,20,21]. For example, Zhu et al. [5] found that the optimum amount of nitrogen fertilizer for increasing grain yields of japonica rice cultivars Nanjing 9108 and Nanjing 5055 was 262~300 kg ha−1. To date, however, little information is available on the yield of japonica/indica hybrid rice in response to different nitrogen levels. More information is needed to find the suitable nitrogen application rate to obtain optimal yield of japonica/indica hybrid rice.
The Yongyou japonica/indica hybrid rice is highly heterotic and superior to japonica conventional rice in China, in terms of grain yield, biomass production, and nitrogen accumulation. However, this superiority was observed at a single N application rate (262.5 kg ha−1) [22,23]. Whether it also exists at a higher or lower N application rates under the same field conditions remains unclear. Hence, in this study, we assess the effects of different nitrogen application rates on the agronomic performance of japonica/indica hybrid cultivars, including yield, yield component, dry matter weight, and N uptake as compared with japonica cultivars at various growth stages.

2. Materials and Methods

2.1. Experimental Site Description

The experiments were conducted in Langya town (29°01′ N, 119°27′ E) of Jinhua, Zhejiang Province, China, a typical irrigated rice-growing region, during the rice growing seasons (May to November) of 2016 and repeated in 2017 and 2018. This region has an intermediate subtropical monsoon climate with a mean temperature of 18.5 °C and mean annual precipitation of 1817 mm. The soil contained 24.8 g kg−1 organic matter, 1.77 g kg−1 total N, 93.8 mg kg−1 alkali hydrolyzable N, 8.8 mg kg−1 Bray-P, 86 mg kg−1 NH4OAc-exchangeable K, and a pH (H2O) of 5.33. The monthly temperature, precipitation, and sunshine hours during the study are shown in Figure 1.

2.2. Experimental Treatments and Design

The experiment was arranged in a split-plot design, with N rates allotted to the main plots while rice varieties were set up in subplots. Five N application rates and four rice varieties were tested with three replicates and 60 plots (2 m × 5 m) were established in the field. The N rates were 0, 150, 225, 300, and 375 kg ha−1, which are abbreviated as N0, N150, N225, N300, and N375, respectively. Two different types of rice cultivars, namely Yongyou 12 and Yongyou 538 as japonica/indica hybrid rice and Xiushui 134 and Jia 58 as japonica rice were adopted as experimental materials. All rice cultivars were equally laid out in one subplot. Seedlings were transplanted with three seedlings per hill at a spacing of 20 cm × 26.7 cm in late June. The japonica/indica hybrid rice was harvested in early November while the japonica rice was harvested in late October. Plastic film (30 cm wide), which was used to isolate the plot boundaries, was inserted to 30 cm depth below the soil surface to minimize seepage to adjacent plots. All plots had a separate draining outlet to drain water into ditches. Detailed information and duration of each growth stage of the four rice varieties are listed in Table 1 and Table 2, respectively.
The fertilizers used in this study were urea (46% N) as N fertilizer, superphosphate (12% P2O5) as P fertilizer, and potassium chloride (60% K2O) as K fertilizer. Nitrogen fertilizer was applied at three stages as follows: Application of 50% at pretransplanting stage (1 day before transplanting), followed by the application of 30% at early tillering stage (about 8 days after transplanting), and 20% at panicle initiation stage (about 60 days after transplanting). At the start of each season, P and K fertilizers were applied uniformly for all treatments as basal fertilizer at the rates of 105 and 180 kg ha−1, respectively, on the day before transplanting the rice. Water, weeds, insects, and disease were intensively controlled following local recommendations to avoid yield loss.

2.3. Plant Sampling and Analysis

2.3.1. Yield and Yield Components

Grain yield was recorded by harvesting the whole plot manually and the yield was expressed on the basis of 14% moisture content. The effective panicle per m2 was determined by recording observations in area of 3 m2 in each plot before harvest. Plant samples were taken to the lab. Grains were separated from the spike after hand threshing, filled, and unfilled grains were separated to determine the number of spikelets per panicle and the grain filling percentage. Filled grains were dried in an oven at 70 °C to a constant weight and the 1000-grain weight was determined based on a moisture content of 14%.

2.3.2. Dry Matter and N Uptake

Five random hills of plant samples were randomly taken from each plot at the tillering, jointing, heading, and maturity stages in 2016, 2017, and 2018. Plant samples collected at the maturity stage were separated into stem and panicle. All plant samples were oven-dried at 70 °C for 3 days to a constant weight and weighed. The plant N concentration was determined using the Kjeldahl digestion method [24]. The plant N uptake was calculated from the weights of dry matter and plant N concentration.
Computation of efficiency parameters as follows:
Grain N uptake (GNU, kg ha−1) = N content of grain × grain weight
Straw N uptake (SNU, kg ha−1) = N content of straw × straw weight
Total N uptake (TNU, kg ha−1) = GNU + SNU
N harvest index (NHI, %) = GNU/(GNU + SNU)
Agronomic N use efficiency (AE, kg kg−1) = (grain yield with N application plots – grain yield without nitrogen application plots)/N application rate

2.4. Statistical Analysis

The data in all the tables are the average values of the three repeated observations. A three-factor analysis of variance (ANOVA) F-test was used in SPSS 17.0 (IBM Corp., Armonk, NY, USA) to assess the effects of years, N application rates, rice varieties, and their interactions on the grain yield, total dry matter, and total N uptake. One-way ANOVA was used to determine the differences among treatments with least significant difference at p = 0.05 (LSD0.05) for each year.

3. Results

3.1. Analysis of Variance

As shown in Table 3, rice grain yield was significantly affected by year (Y), varieties (V), nitrogen level (N), and their interactions, except the Y × N, V × N, and Y × V × N. The year (Y), nitrogen level (N), varieties (V), and the interactions of Y × V had significant effects on all parameters. Interactions of Y × N and V × N were significant for dry matter and total N uptake. No significant interactions were observed among the years, varieties, and nitrogen levels.

3.2. Yield and Yield Component

Differences in grain yield and its components during the three years are shown in Table 4 and Table 5. Across the four rice varieties, grain yield at zero N treatment (N0) was significantly lower than that at any other N rate in 2016, 2017, and 2018 (p < 0.05). For Yongyou 12, N fertilization resulted in 36.2% to 58.0%, 49.2% to 76.3%, and 29.5% to 53.6% higher grain yield as compared with the N0 treatment in 2016, 2017, and 2018, respectively; 47.5% to 65.7%, 31.7% to 55.6%, and 35.0% to 4.7% for Yongyou 538; 60.0% to 01.7%, 57.9% to 11.0%, and 69.1% to 04.9% for Xiushui 134; and 50.0% to 6.5%, 36.7% to 4.5%, and 55.2% to 7.8% for Jia 58 in 2016, 2017, and 2018, respectively. The yields of Yongyou 12, Yongyou 538, and Xiushui 134 increased with the increasing nitrogen application rates in 2016, 2017, and 2018. Grain yield was highest in the N375 treatment in all planting years, except for Yongyou 538 in 2018, although it was not significantly different with N300 treatment. However, the grain yield of Yongyou 12 in N375 treatment was significantly higher than other treatments based on the mean yield of the three planting years. In particular, there was no significant difference among N375, N300, and N225 treatments for Yongyou 538 and Xiushui 134 in 2016 and 2018, as well as for Yongyou 12 in 2018. In contrast, the yields of Jia 58 first increased followed by a slight decrease with the increase in the nitrogen application rates in 2016, 2017, and 2018. Its highest yield was obtained when the nitrogen level was 300 kg ha−1. However, no significant difference was observed among N225, N300, and N375 treatments, whereas the grain yield in N300 treatment was significantly higher than that in N225 treatment based on the mean yield of the three planting years. In 2016, the highest yields of Yongyou 12, Yongyou 538, Xiushui 134, and Jia 58 were 13.35, 12.35, 8.04, and 8.91 t ha−1, respectively. In 2017, the highest yields of Yongyou 12, Yongyou 538, Xiushui 134, and Jia 58 were 12.27, 11.49, 8.45, and 8.14 t ha−1, respectively, and finally, in 2018, they were 11.27, 11.03, 8.13, and 7.62 t ha−1, respectively. According to the quadratic curve equation (Figure 2), with an increase in the N rate, only the grain yields of Yongyou 538 and Jia 58 in 2018 increased at first and, then, became static, although the grain yields of Jia 58 in 2016 and 2017 had a slight decrease when the N application rate increased from 300 to 375 kg ha−1.
For the yield components, similar results were observed for effective panicle per m2. On average, Xiushui 134 and Jia 58 produced significantly higher effective panicle per m2, grain filling percentages, and grain weights than Yongyou 12 and Yongyou 538, whereas we observed significantly higher spikelet per panicle in Yongyou 12 and Yongyou 538 relative to Xiushui 134 and Jia 58.

3.3. Evolution of Dry Matter

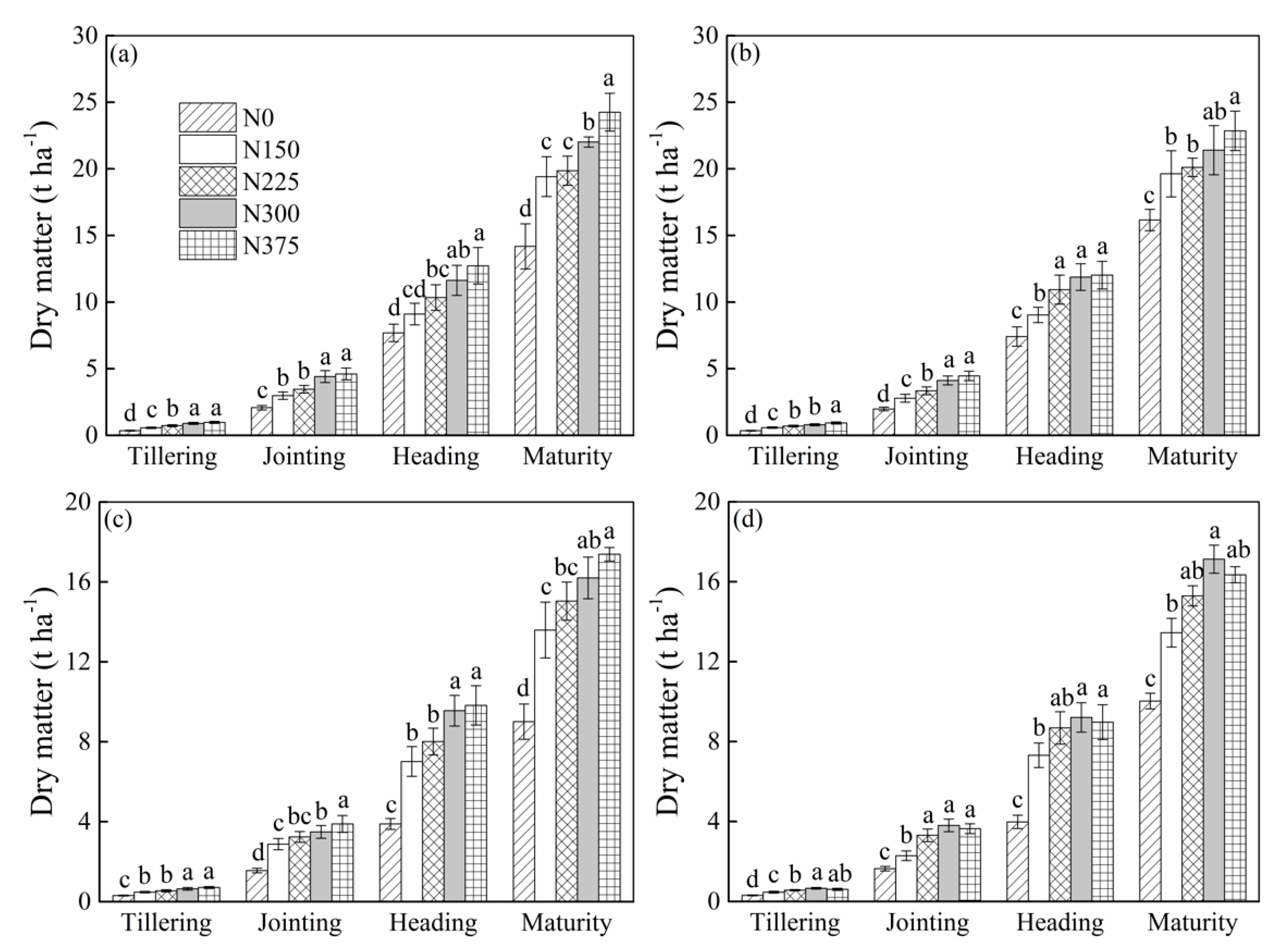
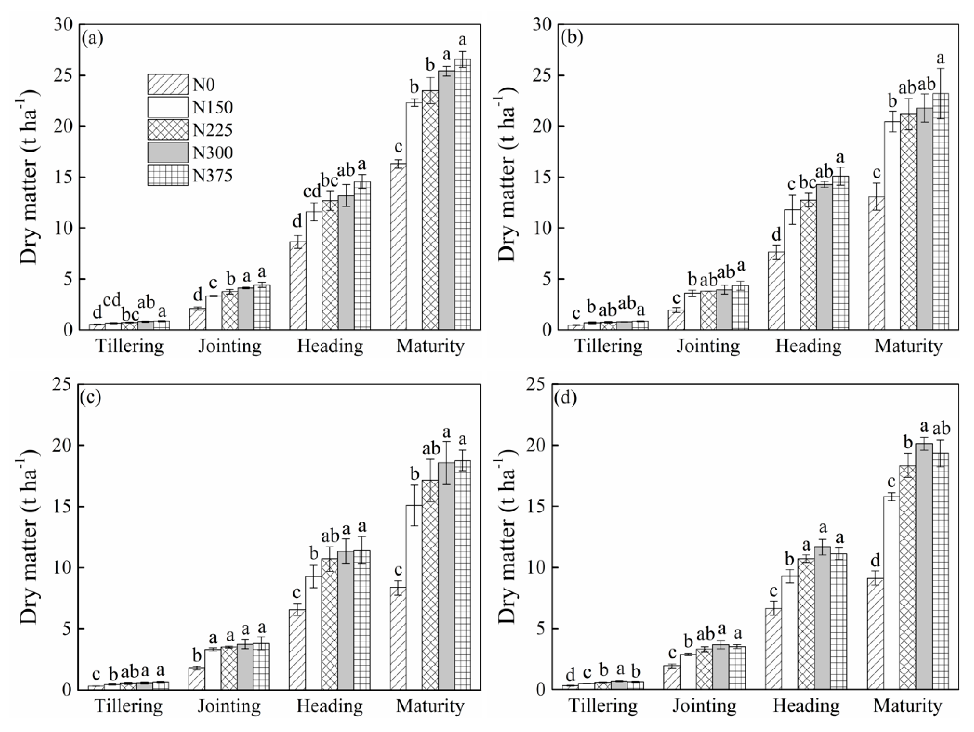
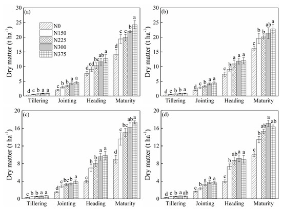
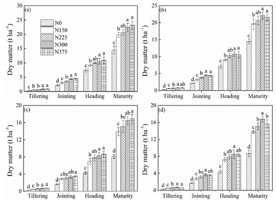
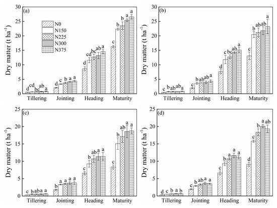
Across the four varieties, differences in dry matter among the five nitrogen application rates were similar in 2016, 2017, and 2018 (Figure 3, Figure 4 and Figure 5). Across N treatments in all planting years, dry matter of Yongyou 12, Yongyou 538, and Xiushui 134 tended to increase with N-fertilizer rates, and were highest in the N375 treatment at all the growth stages, except for Yongyou 538 in 2018, although it was not significantly different from those in N300 treatment Yongyou 12 at the maturity stage, Yongyou 538 at the tillering stage, and Xiushui 134 at the jointing stage in 2017. However, for Jia 58, the trends of dry matter at different growth stages were fairly consistent. It was highest in the N300 treatment at all the growth stages and only significantly different from all other treatments at the tillering stage in 2016 and the maturity stage in 2018 (p < 0.05). Across the four rice varieties, dry matter at N0 treatment was significantly lower than that at any other N rate in all planting years (p < 0.05), except at the tillering stage of Yongyou 12 in 2016 and at the heading stage of Yongyou 12 both in 2016 and 2017.

3.4. Evolution of N Uptake

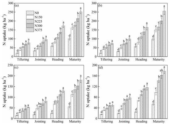
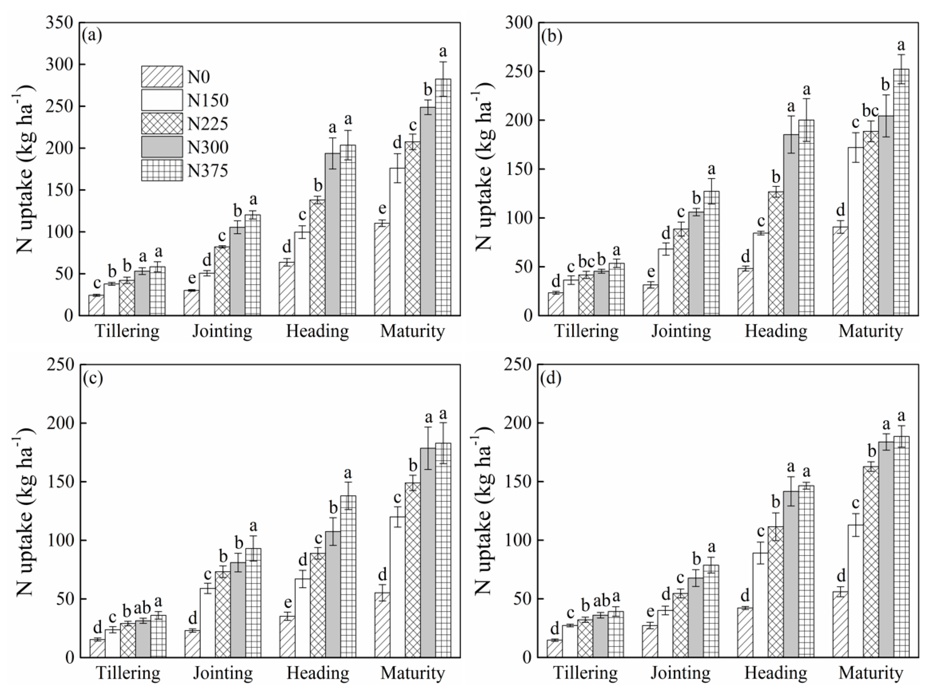
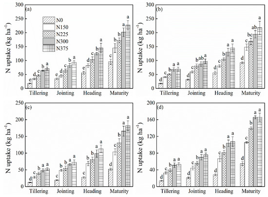
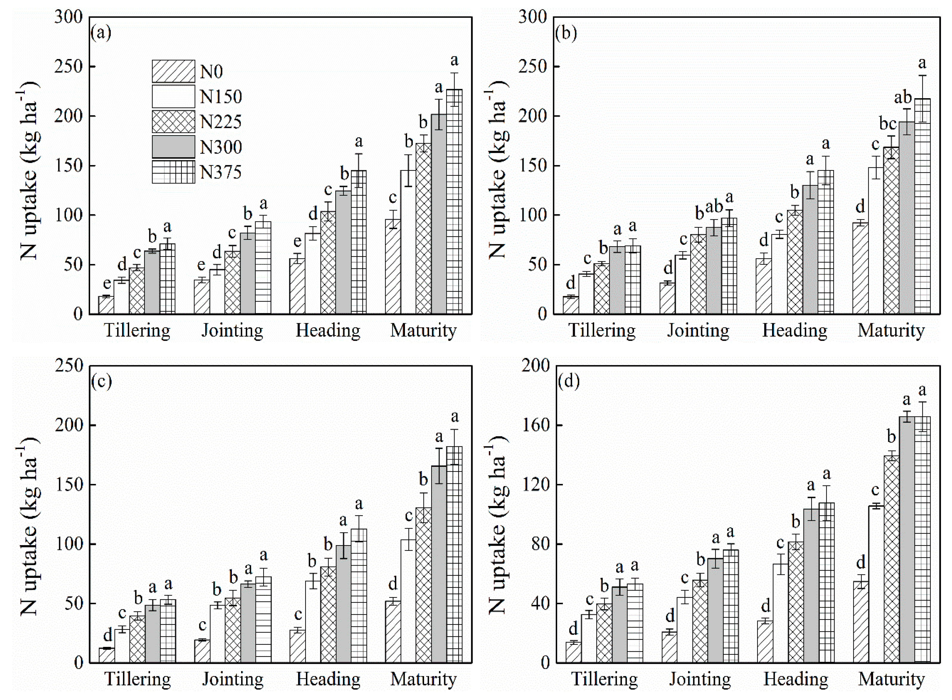
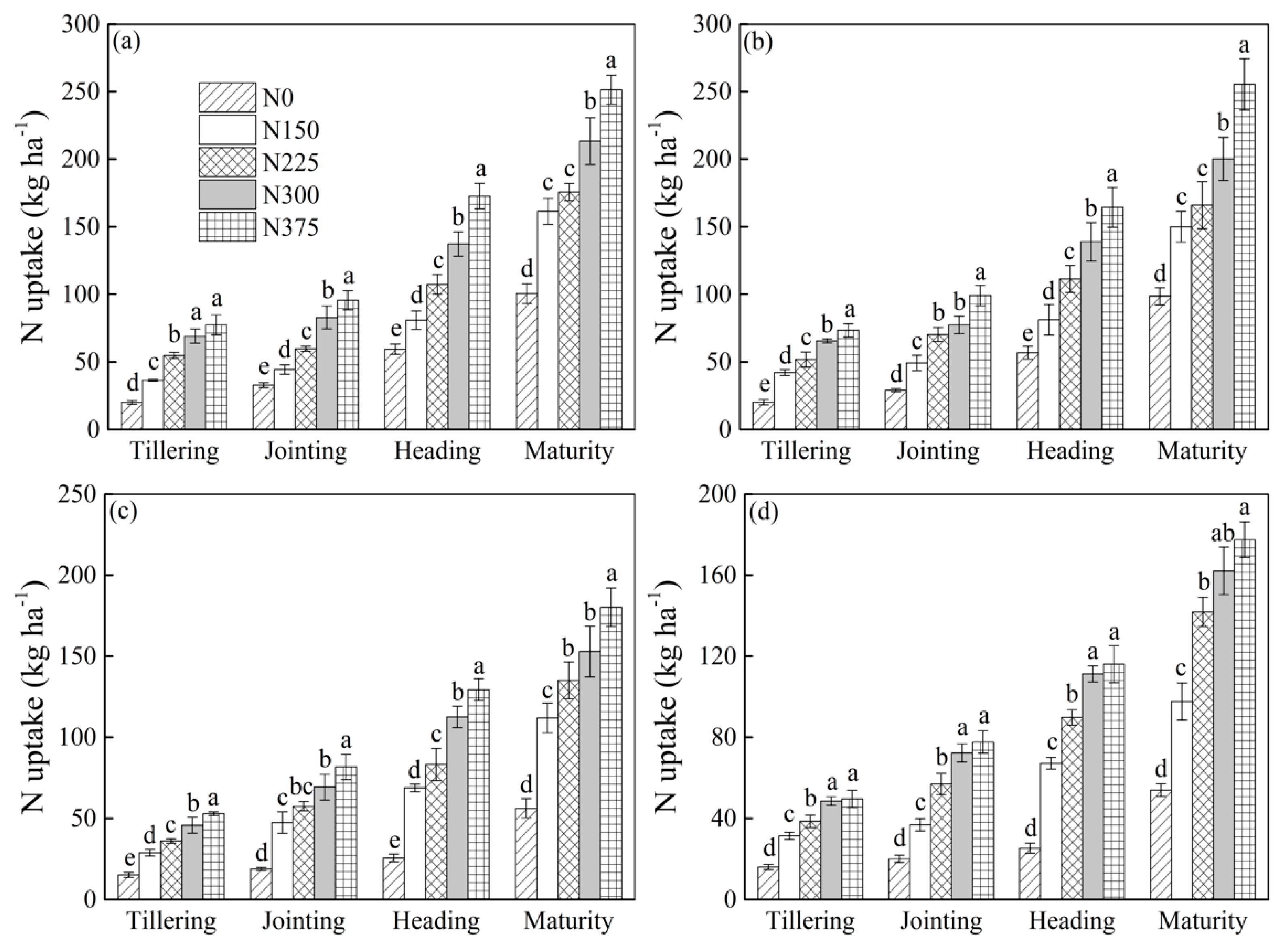
As shown in Figure 6, Figure 7 and Figure 8, N fertilization can significantly enhance the uptake of nitrogen in rice at different growth stages (p < 0.05). Across the four rice varieties, N uptake for the N0 treatment was significantly lower than that any other N rate in the three planting years (p < 0.05). In addition, differences in N uptake among the five nitrogen application rates at different stages were similar in 2016, 2017, and 2018, namely the N uptake increased significantly with increased N-fertilizer rates (p < 0.05), and was highest for N375 treatment at the tillering, jointing, heading, and maturity stages.

3.5. Total N Uptake and Use Efficiency

Across the four rice varieties, the SNU, GNU, and TNU increased with the increasing nitrogen application rates (Table 6). As expected, The N0 treatment resulted in the lowest SNU, GNU, and TNU relative to other treatments, which were significantly lower than other treatments based on the mean values of the three study years. Compared with the N0 treatment, the average increases of other nitrogen treatments in the TNU were 103.0 kg ha−1 for Yongyou 12, 99.2 kg ha−1 for Yongyou 538, 94.9 kg ha−1 for Xiushui 134, and 95.4 kg ha−1 for Jia 58. The SNU, GNU, and TNU of Yongyou 12 and Yongyou 538 were significantly higher than those of Xiushui 134 and Jia 58, regardless of the N application rate (Table 6 and Figure 9). Moreover, with the increasing of nitrogen application rate, the SNU, GNU, and TNU increased linearly. The AE decreased as the N application rates increased, except for Jia 58. Likewise, a decline in NHI was observed with the increasing N application rates. The NHI decreased with the increasing N rates, except for Jia 58.

3.6. Correlation between Grain Yield and N Uptake

The grain yield exhibited significant positive correlations with N uptake at the jointing stage (NUj), N uptake at the heading stage (NUh), and TNU. Similarly, TNU exhibited significant positive correlations with grain yield, NUj, and NUh.

4. Discussion

Nitrogen application is one of the most important crop management practices for achieving a higher grain yield [25]. Several studies have focused on the effects of the N rates on the grain yield of rice [5,19,26]. In this study, higher N application rates resulted in higher grain yields of Yongyou 12, Yongyou 538, and Xiushui 134 in 2016, 2017, and 2018, except for Yongyou 538 in 2018 (Table 4). However, no significant increase was observed with the increasing N application rates. According to Chen et al. [27] and Li et al. [28], remobilization of N from vegetative tissue to grain could significantly contribute to crop yield. No significant difference among the relative high rate treatments was mainly attributed to the less efficient N remobilization at high N rates. By contrast, a slight decrease in grain yield of Jia 58 was observed when the N rates increased from 300 to 375 kg ha−1 (Table 4). Similar results have also been observed in previous studies [5,19], revealing that an excessive N application rate has no contribution to the achievement of high grain yield. However, no significant difference was observed between N225 and N300 treatments. Furthermore, nitrogen reduction is recommended due to environmental pollution problems. Therefore, a N application rate of 225 kg ha−1 is essential for Jia 58.
Significantly higher yield potential has been found in japonica/indica hybrid rice than in inbred rice [22,23,29]. Likewise, in this study, Yongyou 12 and Yongyou 538 had a significant yield advantage over Xiushui 134 and Jia 58 for the five N treatments (Table 4), which mainly resulted from the heterosis and the longer total growth duration (Table 2). On average, the grain yield of japonica/indica hybrid rice was higher than that of japonica rice by 75.6% at N0, 57.2% at N150, 41.1% at N225, 38.3% at N300, and 45.8% at N375, across the three planting years. These findings suggest application of N fertilizer would not facilitate to realize a higher grain yield for japonica/indica hybrid rice as compared with the japonica rice. However, this difference in grain yield was not affected by N supplies and environmental conditions, suggesting that grain yield was highly genetically controlled. Thus, in practice, a farmer could simply choose high grain yield varieties such as Yongyou 12 or Yongyou 538 to achieve high grain yield, without much concern for the environmental conditions. However, higher yields of Yongyou 12 and Yongyou 538 were primarily achieved when high N was supplied. Therefore, farmers need to optimize the N management to achieve both high grain yield and less nitrogen input. Interestingly, except for Xiushui 134, the grain yields of the four rice varieties decreased in the three study years, especially for Yongyou 12 and Yongyou 538 (Table 2 and Figure 2), which could be due to the appearance of Ustilaginoidea virens in 2017 and 2018.
According to Liu et al. [30], higher total spikelets number, which led to a larger sink capacity and large panicle size, is beneficial for the increase of yield potential. In this study, we observed significant higher spikelet per panicle in Yongyou 12 and Yongyou 538 as compared with Xiushui 134 and Jia 58 (Table 5), which contributed to the higher grain yields of Yongyou 12 and Yongyou 538, in terms of yield components, as suggested by Meng et al. [9]. However, this was contradictory to the previous studies that reported the hybrid rice tended to have higher grain filling percentage and grain weight than the inbred rice [31,32]. The discrepant results of these studies could be due to the different types of rice cultivars.
To obtain high grain yields, the appropriate proportion of dry matter accumulation at each growth stage was important, particularly in the middle and late growth stages [23]. In this study, dry matter of japonica/indica hybrid rice was higher than that of japonica rice among the five nitrogen application rates at each growth stage (Figure 3, Figure 4 and Figure 5). According to Wei et al. [22], higher leaf area index and leaf SPAD value of japonica/indica hybrid rice were observed at the heading and maturity stages as compared with japonica rice, suggesting its higher radiation interception. In addition, larger leaf areas increase photosynthetic rates [33]. This could be the reason that japonica/indica hybrid rice showed higher dry matter accumulation over japonica rice.
High yield productivity of rice is usually accompanied by greater N uptake [34]. In this study, we observed that as compared with Xiushui 134 and Jia 58, Yongyou 12 and Yongyou 538 accumulated more N at each growth stage (Figure 6, Figure 7 and Figure 8). Similar results were also obtained by Wei et al. [22] and Wei et al. [33], who revealed that japonica/indica hybrid rice accumulated more N than japonica conventional rice and indica hybrid rice during the entire growth stages. This phenomenon was mainly attributed to the long duration from jointing to maturity (Table 2). It is worth mentioned that at the maturity stage, a significant difference was observed between japonica/indica hybrid rice and japonica rice, in terms of SNU, GNU, and TNU. Nutrient absorption in rice is closely related to root characteristics. Rice roots with good morphology and excellent physiology are beneficial to the acquisition of nutrients that maintain crop plants growth [35,36]. Several studies have demonstrated that japonica/indica hybrid rice had a stronger and more active root system than japonica conventional rice [9,33]. This could explain why japonica/indica hybrid rice absorb more nitrogen than japonica conventional rice. Furthermore, according to the correlation analysis, the combination priority of japonica/indica hybrid rice over japonica conventional rice, in terms of grain yield, N uptake at the jointing stage and the heading stage, in turn, enhanced the absorption of N (Table 7).
The response to applied N is an important indicator for the evaluation of the N requirements of rice. The response to the N application rate of the four rice varieties was similar, which was that the N uptake significantly increased with increasing N application rates (Table 6). This was in line with a study that reported the TNU increased in both years as the N application rates increased [37]. However, nitrogen uptake and N use efficiency varies with different rice cultivars. Several studies have suggested that the hybrid rice has higher N use efficiency than the inbred rice, which primarily ascribed to the higher NHI [22,23,32,33]. However, in our study, no significant differences in NHI between japonica/indica hybrid rice and japonica rice were observed (Table 6). In addition, we observed that the NHI of the N375 treatment was relatively low as compared with other treatments, although the difference among the treatments was insignificant, suggesting that a higher N supply can lead to high levels of residual N in straw at maturity. Zhu et al. [5] reported that AE was decreased with increasing nitrogen levels. Similarly, in the present study, the AE of the four rice varieties decreased with increasing N rates, except for Jia 58 (Table 6), which was mainly due to low efficiency of the increased nitrogen fertilizer. This result indicated that a high N rate had negative effects on AE.

5. Conclusions

Nitrogen application rates significantly affected the grain yield, dry matter, and N uptake. The highest gain yields of all the rice varieties were obtained under the highest N application rates in the field experiment, except for Jia 58, whose grain yield decreased slightly when the N rates was increased from 300 to 375 kg ha−1, however, no significant difference was observed, and therefore the optimum nitrogen level of Jia 58 was 225 kg ha−1. Further research is needed to assess the effects of nitrogen application rates used in this study, on the grain yield of Yongyou 12, Yongyou 538, and Jia 58. Across N treatments in all planting years, dry matter of Yongyou 12, Yongyou 538, and Xiushui 134 tended to increase with N-fertilizer rates, except for Yongyou 538 in 2018, whereas for Jia 58, it was highest with the N300 treatment. However, across the four rice varieties, N uptake increased significantly with increased N-fertilizer rates at all the growth stages (p < 0.05). In addition, as compared with N0, a decline in AE and NHI was observed with increasing N application rates. We also found that as compared with japonica rice, the japonica/indica hybrid rice had more grain yield, spikelets per panicle, as well as higher dry matter and higher N uptake at all the growth stages, regardless of the N application rate.

Author Contributions

Data curation, T.S. and X.Y.; formal analysis, X.T. and S.T.; funding acquisition, K.H. and L.W.; investigation, Z.H. and K.H.; methodology, W.T. and S.Z.; writing—original draft, T.S.; writing—review and editing, X.Y. and L.W. All authors have read and agreed to the published version of the manuscript.

Funding

This research was funded by the National Key Research and Development Program of China (2016YFD0200102), the Key Research and Development Program of Zhejiang Province (2015C03011), and the National Natural Science Foundation of China (31572194).

Acknowledgments

We are grateful to the editors and all anonymous reviewers for all their comments on this manuscript.

Conflicts of Interest

The authors declare no conflict of interest.

References

  1. Tang, L.; Ma, D.R.; Xu, Z.J.; Deng, H.F.; Chen, W.F.; Yuan, L.P. Utilization of weedy rice for development of japonica hybrid rice (Oryza sativa L.). Plant Sci. 2011, 180, 733–740. [Google Scholar] [CrossRef] [PubMed]
  2. Aung Nan, M.S.; Janto, J.; Sribunrueang, A.; Monkham, T.; Sanitchon, J.; Chankaew, S. Field evaluation of RD6 introgression lines for yield performance, blast, bacterial blight resistance, and cooking and eating qualities. Agronomy 2019, 9, 825. [Google Scholar] [CrossRef]
  3. Alhaj Hamoud, Y.; Guo, X.; Wang, Z.; Shaghaleh, H.; Chen, S.; Hassan, A.; Bakour, A. Effects of irrigation regime and soil clay content and their interaction on the biological yield, nitrogen uptake and nitrogen-use efficiency of rice grown in southern China. Agric. Water Manag. 2019, 213, 934–946. [Google Scholar] [CrossRef]
  4. Peng, S.B.; Khush, G.S.; Virk, P.; Tang, Q.; Zou, Y. Progress in ideotype breeding to increase rice yield potential. Field Crops Res. 2008, 108, 32–38. [Google Scholar] [CrossRef]
  5. Zhu, D.W.; Zhang, H.C.; Guo, B.W.; Xu, K.; Dai, Q.G.; Wei, H.Y.; Gao, H.; Hu, Y.J.; Cui, P.Y.; Huo, Z.Y. Effects of nitrogen level on yield and quality of japonica soft super rice. J. Integr. Agric. 2017, 16, 1018–1027. [Google Scholar] [CrossRef]
  6. Cheng, S.H.; Zhuang, J.Y.; Fan, Y.Y.; Du, J.H.; Cao, L.Y. Progress in research and development on hybrid rice: A super-domesticate in China. Ann. Bot. 2007, 100, 959–966. [Google Scholar] [CrossRef]
  7. Yang, J.; Zhang, J.; Liu, L.; Wang, Z.; Zhu, Q. Carbon remobilization and grain filling in japonica/indica hybrid rice subjected to postanthesis water deficits. Agron. J. 2002, 94, 102–109. [Google Scholar] [CrossRef]
  8. Kubo, T.; Yoshimura, A. Epistasis underlying female sterility detected in hybrid breakdown in a japonica–indica cross of rice (Oryza sativa L.). Theor. Appl. Genet. 2005, 110, 346–355. [Google Scholar] [CrossRef]
  9. Meng, T.Y.; Wei, H.H.; Li, X.; Dai, Q.G.; Huo, Z.Y. A better root morpho-physiology after heading contributing to yield superiority of japonica/indica hybrid rice. Field Crops Res. 2018, 228, 135–146. [Google Scholar] [CrossRef]
  10. Zhan, C.S.; Zhou, C.N.; Zhang, X.F. Study on 13.50 t/hm2 high yield cultivation techniques of indica -japonica hybrid rice Yongyou 12 on a large scale. China Rice 2017, 23, 88–89. (In Chinese) [Google Scholar]
  11. Mao, X.W.; Zhan, C.S. Demonstration performance and super-high yield cultivation techniques of single-season indica-japonica hybrid late rice Yongyou 12 on a large scale. China Seed Indus 2018, 2, 91–93. (In Chinese) [Google Scholar]
  12. Shi, Z.; Li, D.; Qi, J.; Jian, C.; Dong, J.; Cao, W.; Dai, T. Effects of nitrogen applications on soil nitrogen balance and nitrogen utilization of winter wheat in a rice–wheat rotation. Field Crops Res. 2012, 127, 241–247. [Google Scholar] [CrossRef]
  13. Mi, W.H.; Yang, X.; Wu, L.H.; Ma, Q.X.; Liu, Y.L.; Zhang, X. Evaluation of nitrogen fertilizer and cultivation methods for agronomic performance of rice. Agron. J. 2016, 108, 1907–1916. [Google Scholar] [CrossRef]
  14. Bandaogo, A.; Bidjokazo, F.; Youl, S.; Safo, E.; Abaidoo, R.; Andrews, O. Effect of fertilizer deep placement with urea supergranule on nitrogen use efficiency of irrigated rice in Sourou Valley (Burkina Faso). Nutr. Cycl. Agroecosyst. 2015, 102, 79–89. [Google Scholar] [CrossRef]
  15. Jing, Q.; Bouman, B.A.M.; Hengsdijk, H.; Keulen, H.V.; Cao, W. Exploring options to combine high yields with high nitrogen use efficiencies in irrigated rice in China. Eur. J. Agron. 2007, 26, 166–177. [Google Scholar] [CrossRef]
  16. Zhang, Y.L.; Fan, J.B.; Wang, D.S.; Shen, Q.R. Genotypic differences in grain yield and physiological nitrogen use efficiency among rice cultivars. Pedosphere 2009, 19, 681–691. [Google Scholar] [CrossRef]
  17. Zhang, D.; Wang, H.Y.; Pan, J.T.; Luo, J.F.; Liu, J.; Gu, B.J.; Liu, S.; Zhai, L.; Lindsey, S.; Zhang, Y.T.; et al. Nitrogen application rates need to be reduced for half of the rice paddy fields in China. Agric. Ecosyst. Environ. 2018, 265, 8–14. [Google Scholar] [CrossRef]
  18. Wang, F.; Peng, S.B. Yield potential and nitrogen use efficiency of China’s super rice. J. Integr. Agric. 2017, 16, 1000–1008. [Google Scholar] [CrossRef]
  19. Hou, W.F.; Khan, M.R.; Zhang, J.L.; Lu, J.; Ren, T.; Cong, R.H.; Li, X.K. Nitrogen rate and plant density interaction enhances radiation interception, yield and nitrogen use efficiency of mechanically transplanted rice. Agric. Ecosyst. Environ. 2019, 269, 183–192. [Google Scholar] [CrossRef]
  20. Ku, H.H.; Hayashi, K.; Agbisit, R.; Villegas-Pangga, G. Effect of rates and sources of nitrogen on rice yield, nitrogen efficiency, and methane emission from irrigated rice cultivation. Arch. Agron. Soil Sci. 2017, 63, 1009–1022. [Google Scholar] [CrossRef]
  21. Thind, H.S.; Singh, Y.; Sharma, S.; Goyal, D.; Singh, V.; Singh, B. Optimal rate and schedule of nitrogen fertilizer application for enhanced yield and nitrogen use efficiency in dry-seeded rice in north-western India. Arch. Agron. Soil Sci. 2018, 64, 196–207. [Google Scholar] [CrossRef]
  22. Wei, H.H.; Meng, T.Y.; Li, C.; Xu, K.; Huo, Z.Y.; Wei, H.Y.; Guo, B.; Zhang, H.C.; Dai, Q.G. Comparisons of grain yield and nutrient accumulation and translocation in high-yielding japonica/indica hybrids, indica hybrids, and japonica conventional varieties. Field Crops Res. 2017, 204, 101–109. [Google Scholar] [CrossRef]
  23. Wei, H.Y.; Zhang, H.C.; Blumwald, E.; Li, H.; Cheng, J.; Dai, Q.G.; Huo, Z.Y.; Xu, K.; Guo, B. Different characteristics of high yield formation between inbred japonica super rice and inter-sub-specific hybrid super rice. Field Crops Res. 2016, 198, 179–187. [Google Scholar] [CrossRef]
  24. Douglas, L.A.; Riazi, A.; Smith, C.J. A semi-micro method for determining total nitrogen in soils and plant material containing nitrite and nitrate. Soil Sci. Soc. Am. J. 1980, 44, 431–433. [Google Scholar] [CrossRef]
  25. Mahajan, G.; Chauhan, B.S.; Gill, M.S. Optimal nitrogen fertilization timing and rate in dry-seeded rice in Northwest India. Agron. J. 2011, 103, 1676–1682. [Google Scholar] [CrossRef]
  26. Ahmed, S.; Humphreys, E.; Salim, M.; Chauhan, B.S. Growth, yield and nitrogen use efficiency of dry-seeded rice as influenced by nitrogen and seed rates in Bangladesh. Field Crops Res. 2016, 186, 18–31. [Google Scholar] [CrossRef]
  27. Chen, Y.L.; Xiao, C.X.; Wu, D.L.; Xia, T.T.; Chen, Q.W.; Chen, F.J.; Yuan, L.X.; Mi, G.H. Effects of nitrogen application rate on grain yield and grain nitrogen concentration in two maize hybrids with contrasting nitrogen remobilization efficiency. Eur. J. Agron. 2015, 62, 79–89. [Google Scholar] [CrossRef]
  28. Li, H.L.; Hao, W.P.; Liu, Q.; Mao, L.L.; Nangia, V.; Guo, R.; Mei, X.R. Developing nitrogen management strategies under drip fertigation for wheat and maize production in the North China Plain based on a 3-year field experiment. J. Plant Nutr. Soil Sci. 2019, 182, 335–346. [Google Scholar] [CrossRef]
  29. Wei, H.H.; Li, C.; Xing, Z.P.; Wang, W.T.; Dai, Q.G.; Zhou, G.S.; Wang, L.; Xu, K.; Huo, Z.Y.; Guo, B.W.; et al. Suitable growing zone and yield potential for late-maturity type of Yongyou japonica/indica hybrid rice in the lower reaches of Yangtze River, China. J. Integr. Agric. 2016, 15, 50–62. [Google Scholar] [CrossRef][Green Version]
  30. Liu, L.J.; Xiong, Y.W.; Bian, J.L.; Zhang, H.; Gu, J.F.; Wang, Z.Q.; Yang, J.Y. Effect of genetic improvement of grain yield and nitrogen efficiency of mid-season indica rice cultivars. J. Plant Nutr. Soil Sci. 2015, 178, 297–305. [Google Scholar] [CrossRef]
  31. Jiang, P.; Xie, X.B.; Huang, M.; Zhou, X.F.; Zhang, R.C.; Chen, J.N.; Wu, D.D.; Xia, B.; Xiong, H.; Xu, F.; et al. Potential yield increase of hybrid rice at five locations in Southern China. Rice 2016, 9, 11–25. [Google Scholar] [CrossRef] [PubMed]
  32. Huang, L.; Sun, F.; Yuan, S.; Peng, S.B.; Wang, F. Different mechanisms underlying the yield advantage of ordinary hybrid and super hybrid rice over inbred rice under low and moderate N input conditions. Field Crops Res. 2018, 216, 150–157. [Google Scholar] [CrossRef]
  33. Wei, H.Y.; Hu, L.; Zhu, Y.; Xu, D.; Zheng, L.M.; Chen, Z.F.; Hu, Y.; Cui, P.; Guo, B.W.; Dai, Q.G.; et al. Different characteristics of nutrient absorption and utilization between inbred japonica super rice and inter-sub-specific hybrid super rice. Field Crops Res. 2018, 218, 88–96. [Google Scholar] [CrossRef]
  34. Qiao, J.; Yang, L.; Yan, T.; Feng, X.; Dong, Z. Nitrogen fertilizer reduction in rice production for two consecutive years in the Taihu Lake area. Agric. Ecosyst. Environ. 2012, 146, 103–112. [Google Scholar] [CrossRef]
  35. Comas, L.; Becker, S.; Cruz, V.M.V.; Byrne, P.F.; Dierig, D.A. Root traits contributing to plant productivity under drought. Front. Plant Sci. 2013, 4, 442. [Google Scholar] [CrossRef] [PubMed]
  36. Ning, Y.; Xiao, Z.Y.; Weinmann, M.; Li, Z.F. Phosphate uptake is correlated with the root length of celery plants following the association between arbuscular mycorrhizal fungi, Pseudomonas sp. and biochar with different phosphate fertilization levels. Agronomy 2019, 9, 824. [Google Scholar] [CrossRef]
  37. Pan, J.; Liu, Y.; Zhong, X.; Lampayan, R.M.; Singleton, G.R.; Huang, N.; Liang, K.; Peng, B.; Tian, K. Grain yield, water productivity and nitrogen use efficiency of rice under different water management and fertilizer-N inputs in South China. Agric. Water Manag. 2017, 184, 191–200. [Google Scholar] [CrossRef]
Figure 1. The mean temperature (a), precipitation per month (b), and sunshine hours per month (c) during the rice-growing season (May to November) from 2016 to 2018.
Figure 1. The mean temperature (a), precipitation per month (b), and sunshine hours per month (c) during the rice-growing season (May to November) from 2016 to 2018.
Agronomy 10 00171 g001
Figure 2. Relationship between N application rate and grain yields of Yongyou 12 (a), Yongyou 538 (b), Xiushui 134 (c), and Jia 58 (d) in 2016, 2017, and 2018.
Figure 2. Relationship between N application rate and grain yields of Yongyou 12 (a), Yongyou 538 (b), Xiushui 134 (c), and Jia 58 (d) in 2016, 2017, and 2018.
Agronomy 10 00171 g002
Figure 3. Dry matter of Yongyou 12 (a), Yongyou 538 (b), Xiushui 134 (c), and Jia 58 (d) in 2016 at various growth stages. Values are means. Error bars represent standard errors (n = 3). Different lowercase letters in the same growth stage indicate significant differences among the different N application rates (P = 5%, LSD).
Figure 3. Dry matter of Yongyou 12 (a), Yongyou 538 (b), Xiushui 134 (c), and Jia 58 (d) in 2016 at various growth stages. Values are means. Error bars represent standard errors (n = 3). Different lowercase letters in the same growth stage indicate significant differences among the different N application rates (P = 5%, LSD).
Agronomy 10 00171 g003
Figure 4. Dry matter of Yongyou 12 (a), Yongyou 538 (b), Xiushui 134 (c), and Jia 58 (d) in 2017 at various growth stages. Values are means. Error bars represent standard errors (n = 3). Different lowercase letters in the same growth stage indicate significant differences among the different N application rates (P = 5%, LSD).
Figure 4. Dry matter of Yongyou 12 (a), Yongyou 538 (b), Xiushui 134 (c), and Jia 58 (d) in 2017 at various growth stages. Values are means. Error bars represent standard errors (n = 3). Different lowercase letters in the same growth stage indicate significant differences among the different N application rates (P = 5%, LSD).
Agronomy 10 00171 g004
Figure 5. Dry matter of Yongyou 12 (a), Yongyou 538 (b), Xiushui 134 (c), and Jia 58 (d) in 2018 at various growth stages. Values are means. Error bars represent standard errors (n = 3). Different lowercase letters in the same growth stage indicate significant differences among the different N application rates (P = 5%, LSD).
Figure 5. Dry matter of Yongyou 12 (a), Yongyou 538 (b), Xiushui 134 (c), and Jia 58 (d) in 2018 at various growth stages. Values are means. Error bars represent standard errors (n = 3). Different lowercase letters in the same growth stage indicate significant differences among the different N application rates (P = 5%, LSD).
Agronomy 10 00171 g005
Figure 6. N uptake of Yongyou 12 (a), Yongyou 538 (b), Xiushui 134 (c), and Jia 58 (d) in 2016 at various growth stages. Values are means. Error bars represent standard errors (n = 3). Different lowercase letters in the same growth stage indicate significant differences among the different N application rates (P = 5%, LSD).
Figure 6. N uptake of Yongyou 12 (a), Yongyou 538 (b), Xiushui 134 (c), and Jia 58 (d) in 2016 at various growth stages. Values are means. Error bars represent standard errors (n = 3). Different lowercase letters in the same growth stage indicate significant differences among the different N application rates (P = 5%, LSD).
Agronomy 10 00171 g006
Figure 7. N uptake of Yongyou 12 (a), Yongyou 538 (b), Xiushui 134 (c), and Jia 58 (d) in 2017 at various growth stages. Values are means. Error bars represent standard errors (n = 3). Different lowercase letters in the same growth stage indicate significant differences among the different N application rates (P = 5%, LSD).
Figure 7. N uptake of Yongyou 12 (a), Yongyou 538 (b), Xiushui 134 (c), and Jia 58 (d) in 2017 at various growth stages. Values are means. Error bars represent standard errors (n = 3). Different lowercase letters in the same growth stage indicate significant differences among the different N application rates (P = 5%, LSD).
Agronomy 10 00171 g007
Figure 8. N uptake of Yongyou 12 (a), Yongyou 538 (b), Xiushui 134 (c), and Jia 58 (d) in 2018 at various growth stages. Values are means. Error bars represent standard errors (n = 3). Different lowercase letters in the same growth stage indicate significant differences among the different N application rates (P = 5%, LSD).
Figure 8. N uptake of Yongyou 12 (a), Yongyou 538 (b), Xiushui 134 (c), and Jia 58 (d) in 2018 at various growth stages. Values are means. Error bars represent standard errors (n = 3). Different lowercase letters in the same growth stage indicate significant differences among the different N application rates (P = 5%, LSD).
Agronomy 10 00171 g008
Figure 9. SNU (a), GNU (b), and TNU (c) of Yongyou 12, Yongyou 538, Xiushui 134, and Jia 58 at maturity. SNU, straw N uptake; GNU, grain N uptake; TNU, total N uptake. Data are averages observed for the three study years.
Figure 9. SNU (a), GNU (b), and TNU (c) of Yongyou 12, Yongyou 538, Xiushui 134, and Jia 58 at maturity. SNU, straw N uptake; GNU, grain N uptake; TNU, total N uptake. Data are averages observed for the three study years.
Agronomy 10 00171 g009
Table 1. Detailed information on the four rice varieties used in this study.
Table 1. Detailed information on the four rice varieties used in this study.
VarietyTypeYear of Official ReleaseCross InformationBreeding Organization
Yongyou 12Japonica/indica hybrid rice2011Yongjing 2A × F5032Academy of Agricultural Science of Ningbo, Zhejiang, China
Yongyou 538Japonica/indica hybrid rice2013Yongjing 3A × F7538Ningbo Seed Company, Zhejiang, China
Xiushui 134Japonica rice2011Bin 95-59//Ce 212/RHT × Xiushui 123Academy of Agricultural Science of Jiaxing, Zhejiang, China
Jia 58Japonica rice2013Jia 33 × Jia 0664Academy of Agricultural Science of Jiaxing, Zhejiang, China
Table 2. The duration of each growth stage of the four rice varieties used in this study.
Table 2. The duration of each growth stage of the four rice varieties used in this study.
YearVariety TypesDays from Sowing to Tillering (d)Days from Tillering to Jointing (d)Days from Jointing to Heading (d)Days from Heading to Maturity (d)Total Growth Duration (d)
2016Yongyou 1233283668165
Yongyou 53833283567163
Xiushui 13432262958145
Jia 5832273058147
2017Yongyou 1234283568165
Yongyou 53833293568165
Xiushui 13432282957146
Jia 5832273058147
2018Yongyou 1234283668166
Yongyou 53833283667164
Xiushui 13431263059146
Jia 5832263058146
Table 3. Variance analysis of years (Y), varieties (V), nitrogen levels (N), as well as their interactions on yield, dry matter, and TNU.
Table 3. Variance analysis of years (Y), varieties (V), nitrogen levels (N), as well as their interactions on yield, dry matter, and TNU.
dfYieldDry MatterTNU
Y2******
V3******
N4******
Y × V6******
Y × N8NS****
V × N12NS***
Y × V × N24NSNSNS
df, degree of freedom; TNU, total nitrogen uptake; NS, not significant. * Significant at the 0.05 level (p < 0.05) and ** significant at the 0.01 level (p < 0.01).
Table 4. Grain yields of different rice varieties under different N levels from 2016 to 2018.
Table 4. Grain yields of different rice varieties under different N levels from 2016 to 2018.
Variety TypesNitrogenGrain Yield (t ha−1)
201620172018Mean
Yongyou 12N08.45 c6.96 c7.33 c7.58 d
N15011.51 b10.39 b9.50 b10.46 c
N22511.86 b10.72 b9.97 a,b10.85 c
N30012.67 a,b11.38 a,b11.00 a,b11.69 b
N37513.35 a12.27 a11.27 a12.30 a
Mean11.57 A10.35 A9.81 A10.58 A
Yongyou 538N07.45 c7.38 c7.13 c7.32 d
N15010.99 b9.72 b9.63 b10.12 c
N22511.34 a,b9.99 b10.20 a,b10.51 b,c
N30011.58 a,b10.52 a,b11.03 a11.04 a,b
N37512.35 a11.49 a10.67 a,b11.50 a
Mean10.74 A9.82 A9.73 A10.10 A
Xiushui 134N03.99 c4.00 d3.97 c3.99 d
N1506.38 b6.32 c6.71 b6.47 c
N2257.37 a,b7.36 b7.44 a,b7.39 b
N3007.99 a8.19 a,b7.99 a8.06 a
N3758.04 a8.45 a8.13 a8.20 a
Mean6.75 B6.86 B6.85 B6.82 B
Jia 58N04.53 c4.66 c4.31 c4.50 d
N1506.80 b6.38 b6.69 b6.62 c
N2258.05 a7.75 a7.44 a,b7.74 b
N3008.91 a8.14 a8.09 a8.38 a
N3758.46 a8.12 a7.78 a8.12 a,b
Mean7.35 B7.01 B6.86 B7.07 B
N0, N150, N225, N300, and N375 mean N application rate at 0, 150, 225, 300, and 375 kg ha−1, respectively. Different lowercase letters in a column indicate significant differences among the different N application rates (P = 5%, LSD). Different uppercase letters indicate significant differences among the four rice varieties (P = 5%, LSD).
Table 5. Yield components of different rice varieties under different N levels.
Table 5. Yield components of different rice varieties under different N levels.
Variety TypesNitrogenEffective Panicle m2Spikelet per PanicleGrain Filling Percentage (%)1000-Grain Weight (g)
Yongyou 12N0139 1 d314 b83.7 a,b21.8 a
N150161 c369 a84.5 a22.6 a
N225169 d,c378 a84.6 a22.5 a
N300187 a,b375 a81.3 b22.0 a
N375197 a381 a84.3 a22.0 a
Mean171 B364 A83.7 B22.2 B
Yongyou 538N0135 d322 b84.1 a21.7 a
N150169 c353 a83.7 a22.4 a
N225178 bc360 a82.3 a22.5 a
N300191 b361 a83.5 a22.1 a
N375209 a345 a,b83.0 a22.4 a
Mean176 B348 A83.3 B22.2 B
Xiushui 134N0157 c132 a85.8 a24.8 a
N150269 b128 a85.5 a24.9 a
N225288 a,b124 a89.2 a25.2 a
N300305 a137 a88.1 a25.4 a
N375313 a138 a87.0 a25.0 a
Mean266 A132 B87.1 A25.1 A
Jia 58N0179 c124 a85.6 a25.3 a
N150269 b128 a86.1 a24.8 a
N225294 a,b134 a86.4 a24.8 a
N300324 a135 a88.7 a25.2 a
N375306 a134 a88.8 a25.0 a
Mean274 A131 B87.1 A25.0 A
1 Data are averages observed for the three study years. N0, N150, N225, N300, and N375 mean N application rate at 0, 150, 225, 300, and 375 kg ha−1, respectively. Different lowercase letters in a column indicate significant differences among the different N application rates (P = 5%, LSD). Different uppercase letters indicate significant differences among the four rice varieties (P = 5%, LSD).
Table 6. Effect of N rate on the N uptake and agronomic N use efficiency.
Table 6. Effect of N rate on the N uptake and agronomic N use efficiency.
Variety TypesNitrogenN Uptake (kg ha−1)AE (kg kg−1)NHI
SNUGNUTNU
Yongyou 12N035.7 1 d66.5 e102.2 e0.65 a
N15058.3 c102.6 d160.9 d19.2 a0.64 a
N22569.3 c115.9 c185.2 c14.5 b0.63 a,b
N30090.1 b131.3 b221.3 b13.7 b0.59 a,b
N375109.5 a144.0 a253.5 a12.6 b0.57 b
Mean72.6 A112.1 A184.6 A15.0 A0.62 A
Yongyou 538N032.9 d61.0 d93.9 d0.65 a
N15056.8 c100.0 c156.8 c18.6 a0.64 a,b
N22570.2 b104.3 c174.4 c14.2 b0.60 b
N30080.6 b119.1 b199.6 b12.4 b0.60 b
N37597.3 a144.4 a241.7 a11.1 b0.60 b
Mean67.5 A105.7 A173.3 A14.1 A0.62 A
Xiushui 134N019.2 e35.3 d54.5 e0.65 a
N15042.8 d69.1 c111.9 d16.6 a0.62 a,b
N22555.0 c83.3 b138.2 c15.1 a,b0.60 a,b
N30068.2 b97.5 a165.7 b13.6 b0.59 a,b
N37580.2 a101.5 a181.7 a11.3 c0.56 b
Mean53.1 B77.3 B130.4 B14.1 A0.60 A
Jia 58N017.9 d37.1 d54.9 d0.67 a
N15041.6 c63.9 c105.5 c14.1 a0.61 b,c
N22556.4 b91.6 b148.0 b14.4 a0.62 b
N30068.9 a101.6 a170.5 a12.9 a0.60 b,c
N37574.6 a102.7 a177.2 a9.6 b0.58 c
Mean51.9 B79.4 B131.2 B12.8 A0.62 A
1 Data are averages observed for the three study years. N0, N150, N225, N300, and N375 mean N application rate at 0, 150, 225, 300, and 375 kg ha−1, respectively. SNU, straw N uptake; GNU, grain N uptake; TNU, total N uptake; AE, agronomic N use efficiency; NHI, N harvest index. Different lowercase letters in a column indicate significant differences among the different N application rates (P = 5%, LSD). Different uppercase letters indicate significant differences among the four rice varieties (P = 5%, LSD).
Table 7. Correlation between grain yield and N uptake at various growth stage.
Table 7. Correlation between grain yield and N uptake at various growth stage.
GYNUtNUjNUhTNU
GY1
NUt0.126 NS1
NUj0.842 **0.054 NS1
NUh0.791 **0.024 NS0.913 **1
TNU0.828 **0.022 NS0.888 **0.949 **1
GY, grain yield; NUt, N uptake at tillering stage; NUj, N uptake at jointing stage; NUh, N uptake at heading stage; TNU, total nitrogen uptake; NS, not significant and ** significant at the 0.01 level (p < 0.01).

Share and Cite

MDPI and ACS Style

Sun, T.; Yang, X.; Tan, X.; Han, K.; Tang, S.; Tong, W.; Zhu, S.; Hu, Z.; Wu, L. Comparison of Agronomic Performance between Japonica/Indica Hybrid and Japonica Cultivars of Rice Based on Different Nitrogen Rates. Agronomy 2020, 10, 171. https://doi.org/10.3390/agronomy10020171

AMA Style

Sun T, Yang X, Tan X, Han K, Tang S, Tong W, Zhu S, Hu Z, Wu L. Comparison of Agronomic Performance between Japonica/Indica Hybrid and Japonica Cultivars of Rice Based on Different Nitrogen Rates. Agronomy. 2020; 10(2):171. https://doi.org/10.3390/agronomy10020171

Chicago/Turabian Style

Sun, Tao, Xin Yang, Xiaoli Tan, Kefeng Han, Sheng Tang, Weiming Tong, Siyi Zhu, Zhaoping Hu, and Lianghuan Wu. 2020. "Comparison of Agronomic Performance between Japonica/Indica Hybrid and Japonica Cultivars of Rice Based on Different Nitrogen Rates" Agronomy 10, no. 2: 171. https://doi.org/10.3390/agronomy10020171

APA Style

Sun, T., Yang, X., Tan, X., Han, K., Tang, S., Tong, W., Zhu, S., Hu, Z., & Wu, L. (2020). Comparison of Agronomic Performance between Japonica/Indica Hybrid and Japonica Cultivars of Rice Based on Different Nitrogen Rates. Agronomy, 10(2), 171. https://doi.org/10.3390/agronomy10020171

Note that from the first issue of 2016, this journal uses article numbers instead of page numbers. See further details here.

Article Metrics

Back to TopTop