Abstract
Growth and photosynthesis performance of cassava during early vegetative growth are important determinants of final biomass. The objective of this work was to investigate canopy structure and photosynthesis performance of four cassava genotypes (Rayong 9, Rayong 11, Kasetsart 50, and CMR38-125-77) growing under irrigation at 3 and 6 months after planting (3MAP and 6MAP). Data for the 3MAP plants were collected from cassava planted on 30 June (Rainy PD), 10 November (Cool PD1), and 15 December (Cool PD2) 2015; and for the 6MAP from those planted on 20 April 2015 (Hot PD), Rainy PD, and Cool PD1. The plants growing in the rainy season had significantly higher leaf area index (LAI) than those growing in the cool and hot seasons. Consequently, they had lower percentage light penetration at the bottom of canopy, and therefore more light interception through the canopy, and hence a higher mean net photosynthesis rate (Pn) across the six canopy levels. At the 3MAP, which is the stage of maximum rate of leaf and stem growth, the Rainy PD and Cool PD2 plants of CMR38-125-77 showed the highest LAI and highest mean Pn. Similarly, the Cool PD1 plants of Kasetsart 50 showed the highest LAI and highest mean Pn. In contrast, at 6MAP during the stage of active starch accumulation in storage roots, the genotypes with the highest mean Pn were the ones having an intermediate (CMR38-125-77 for the Hot PD) or low LAI (Rayong 9 for the Rainy PD, and CMR38-125-77 for the Cool PD1). Data on variations in canopy structure and photosynthesis potentials of different cassava genotypes in response to seasonal variations may be useful for crop growth modeling and may be employed as a criterion for the selection of suitable genotypes for each growing season.
1. Introduction
Cassava (Manihot esculenta Crantz) has great potential for enhancing food security and utilization in the future under global climate change because of its ability to tolerate dry conditions and recover from biotic and abiotic stress [,]. In Africa, Latin America, and Asia, more than 0.8 billion people use cassava for consumption and animal feed [,]. The storage roots of cassava can be harvested from 8 to 18 months after planting (MAP), depending on cultivars and growing conditions []. However, cassava is flexible as to the time of harvest and can be stored naturally for long periods by keeping the plants in the field with the roots in the soil []. Tuberous roots of cassava have high starch content of 70–84% of root dry weight [,]. Among seven carbohydrate food crops, cassava was estimated to have the highest daily energy production of 1045 kJ ha−1 []. Primary products of cassava in the forms of chips and pellets can be further processed into high value-added starch derivative products, such as paper, textile, plywood, glue, beverages, and ethanol [].
Thailand is ranked as the world’s largest exporter of cassava products, supplying around 67% of the global market with an annual production of 31.6 million tons in 2018 []. In Southeast Asia, Thailand was reported to have the greatest cassava planting area of around 1.3 million ha []. The national average yield has been stagnant at about 18.83–24.15 t ha−1 since 2012, which is higher than the world average (4 t ha−1), yet low compared with the potential of the crop []. While under near optimal edaphic–climatic conditions, the highest experimental yield potential of cassava was recorded at 80 to 90 t ha−1 [,]. Due to the latitude of the country (tropic region, 16° N, 101° E) and climate type (tropical savanna climate), cassava plants can be grown all year round in Thailand. Approximately 23–31% of the crop is planted in May (early hot season), 10–20% in April (hot season), 11–17% in June (rainy season), and 10–20% during October (late rainy season) and November (early cool season) []. This yield gap between national averages and highest yield potential might be due to the lack of sufficient agro-advisory information on the appropriate management practices for the different growing seasons and selection of cassava genotypes suitable for planting in different seasons. Seasonal variations are under the influence of the southwest monsoon coming from the Indian Ocean and the Gulf of Bengal, providing rain to the region for about six months, i.e., from May to October, while cold air comes from mainland China, resulting in a cool and dry climate from November to February []. Consequently, drought is a frequent occurrence in this part of the country, influencing cassava growth, development, partitioning processes, and starch accumulation differently among genotypes [,,]. Previous research conducted under an irrigated condition reported the significantly different total biomass of four recommended cassava genotypes, which were planted in different seasons []. The genotype Kasetsart 50 had the greatest final total biomass (12 month-old plant) when planted in hot (April) and cool season (November and December), while CMR38-125-88 and Rayong 9 had the highest total biomass when planted in rainy (June and October), and hot (May) seasons, respectively. The genotype Rayong 11 produced an intermediate total biomass when planted in the hot season but had very low productivity when planted in the rainy and cool season. The optimal planting time and the selection of appropriate genotypes is, therefore, an important strategy to help raise the production yield of cassava in the tropical climate [].
Leaf growth and canopy architecture influence light penetration for photosynthesis and lead to biomass accumulation and crop yield [,,]. Net photosynthesis rate (Pn) and yield production of cassava was reported to have significant correlations across environments [,]. Stomata operate an appropriate balance between CO2 uptake for photosynthesis and water loss, and ultimately plant water use efficiency (WUE) [,]. In warm subhumid habitats, the mean Pn of upper leaves across cassava 15 genotypes were approximately 24.6–27.6 µmol CO2 m−2 s−1 [], while in more humid habitats, mean Pn across 8 genotypes were recorded in the range of 25.0–28.4 µmol CO2 m−2 s−1 []. The highest recorded net photosynthesis rates of cassava grown under favorable field conditions were between 40 and 50 µmol CO2 m−2 s−1 under light intensities higher than 1800 µmol photon m−2 s−1 with a ratio of intercellular to atmospheric CO2 (Ci/Ca) of approximately 0.42 [], which was close to some C4 species but lower than values for most C3 species (0.7–0.8) [].
According to the canopy photosynthetic model, the photosynthesis rate in the canopy is determined by three factors: vertical profile of light penetration in the canopy, leaf area index (LAI), and photosynthetic capacity of leaves in the canopy []. Typically, cassava grows as a perennial shrub, with palmate leaves bearing three to nine lobes []. Leaves of cassava are alternate and have a phyllotaxy of 2/5, indicating that from any leaf (Leaf 1) there are two revolutions around the stem to reach the sixth leaf (Leaf 6) in the same orthostichy as Leaf 1 []. The mature plant generally takes one of two forms: either spreading stems (forking) or erect stems (non-forking) []. The forking of cassava affects the canopy development, yield, and dry matter partitioning and is related to increases in the LAI and yield [,,]. The LAI values for the high storage root yields of cassava was reported at 3–3.5 m2 m−2, while leaf abscission began at LAI of 5.0–6.0 m2 m−2 [,]. Light measurement in the canopies showed an exponential attenuation of horizontal light flux density with accumulated LAI down the canopy []. Photon flux density at different levels in a canopy or position on a live crown is often the major factor determining the rate of CO2 assimilation of individual leaves [,,,]. Net photosynthesis rate (Pn), maximum net photosynthesis (Pn(Imax)), dark respiration (RD), and light compensation point (Icomp) of the lower canopy leaves of cassava were much reduced compared to those of the upper-position leaves [,,]. Sun and shade types of leaves develop respective types of photosynthetic pigment, which helps plants to perform photosynthesis and survive under adverse conditions [,,]. Li et al. [] reported chlorophyll (Chl) content of different leaf positions down from the shoot apex of tea; the lower leaves position (Leaf 5–6) had significantly higher total Chl and Chl b than the upper leaves (Leaf 1–3). For leaves growing under shade conditions, genes involved in light reactions of photosynthesis and light signaling were more highly expressed than in the leaves growing under full sunlight condition []. Fukai et al. [,] reported that the reduction in solar input to 78% of the incident radiation had significant effects on tuber and leaf growth of younger plants in cassava cv. M Aus 7. Reduction in solar input to 32% of the incident radiation reduced crop growth rate and total number of tubers.
The ideal plant type for maximum yield of cassava has been simulated to have the following morphological and growth characteristics: late branching at 6–9 months, maximum leaf size near 500 cm2 per leaf blade at 4 months after planting, long leaf life of ~100 d, LAI between 2.5 and 3.5 m2 m−2 during most of the growth cycle, a harvest index of greater than 0.5, nine or more storage roots per plant, and each plant having two vegetative shoots originated from the cuttings [,]. Some of these characteristics have been incorporated into breeding programs []. However, physiological traits, particularly photosynthetic performance, have not yet been included for breeding traits, although high productivity of cassava has been shown to be correlated with high maximum photosynthesis rates in several field trials [,,]. Phoncharoen et al. [] recently reported that four cassava genotypes (Rayong 9, Rayong 11, Kasetsart 50, and CMR38-125-77) growing in six different planting dates under irrigated conditions showed different patterns of changes in crop growth traits during different growth stages, which determined the final biomass and yield. The objective of this study was to evaluate the effects of different growing seasons on canopy structure and photosynthesis performance of these four cassava genotypes growing at the same field site. Two critical stages of development were investigated: three months after planting (3MAP), when the plants were at maximum vegetative growth; and six months after planting (6MAP), when active starch accumulation in storage root occurs. The data on canopy structure, light penetration, and photosynthesis performance of leaves at different canopy levels helped elucidate the physiological basis underlying the reported changes in crop growth characteristics and may contribute toward the inclusion of photosynthesis performance for breeding traits and cassava crop modeling.
2. Materials and Methods
2.1. Site Description and Microclimate
The study site was at the Field Crop Station, Faculty of Agriculture, Khon Kaen University (KKU), Northeastern Thailand (16°28′29.7″ N, 102°48′37.3″ E, altitude 195 m above sea level). The soil group was the Yasothon series, fine loamy, and oxic paleustult []. Physical and chemical soil properties at the field site were reported by Phoncharoen et al. []. The climate type in the area is a tropical savanna climate according to the Köppen climate classification []. Weather conditions were under the influence of the southwest monsoon coming from the Indian Ocean and the Gulf of Bengal, providing rain to the region for about six months, i.e., from May to October. From November to February, cool air comes from mainland China, resulting in a cool and dry climate. During 1981–2010, the seasonal mean air temperatures in the rainy, cool, and hot season were 27.6 °C, 24.2 °C, and 28.6 °C, respectively. Mean total rainfalls were 1103, 224, and 76 mm for the rainy, hot, and cool seasons, respectively [].
The experimental study was conducted to cover almost all seasons in Thailand, during April 2015 to May 2016. The seasonal periods were divided following the influence of monsoon winds: rainy season from June to October, cool season from November to February, and hot season from March to May. The environmental conditions at the field site were monitored every 5 min during April 2015 to May 2016 by an automatic weather station (WatchDog 2000, Path computation element group, Meschede, Germany). The environmental parameters recorded included photosynthetically active radiation (PAR), relative humidity (RH), air temperature (T), vapor pressure deficit (VPD), number of rainy days, and total rainfall.
2.2. Plant Materials and Cultural Practice
Four recommended cassava genotypes for the starch industry in Thailand were used for this experiment. Rayong 9 is a non-forking genotype, while Rayong 11, Kasetsart 50, and CMR38-125-77 are di- or/and tri-forking genotypes. The descriptions of each genotype were reported by the Department of Agriculture, Thailand and Kasetsart University []. Cassava planting materials were stem cuttings (20 cm long) from nine month-old plants grown in the same experimental field at KKU. Before planting, the cuttings were soaked in an insecticidal solution containing thiamethoxan (0.2 g L−1) for 20 min. The cuttings were vertically planted with a plant spacing of 1 m × 1 m in each of the four 5 m × 7 m plots. The experimental design was a randomized complete block design (RCBD) with three replications. In this study, cassava was grown under favorable conditions. Fertilization was conducted at one and two months after planting (MAP) based on soil analysis following recommendations by Howeler []. Two months after planting, ammonium sulfate ((NH4)2·SO4) and potassium chloride (KCl; 60% K2O) (Chia tai company limited, Phranakhonsiayutthaya) were applied at the rates of 223.18 and 93.75 kg ha−1, respectively. Throughout the growing and measurement period, water was regularly applied by a mini-overhead sprinkling system to maintain soil water status between 0 and −30 kPa at the cassava root zones 20 cm below ground. Soil water tension was monitored using a tensiometer. Cassava was grown in four planting dates (PD), the first in the hot season (on 20 April 2015; designated the Hot PD), the second in the rainy season (on 30 June 2015; the Rainy PD), and the third and fourth in the early and mid-cool season, respectively (on 10 November 2015; the Cool PD1; and 15 December 2015; the Cool PD2). For each PD, observations on canopy structure and photosynthesis were carried out at two growth stages: 3 and 6 months after planting (3MAP and 6MAP). These stages are important in the vegetative growth phase when the plants begin forming tuber roots (3MAP) and actively accumulating starch (6MAP) []. For the 3-month-old plants, the observation was performed during 23–30 September 2015 for the Rainy PD, 3–10 February 2016 for the Cool PD1, and 8–15 March 2016 for the Cool PD2. For the 6-month-old plants, the measurements were carried out during 13–20 October 2015 for the Hot PD, 23–30 December 2015 for the Rainy PD, and 3–10 May 2016 for the Cool PD1.
2.3. Canopy Structure
Canopy parameters including plant height, canopy height, internode length, total leaf number, and LAI were investigated on two plants/replications (n = 6). Plant height (cm) was measured from the soil surface to the shoot apex. The canopy height (cm) was measured from the node bearing the lowest green leaf to the shoot apex. The live crown ratio (LCR) was calculated from the formula (canopy height/plant height) × 100. Total leaf number was the number of all green leaves per plant. Average internode length was calculated from canopy height/total number of nodes. Below-canopy PAR and above-canopy PAR were measured from 10:00 to 11:30 h using a line quantum sensor (LI-191R, Li-Cor Inc., Lincoln, NE, USA). The LAI was calculated according to the equation LAI = −(1/k)ln(Qb/Qa) where k is assumed to be close to 0.5, Qb is an average below-canopy PAR, and Qa is an unobstructed above-canopy PAR reading [].
2.4. Light Environments inside a Canopy
The same plants as in Section 2.3 were used to investigate light penetration through the canopy. The canopy height was divided into six levels starting from the shoot apex to the canopy bottom (the point where the petiole of the lowest green leaf attaches to the main stem) (Figure 1). Light penetration through canopy was measured during 10:00–11:30 h using the line quantum sensor (LI-191R, Li-Cor Inc., Lincoln, NE, USA) at six levels from Level A (17% distance down the canopy height from the shoot apex) to the canopy bottom (Level F, 100% distance down the canopy height from the shoot apex). The distance between A and F was divided equally into four levels designated Levels B, C, D, and E (33, 50, 66, and 83% distance down the canopy height from the shoot apex, respectively).

Figure 1.
Four cassava genotypes including Rayong 9, Rayong 11, Kasetsart 50, and CMR38-125-77 that were used for this experiment. The whole canopy length (length of crown) was divided into six canopy levels (Levels A to F) starting from the shoot apex to the bottom of canopy. Six canopy levels including A, B, C, D, E, and F were at the distance 17, 33, 50, 66, 88, and 100%, respectively, down from the shoot apex.
2.5. Photosynthesis
Leaf gas exchange parameters including net photosynthesis (Pn), respiration rate (R), stomatal conductance (Gs), transpiration rate (Tr), ratio between intercellular and ambient CO2 concentration (Ci/Ca), and water use efficiency (WUE) were determined on two plants/replication (n = 6) using an infrared gas analyzer (IRGA) model Li-cor 6400xt with an LED light source (6400-02B Red/Blue Light Source, Li-Cor Inc., Lincoln, NE, USA). On each plant, leaf gas exchange parameters were measured on the central lobe of six leaves attached to the stem at each of the six canopy levels (Levels A–F, Figure 1). The conditions during measurements were controlled as follows: PAR at 1500 µmol photon m−2 s−1, CO2 concentration at 400 µmol mol−1, and temperature at 30 ± 2 °C.
Light response curves were constructed on four randomly selected plants of each genotypes (n = 4) from Replication #2. For each plant, the curves were constructed at three levels down the canopy, including the upper-leaf (Level B), middle-leaf (Level D), and lower-leaf (Level F). The Pn were measured at different PAR of 2500, 2000, 1000, 800, 500, 300, 100, 80, 50, 40, 20, and 0 µmol photon m−2 s−1 with a constant concentration of CO2 (400 µmol mol−1) and temperature (30 ± 2 °C). The predictions of maximum net photosynthetic rate at light saturation (Pn(Imax)), light compensation point (Icomp), light saturation (Imax), and apparent quantum yield (AQE) were estimated from the modeled light–response curve using the Solver function of Microsoft Excel in routines provided by Prioul and Chartier []: Pn = ((f(Io) × I + Pgmax − ((f(Io) × I + Pgmax)2 − 4θ × f(Io) × I × Pgmax)0.5)/2θ) − RD, where Pn = net photosynthetic rate (µmol CO2 m−2 s−1), f(Io) = quantum yield at I = 0 (µmol CO2 mmol−1 photon), I = photosynthetic photon flux density (µmol photon m−2 s−1), Pgmax = maximum gross photosynthesis rate (mmol CO2 m−2 s−1), θ = convexity (dimensionless), and RD = dark respiration rate (µmol CO2 m−2 s−1).
2.6. Chlorophyll Content
After gas exchange measurements, leaves from 6 canopy levels of three randomly selected plants in Replication #2 were collected for Chl content determination. Briefly, leaf sample (0.1 g fresh weight) was homogenized in 5 mL of 80% acetone. The absorbance of the filtered solutions was measured at 645 and 663 nm (Hanon, Model i3, China). Chl a, b, and total Chl were expressed as mg g−1 tissue fresh weight and calculated using equations following Arnon [] and Lichtenthaler []. Chl a, b, and total Chl values were calculated according to the following equations: Chl a = (12.7 (A663) − 2.69 (A645)) × (V/(1000 × W)), Chl b = ((22.9 (A645) − 4.68 (A663)) × (V/(1000 × W)), and Total Chl = ((20.2 (A645) + 8.02 (A663)) × (V/(1000 × W)), where V is total volume of filtered solution (mL), W is fresh weight of leaf tissue (g), and A645 and A663 are the absorbance values at 645 and 663 nm, respectively.
2.7. Data and Statistical Analysis
Analysis of variance according to RCBD was done for each planting date for canopy characteristics and leaf gas exchange parameters. Combined analysis of variance was then performed to compare planting dates. The least significant difference (LSD) test was used to compare the means at an alpha level of 0.05. All statistical analyses were taken by using Statistix version 10 software and followed the procedure described by Gomez and Gomez []. T-tests were used to compare means among canopy levels across genotypes, means among genotypes in the same planning date, means across genotypes among planting dates, and means between plant age (3- and 6-month-old plants) of each genotype in the same PD (Rainy PD and Cool PD1). The relationship between the percentages of light penetration through the canopy and the percentages of the distance down from the shoot apex (Levels A–F) were constructed using SigmaPlot version 11.0 software, and the slopes (S) were obtained by using Microsoft Excel version 2010.
3. Results
3.1. Weather Conditions at the Field Site
The overall illustration of the environmental parameters at the experimental fields from May 2015 to May 2016 are shown in Figure 2 and Table S1. The values of daily mean PAR ranged from a minimum of 721 µmol photon m−2 s−1 in July to 1102 µmol photon m−2 s−1 in June (Figure 2 and Table S1). The highest maximum PAR was recorded in the hot season (May 2015; 2270 µmol photon m−2 s−1) and the lowest in the cool season (January 2016; 1650 µmol photon m−2 s−1). Daily mean RH was highest in the rainy season (June–October 2015; 55.12–69.86%), followed by the cool season (November 2015 to February 2016; 38.71–55.41%), and the hot season (March–May 2016; 35.11–52.62%). Daily mean T was highest in the hot season (32.42–35.33 °C), followed by the rainy season (28.74–31.95 °C) and the cool season (26.80–30.01 °C). VPD was calculated from the air temperature, RH and saturated vapor pressure [,]. The highest daily mean VPD was recorded in the hot season (2.37–3.91 kPa), especially in April 2016, followed by the cool season (1.97–2.44 kPa) and the rainy season (1.36–2.29 kPa) (Figure 2 and Table S1). Total rainfall and number of rainy days depend on the monsoon events; the total monthly rainfall was highest in the rainy season, i.e., 323, 136, 118, 88, and 51 mm in August, July, June, September, and October 2015, respectively. Dry periods were spanning across 5 months from November 2015 to March 2016, with a total rainfall of 31 mm and absolutely no rain in December and February (Figure 2 and Table S1).

Figure 2.
Weather conditions at the field site, including photosynthetically active radiation (PAR) (A), relative humidity (RH) (B), vapor pressure deficit (VPD) (C), air temperature (T) (D), total rainfall (E), and number of rainy days (F) recorded during May 2015 to May 2016. Values are mean ± SD of 30 days.
The environmental conditions experienced by cassava, planted in different seasons, that were used for determination of canopy structures and photosynthesis, i.e., Rainy PD, Cool PD1, and Cool PD2 for the 3-month-old plants, and Hot PD, Rainy PD, and Cool PD1 for the 6-month-old plants, are summarized in Table S1. For each PD, the values showed daily means, maxima, and minima of each parameter from the day of planting to the day of measurements.
For the 3-month-old plants, the Rainy PD plants that were growing during 30 June to 30 September (rainy season), experienced the highest daily maximum and mean PAR of 1995 and 830 µmol photon m−2 s−1, respectively. During the 3 month growing period of these plants, the RH and T were also the highest (92.18% for daily maximum RH, 68.15% for daily mean RH, and 29.68 °C for daily mean T), but the VPD was the lowest (daily minimum, mean, and maximum were 0.25, 1.48, and 2.54 kPa, respectively). The 3-month-old plants of Cool PD1 (10 November 2015–10 February 2016) and Cool PD2 (15 December 2015–15 March 2016) received similar light intensity and temperature regimes throughout their growth period. The daily mean and minimum T experienced by these two PD plants were significantly lower than that for the Rainy PD, i.e., 27.96 and 19.61 °C for Cool PD1, and 27.83 and 18.71 °C for Cool PD2. For Cool PD1 and Cool PD2, the daily mean RH were also similar, but Cool PD1 had significantly higher daily minimum and maximum RH. The daily minimum RH for Cool PD2, Cool PD1, and Rainy PD were 28.21, 32.61, and 51.99%, respectively; while daily maximum RH were 77.43, 83.76, and 92.18%. The VPD during the growing period of Cool PD1 and Cool PD2 were significantly different, i.e., Cool PD2 experienced the daily mean and maximum VPD of 2.38 and 3.82 kPa, respectively, while these values for Cool PD1 were 2.12 and 3.48 kPa. Total rainfall and number of rainy days were highest for Rainy PD plants (547 mm with 44 rainy days), followed by Cool PD2 (27 mm with 10 rainy days) and Cool PD1 (26 mm with 11 rainy days).
The 6-month-old plants investigated consisted of Hot PD (hot–rainy season), Rainy PD (rainy–cool season), and Cool PD1 (cool–hot season), which all experienced significantly different PAR, RH, T, and VPD (Table S1). The Hot PD plants were growing through 1.5 months of the hot season and 4.5 months of the rainy season; they received the highest average light intensity (daily mean PAR of 910 and daily maximum PAR of 2034 µmol photon m−2 s−1) as well as the highest temperature (daily mean T, 31.08 °C; daily maximum T, 34.87 °C). These plants were growing in the conditions of moderate humidity (daily mean RH, 60.23%; maximum daily RH, 86.60%) and VPD (daily mean, 1.92 kPa; daily maximum, 2.88 kPa). The Rainy PD plants were growing across 4 months in the rainy followed by 2 months in the cool season. These plants, thus, were growing in the environments of the highest moisture (daily mean RH, 62.37%; maximum RH, 89.83%) but lowest temperature (daily mean, 29.42 °C; daily maximum, 33.49 °C) and lowest VPD (daily mean, 1.70 kPa; daily maximum, 2.86 kPa). The Cool PD1 plants were growing through 4 months of cool season followed by 2 months of hot season. Therefore, these plants were exposed to the dry environments of lowest RH (daily mean RH, 44.14%; daily maximum, 76.22%) and highest VPD (daily mean, 2.76 kPa; daily maximum, 4.31 kPa). These Cool PD1 plants received slightly lower mean light intensity (871 µmol photon m−2 s−1) than those in Hot PD (910 µmol photon m−2 s−1) but higher than the Rainy PD (831 µmol photon m−2 s−1) ones. Although the Cool PD1 plants received similar daily mean T to Hot PD plants, they were exposed to significantly lower daily minimum T (21.48 °C compared with 25.46 °C for Hot PD). Total rainfall and number of rainy days were the highest during the growth period of Hot PD (739 mm with 68 rainy days), followed by that of Rainy PD (603 mm with 54 rainy days), and lowest for Cool PD1 (178 mm with 19 rainy days).
3.2. Canopy Characteristics
The 3-month-old plants of all four genotypes were characterized by having a single main stem without forking. Six parameters describing the canopy structure are presented in Table 1. When comparing the 3-month-old plants across all four genotypes growing in three different planting dates, it was obvious that the Rainy PD plants showed the most robust growth with the maximum values of all canopy characteristics, i.e., plant height (111 cm), canopy height (103 cm), LCR (92.05%), total number of leaves (66), internode length (1.65 cm), and LAI (3.46 m2 m−2) (Table 1). Most canopy parameters of the Cool PD1 and the Cool PD2 plants were significantly lower than those of the Rainy PD (except total leaf number, which did not differ significantly among planting dates). Almost all canopy parameters of the Cool PD1 and Cool PD2 were similar (except that the Cool PD1 had significantly higher LCR). For each genotype, the differences in canopy structures showed similar trends to the means across genotypes, i.e., the Rainy PD plants consistently showed better growth and higher canopy parameter values than those of the Cool PD1 and Cool PD2. However, many canopy parameters within the same planting dates showed genotypic differences.

Table 1.
Canopy traits including plant height, canopy height, live crown ratio (LCR), total number of leaves, internode length, and leaf area index (LAI) of cassava Rayong 9, Rayong 11, Kasetsart 50, and CMR38-125-77 planted in April (Hot PD), June (Rainy PD), November (Cool PD1), and December (Cool PD2) in 2015. The effects of planting dates (PD) on canopy structure were investigated in the 3- and 6-month-old plants. Means ± SD were from 6 six plants (two plants/replication) of each genotype. Means which were significantly different (p < 0.05) among genotypes are denoted with different lower case letters, whereas those among planting dates are represented by different capital letters. The significant difference (p < 0.05) between the age of plant (3- and 6-month-old plants) of the same PD are denoted with *.
Genotypic differences in the canopy structure of the 3-month-old plants were apparent only for the Rainy PD and the Cool PD2. For the Rainy PD plants, only total leaf number and internode length were significantly different among genotypes (p < 0.01 for total leaf number, and p < 0.05 for internode length). It was noted that CMR38-125-77 tended to be tallest (120 cm), having highest canopy height (114 cm), LCR (93.53%), total leaf number (77), and LAI (4.10 m2 m−2). No significant differences among genotypes in all canopy parameters were found in the Cool PD1 plants. In contrast, the Cool PD2 plants showed significant differences in almost all canopy characteristics (except LCR), with CMR38-125-77 showing the maximum values in all characteristics (except internode length). The highest LAI was recorded in CMR38-125-77 (3.48 m2 m−2), followed by Rayong 11, Rayong 9, and Kasetsart 50 (2.46, 2.44 and 1.99 m2 m−2, respectively).
Stems of the 6-month-old plants of Rayong 11, Kasetsart 50, and CMR38-125-77 appeared to fork into dichotomous and trichotomous branches, while Rayong 9 maintained the single stem structure (Figure 1). Comparisons of means across genotypes among the three different planting dates showed that the Hot PD plants (growing through 1.5 months of the hot season and 4.5 months of the rainy season) showed the highest plant height (338 cm, p < 0.001), canopy height (102 cm, ns), total leaf number (259, p < 0.001), internode length (2.20 cm, p < 0.05), and LAI (5.01 m2 m−2, ns) (Table 1). Conversely, the 6-month-old plants of Hot PD had low LCR (29.37%), which was significantly lower (p < 0.001) than that of Cool PD1 (59.42%). The Rainy PD plants, which were growing across 4 months of the rainy season followed by 2 months of the cool season, had intermediate plant height (242 cm) and LAI (4.26 m2 m−2), but the lowest canopy height (75 cm), lowest LCR (28.90%), and the lowest total leaf number (125). On the other hand, the Cool PD1 plants, which were growing across 4 months of the cool season followed by 2 months of the hot season, had the shortest plant height (161 cm) and lowest LAI (2.97 m2 m−2), but the highest LCR (59.42%), intermediate canopy height (97 cm), and intermediate leaf number (184).
Among the three planting dates, Rainy PD plants showed significant differences among genotypes in all seven canopy parameters (Table 1). For the Rainy PD plants, Kasetsart 50 showed the significantly highest stem parameters, i.e., plant height (273 cm), canopy height (111 cm), and LCR (37.93%), while Rayong 11 had the highest leaf number (196). It was noted that Rayong 11 had the highest LAI among genotypes for all three planting dates, i.e., 6.43, 5.68, and 4.19 m2 m−2 for the Rainy PD, Hot PD, and Cool PD1, respectively. Kasetsart 50 had a similar pattern of changes in LAI as Rayong 11, i.e., highest in the Rainy PD (4.95 m2 m−2) and lowest in the Cool PD1 (2.75 m2 m−2). In contrast, CMR38-125-77 had highest LAI in the Hot PD (5.01 m2 m−2), which was dramatically reduced in the Rainy PD (2.76 m2 m−2) and the Cool PD1 (1.80 m2 m−2). It was noted that Rayong 9, which is the non-forking cultivar, had the lowest leaf number among genotypes in all planting dates.
Comparisons of canopy parameters between 3- and 6-month-old plants revealed that the older plants were taller, had slightly greater canopy height, more leaves, longer internodes, and higher LAI, but lower LCR (Table 1). Comparisons of canopy height of the Rainy PD plants at two different ages revealed that the 6-month-old plants of Rayong 9 and Rayong 11 had significantly shorter canopy height than the younger plants at the age of three months. Conversely, for the Cool PD1, 6-month-old plants of Rayong 9 and Rayong 11 had significantly taller canopy height than the younger plants. It is interesting to note that for the Rainy PD plants, the LCR values of the 3-month-old plants (90.80–93.53%) were 3–4 times higher than those of the 6-month-old plants (20.05–37.93%). This difference was also noted for the Cool PD1 plants, but the magnitude of difference was much lower than that observed in the Rainy PD.
3.3. Light Penetration though Different Canopy Levels
Percentages of light penetration through six canopy levels are displayed in Figure 3. For each investigated plant, PARs were measured at six canopy levels, i.e., A to F (Figure 1). Level A received maximum light intensity and therefore was assigned 100% light penetration. Percentage light penetration through each of the lower levels was calculated based on PAR at Level A. Percentages of light penetration through six canopy levels were plotted against relative distances from the shoot apex, i.e., 17, 33, 50, 66, 83, and 100% for Levels A, B, C, D, E, and F, respectively.

Figure 3.
Percentage of light penetration through different canopy layers (Levels A–F) of the 3- and 6-month-old plants of cassava Rayong 9 (RY9;
), Rayong 11 (RY11;
), Kasetsart 50 (KU50;
), and CMR38-125-77 (
) planted in April (Hot PD; D), June (Rainy PD; A,E), November (Cool PD1; B,F), and December (Cool PD2; (C) in 2015. The six canopy levels from A, B, C, D, E, to F were at the distance 17, 33, 50, 66, 88, and 100%, respectively, down from the shoot apex. Data show means of six plants (n = 6, two plants/replication).




For the 3-month-old plants, the amount of light penetrated to the bottom of canopy (Level F) was lowest in the Rainy PD plants (ranging from 17 to 25%, PAR 154–491 µmol photon m−2 s−1; Figure 3A), followed by the Cool PD2 (19–37%, PAR 293–595 µmol photon m−2 s−1; Figure 3C), and the Cool PD1 (30–39%, PAR 444–577 µmol photon m−2 s−1; Figure 3B). For the Cool PD1 and Cool PD2 plants, the rates of reduction in light penetration through the canopy were similar among genotypes. However, for the Rainy PD plants, the rates of reduction in light penetration through the canopy were greatest in CMR38-125-77 (S = −1.09), followed by Rayong 11 (S = −1.08), Kasetsart 50 (S = −0.97), and Rayong 9 (S = −0.96). The percentage light penetration among genotypes were most different in the middle canopy levels (Level C and D). At Level C, light penetration percentages through the canopy of CMR38-125-77, Rayong 11, Kasetsart 50, and Rayong 9 were 43, 64, 69, and 71%, respectively (Figure 3A). Patterns of the reductions in light penetration through the canopy were similar in different PDs except for CMR38-125-77 plants, which showed a wide difference between the Rainy PD and the Cool PDs (Figure S1).
For the 6-month-old plants, the bottom of the canopy at Level F of the Hot PD plants showed the lowest percentage of light penetration (ranging from 8 to 10%, PAR 147–243 µmol photon m−2 s−1), followed by that of the Rainy PD (4–28%, PAR 73–423 µmol photon m−2 s−1) and the Cool PD1 plants (13–41%, PAR 227–747 µmol photon m−2 s−1) (Figure 3D–F). Genotypic differences in the rates of reduction in light penetration through the canopy were clearly evident for the Rainy PD and Cool PD1 plants. Rayong 11 exhibited the greatest rate of reduction in light penetration (S = −1.07 for the Rainy PD and −0.83 for the Cool PD1), while CMR38-125-77 showed the lowest rate (S = −0.85 for the Rainy PD and −0.55 for the Cool PD1). Kasetsart 50 and Rayong 9 showed the intermediate rates of reduction in light penetration (Figure 3E,F). Small genotypic differences in the rates of reduction in light penetration were observed in the Hot PD plants ranging from −1.09 to −1.20 (Figure 3D). The percentages of light penetration among genotypes were the most different in the middle to lower canopy levels (Level C–F). At Level D, the Rainy PD plants of CMR38-125-77 showed the highest light penetration (56%), followed by Rayong 9 (39%), Kasetsart 50 (25%), and Rayong 11 (13%) (Figure 3E), while genotypic differences in percentage light penetration at Level D of the Hot PD plants ranged from 25% in CMR38-125-77 to 12% in Rayong 9 (Figure 3D). Patterns of the reductions in light penetration through the canopy were similar in different PDs for Rayong 11 and Kasetsart 50, but for Rayong 9 and CMR38-125-77 plants, the patterns in the Hot PD were apparently different from those in the Rainy PD and the Cool PD1 (Figure S1).
3.4. Photosynthetic Performance
3.4.1. Photosynthesis of Leaves at Different Canopy Levels
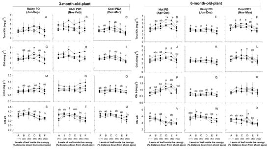
Patterns of changes in leaf gas exchange parameters (including Pn, R, Gs, and Tr) of cassava leaves at six canopy levels (A to F) from the top to the bottom of canopy are displayed in Figure 4. Changes in Pn of the 3-month-old plants of all three planting dates (Figure 4A–C) were similar, with the leaves at Level A showing moderate Pn values (means across genotypes for Rainy PD, Cool PD1, and Cool PD2 at Level A were 22.65, 16.68, and 18.22 µmol CO2 m−2 s−1, respectively; see Table S2). The Pn values of leaves at Level B increased, and the maximum Pn was achieved at Level C (means across genotypes for Rainy PD, Cool PD1, and Cool PD2 were 29.05, 19.69, and 23.22 µmol CO2 m−2 s−1, respectively); then Pn continuously decreased from Levels D to F (see Table S2). In general, Pn values of the Rainy PD plants were the highest followed by those of the Cool PD2 and Cool PD1 plants. In contrast, R values were highest in the youngest leaves (Level A) and continuously decreased from Level B to F (Figure 4G–I). The mean R values across genotypes at Level A for the Rainy PD, Cool PD1, and Cool PD2 were 4.16, 4.28, and 3.81 µmol CO2 m−2 s−1, respectively. It is worth noting that the Rainy PD and Cool PD2 plants of Rayong 11 had the highest R values (5.22 and 5.17 µmol CO2 m−2 s−1, respectively). Patterns of change in Gs (Figure 4M–O) and Tr (Figure 4S–U) were more or less similar to that of Pn.

Figure 4.
Photosynthetic parameters including net photosynthesis rate (Pn, A–F), respiration rate (R,G–L), stomatal conductance (Gs, M–R), and transpiration rate (Tr, S–X) of leaves at six canopy levels (A to F) of the 3- and 6-month-old plants. Four cassava genotypes including Rayong 9 (RY9;
), Rayong 11 (RY11;
), Kasetsart 50 (KU50;
), and CMR38-125-77 (
) were planted in April (Hot PD), June (Rainy PD), November (Cool PD1), and December (Cool PD2) in 2015. For each genotype and plant age, six plants (n = 6, two plants/replication) were observed. Means across genotypes that were significantly different (p < 0.05) among levels are denoted by lower case letters.




As shown in Table 2, mean canopy Pn across genotypes of the Rainy PD plants (23.17 µmol CO2 m−2 s−1) were significantly (p < 0.001) higher than those of Cool PD2 (18.00 µmol CO2 m−2 s−1) and Cool PD1 (15.99 µmol CO2 m−2 s−1). Similarly, Gs, Tr, and Ci/Ca were also significantly (p < 0.001) higher in the Rainy PD than the Cool PD2 and Cool PD1 plants (Table 2). However, no seasonal differences were observed in the mean canopy R values and WUE. Among all gas exchange parameters, only R displayed significant differences among genotypes in all PDs. Interestingly, Rayong 11 had the highest values of R in all three PDs (3.22–3.48 µmol CO2 m−2 s−1). In addition, in the Cool PD2, genotypic differences were also found for Tr and WUE, in which Rayong 11 showed the highest value of 7.75 mmol H2O m−2 s−1 and Kasetsart 50 the lowest of 4.90 mmol H2O m−2 s−1. Conversely, Kasetsart 50 showed the highest WUE (3.75 µmol CO2 mmol H2O−1), while the lowest WUE was recorded for Rayong 11 (2.14 µmol CO2 mmol H2O−1).

Table 2.
Leaf gas exchange parameters including net photosynthesis rate (Pn), respiration rate (R), stomatal conductance (Gs), transpiration rate (Tr), ratio between intercellular and ambient CO2 concentration (Ci/Ca), and water use efficiency (WUE) of cassava Rayong 9, Rayong 11, Kasetsart 50, and CMR38-125-77 planted in April (Hot PD), June (Rainy PD), November (Cool PD1), and December (Cool PD2) in 2015. Mean values were from six canopy levels of six plants of each genotype. Significantly different means among genotypes were denoted with different lower case letters, whereas those among PDs were represented by different capital letters. Means that were significantly different (p < 0.05) between 3- and 6-month-old plants of the same PDs are denoted with *.
Patterns of changes in Pn down the canopy of the 6-month-old plants differed among plants growing in different seasons (Figure 4D–F). For the Hot PD plants, mean Pn across genotypes, measured in the rainy season, were not significantly different among leaves at Levels A, B, and C (Figure 4D). The mean Pn values across genotypes were 24.64, 26.91, and 24.49 µmol CO2 m−2 s−1 at Levels A, B, and C, respectively (Table S2). A dramatic decline in the mean Pn across genotypes (14.30 µmol CO2 m−2 s−1) was observed for leaves at Level D. The mean Pn across genotypes continued to decrease to 8.61 and 5.55 µmol CO2 m−2 s−1 for the leaves at Levels E and F (at the canopy bottom), respectively. The biggest genotypic differences in photosynthesis in different canopy levels were found in the Rainy PD plants, as shown in Figure 4E. For Rayong 9, the leaves at Levels A to D displayed similar Pn values, while marked reductions in Pn were observed at Levels E and F. For Rayong 11, the highest mean Pn values were found at Levels A and B. Thereafter, Pn values continuously decreased down the canopy from Level C to F. The patterns changed as did the Pn values at different canopy levels of CMR38-125-77 and Kasetsart 50. For CMR38-125-77 and Kasetsart 50, the maximum Pn values were observed for the leaves at Level A. Thereafter, Pn linearly decreased down the canopy. For the Cool PD1 plants (Figure 4F), all four genotypes displayed similar patterns of changes in Pn down the canopy, i.e., maximum Pn were observed for the leaves at the Level A (19.02 to 21.52 µmol CO2 m−2 s−1) and B (18.50 to 21.38 µmol CO2 m−2 s−1). At the lower canopy levels, Pn continuously declined to reach the minimum at Level F. Patterns of changes in R values were similar irrespective of genotypes and growing seasons, i.e., the youngest leaves at Level A had the highest R, and the values tended to decrease down the canopy (Figure 4J–L). The patterns of change in Gs (Figure 4P–R) and Tr (Figure 4V–X) down the canopy were more or less similar to that of Pn. Noticeably, for the Hot PD plants, Tr values of Rayong 9 at each canopy level were more than two- to three-fold higher than those of the other genotypes. Similarly, for the Rainy PD plants, Tr values of Rayong 11 at the upper canopy levels were considerably higher than those of the other genotypes.
As shown in Table 2, canopy mean values across genotypes of all leaf gas exchange parameters (except R) were significantly different among PDs, with the highest values of Pn, Gs, Ci/Ca, and WUE recorded in the Hot PD. On the other hand, the Rainy PD plants showed minimum values for all leaf gas exchange parameters (except for the WUE). All leaf gas exchange values (except for Tr) of Cool PD1 plants were intermediate between Hot PD and Rainy PD. Significant genotypic differences (p < 0.001 for Pn, Gs, Tr, Ci/Ca, and WUE) in all leaf gas exchange parameters were noted in the Rainy PD plants. It was noted that Rayong 9 had significantly higher Pn (17.95 µmol CO2 m−2 s−1), Gs (0.21 mol H2O m−2 s−1) and Ci/Ca (0.58) than those of the other genotypes. In contrast, Kasetsart 50 tended to have the lowest Pn (8.93 µmol CO2 m−2 s−1) and Tr (0.94 µmol CO2 m−2 s−1) values. In relation to WUE, Rayong 9 also had the highest WUE, but Kasetsart 50 had higher WUE than Rayong 11 and CMR38-125-77 due to its lowest Tr.
Comparisons of canopy mean values of photosynthesis-related parameters of the 3- and 6-month-old plants of the same planting dates are shown in Table 2. For the Rainy PD plants of all genotypes, the younger plants had significantly (p < 0.05) higher Pn, R, Gs, Tr, and Ci/Ca values than the older plants (Table 2). In contrast, WUE of the 6-month-old plants (8.53 µmol CO2 mmol H2O−1) was 2.8 times higher than that of the 3-month-old plants (3.37 µmol CO2 mmol H2O−1). Similarly, for the Cool PD1 plants of all genotypes, the R and Tr values of the younger plants were significantly higher than those of the older plants. However, genotypic differences were observed in the Pn values, i.e., significantly higher Pn in the younger plants were observed only in Rayong 9 and Kasetsart 50.
3.4.2. Light Response Curves
The changes in Pn in response to varying PAR from 0 to 2500 µmol photon m−2 s−1 are displayed in Figure 5A–R. Leaves of the 3-month-old plants growing in different seasons showed differential responses to increasing light intensity. For the upper (Level B; Figure 5A–C) and middle leaves (Level D; Figure 5G–I), the Rainy PD plants tended to have the highest Pn values under high light intensities, followed by plants of the Cool PD2 and Cool PD1. The lower leaves (Level F) of the Rainy PD plants (Figure 5M–O) also had higher Pn under higher light intensities (with the exception of CMR38-125-77), but similar responses were noted for the Cool PD1 and Cool PD2. Genotypic differences in light response were more obvious in the Rainy PD plants than in the others, particularly for leaves in the lower canopy. For the 6-month-old plants, Pn under high light intensities of the Hot PD plants (Figure 5D,J,P) tended be higher than those of the Rainy PD (Figure 5E,K,Q) and the Cool PD1 plants (Figure 5F,L,R). Genotypic differences in light response at all three canopy levels were most obvious in Rainy PD plants, while hardly any differences among genotypes were observed in Hot PD plants.

Figure 5.
Photosynthesis light response curves of leaves at three canopy levels (upper leaves, Level B; middle leaves, Level D; and lower leaves, Level F) of the 3- and 6-month-old cassava plants. Cassava genotypes Rayong 9 (RY9;
), Rayong 11 (RY11;
), Kasetsart 50 (KU50;
), and CMR38-125-77 (
) were planted in April (Hot PD; D,J,P), June (Rainy PD; (A,G,M) for 3-month-old plants and (E,K,Q) for 6-month-old plants), November (Cool PD1; (B,H,N) for 3-month-old plants and (F,L,R) for 6-month-old plants), and December (Cool PD2; C,I,O) in 2015. Data show means of four plants of each genotype ± SD.




The parameters for each light response curve including Pn(Imax), Icomp, Imax, and AQE are summarized in Table 3. For the 3-month-old plants, mean Pn(Imax) across genotypes was significantly different in different seasons (p < 0.05 for upper and middle, p < 0.05 for lower leaves). The Pn(Imax) (means across genotypes) of the Rainy PD plants at all three canopy levels were the highest (32.05, 28.22, and 16.37 µmol CO2 m−2 s−1 for the upper, middle, and lower leaves, respectively). For the upper and middle leaves, the Cool PD2 plants had intermediate Pn(Imax) values (25.03 and 25.91 µmol CO2 m−2 s−1, respectively), whereas the lowest Pn(Imax) were observed in the Cool PD1 plants (21.45 and 20.83 µmol CO2 m−2 s−1, respectively). The lower leaves of the Cool PD1 and Cool PD2 plants, however, had similar Pn(Imax) values (13.41 and 12.61 µmol CO2 m−2 s−1, respectively). The mean Icomp values across genotypes among the three planting dates were significantly different for all three leaf levels (p < 0.001), with the upper leaves having the highest values followed by the middle and lower leaves. The maximum mean Icomp values across genotypes were highest in the Cool PD1 plants (63.89 µmol photon m−2 s−1), followed by those of the Cool PD2 (45.35 µmol photon m−2 s−1) and the Rainy PD ones (35.56 µmol photon m−2 s−1). The mean Imax values across genotypes did not significantly differ among seasons for the upper and middle leaves, showing the values ranging from 1907 to 1950 µmol photon m−2 s−1. In contrast, the mean Imax values across genotypes of the lower leaves of the Rainy PD and Cool PD1 plants (1404 and 1472 µmol photon m−2 s−1) were significantly higher than (p < 0.01) that of the Cool PD2 plants (1088 µmol photon m−2 s−1). No significant differences in the mean AQE values across genotypes among different seasons were detected for all three leaf levels showing the values in the range of 0.056–0.067 µmol CO2 µmol photon−1. Genotypic differences in Pn(Imax) were noted only in the middle and lower leaves of the Rainy PD plants, with the maximum value found in Rayong 9 for the middle leaves (31.82 µmol CO2 m−2 s−1) and Kasetsart 50 for the lower leaves (21.06 µmol CO2 m−2 s−1). Similarly, genotypic differences in Icomp were found only in Rainy PD plants, with the highest value found in Rayong 9 for the middle leaves (24.81 µmol photon m−2 s−1), and Kasetsart 50 for the lower leaves (28.46 µmol photon m−2 s−1). For Imax, the only genotypic difference was observed in the lower leaves of the Rainy PD plants, in which CMR38-125-77 showed significantly lower Imax (763 µmol photon m−2 s−1) than the other genotypes (1540–1754 µmol photon m−2 s−1). Interestingly, genotypic differences in AQE were evident only in the Cool PD1 plants. Leaves of Kasetsart 50 had the highest AQE (0.079, 0.087, and 0.089 µmol CO2 µmol photon−1 for the upper, middle, and lower leaves, respectively), which were significantly (p < 0.001) higher than the other genotypes.

Table 3.
Net photosynthetic rate at light saturation (Pn(Imax)), light compensation point (Icomp), light saturation (Imax), and apparent quantum yield (AQE) of cassava predicted from the light response curves constructed from leaves at three canopy levels (upper leaves, Level B; middle leaves, Level D; and lower leaves, Level F) of the 3- and 6-month-old cassava plants. Means that were significantly different (p < 0.05) among genotypes are denoted with different lower case letters, and those among PDs by different capital letters. The significant differences (p < 0.05) between the 3- and 6-month-old plants in the same PD are denoted with *.
For the 6-month-old plants, leaves of the Hot PD plants at all three levels had the highest mean Pn(Imax) across genotypes (29.93, 20.68, and 11.79 µmol CO2 m−2 s−1 for the upper, middle, and lower leaves) (Table 3). The mean Pn(Imax) across genotypes of the upper and lower leaves of Rainy PD and Cool PD1 were similar (23.36 and 25.29 µmol CO2 m−2 s−1 for the upper leaves, and 8.60 and 7.33 µmol CO2 m−2 s−1 for the lower leaves). In contrast, the middle leaves of the Cool PD1 plants had significantly (p < 0.01) higher mean Pn(Imax) across genotypes (18.53 µmol CO2 m−2 s−1) than those of the Rainy PD (14.87 µmol CO2 m−2 s−1). Significantly different Icomp values among planting dates were observed only for the upper leaves, i.e., the upper leaves of Cool PD1 and Hot PD had higher Icomp than those of the Rainy PD plants. Similar to Pn(Imax), the mean Imax values across genotypes were highest in the leaves of the Hot PD plants (1950, 1642, and 1144 µmol photon m−2 s−1 for the upper, middle, and lower leaves, respectively). The mean AQE across genotypes of the upper and middle leaves of the Rainy PD plants (0.067 and 0.082 µmol CO2 µmol photon−1) were significantly higher (p < 0.05) than those of the Cool PD1 plants (0.058 and 0.065 µmol CO2 µmol photon−1). For Hot PD plants, the upper leaves had an intermediate mean AQE, while the middle leaves had a similar AQE to that of the Cool PD1. Genotypic differences in Pn(Imax), Icomp, and Imax were most apparent in Rainy PD plants for all three leaf levels. The highest Pn(Imax) values were found in Kasetsart 50 (27.24 µmol CO2 m−2 s−1) for the upper leaves, and in CMR38-125-77 (20.40 and 12.80 µmol CO2 m−2 s−1) for the middle and lower leaves. On the other hand, the lowest Pn(Imax) values were recorded in CMR38-125-77 (16.97 µmol CO2 m−2 s−1), Kasetsart 50 (8.95 µmol CO2 m−2 s−1), and Rayong 11 (4.62 µmol CO2 m−2 s−1) for the upper, middle, and lower leaves, respectively. The highest Icomp values for the upper and middle leaves were recorded in CMR38-125-77 (35.92 and 34.92 µmol photon m−2 s−1, respectively), and in Kasetsart 50 for the lower leaves (23.64 µmol photon m−2 s−1). On the other hand, the lowest Icomp value for the upper leaves was found in Rayong 11 (16.72 µmol photon m−2 s−1), and those for the middle and lower leaves were recorded in Rayong 9 (16.75 and 13.33 µmol photon m−2 s−1, respectively). Genotypic differences in Imax values were significant only in the middle (p < 0.01) and lower leaves (p < 0.01) of the Rainy PD plants. For the middle leaves, the Imax values were 1802, 1639, 1371, and 903 µmol photon m−2 s−1 for CMR38-125-77, Rayong 9, Rayong 11, and Kasetsart 50, respectively. Similarly, the Imax values for the lower leaves were highest in CMR38-125-77 (1758 µmol photon m−2 s−1) followed by Rayong 9 (1169 µmol photon m−2 s−1), while those of Kasetsart 50 (580 µmol photon m−2 s−1) and Rayong 11 (513 µmol photon m−2 s−1) were significantly lower. Significant differences in AQE among genotypes were observed only in the upper leaves of the Hot PD (p < 0.01) and Rainy PD (p < 0.05) plants. For both planting dates, Rayong 11 had the highest AQE (0.070 and 0.080 µmol CO2 µmol photon−1 for Hot PD and Rainy PD, respectively). For the Hot PD plants, Rayong 9 had the lowest AQE of 0.058 µmol CO2 µmol photon−1, while the Rainy PD plants of CMR38-125-77 had the lowest AQE of 0.060 µmol CO2 µmol photon−1, which did not differ significantly from those of Rayong 9 and Kasetsart 50.
Through comparisons between the 3- and 6-month-old plants of Rainy PD, it was clearly shown that the upper and middle leaves of the younger plants had significantly higher Pn(Imax) for all genotypes. For the lower leaves, only Rayong 11 and Kasetsart 50 had significantly higher Pn(Imax) for the younger plants. For Cool PD1 plants, the upper and lower leaves had similar Pn(Imax) for the two ages of plants. However, the lower leaves of the 3-month-old plants of Rayong 11, Kasetsart 50, and CMR38-125-77 had significantly higher Pn(Imax) than the older plants. The age difference in Imax was noted only in the Cool PD1 plants; the lower leaves of the 6-month-old plants had more than 50% lower Imax values (474–816 µmol photon m−2 s−1) compared to those of the younger plants (1368–1555 µmol photon m−2 s−1).
3.5. Chlorophyll Content
Patterns of changes in total Chl, Chl a, Chl b, and Chl a/b of leaves at six canopy levels (A to F) were displayed in Figure 6. For the 3-month-old plants, only the Cool PD2 ones showed significant differences (p < 0.05) among different leaf levels in all four parameters (Figure 6C,I,O,U). For the Cool PD2 plants, the leaves at the level C or D had the highest values for all four chlorophyll-related parameters. Total Chl and Chl a were significantly decreased at levels E and F. However, Chl b and Chl a/b remained stable at level E and then significantly decreased at level F. For the Rainy PD plants, significant differences among leaf level were recorded for Chl a, Chl b, and Chl a/b but not total Chl (Figure 6A,G,M,S). The younger upper leaves (Level A) tended to have the lowest Chl a and Chl b, while the lowest leaves (Level F) tended to have lowest Chl a and Chl a/b. For the Cool PD1 plants, Chl a/b was the only parameter that displayed significant differences among leaf levels, i.e., upper leaves tended to have higher Chl a/b than the lower leaves (Figure 6B,H,N,T). Most of the 6-month-old plants showed significant differences in chlorophyll-related parameters in different leaf levels. For the Hot PD plants, maximum total Chl, Chl a, and Chl b were found at leaf level D and E, while Chl a/b tended to be highest in the uppermost level and linearly decrease down the canopy (Figure 6D,J,P,V). For the Rainy PD plants, total Chl, Chl a, and Chl b were similar to the uppermost leaves down to level E; only the lowest leaves (level F) showed significantly decreased pigment contents (Figure 6E,K,Q,W). For the Cool PD1 plants, higher values of total Chl and Chl a were observed at the leaf levels B–D, then declined at levels E and F, while Chl b contents did not significantly differ among different leaf levels (Figure 6F,L,R,X).

Figure 6.
Chlorophyll (Chl) content parameters including total Chl (A–F), Chl a (G–L), Chl b (M–R), and Chl a/b (S–X) of cassava leaves at the six canopy levels (A to F) of the 3- and 6-month-old plants. Four cassava genotypes including Rayong 9 (RY9;
), Rayong 11 (RY11;
), Kasetsart 50 (KU50;
), and CMR38-125-77 (
) were planted in April (Hot PD), June (Rainy PD), November (Cool PD1), and December (Cool PD2) in 2015. Means across genotypes that were significantly different (p < 0.05) among levels are denoted by lower case letters.




Total Chl, Chl a, Chl b, and Chl a/b averaged across six leaf levels are summarized in Table 4. For the 3-month-old plants, the Cool PD1 plants showed significantly higher (p < 0.001) genotypic means of total Chl, Chl a, and Chl b (4.37, 3.39, and 1.00 mg g−1) than those of the Cool PD2 and Rainy PD plants. The pigment contents of the Cool PD2 tended to be higher than those of the Rainy PD but not significantly different. The genotypic means of total Chl, Chl a, and Chl b of the Cool PD2 were 4.13, 3.16, and 0.97 mg g−1, respectively, while those of the Rainy PD were 3.76, 2.92, and 0.84 mg g−1. The mean genotypic Chl a/b ratios did not significantly differ among planting dates (3.52, 3.44, and 3.33 for the Rainy PD, Cool PD1, and Cool PD2, respectively. For the 6-month-old plants, the Hot PD and Cool PD1 plants had significantly higher total Chl, Chl a, and Chl b contents than the Rainy PD plants. For Chl a/b, the highest genotypic mean occurred in Rainy PD (3.75), followed by Hot PD (3.30), and Cool PD1 (3.28).

Table 4.
Means total Chl, Chl a, Chl b, and Chl a/b across six canopy levels of 3- and 6- month-old cassava plants. Four cassava genotypes including Rayong 9, Rayong 11, Kasetsart 50, and CMR38-125-77 were planted in April (Hot PD), June (Rainy PD), November (Cool PD1), and December (Cool PD2) in 2015. Mean ± SD were from 18 measurements (six canopy levels x three plants). Means that were significantly different (p < 0.05) among genotypes are denoted with different lower case letters, whereas those among PDs are represented by different capital letters. The significant differences (p < 0.05) between the 3- and 6-month-old plants in the same PD are denoted with *.
Genotypic differences in total Chl in the 3-month-old plants were observed in Cool PD1 (p < 0.001) and Cool PD2 (p < 0.05), while those in Rainy PD appeared non-significantly different. Rayong 11 showed the highest total Chl in the Cool PD1 (5.33 mg g−1) and the Cool PD2 (3.87 mg g−1), while Kasetsart 50 had the lowest total Chl (3.82 and 3.32 mg g−1 for the Cool PD1 and Cool PD2, respectively). Rayong 9 and CMR38-125-77 had intermediate chlorophyll contents. Similar trends were found for Chl a and Chl b. For the 6-month-old plants, significant differences in total Chl, Chl a, and Chl b among genotypes were observed in the Hot PD and Rainy PD plants. It is worth noting that for all three planting dates Rayong 11 had the highest pigment contents among genotypes.
4. Discussion
4.1. Canopy Structure and Photosynthesis of Cassava Plants at 3MAP
The early growth of cassava crop from planting to the formation of a closed leaf canopy is a critical stage because it determines the rate of supply of photosynthate to drive the development of leaves to capture more light and consequently provides for the establishment of root system and initiation of storage root formation. According to Alves [], maximum leaf growth of cassava was achieved during the first 90 days after planting. The total biomass of a crop results from the integral of photosynthesis assimilation (minus respiratory losses), which in turn depends on the efficiencies with which the crop intercepts PAR and converts that into biomass over the course of the growing seasons []. The PAR interception efficiency at the early stage of vegetative growth is affected by canopy size, duration, and speed of crown cover after planting [,]. Canopy characteristics of the four cassava genotypes at 3MAP significantly differed depending on the growing seasons (Table 1). Due to favorable environmental conditions, cassava planted in the rainy season (Rainy PD) had significantly higher plant height, canopy height, LCR, internode length, and LAI than those growing in the cool (Cool PD1) and cool-to-early-hot (Cool PD2) season (Table 1). It was well-documented that high productivity of cassava occurred in the area with high solar radiation (22 MJ m−2 d−1), high annual precipitation (900–1000 mm), high mean annual temperature (28 °C), and high air RH (70%) [], similar to environments in the rainy season in this study. As a result of their dense canopies, the Rainy PD plants had the highest rate of reduction in light penetration through canopy, and the lowest percent light penetration at the bottom of canopy, indicating more light absorption by upper layers of the canopy (Figure 3A–C). Similar findings were reported for cassava [] and cotton [], that light penetration within the canopy decreased with increasing canopy density, and PAR within the canopy was highly significantly correlated with LAI, which was consequently positively correlated with biomass [].
Photosynthetic capacity depends not only on the internal biochemical and physiological conditions influenced by the light environment during leaf development but also the contemporary environmental variables []. The upper unshaded leaves of the Rainy PD plants (Level B), which were growing in the rainy season, had the highest photosynthetic capacity followed by those of the Cool PD2 and the Cool PD1 (Table 3). Similar findings were reported by Vongcharoen et al. [] on cassava genotype Rayong 9. A recent meta-data analysis across global spatial and phylogenetic scales revealed that irrespective of soil fertility, photosynthetic capacity was principally determined by environmental conditions, specifically solar radiation, temperature, and humidity []. The lowest Pn(Imax) of the plants growing in the cool season (Cool PD1; Table 3) could be related to the lowest minimum temperature, low RH, and high VPD (Table S1), which induced a dramatic reduction in stomatal conductance (Figure 4N; Table 2).
Whole plant photosynthesis results from photosynthetic activity of sun-exposed as well as partially shaded leaves. It was estimated that shaded leaves contributed as much as 50% of total canopy carbon gain [,]. Therefore, the photosynthetic efficiency of the shaded leaves is an important factor determining crop yield potential. Classically, shade adapted leaves of C3 plants maintained or increased quantum efficiency (AQE) under low light conditions, while they decreased light-saturated rate of photosynthesis (Pn(Imax)), which reflected a reduction in carboxylation efficiency []. The lower canopy leaves (Level F) of the Rainy PD plants had significantly lower Icomp than those planted in the cool season (Table 3); that is, these leaves needed lower PAR to attain high enough CO2 uptake rate to compensate for the rate of CO2 loss due to respiration. Moreover, the shaded lower leaves of the Rainy PD plants showed only a slight decline in AQE (0.062 µmol CO2 µmol photon−1) relative to that of the upper leaves (0.065 µmol CO2 µmol photon−1) (Table 3), indicating their ability to maintain high energy conversion efficiency under limiting light. Similar values of quantum efficiency were previously reported by De Souza and Long [] in four African cassava cultivars, which had values ranging from 0.060 to 0.062. At the same time, the lower leaves of the Rainy PD plants displayed significantly higher Pn(Imax) than those of the Cool PD1 and Cool PD2 plants (Table 3). This indicated that these leaves were metabolically active and had higher stomatal conductance, hence greater carbon fixation ability (Figure 4M–O).
In addition to the light environment inside the canopy, photosynthesis performance also varied with leaf age. In this study, at 3MAP, net photosynthesis rates (Pn) increased with leaf age from the first fully expanded leaf (Level A; leaf age ~8 d) to reach the maximum at full leaf expansion (Level C; leaf age ~38 d); then Pn of the leaves at levels D (leaf age ~53 d) to F (leaf age ~83 d) progressively declined (Figure 4A–C; Table S2). The reduction in photosynthesis performance with leaf age and position after full expansion was previously reported in several plants such as papaya [] and hemp []. For the Rainy PD and the Cool PD2 plants, the effect of leaf age on Pn reduction (Figure 4A,C) was related to its effects on decreased stomatal conductance (Figure 4M,O), reduced total Chl content (Figure 6A,C), as well as reduced Chl a/b (Figure 6S,U; an indication of shade adaptation). It was demonstrated that the age-related decrease in photosynthesis capacity may be caused by a decline in stomatal activity leading to lowered stomatal conductance [], as well as a decline in biochemical potentials including maximum electron transport rate, maximum rate of Rubisco carboxylation, and triose phosphate utilization [,]. The rate of reduction in Pn of lower level leaves was also related to light environment, i.e., the denser the canopy (Rainy PD) the sharper the rate of decline (Figure 3 and Figure 4). Therefore, photosynthesis of cassava leaves was affected by leaf age, position, and canopy light environment. Moreover, photosynthesis of the lower shaded leaves also varied with growing seasons, i.e., the bottom leaves (Level F) of the Rainy PD (growing in the rainy season), which were at a similar age to those of the Cool PD1 and the Cool PD2, although more shaded had significantly higher Pn. Therefore, leaves in different canopy positions with different physiological potentials are fine-tuned to their past and contemporary light conditions [].
In this study, although the Rainy PD plants showed the highest photosynthetic capacity (Pn(Imax)) and significantly higher mean Pn (averaged across six leaf levels) compared with that of the Cool PD1 and the Cool PD2) (Table 3), the biomass of the Rainy PD plants at 3MAP was 30% lower than that of the Cool PD1 plants []. This lack of relationship between Pn and biomass is due to the fact that biomass results from an integration of canopy photosynthesis during the whole period of growing season, which in turn depends on integrated light availability, leaf area, leaf angle, and leaf photosynthetic capacity, which changes with leaf age during development [,]. Due to denser canopy, less light was available for lower canopy leaves of the Rainy PD plants than those of the Cool PD1 plants. Path coefficient analysis revealed that the most important factor that influenced Pn of the upper leaves of cassava genotype Rayong 9 at 3MAP was PAR, and to a lesser extent, temperature and VPD, while PAR was the only significant determining factor for the shaded leaves []. Moreover, canopy photosynthesis of the Rainy PD plants was also constrained by low and fluctuating solar radiation during the rainy season months (Figure 2). In the field environment, leaves will experience sun and shade flecks across the canopy due to changes in cloud cover, sun angle, self-shading, and wind-driven leaf movement [,]. Similarly, the Cool PD2 plants, although having significantly higher mean Pn across the six leaf levels than the Cool PD1 plants (Table 2), have a 47% lower total biomass at 3MAP []. This could be due to more light penetration through canopy Levels E and F of the Cool PD1 plants (Figure 3). Moreover, the chlorophyll contents of the lower canopy leaves of the Rainy PD and Cool PD2 were lower than those of the Cool PD1 (Figure 6A–C; Table 4); therefore, their light absorptance and light-harvesting efficiency were assumed to be higher [].
4.2. Canopy Structure and Photosynthesis of Cassava Plants at 6MAP
For cassava, maximum stem and leaf growth rate, maximum canopy size, and maximum biomass partitioning to stem and leaves are accomplished during 3MAP and 6MAP [,]. Earlier work reported that from 4MAP to 5MAP, cassava generally attained an LAI of around 3.0 when the plants received 90% light interception [] and the plants should reach the maximum LAI of 3.0–3.5 m2 m−2 as quickly as possible to obtain optimum yield [,]. However, more recent research using improved high-yielding cultivars growing in well-watered fields in tropical savanna climate reported higher LAI values between 4.0 to 5.0 m2 m−2 at 5MAP to 6MAP [,]. In this study, the canopy structures of cassava plants at 6MAP planted in different seasons showed more variation than those observed at 3MAP (Table 1). The mean LAI values, which varied from 2.97 m2 m−2 (for the Cool PD1) to 5.01 m2 m−2 (for the Hot PD), were most closely related to variation in total leaf number (125 for the Cool PD1 to 259 for the Hot PD). The Hot PD and the Rainy PD plants, which were growing through five and four months in the rainy season, respectively, had similar canopy structure characterized by tall stems, very low LCR, and high LAI (Table 1). The low LCR of the 6MAP plants (28.90–59.42%), compared with 78–92% LCR observed in the plants at 3MAP, was due to the accelerated plant height and a large number of fallen leaves as a result of severe shading from the individual plant’s upper leaves as well as those of neighboring plants that expanded their canopies following forking []. Low light intensity below the light compensation point in dense canopies leads to negative carbon balance, which in turn triggers leaf senescence [], which is characterized by regulated processes of degradation of chlorophyll and macromolecules, an increase in lipid peroxidation and membrane leakiness, and re-mobilization of nutrients to younger leaves leading to leaf yellowing and finally death and abscission []. In addition to low light intensity, leaf senescence is also triggered by changes in light quality, i.e., low red:far red (R:FR) under shade, leading to decreased activity of chlorophyll biosynthesis mediated by phytochrome A []. The light response curves and calculated parameters (Figure 5; Table 3) demonstrated higher levels of shade adaptation in lower parts of the plants at 6MAP than those of the 3MAP plants. Within-canopy acclimation of leaf photosynthesis capacity is driven by total integrated light availability during leaf development []. Since older plants have larger canopies, lower leaves inside the canopy receive less light during development and, hence, express stronger leaf traits associated with shade adaptation []. Photosynthesis rates are highly sensitive to environmental conditions, both during development and measurements. Therefore, the mean Pn values of the Hot PD plants were the highest, which were significantly higher than those of the Cool PD1 and Rainy PD (Table 2). It was reported that Pn of irrigated cassava genotype Rayong 9 at 6MAP was strongly determined by PAR in all seasons and all leaf levels, while RH, VPD, and air temperature became significant additional influential factors in the cool and hot seasons [].
Considering the relationship between leaf photosynthesis in this study and plant biomass [], the total dry weight of the 6-month-old plants was highest in the Hot PD (12,447 g 6 m−2), followed by the Cool PD1 (8216 g 6 m−2) and the Rainy PD (7909 g 6 m−2), which declined in the same order as the mean Pn across six leaf levels (Table 2) and Pn(Imax) of the upper and middle canopy leaves (Table 3). The highest biomass of Hot PD plants at 6MAP, compared to those of the other planting dates, could be attributed to their significantly greater height, higher LAI, higher number of leaves (Table 1), higher percent light interception (Figure 3D), higher photosynthetic capacity (Pn(Imax)) of leaves at three canopy levels (Table 3), higher mean Pn across six leaf levels (Table 2), and also higher chlorophyll contents (Table 4). Previous reports suggested that canopy photosynthesis and biomass observed at any time point resulted from an integration of photosynthesis performance of all leaves in the canopy throughout the development, and biomass accumulation has strong correlations with plant height, LAI, integrated light interception, and pigment contents [,,].
4.3. Genotype Variation in Canopy Structure and Photosynthesis
Seasonal variation in canopy structures and photosynthesis was detected among the four genotypes investigated. For cassava planted in June (Rainy PD) and December (Cool PD2), at 3MAP, CMR38-125-77 had the highest LAI (Table 1), which corresponded to its lowest percent light penetration (Figure 3), and therefore high light interception by leaves at the upper canopy levels. Similar findings were reported for cassava planted in May 2016 (rainy season) and November 2015 (cool season), LAI of the 3MAP plants were higher in CMR38-125-77 than Rayong 11 and Kasetsart 50 []. Moreover, for the Rainy PD, CMR38-125-77 recorded the highest Pn at five canopy levels, and for the Cool PD2, it showed the highest Pn at three canopy levels, resulting in the highest mean Pn (Table S2). Consequently, these two crops of CMR38-125-77 had the highest total dry weight at 3MAP []. For the Cool PD1 crop, although CMR38-125-77 had slightly lower LAI than Kasetsart 50, it still displayed higher total dry weight [], probably as a result of higher leaf number (Table 1) and higher percent light interception (Figure 3B).
For the 6-month-old plants, among the four genotypes, only Rayong 9 was non-forking, while the others were of the forking type. For most seasons, Rayong 11 and CMR38-125-77 started forking earlier than Kasetsart 50 (except for the Rainy PD) []. The Hot PD plants, which were mostly growing in the rainy season, did not show significant differences in LAI among genotypes. Although Rayong 9 had significantly higher plant height, canopy height, and internode length than Rayong 11, its LAI was lower than that of Rayong 11, presumably due to the forking nature of Rayong 11, and the fact that Rayong 11 had 45% higher leaf number (Table 1). For the Rainy PD plants that were growing through four months in the rainy followed by two months in the cool season, there were significant differences in all canopy parameters among genotypes. This is presumably due to the negative effects of decreasing temperature and humidity during the cool-season months of November and December (Figure 2) on the rate of leaf formation [] and leaf expansion [] and also because less photosynthate was supplied to growing leaves due to low photosynthesis rate in the cool season. Although Kasetsart 50 had significantly higher plant height, canopy height, and LCR, its LAI was significantly lower than the maximum value recorded in Rayong 11. This could be related to greater leaf number of Rayong 11 (Table 1) and the higher chlorophyll contents (Table 4). Significant genotypic differences in LAI for the Rainy PD and Cool PD1 plants resulted in widely different light penetration through canopies, with Rayong 11 showing the lowest while CMR38-125-77 the greatest light penetration at all canopy levels (Figure 3E,F). The fact that Rayong 11 had the highest chlorophyll content among the four genotypes (Table 4) could serve as an additional factor causing its low light penetration through lower canopy layers. Although Rayong 11 planted in June (rainy season) had the highest LAI (Table 1), it had the lowest biomass at 6MAP []. It is worth noting that the Rainy PD plants of Rayong 11 already had relatively high LAI (3.77 m2 m−2) at 3MAP, and then these plants continued to have extremely high LAI (6.43 m2 m−2) at 6MAP. Therefore, during 3MAP to 6MAP of canopy development of Rayong 11 (genotype with earlier forking), its lower leaves were experiencing continuously heavy shading, hence lower photosynthetic performance. On the contrary, the Rainy PD plants of CMR38-125-77 showed the highest LAI (4.10 m2 m−2) among genotypes at 3MAP, but the value decreased to the lowest (2.76 m2 m−2) at 6MAP. This is presumably because for the Rainy PD, the forking process of CMR38-125-77 started much later (~40–50 d) than that of Rayong 11 and Kasetsart 50 [], so this genotype ended up having a lower number of leaves and hence lower LAI at 6MAP. Although CMR38-125-77 had the lowest LAI and highest light penetration (Figure 3,E), its mean Pn across six canopy levels was significantly lower than that of Rayong 9 and Rayong 11 (Table 2). Despite low mean Pn across six canopy levels, CMR38-125-77 planted in June had the highest total dry weight among the four genotypes at 6MAP, and also at 12MAP among the four genotypes []. It is worth noting that for the Hot PD and the Cool PD1, the genotypes that had the lowest mean Pn across six canopy levels (Kasetsart 50 and Rayong 9, respectively) at 6MAP recorded the highest biomass []. Therefore, Pn of the 6MAP plants was affected not only by canopy structure, light availability inside the canopy, and contemporary environments, but also on other factors including plant age and assimilate partitioning. A study on 36 cultivars growing under well-watered conditions reported that starting from 6MAP, more than 80% of photoassimilates were translocated to storage roots and stems and less than 20% to the leaves []. Therefore, there are less carbon sources for leaves to maintain physiological status of the actively photosynthesizing leaves. This could result in a low net photosynthesis rate of the 6MAP plants compared with the 3MAP plants [,]. During the early growth stage up to 3MAP (when most photoassimilates are partitioned to accelerate leaf growth to obtain a close canopy and high biomass), the desirable canopy traits related to high photosynthetic performance would be the ones contributing to relatively high LAI values. In contrast, during the later growth stage at 6MAP, when photoassimilates are preferentially partitioned to build storage roots, the optimum canopy structure would be the one having an intermediate LAI (for non-forking genotype), or relatively low LAI (for the forking type).
5. Conclusions
The environmental conditions in the rainy season were more favorable for early development of cassava (30 June to 30 September 2015; the Rainy PD) than those in the cool season (10 November 2015 to 10 February 2016; the Cool PD1, and 15 December 2015 to 15 March 2016; the Cool PD2) causing the rainy-season plants at 3MAP to have significantly higher LAI, leading to lowest light penetration through the bottom of canopy, and therefore more light being absorbed by upper canopy layers resulting in higher mean Pn across six canopy levels, and higher photosynthetic capacity. Similar results were obtained for the plants at 6MAP, the Hot PD (20 April to 20 October 2015), and Rainy PD (30 June to 30 December 2015) plants, which were growing through five and four months of the rainy season, respectively, and had significantly higher LAI and photosynthesis performance than the Cool PD1 plants, which were growing through the cool and hot seasons (10 November 2015 to 10 May 2016). Due to the much higher LAI values and older plant age, the 6MAP plants had lower mean Pn across six canopy levels than the 3MAP plants as a result of heavy shading of lower canopy leaves. At 3MAP, high LAI values were related to high mean Pn across six canopy levels. Therefore, the genotype CMR38-125-77, which had the highest LAI, also recorded the highest mean Pn across six canopy levels, which translated to the highest biomass. However, at 6MAP, the genotypes with the highest mean Pn across six canopy levels were the ones having an intermediate or low LAI, and the mean Pn across canopy levels was not related to biomass. On the contrary, the genotypes with the highest biomass were the ones that had relatively low Pn across six canopy levels at 6MAP (Kasetsart 50 for the Hot PD; CMR38-125-77 for the Rainy PD; and Rayong 9 for the Cool PD1). The genotype Rayong 11, which had consistently high LAI and the highest chlorophyll contents, tended to show moderate photosynthesis performance. Information on photosynthesis potentials of cassava at these early stages of growth cycle may be used as additional data to consider together with other traits for selection of suitable genotypes for planting in different seasons in order to achieve maximum biomass and yield.
Supplementary Materials
The following are available online at https://www.mdpi.com/2073-4395/10/12/2018/s1, Table S1: Environmental parameters including photosynthetically active radiation (PAR), relative humidity (RH), air temperature (T), vapor pressure deficit (VPD), total rainfall, and total rainy days of each month were recorded every five minutes by an automatic weather station in the field site during May 2015 to May 2016. Table S2: Net photosynthesis (Pn), respiration rate (R), stomatal conductance (Gs), transpiration rate (Tr), ratio between intercellular and ambient CO2 concentration (Ci/Ca), and water use efficiency (WUE) of cassava Rayong 9, Rayong 11, Kasetsart 50, and CMR38-125-77 planted in April (Hot PD), June (Rainy PD), November (Cool PD1), and December (Cool PD2) in 2015.
Author Contributions
Conceptualization, S.S., P.T., K.V., P.B., N.V., S.R., and S.J.; investigation and data collection, S.S.; data analysis, S.S. and P.T.; methodology, S.S., P.T., K.V., P.B., N.V., and S.J.; supervision, P.T.; writing (original draft preparation), S.S. and P.T.; writing (review and editing), S.S., P.T., K.V., P.B., N.V., S.J., and S.R.; Funding acquisition, P.B., S.J., and N.V. All authors have read and agreed to the published version of the manuscript.
Funding
This project was financially supported by the Thailand Research Organizations Network (TRON) Administered by the National Science and Technology Development Agency (NSTDA). The first author is supported by a Ph.D. scholarship from the National Science and Technology Development Agency (NSTDA) under the Thailand Graduate Institute of Science and Technology (TGIST), Grant no. TG-44-12-60-009D.
Acknowledgments
We would like to thank the members of the cassava team project and salt-tolerant rice research group at KKU for field and data collection.
Conflicts of Interest
The authors declare no conflict of interest.
Abbreviations
AQE | apparent quantum yield |
Ca | ambient CO2 concentration |
Chl | chlorophyll |
Ci | intercellular CO2 concentration |
Gs | stomatal conductance |
I | photosynthetic photon flux density |
Icomp | light-compensation point |
Imax | light-saturation point |
LAI | leaf area index |
Pgmax | maximum gross photosynthesis rate |
PAR | photosynthetically active radiation |
PD | planting date |
Pn | net photosynthetic rate |
Pn(Imax) | net photosynthesis rate at light-saturation |
MAP | month after planting |
T | temperature |
Tr | transpiration rate |
R | respiration rate |
RD | dark respiration rate |
r | correlation coefficient |
RH | relative humidity |
VPD | vapor pressure deficit |
WUE | water-use efficiency (= Pn/Tr) |
References
- Burns, A.; Gleadow, R.; Cliff, J.; Zacarias, A.; Cavagnaro, T. Cassava: The drought, war and famine crop in a changing world. Sustainability 2010, 2, 3572–3670. [Google Scholar] [CrossRef]
- The Intergovernmental Panel on Climate Change (IPCC). Summary for policy makers. In Climate Change 2007: The Physical Science Basis Contribution of Working Group 1 to the Fourth Assesment Report of the Intergovernmental Panel on Climate Change; Solomon, S., Quin, D., Manning, M., Chen, Z., Marquis, M., Averyt, K.B., Tingnor, M., Miller, H.L., Eds.; Cambridge University Press: Cambridge, UK; New York, NY, USA, 2007; pp. 1–18. [Google Scholar]
- Rosenthal, D.M.; Ort, D.R. Examining cassava’s potential to enhance food security under climate change. Trop. Plant Biol. 2011, 4, 30–38. [Google Scholar] [CrossRef]
- El-Sharkawy, M.A.; De Tafur, S.M.D. Comparative photosynthesis, growth, productivity, and nutrient use efficiency among tall- and short-stemmed rain-fed cassava cultivars. Photosynthetica 2010, 48, 173–188. [Google Scholar] [CrossRef]
- Okogbenin, E.; Setter, T.L.; Ferguson, M.; Mutegi, R.; Ceballos, H.; Olasanmi, B.; Fregene, M. Phenotypic approaches to drought in cassava: Review. Front. Physiol. 2013, 4, 1–15. [Google Scholar] [CrossRef] [PubMed]
- El-Sharkawy, M.A. Drought-tolerant cassava for Africa, Asia, and Latin America: Breeding projects work to stabilize productivity without increasing pressures on limited natural resources. BioScience 1993, 47, 441–451. [Google Scholar] [CrossRef]
- Janket, A.; Vorasoot, N.; Toomsan, B.; Kaewpradit, W.; Banterng, P.; Kesmala, T.; Theerakulpisut, P.; Jogloy, S. Seasonal variation in Starch accumulation and starch granule size in cassava genotypes in a tropical savanna climate. Agronomy 2018, 8, 297. [Google Scholar] [CrossRef]
- Montagnac, J.A.; Davis, C.R.; Tanumihardjo, S.A. Nutritional value of cassava for use as a staple food and recent advances for improvement. Compr. Rev. Food Sci. Food Saf. 2009, 8, 181–194. [Google Scholar] [CrossRef]
- Khandare, V.B.; Choomsook, P. Cassava export of Thailand: Growth performance and composition. IJRAR 2019, 6, 847–857. [Google Scholar]
- Food and Agriculture Organization Corporate Statistical Database. Crops. Available online: http://www.fao.org/faostat/en/#data/QC/visualize (accessed on 17 August 2020).
- Office of Agricultural Economics. Agricultural Production Index. Available online: http://www.oae.go.th/view/1/Home/EN-US (accessed on 20 October 2020).
- Cock, J.H.; Franklin, D.; Sandoval, G.; Juri, P. The ideal cassava planting for maximum yield. Crop Sci. 1979, 19, 271–279. [Google Scholar] [CrossRef]
- El-Sharkawy, M.A. Effect of humidity and wind on leaf conductance of field growth cassava. Rev. Bras. Fisiol. Vegetal. 1990, 2, 17–22. [Google Scholar]
- Ministry of Agriculture and Cooperative, Thailand. Status of Cassava in Thailand: Implications for Future Research and Development. Available online: http://www.fao.org/3/y1177e/Y1177E04.htm (accessed on 24 October 2020).
- Thai Meteorological Department. Climate of Thailand Report. Available online: https://www.tmd.go.th/en/archive/thailand_climate.pdf (accessed on 5 September 2020).
- Phoncharoen, P.; Banterng, P.; Vorasoot, N.; Jogloy, S.; Theerakulpisut, P.; Hoogenboom, G. Growth rates and yields of cassava at different planting dates in a tropical savanna climate. Sci. Agric. 2019, 76, 376–388. [Google Scholar] [CrossRef]
- Wongnoi, S.; Banterng, P.; Vorasoot, N.; Jogloy, S.; Theerakulpisut, P. Physiology, growth and yield of different cassava genotypes planted in upland with dry environment during high storage root accumulation stage. Agronomy 2020, 10, 576. [Google Scholar] [CrossRef]
- El-Sharkawy, M.A.; Lopez, Y.; Bernal, L.M. Genotypic variations in activities of phosphoenolpyruvate carboxylase and correlations with leaf photosynthetic characteristics and crop productivity of cassava grown in low-land seasonally-dry tropics. Photosynthetica 2008, 46, 238–247. [Google Scholar] [CrossRef]
- Zhu, X.G.; Long, S.; Ort, D.R. Improving photosynthetic efficiency for greater yield. Ann. Rev. Plant Biol. 2010, 61, 235–261. [Google Scholar] [CrossRef]
- Mahakosee, S.; Jogloy, S.; Vorasoot, N.; Theerakulpisut, P.; Banterng, P.; Kesmala, T.; Holbrook, C.C.; Kvien, C. Seasonal variations in canopy size and yield of Rayong 9 cassava genotype under rainfed and irrigated condition. Agronomy 2019, 9, 362. [Google Scholar] [CrossRef]
- El-Sharkawy, M.A. International research on cassava photosynthesis, productivity, eco-physiology, and responses to enviromental stresses in the tropics. Photosynthetica 2006, 44, 481–512. [Google Scholar] [CrossRef]
- Santanoo, S.; Vongcharoen, K.; Banterng, P.; Vorasoot, N.; Jogloy, S.; Roytrakul, S.; Theerakulpisut, P. Seasonal variation in diurnal photosynthesis and chlorophyll fluorescence of four genotypes of cassava (Manihot esculenta Crantz) under irrigation conditions in tropical savanna climate. Agronomy 2019, 9, 206. [Google Scholar] [CrossRef]
- Lawson, T.; Blatt, M.R. Stomatal size, speed, and responsiveness impact on photosynthesis and water use efficiency. Plant Physiol. 2014, 164, 1556–1570. [Google Scholar] [CrossRef]
- El-Sharkawy, M.A.; De Tafur, S.M.; Lopez, Y. Eco-physiological research for breeding improved cassava cultivars in favorable and stressful environments in tropical/subtropical bio-systems. EVRJ 2012, 6, 143–211. [Google Scholar]
- Sange, R.F.; Peixoto, M.M.; Sang, T.L. Photosynthesis in sugarcane. In Sugarcane: Physiology, Biochemistry, and Fictional Biology; Moore, P.H., Botha, F.C., Eds.; John Wiley & Sons, Inc.: Hoboken, NJ, USA, 2014; pp. 121–152. [Google Scholar]
- Hikosaka, K. A model of dynamics of leaves and nitrogen in a plant canopy: An integration of canopy photosynthesis, leaf life span, and nitrogen use efficiency. Am. Nat. 2003, 162, 149–164. [Google Scholar] [CrossRef]
- Alves, A.A.C. Cassava Botany and Physiology. In Cassava: Biology, Production and Utilization; Hillock, R.J., Thres, J.M., Bellotti, A.C., Eds.; CABI Publishing: New York, NY, USA, 2002; pp. 67–89. [Google Scholar]
- Tan, S.L.; Cock, J.H. Branching habit as a yield determinant in cassava. Field Crop Res. 1979, 2, 281–289. [Google Scholar]
- Phoncharoen, P.; Banterng, P.; Vorasoot, N.; Jogloy, S.; Theerakulpisut, P.; Hoogenboom, G. The impact of seasonal environments in a tropical savanna climate on forking, leaf area index, and biomass of cassava genotypes. Agronomy 2019, 9, 19. [Google Scholar] [CrossRef]
- Mahakosee, S.; Jogloy, S.; Vorasoot, N.; Theerakulpisut, P.; Holbrook, C.C.; Kvien, C.; Banterng, P. Seasonal variations in canopy size, light penetration and photosynthesis of three cassava genotypes with different canopy architectures. Agronomy 2020, 10, 1554. [Google Scholar] [CrossRef]
- Keating, B.A.; Evanson, J.P.; Fukai, S. Environmental effects on the growth and development of cassava (Manihot esculenta Crantz). I. Crop development. Field Crop. Res. 1982, 5, 271–281. [Google Scholar] [CrossRef]
- Fukai, S.; Alcoy, A.B.; Llamelo, A.B.; Patterson, R.D. Effects of solar radiation on growth of cassava (Manihot esculenta Crantz.). I. Canopy development and dry matter growth. Field Crop. Res. 1984, 9, 347–360. [Google Scholar] [CrossRef]
- Kubiske, M.E.; Pregizer, K.S.; Mikan, C.J.; Zak, D.R.; Maziasz, J.L.; Teeri, J.A. Populus tremulodes photosynthesis and crown architecture in response to elevated CO2 and soil N availability. Oecologia 1997, 110, 328–336. [Google Scholar]
- Greer, D.H.; Weedon, M.M. The impact of high temperatures on Vitis vinifera cv. Semillon grapevine performance and berry ripening. Front. Plant Sci. 2013, 4, 491. [Google Scholar] [CrossRef]
- Gunasekera, H.K.L.K.; De Costa, W.A.J.M.; Nugawela, A. Canopy photosynthesis capacity and light response parameters of rubber Hevea brasiliensis with reference to exploitation. Curr. Agric. Res. J. 2013, 1, 1–12. [Google Scholar] [CrossRef]
- Keller, B.; Matsubara, S.; Rascher, U.; Pieruschka, R.; Steier, A.; Kraska, T.; Muller, O. Genotype specific photosynthesis x environment interactions captured by automated fluorescence canopy scans over two fluctuating growing seasons. Front. Plant Sci. 2019, 10, 1482. [Google Scholar] [CrossRef]
- Vongchareon, K.; Santanoo, S.; Banterng, P.; Jogloy, S.; Vorasoot, N.; Theerakulpisut, P. Seasonal variation in photosynthesis performance of cassava at two different growth stages under irrigated and rain-fed conditions in a tropical savanna climate. Photosynthetica 2018, 56, 1398–1413. [Google Scholar] [CrossRef]
- Vongchareon, K.; Santanoo, S.; Banterng, P.; Jogloy, S.; Vorasoot, N.; Theerakulpisut, P. Diurnal and seasonal variations in the photosynthetic performance and chlorophyll fluorescence of cassava ‘Rayong 9’ under irrigated and rainfed conditions. Photosynthetica 2019, 57, 268–285. [Google Scholar] [CrossRef]
- Mathur, S.; Jain, L.; Jajoo, A. Photosynthetic efficiency in sun and shade plants. Photosynthetica 2018, 56, 354–365. [Google Scholar] [CrossRef]
- Li, T.; Liu, L.; Jian, C.; Liu, Y.; Shi, L. effects of mutual shading on the regulation of photosynthesis in field-grown sorghum. J. Photochem. Photobiol. B Biol. 2014, 137, 31–38. [Google Scholar] [CrossRef] [PubMed]
- Li, Z.; Yang, W.; Ahammed, G.J.; Shen, C.; Yan, P.; Li, X.; Han, W. Developmental changes in carbon and nitrogen metabolism affect tea quality in different leaf position. Plant Physiol. Biochem. 2016, 106, 327–335. [Google Scholar] [CrossRef] [PubMed]
- Ding, Z.; Zhang, Y.; Xiao, Y.; Liu, F.; Wang, M.; Zhu, X.; Liu, P.; Sun, Q.; Wang, W.; Peng, M.; et al. Transcriptome response of cassava leaves under natural shade. Sci. Rep. 2016, 6, 31673. [Google Scholar] [CrossRef]
- Fukai, S.; Hammer, G.L. A simulation model of the growth of cassava crop and its use to estimate cassava productivity in Northern Australia. Agric. Syst. 1987, 23, 237–257. [Google Scholar] [CrossRef]
- El-Sharkawy, M.A. Cassava biology and physiology. Plant Mol. Biol. 2004, 56, 481–501. [Google Scholar] [CrossRef]
- De Souza, A.P.; Massenburg, L.N.; Jaiswal, D.; Cheng, S.; Shekar, R.; Long, S.P. Rooting for cassava: Insight into photosynthesis and associated physiology as a route to improve yield potential. New Phytol. 2017, 213, 50–65. [Google Scholar] [CrossRef]
- El-Sharkawy, M.A.; De Tafur, S.M.; Cadavid, L.F. Photosynthesis of cassava and its relation to crop productivity. Photosynthetica 1993, 28, 431–438. [Google Scholar]
- Pellet, D.; El-Sharkawy, M.A. Cassava varietal response to phosphorus fertilization. I. Yield, biomass and gas exchange. Field Crop. Res. 1993, 35, 1–11. [Google Scholar] [CrossRef]
- De Tafur, S.M.; El-Sharkawy, M.A.; Calle, F. Photosynthesis and yield performance of cassava in seasonally dry and semiarid environments. Photosynthetica 1997, 33, 249–257. [Google Scholar] [CrossRef]
- Polthanee, A.; Promkhambut, A. Impact of climate change on rice-base cropping system and farmers’ adaptation strategies in Northeast Thailand. Asian J. Crop Sci. 2014. [Google Scholar] [CrossRef][Green Version]
- Kottek, M.; Grieser, J.; Beck, C.; Rudolf, B.; Rubel, F. World Map of the Köppen-Geiger climate classification updated. Meteorol. Z. 2006, 15, 259–263. [Google Scholar] [CrossRef]
- The Thai Tapioca Department Institute. Tapioca Varieties. Available online: https://www.tapiocathai.org/English/K1_e.html (accessed on 25 October 2020).
- Howeler, R.H. Cassava mineral nutrition and fertilization. In Cassava: Biology, Production and Utilization; Hillocks, R.J., Thresh, J.M., Bellotti, A.C., Eds.; CABI Publishing: New, York, NY, USA, 2002; pp. 149–166. [Google Scholar]
- Welles, J.M.; Cohen, S. Canopy structure measurement by gap fraction analysis using commercial instrumentation. J. Exp. Bot. 1996, 47, 1335–1342. [Google Scholar] [CrossRef]
- Prioul, J.L.; Chartier, P. Partitioning of transfer and carboxylation components of intracellular resistance to photosynthetic CO2 fixation: A critical analysis of the mtethods used. Ann. Bot. 1977, 41, 789–800. [Google Scholar] [CrossRef]
- Arnon, D.I. Copper enzymes in isolated chloroplasts polyphenoloxidase in Beta vulgaris. Plant Physiol. 1949, 24, 1–15. [Google Scholar] [CrossRef]
- Lichtenthaler, H.K. Chlorophylls and carotenoids, pigments of photosynthetic biomembranes. Meth. Enzymol. 1987, 148, 350–382. [Google Scholar]
- Gomez, K.A.; Gomez, A.A. Statistical Procedures for Agricultural Research; John Wiley and Sons: New York, NY, USA, 1984. [Google Scholar]
- Howell, T.A.; Member, A.S.C.E.; Dusek, D.A. Comparison of vapor-pleasure-deficit calculation method-southern high plants. J. Irrig. Drain. Eng. 1995. [Google Scholar] [CrossRef]
- Murray, F.W. On the computation of saturation vapor pressure. J. Appl. Meteorol. 1967, 6, 203–204. [Google Scholar] [CrossRef]
- Alves, A.A.C.; Setter, T.L. Response of cassava leaf area expansion to water deficit: Cell proliferation, cell expansion and delayed development. Ann. Bot. 2004, 94, 605–613. [Google Scholar] [CrossRef]
- Leepipatpaiboon, S.; Boonyawat, S.; Sarobol, E. Estimation of solar radiation use efficiency in paddy and cassava fields. Kasetsart J. 2019, 43, 642–649. [Google Scholar]
- June, T. The effect of light on growth of cassava and sorghum I light distribution and extinction coefficient. Agromet 1993, 4, 35–41. [Google Scholar]
- Zhi, X.; Han, Y.; Mao, S.; Wang, G.; Feng, L.; Yang, B.; Fan, Z.; Du, W.; Lu, J.; Li, Y. Light spatial distribution in the canopy and crop development in cotton. PLoS ONE 2014, 9, e113409. [Google Scholar] [CrossRef] [PubMed]
- Matloobi, M. Light Harvesting and Photosynthesis by the Canopy. In Advances in Photosynthesis—Fundamental Aspects; Najafpor, M.M., Ed.; IntechOpen: London, UK, 2012; pp. 235–256. [Google Scholar]
- Smith, N.G.; Keenan, T.F.; Prentice, I.C.; Wang, H.; Wright, I.J.; Niinemets, U.; Crous, K.Y.; Domingues, T.F.; Guerrieri, R.; Ishida, F.Y.; et al. Global photosynthetic capacity is optimized to the environment. Ecol. Lett. 2019, 22, 506–517. [Google Scholar] [CrossRef] [PubMed]
- Hikosaka, K.; Noguchi, K.; Terashima, I. Modeling leaf gas exchange. In Canopy Photosynthesis: From Basics to Applications; Hikosaka, K., Niinemets, U., Anten, N.P.R., Eds.; Springer: Drodrecht, The Nederland; Berlin/Heidelberg, Germany; New York, NY, USA; London, UK, 2016; pp. 60–99. [Google Scholar]
- Pignon, C.P.; Jaiswal, D.; McGrath, J.M.; Long, S.P. Loss of photosynthetic efficiency in the shade. An achillies heel for the dense modern standsof our most productive C4 crops? J. Exp. Bot. 2017, 68, 335–345. [Google Scholar] [CrossRef]
- Björkman, O. Response to different quantum flux densities. In Physiological Plant Ecology, I. Response to the Physical Environment; Lange, O.L., Nobel, P.S., Osmond, C.B., Zie-gler, H., Eds.; Springer: Berlin/Heidelberg, Germany, 1981; pp. 57–107. [Google Scholar]
- De Souza, A.P.; Long, S.P. Towards improving photosynthesis in cassava: Characterizing photosynthetic limitations in four current African cultivars. Food Energy Secur. 2018, 7. [Google Scholar] [CrossRef]
- Wang, R.H.; Chang, J.C.; Li, K.T.; Lin, T.S.; Chang, L.S. Leaf age and light intensity affect gas exchange parameters and photosynthesis within the developing canopy of field net-house-grown papaya trees. Sci. Hortic. 2014, 165, 365–373. [Google Scholar] [CrossRef]
- Bauerle, W.; McCullough, C.; Iversen, M.; Hazlett, M. Leaf age and position effects on quantum yield and photosynthetic capacity in hemp crowns. Plants 2020, 9, 271. [Google Scholar] [CrossRef]
- Niinemets, U.; Cescatti, A.; Rodeghiero, M.; Tosens, T. Complex adjustments of photosynthetic potentials and internal diffusion conductance to current and previous light availabilities and leaf age in Mediterranean evergreen species. Plant Cell Environ. 2006, 29, 1159–1178. [Google Scholar] [CrossRef]
- Niinemets, U.; Keenan, T.F.; Hallik, L. A worldwide analysis of within-canopy variations in leaf structural, chemical and physiological traits across plant functional types. New Phytol. 2015, 205, 973–993. [Google Scholar] [CrossRef]
- Niinemets, U. Leaf age dependent changes in within-canopy variation in leaf functional traits: A meta-analysis. J. Plant Res. 2016, 129. [Google Scholar] [CrossRef] [PubMed]
- Way, D.A.; Pearcy, R.W. Sunflecks in trees and forests: From photosynthetic physiology to global change biology. Tree Physiol. 2012, 32, 1066–1081. [Google Scholar] [CrossRef] [PubMed]
- Lawson, T.; Van Caemmerer, S.; Baroli, I. Photosynthesis and stomatal behavior. In Progress in Botany 72; Luttge, U., Beyschlag, W., Budel, B., Francis, D., Eds.; Springer: Berlin/Heidelberg, Germany, 2011; pp. 265–304. [Google Scholar]
- Niinemets, U. Photosynthesis and resource distribution through plant canopies. Plant Cell Environ. 2007, 30, 1052–1071. [Google Scholar] [CrossRef] [PubMed]
- Howeler, R.H.; Cadavid, L.F. Accumulation and distribution of dry matter and nutrients during a 12-month growth cycle of cassava. Field Crop. Res. 1983, 7, 123–139. [Google Scholar] [CrossRef]
- Veltkamp, H.J. Photosynthesis, transpiration, water use efficiency and leaf and mesophyll resistance of cassava as influenced by light intensity. Agric. Univ. Wagening. Pap. 1985, 85, 27–35. [Google Scholar]
- Pipatsitee, P.; Eiumnoh, A.; Praseartkul, P.; Ponganan, N.; Taota, K.; Kongpugdee, S.; Sakulleerungroj, K.; Cha-um, S. Non-destructive leaf estimation model for overall growth performances in relation to yield attributes of cassava (Manihot esculenta Cranz) under Water Deficit Conditions. Not. Bot. Horti. Agrobo. 2019, 47, 580–591. [Google Scholar] [CrossRef]
- Boonman, A.; Anten, N.P.R.; Dueck, T.A.; Jordi, W.J.R.M.; Werf, A.K.; Voesenek, L.A.C.J.; Pons, T.L. Functional significance of shade-induced leaf senescence in dense canopies: An experimental test using transgenic tobacco. Am. Nat. 2006, 168, 597–607. [Google Scholar] [CrossRef]
- Woo, H.R.; Kim, H.J.; Nam, H.G.; Lim, P.O. Plant leaf senescence and death—Regulation by multiple layers of control and implications for aging in general. J. Cell Sci. 2013, 126, 4823–4833. [Google Scholar] [CrossRef]
- Brouwer, B.; Gardestrom, P.; Keech, O. In response to partial plant shading, the lack of phytochrome a does not directly induce leaf senescence but alter the fine-tuning of chlorophyll biosynthesis. J. Exp. Bot. 2014, 65, 4037–4049. [Google Scholar] [CrossRef]
- Chabot, B.F.; Jurik, T.W.; Chabot, J.F. Influence of instantaneous and integrated light-flux density on leaf anatomy and photosynthesis. Am. J. Bot. 1979, 66, 940–945. [Google Scholar] [CrossRef]
- Niinemets, U.; Garcia-Plazaola, J.I.; Tosens, T. Photosynthesis during leaf development and ageing. In Terrestrial Photosynthesis in a Chanhing Environement. A Molecular, Physiological and Ecological Approach; Flexas, J., Loreto, F., Medrano, H., Eds.; Cambridge University Press: Cambridge, UK, 2012; pp. 353–372. [Google Scholar]
- Burgess, A.J.; Retkute, R.; Herman, T.; Murchie, E.H. Exploring relationships between canopy architecture, light distribution, and photosynthesis in contrasting rice genotypes using 3D canopy reconstruction. Front. Plant Sci. 2017, 8, 734. [Google Scholar] [CrossRef] [PubMed]
- Feng, G.; Luo, H.; Zhang, Y.; Gou, L.; Yao, Y.; Lin, Y.; Zhang, W. Relationship between plant canopy characteristics and photosynthetic productivity in diverse cultivars of cotton (Gossypium hirsutum L.). Crop J. 2016, 4, 499–508. [Google Scholar] [CrossRef]
- Raji, P.; Byju, G. Is cassava (Manihot esculenta Crantz) a climate “smart” crop? A review in the context of bridging future food demand gap. Trop. Plant Biol. 2020, 13, 201–211. [Google Scholar]
- Irikura, Y.; Cock, J.H.; Kawano, K. The physiological basis of genotype-temperature interactions in cassava. Field Crop. Res. 1979, 2, 227–239. [Google Scholar] [CrossRef]
- Milford, G.F.J.; Riley, J. The effects of temperature on leaf growth of sugar beet varieties. Ann. Appl. Biol. 1980, 94, 431–443. [Google Scholar] [CrossRef]
Publisher’s Note: MDPI stays neutral with regard to jurisdictional claims in published maps and institutional affiliations. |
© 2020 by the authors. Licensee MDPI, Basel, Switzerland. This article is an open access article distributed under the terms and conditions of the Creative Commons Attribution (CC BY) license (http://creativecommons.org/licenses/by/4.0/).