Next Article in Journal
Investigating Sentinel 2 Multispectral Imagery Efficiency in Describing Spectral Response of Vineyards Covered with Plastic Sheets
Previous Article in Journal
Rootstock Influences on Health and Growth Following Candidatus Liberibacter asiaticus Infection in Young Sweet Orange Trees
 
 
Font Type:
Arial Georgia Verdana
Font Size:
Aa Aa Aa
Line Spacing:
Column Width:
Background:
Article

Yield, Agronomic and Forage Quality Traits of Different Quinoa (Chenopodium quinoa Willd.) Genotypes in Northeast China

1
Key Laboratory of Vegetation Ecology, Ministry of Education, Institute of Grassland Science, Northeast Normal University, Changchun 130024, China
2
Institute of Crop Sciences, Chinese Academy of Agricultural Sciences, Beijing 100000, China
*
Authors to whom correspondence should be addressed.
Agronomy 2020, 10(12), 1908; https://doi.org/10.3390/agronomy10121908
Submission received: 28 October 2020 / Revised: 23 November 2020 / Accepted: 1 December 2020 / Published: 2 December 2020
(This article belongs to the Section Grassland and Pasture Science)

Abstract

Quinoa (Chenopodium quinoa Willd.) grain is well known as a source of nutritious human food, but the nutritional properties of quinoa as animal fodder has not been well explored. Fifteen quinoa accessions were assessed for grain and forage yields, and morphological and quality traits during anthesis and grain filling, with the aim of selecting superior genotypes for greater production and quality traits that are well adapted to northeastern China. Variations were significant among the tested genotypes for all traits. The highest grain weight was recorded in Rainbow (27.51 g plant−1), followed by the local Chinese genotypes Longli 3, YY28 and Mengli 1. Correlation analysis revealed a significant positive association of grain yield with branches and a negative association with culm thickness and inflorescence length, whereas more branches and moderate plant height were the main yield components affecting yield. Forage shoot weight was 37.2–81.6 g plant−1, with JQ3 and ZQ1 exhibiting the highest yields. Forage yield was strongly and positively correlated with most of the morphological traits, except plant height, and was negatively associated with chlorophyll content and the fresh/dry matter ratio. Quality traits and the neutral detergent fiber (NDF) and acid detergent fiber (ADF) contents of quinoa were significantly lower than alfalfa (Medicago sativa L.), oats (Avena sativa L.) or Leymus chinensis (Trin.) Tzvel, and the crude protein (CP) content was significantly higher than all three species, reaching above 20%. The saponin content of the whole plant was higher during anthesis than during grain filling. In conclusion, genotypes having more branches and shorter and more compact main inflorescences achieved higher grain yields, whereas genotypes possessing thick stems, more branches and moderate plant height produced more forage. Hence, the results indicate that superior quinoa genotypes have great potential to solve fodder shortages in China.

1. Introduction

Quinoa (Chenopodium quinoa Willd.) is an important grain crop belonging to the Amaranthaceae family, and has been cultivated for centuries [1,2]. Quinoa has remarkable adaptability to different agro-ecological zones and can withstand temperatures from −4 °C to 38 °C, while many varieties are able to tolerate cold, salinity, and dry desert climates and can grow at relative humidities of 40% to 88%. It produces satisfactory yields with rainfall of 100 to 200 mm and is a highly water efficient plant that is tolerant of low soil moisture [3] and salinity, all of which signifies its importance in the development of sustainable agricultural systems [4,5].
Quinoa originated in the Andean region of South America and was later introduced to Asia, Europe, Africa and North America during the 20th century [6,7]. However, even though quinoa was introduced to China in the 1960s, germplasm was restricted to gene banks and was not put to any practical application. Official cultivation started in 1988 by the Tibet Agriculture and Animal Husbandry University and three quinoa varieties from Bolivia were introduced to China [8]. A range of studies was conducted relating to breeding, plant diseases, cultivation and biological trait assessments in the following decade [9,10]. The cultivation of quinoa began in 2013 in northeastern China (Changchun and Baicheng cities), which produced about 3000 kg ha−1 of grain yield in Changchun city in 2014 alone, while this cultivation area increased to 600 ha in Jilin province in 2018 [11]. Since that time, quinoa has rapidly gained popularity and become a well-known crop in China due to its superior nutritional quality, with the total cultivation area having increased by nearly 17,000 ha in 2019 [12].
Global demand for quinoa has risen sharply over a short period of time due to its tremendous nutritional qualities. Quinoa has the potential to contribute to food security in various regions of the world and has the advantage of both its nutritional properties and its agriculture versatility to produce quality food in abundance in countries that have poor access to protein sources [3]. However, quinoa breeding programs have mainly focused on cultivars that produce high grain yields despite the complex interactions between genotypic traits and environmental factors [13,14,15]. While it is undoubtedly a multipurpose crop, there is little literature concerning the non-grain-producing parts of the plant [16,17,18].
Quinoa grain is an amylaceous raw material that has a high carbohydrate content, mainly consisting of starch and a small percentage of sugars [19,20,21]. It has a higher level of protein than cereal grains such as barley, maize, rice and wheat and contains many of the essential amino acids including leucine, isoleucine, methionine, lysine, threonine, tryptophan, valine and histidine [21,22]. It is a plant food that is rich in vitamins (E, C and B complex), minerals (calcium, copper, magnesium, manganese, iron, phosphorus, potassium, sodium and zinc) and fiber, and a large diversity of antioxidant compounds while containing no gluten [3,19]. Its protein value is similar to casein from milk, which is essential for growth in children [23]. Essential amino acids are found in the nucleus of the grain, unlike cereal grains such as rice or wheat, where they are instead located in the exosperm or hull [3].
Quinoa is fit for both human and animal consumption [24,25]. Palatability can be affected by the presence of saponins in the grain, which give it a characteristic bitter taste, and these should be removed before feeding poultry and pigs [26]. Saponins have been studied widely. Based on sapogenin content, grain containing 4.7–11.3 g/kg of dry matter is classed as “bitter” quinoa, 0.2–0.4 g/kg is classed as “sweet,” and grain with values between these two ranges are considered as “intermediate” [27]. In mammals, negative effects of saponin have been associated with consumption, digestibility and productivity, lessening its feasibility as forage [28].
Quinoa has been cultivated widely for its seeds, but it can be utilized as a forage that is highly preferred by ruminants and monogastric animals [16,29]. In particular, fresh harvested leaves and chaff are fairly well favored by Camelidae, bovines, goats, sheep and fishes [26]. Studies have been conducted on quinoa forage and silage to maximize its production including the use of harvest remnants (leaves and stalks) in animal diets, where dry matter yields are acceptable for consumption due to their digestibility and high protein content, making quinoa an excellent quality forage [16]. However, for better forage quality, anti-quality traits like neutral detergent fiber (NDF) and acid detergent fiber (ADF) should be kept to the lowest levels to improve digestibility. Both NDF and ADF decrease the digestibility of forage when the contents increase. These fibers (NDF and ADF) are cell wall components in the forage, with NDF comprised of ADF plus hemicellulose, and ADF is composed of cellulose and lignin. Further, various other factors are involved to determine the quality of forage, for instance genotype, growth stage, and management practices [30].
At present, forage corn (Zea mays L.), alfalfa (Medicago sativa L.) and oats (Avena sativa L.) are the three forage species most widely adopted as silage for feeding ruminants in northeastern China. However, it is well known that forage corn is a large production species with very low nutrition values that needs to be mixed with alfalfa to increase its CP content and oats to increase carbohydrates for improved palatability [31]. There has been limited research on the forage quality of quinoa relative to the forage species mentioned above, despite its popularity across the globe [32]. Alfalfa has been grown for centuries to feed livestock due to its high palatability and high nutritional properties, and is an excellent source of amino acids, essential vitamins and minerals [33,34]. Oat cultivation has been practiced for centuries to feed livestock. It is a fast-growing dual crop grown for both fodder and grain purposes, known for high levels of carbohydrates and essential minerals [35,36], producing significant amounts of fresh fodder within a short period (60–70 days) [37]. Sheepgrass (Leymus chinensis (Trin.) Tzvel) is one of the most important perennial forage grasses producing high yields, with superior nutritive and forage value in the grasslands of northeastern China [38,39]. It has a high forage value and good palatability with tender leaves and stems producing forage yields about 3000 to 4500 kg/ha without irrigation, while the yield reaches 6000 kg/ha with irrigation [40].
The aim of this study was to identify agronomic traits to facilitate selection of superior high-yielding genotypes that are well adapted to the region. However, benchmarks for desirable forage traits and the best harvest time were not available for the quinoa genotypes currently grown in China. For this reason, varieties developed in recent years via modern breeding and advanced accessions from China were grown alongside quinoa control varieties with wide global distribution to identify agronomic traits associated with grain yield. At the same time the nutritive values of quinoa were compared both intra-specifically and inter-specifically. To our knowledge, no other studies have investigated the yield and nutritive value of quinoa forage harvested during the flowering and grain filing stages and compared these qualities to other well-known forages (alfalfa, oats and sheepgrass). The respective alfalfa and oat genotypes Dongmu 1 and Baiyan 16 were selected because they were bred in the local region and are among the most widely distributed in northeastern China. The corresponding forage quality of Dongmu 1 has been studied previously, and it exhibited higher CP values and lower NDF and ADF values than the mean of 20 tested genotypes [41]. Similarly, the forage quality of the oat genotype Baiyan 16 represented the highest forage quality in a set of 20 oat genotypes [35,40]. The L. chinensis material used in this experiment represented the most widely used forage type in northeastern China, but at present there are no selected genotypes cultivated in the field. Therefore, this experiment was conducted to examine whether there are differences in the forage yield and nutritive value of quinoa varieties harvested at different stages, and we correlated these properties with other forages to determine the best fodder quality.

2. Materials and Methods

2.1. Planting Material and Growth Conditions

In the middle of spring (12th of May) 2018, 15 quinoa genotypes, including three grain-producing commercial varieties (Titicaca, Rainbow and Illpa), six accessions selected locally from mutations of different varieties and six varieties (accessions) bred in other parts of China, were planted in the ground of the greenhouse at the Songnen Grassland Ecological Research Station of Northeast Normal University (NENU, 44°34′25.5″ north latitude, 123°31′5.9″ east longitude). The origin of the genotypes is described in Table S1. The soil was sandy clay, with 6.75 g/kg of organic matter, 56.83 mg/g available phosphorous, 0.08% total nitrogen, pH 7.25 and 104.87 us/cm electronic conductivity (more properties of soil see Figure S1). During tillage, 200 kg/ha nitrogen/phosphate/potash (NPK) complex fertilizer, 15-15-15 (Qingdao Sonef Chemical Company Limited, Qingdao, China), was applied. The experiment was carried out in a randomized complete block design with three replicates for each genotype. Each replicate occupied a 1 × 1 m area, with row spacing of 50 cm and plant spacing of 20 cm. Next to the quinoa, the locally bred alfalfa cultivar Dongmu 1 (one of the most widely planted cultivars with high nutritional values) and local provenance wild L. chinensis (Trin.) Tzvelev were transplanted into the greenhouse in three replicates with a row spacing of 30 cm and a plant spacing distance of 3 cm. A forage-type oat cultivar Baiyan 16 (bred locally for high forage quality) was planted with 20 cm row spacing at a density of 350 seeds/m2. Natural sunlight was used as illumination and a ventilation system regulated temperature under 23 °C/18 °C (day/night) until grain maturation of all plants, and drip irrigation facilities were installed to ensure adequate soil moisture.

2.2. Quinoa Crop Phenology and Leaf Chlorophyll

In this experiment, quinoa crop phenology was recorded during the course of growth. Due to crop phenology differences between genotypes, the squaring stage was recorded when more than 50 percent of plants exhibited a fully expanded inflorescence, anthesis was recorded when more than 50 percent of plants produced pollen, the grain filling stage was defined as twenty days after anthesis, and maturity was determined when the majority of leaves had turned yellow. During grain filling, five fully expanded leaves from mid-height on the plant stem were measured for chlorophyll content using a Soil Plant Analysis Development (SPAD) meter (Minolta SPAD 502, Plainfield, IL, USA) and the means calculated.

2.3. Sampling, Yield and Yield Components

During the squaring, anthesis and grain filling stages, two plants from each stage were sampled from each replicate, split along the stem, and oven dried 30 min at 105 °C, then kept for 48 h at 65 °C until constant weight. After that, the samples were combined and ground to a fine powder and stored for later forage quality analysis. During grain filling, the shoots of two plants were harvested 50 mm above the ground to measure fresh weight, water content and dry biomass weight per plant. After maturity, plant height, tiller number, main inflorescence length, culm thickness, 1000-grain weight and grain yield were measured from the remaining plants in each replicate. In the case of alfalfa, samples were harvested at anthesis by using the whole above ground shoot, while whole shoots of Leymus chinensis and oats were harvested during grain filling.

2.4. Fodder Nutritional Quality Analysis

In order to evaluate the nutritional quality of quinoa at different stages and compare with other species, the NDF and ADF were analyzed using standard procedures according to previous methods [42,43] developed at the Institute of Grassland Science, NENU. NDF and ADF were measured using a FOSS automatic fiber analyzer (Fibertec™ 8000, FOSS, Hilleroed, Denmark), while CP was measured using a FOSS Kjeldahl analyzer (Kjeltec 8400, FOSS, Hilleroed, Denmark). The phenol-sulfuric acid method was used for the determination of water-soluble carbohydrates (WSCs) as follows. Ten milliliters of 80% ethanol was added to 60 mg of plant material and was kept overnight. Centrifugation was carried out at 5073× g for 15 min. The supernatant was transferred to a 50 mL volumetric flask. The remaining residue was supplemented with 5 mL of 80% ethanol and centrifuged at 5073× g for 5 min. The second supernatant was transferred to the same volumetric flask and the combined supernatants made up to 50 mL with 80% ethanol for soluble sugar analysis. For the determination of WSCs, 1 mL of extract, 1 mL of phenol solution and 5 mL of concentrated sulfuric acid were mixed, shaken for 1 min, allowed to stand for 15 min, and the absorbance was measured at 490 nm with a microplate reader. WSC content was calculated using absorbance and standard curve:
W S C   ( m g   g 1 ) = C × V × n / W
where C is the curve for determining the concentration of the tested sample; V is the volume of the tested sample; n is the dilution ratio; and W the weight of the quinoa sample.
Total saponin content was determined through spectrophotometry, as described by [44]. Four milliliters of anhydrous methanol was added to 0.2 g of the plant sample and was shaken at 50 °C for 2 h, and centrifuged at 4193× g for 10 min. The supernatant was taken for subsequent analysis. To analyze the saponin content, 1 mL of extract supernatant and 4 mL of 5% vanillin glacial acetic acid solution were mixed. The mixture was then heated in a water bath for 30 min at 60 °C then cooled in water. The absorbance of the sample was measured at a wavelength of 527 nm using a spectrophotometer (Multiskan GO, Thermo Fisher Scientific Co., Waltham, MA, USA). Oleanolic acid was used as a standard (0–1000 μg mL−1). Total saponin content was expressed as 100 g−1 of oleanolic acid equivalents.
The equation used to calculate the relative feeding value was: R F V = D M I × D D M / 1.29 , where the terms DMI (dry matter intake) and DDM (digestible dry matter) in the prediction model are: DMI = 120/NDF and DDM = 88.9 − 0.779 × ADF [42,43].

2.5. Statistical Analysis

The effect of different genotypes on the agronomic and forage parameters was tested with analysis of variance (ANOVA), performed using the general linear model (GLM) procedure. Mean separation of genotypes for the measured parameters was undertaken with a Tukey’s b multiple comparison test (p < 0.05). Pearson correlation coefficients were calculated for the different genotype yields, and agronomic and forage traits. The data were statistically analyzed using IBM SPSS Statistics 25.0 (IBM Corporation, Chicago, IL, USA). Figures were created by using Sigma-Plot for Windows version 12.5 (Systat Software, Inc., San Jose, CA, USA).

3. Results

Various agronomic, morphological and quality traits were evaluated including forage and grain yield to distinguish the responses and adoptability of quinoa varieties in the western part of Jilin, China. A list of accessions and their sources, origins and seed colors are provided in Supplementary Table S1. Differences between mean values for morphological traits including shoot biomass and grain weight, and indicate that these genotypes differ in adaptability (Table 1).

3.1. Forage Yield and Morphological Traits of Quinoa during Grain Filling

All tested genotypes completed the crop cycle, except cultivar Illpa, which experienced a limitation to dry matter accumulation during late grain filling. The shoot biomasses of all quinoa varieties were in the range of 37.2–81.6 g plant−1, and the highest biomass yield was recorded in JQ3 and ZQ1, which were bred for grain production in Shangxi province at high altitude (2500 m.a.s.l) and in the local Jilin province at low altitude (about 150 m.a.s.l), respectively (Table 1). These two genotypes exhibited the largest culm thickness and number of branches, but JQ3 was a tall accession and ZQ1 was a short accession. The lowest shoot biomass (37.2 g plant−1) was measured in Titicaca, and was only 45.5% of the value recorded for JQ3. The shoot biomass of most quinoa varieties was in the range 50–60 g plant−1. The correlation analysis of the factors affecting the quinoa yield showed that the shoot biomass was significantly positively correlated with the number of branches and the culm thickness during the grain filling period (r = 0.528, p < 0.001; r = 0.696, p < 0.001) and negatively correlated with the fresh/dry matter ratio (r = −0.786, p < 0.001) and chlorophyll content (r = −0.425, p < 0.01) (Table 2).
The fresh-to-dry matter ratio reflects the water content of the plants, which gradually decreased with the growth of the plants. It is generally considered that the water content of young plants is higher than in senescent plants. As shown in Table 1, the number branches on the quinoa varieties tested was around 18 or higher. By analyzing the relationship between the main agronomic traits of the 15 varieties of quinoa during flowering (Table 2), there was a significant positive correlation between culm thickness and branch number (r = 0.456, p < 0.01), indicating thick genotypes tend to increase branches and both contributed to above-ground biomass increases in quinoa.

3.2. Grain Yield and Yield Components of Quinoa during Maturity/Ripening

After grain filling was completed in quinoa, the grain yield and yield components of all genotypes were determined (Table 3). The results revealed that the maximum grain yield was achieved by Rainbow and Longli 3 reaching 27.51 and 26.78 g plant−1, respectively, which significantly surpassed all other genotypes, while YY28 and Mengli 1 exceeded the 25 g plant−1 mark, also signifying them as high-yielding genotypes. Further, the 1000 grain weight results of the short cultivar Titicaca were substantially higher than other genotypes, followed by ZQ2, indicating superior grain filling in these two varieties. Nevertheless, the lowest 1000 grain weight was recorded in ZQ5 and Longli 3, whose grains were much smaller than the other quinoa varieties. Correlations between the agronomic traits showed that grain weight per plant was not associated with shoot biomass, but it was positively associated with branches per plant (r = 0.487, p < 0.001) and negatively associated with culm thickness and inflorescence length (r = −0.328, p < 0.05; r = −0.333, p < 0.05; respectively) (Table 2 and Table 4).
The plant height range of these quinoa genotypes measured at maturity was 112.33–159.00 cm (Table 3). Compared to other varieties, Illpa, ZQ5, ZQ3 and Tiaoli 1 had significantly longer inflorescences than the rest of the genotypes, having values of 62.7, 59.0, 58.3 and 54.7 cm, respectively. It is essential to examine the number of branches of quinoa, as seeds can also be developed on the inflorescences of the lateral branches. Branches are considered an indicator that affects grain yield in the quinoa plant. However, inflorescence length was strongly and positively associated with both height and culm thickness (r = 0.495, p < 0.01; r = 0.771, p < 0.001; respectively).

3.3. Nutritional Forage Quality of Quinoa Plants during Different Growth Stages

In order to study the forage quality of quinoa during growth, various forage quality traits were compared between anthesis and grain filling. The crude protein (CP) ranged from 21.51% to 26.88% with no genotypic difference during anthesis, and this did not change during grain filling. Neutral detergent fiber (NDF), acid detergent fiber (ADF) and water-soluble carbohydrates (WSCs) were different among genotypes from anthesis to the grain filling stage, showing higher values at grain filling than during the flowering period (Table 5). Saponin content of shoot showed significant genotypic differences at both sampling times. ADF, WSC and saponin content had significant Genotype × Time interactions. NDF, ADF and WSCs increased by 11.95%, 22.22% and 17.36%, respectively, from the flowering period to grain filling. However, a reduction in the relative feed value (RFV) of 14.21% was measured from the flowering period to the grain filling period, and saponin content showed a similar trend to RFV, decreasing by 30.49% during the same phenological progression.
Factors affecting quinoa shoot biomass and grain weight may also be associated with the nutritional quality of quinoa plants. Therefore, we studied the correlations between nutritional traits and the forage and grain yield at both the anthesis and grain filling periods (Table 6). The relationships between the grain weight at maturity NDF and ADF were significantly negative during anthesis (r = −0.502, p < 0.01; r = −0.582, p < 0.01; respectively), meanwhile, a significant positive association was observed with WSC, RFV and saponin content. However, the negative linear relationships with grain weight disappeared for NDF and ADF during grain filling. A positive correlation between shoot biomass and crude protein was detected at the grain filling stage. Both NDF and ADF were negatively associated with crude protein and RFV at both stages, but the association was particularly noteworthy at grain filling for crude protein, while a strong significantly negative association was observed at both stages for RFV. The results suggested that the higher the quinoa fiber content at the flowering stage, the lower the crude protein and soluble sugar. However, the saponin content was negatively associated with CP and positively associated with WSCs at both stages.

3.4. Comparison between Studied Pastures

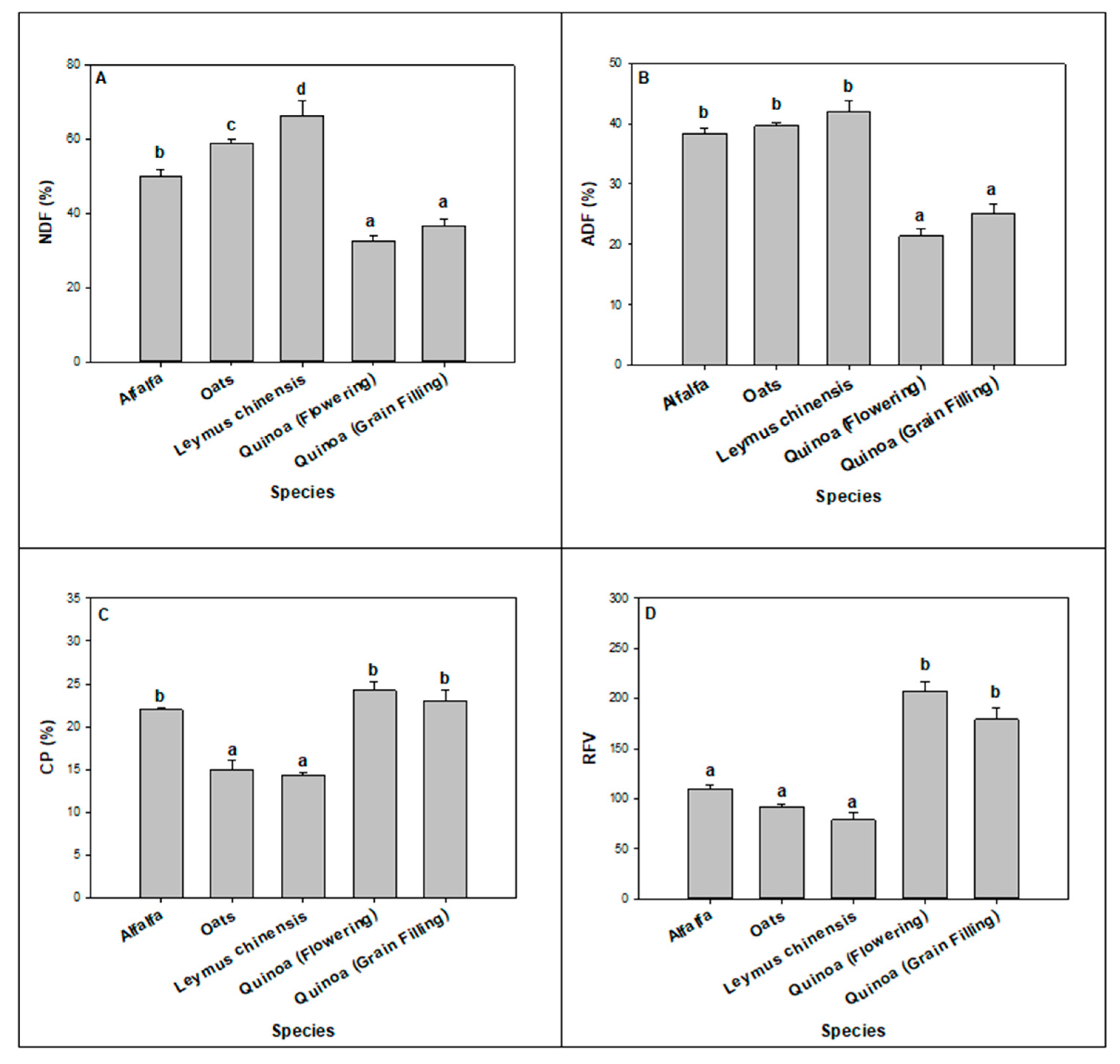
In order to study the forage value of quinoa, the average values of quinoa during flowering and grain filling were compared with the most widely adopted forage species in northeastern China (alfalfa, oats, and L. chinensis). The NDF, ADF, CP and RFV contents in the four forages were compared. Our results revealed that the NDF and ADF contents in quinoa during anthesis and grain filling were significantly lower than in the other three forage species (Figure 1A,B), which suggests that quinoa plants produce good quality forage. The CP of quinoa was significantly higher than oats and L. chinensis, whereas alfalfa exhibited lower values than quinoa at both stages, but this was not statistically significant (Figure 1C). Comparison of the nutritional qualities between quinoa and the common forage species indicated low fiber content (NDF, ADF) and high crude protein content in quinoa, so continued study of this species is important due to its potential to become a popular, high-quality forage. The RFV, which is calculated using the NDF and ADF contents, is another valuable way to consider the qualities of forage species. Our results revealed that the RFV of quinoa at both sampling times was significantly higher than the other three species (Figure 1D). Among them, alfalfa had the second highest values followed by oats, and the lowest RFV was recorded in L. chinensis.

4. Discussion

4.1. Grain-Producing Quinoa: Yield Components

Quinoa grain is a great source of food, having high protein levels with a high nutritional quality [45,46]. In our study, correlation analysis among agronomic traits was performed to investigate their grain yield. A significant positive association of grain yield with branch number and a negative association with culm thickness and inflorescence length characterized the key features that determine optimal grain production, that is, the larger the number of branches with compact inflorescences and moderate culm thickness, the greater the grain yield. Indeed, achieving high grain yield in quinoa should be possible via increases in the number of lateral branches. In our experiment, the quinoa varieties that produced the most grain did not seem to have the highest number of branches, but they did possess significantly higher numbers of branches relative to the low-yielding varieties. In contrast, varieties with the greatest yields (Rainbow, Mingli 1, YY28 and Long Li 3) were not among the tallest recorded, but there was a somewhat positive association between height grain yield (although this was not statistically significant). Plants with greater heights bear longer and thicker main inflorescences, and this negatively affected grain yield in quinoa. Indeed, in our experiment long main inflorescences were more susceptible to breakage due to external factors, and led to a reduction in yield. Similar results have been reported by other authors [47,48,49]. A significant negative association of grain yield with NDF and ADF proves that high fiber levels in the plant may not be conducive to the formation of grains. In contrast, the association of grain yield with WSCs and saponin was significant. In summary, choosing a high-yielding variety should be focused on quinoa bearing more branches, shorter main inflorescences and moderate plant height. In our study, Rainbow, Ming Li 1, YY28 and Longli 3 were suitable varieties for planting in northeastern China.

4.2. Fodder-Producing Quinoa: Morphology and Quality Traits

It is not sufficient to consider the quality of quinoa plants based on feed research alone because quinoa is a multipurpose crop that can be used to feed animals with milled grain residue or also as a direct fodder where water is scarce and other species are unable to thrive in high altitude areas [16,45]. Relative to the other varieties tested, JQ3 and ZQ1 had the greatest fodder yield, followed by Mingli 1, Illpa and Nilu. Statistical analysis of related agronomic traits revealed that the forage yield was greatly affected by culm thickness and branch numbers. It has been observed that large numbers of branches with greater vegetation cover will absorb more light energy, and will ultimately produce a higher fodder yield. Plant height is an important indicator for measuring aboveground biomass. In this experiment, a slight but direct relationship between plant height and shoot biomass was detected, however, the highest yielding genotypes were not among the tallest of the varieties tested. This was mainly due to some of the tall genotypes (e.g., ZQ5, YY28) exhibiting low branch numbers, thus accounting for their low accumulation of final aboveground biomass. Nevertheless, when examining the association between shoot biomass and nutritional quality in quinoa plants at anthesis, a negative association was observed between shoot biomass and NDF, WSC and saponin content, while the relationship was positive with ADF and CP, but most were not significant. Therefore, the nutritional quality of quinoa plants had less effect on the yield of quinoa forage. While selecting high-yielding forage varieties, attention should be paid to the influence of agronomic characteristics on forage yield rather than nutritional quality. It is recommended to choose varieties that have many branches, thick stems and moderate plant height to obtain high forage yields.
Is quinoa a better forage than commonly used forage species (alfalfa, oats and L. chinensis)? To determine the nutritional quality (NDF, ADF and crude protein) of alfalfa, oats and L. chinensis, samples were compared with quinoa at both the flowering and filling stages. The NDF and ADF contents in quinoa were significantly lower than in the three other forages, whereas at both stages oats and L. chinensis had significantly lower crude protein levels, and alfalfa had slightly lower levels than quinoa. Moreover, the RFV indicated a significantly higher forage quality in quinoa than in the other three forage species, and certainly has high nutritional value for application as forage for livestock. By contrast, the NDF, ADF, CP and WSC ranges were wide and significantly different among the quinoa genotypes tested, and this indicated potential for improved forage quality through breeding selection. In fact, a special forage purposed cultivar, Zhongli No.1, has been released by the Chinese Agricultural Society, and is being widely promoted for planting in the agro-pastoral zone in northern China [50].
Are there any recommended varieties based on its nutritional qualities? The opportunity to supplement or completely replace common cereal grains (corn, rice and wheat) with a species of higher nutritional value (such as quinoa) is inherently beneficial to the public interest [51]. Genotypes in this study were recruited for their nutritional quality, with JQ3, ZQ4, YY28 and Longli 3 having high forage quality during flowering, while ZQ5, ZQ1, JQ3 and YY28 had high forage quality during the grain filling period. The nutritional quality of forage will affect the forage yield and grain yield of quinoa to a certain extent, so measuring the nutritional quality of the plants can also provide a baseline for screening high-yielding quinoa varieties.

4.3. The Advantages and Disadvantages of Quinoa Fodder during Different Stages

The ratios of fiber, proteins, carbohydrates and lipids determine the nutritional aspect of a forage crop [32]. The consequences of feeding animals with poor quality forage for long periods may cause malnutrition [37], whereas insufficient fodder supply results in low production of meat and milk [52,53]. The determination of fodder quality in our experiment was observed at both the anthesis and grain filling stages, and several advantages and disadvantages were noted. Both NDF and ADF were significantly lower during flowering compared to the grain filling stage. Low fiber content (NDF and ADF) leads to better digestibility of the fodder, while high levels of fiber decreases digestibility [30]. On the other hand, the CP and saponin contents were higher during flowering, and significant differences were observed among genotypes at different stages. The ZQ4 advanced line had the highest CP and RFV values and lowest saponin values during the flowering stage. Although saponins must be removed from the grain before consumption due to their interference with quinoa’s palatability and digestibility, this is not always achievable, as attempts at removal from shoot dry matter have shown [54]. Indeed, in non-monogastric animals, saponin does not have adverse effects; on the contrary, it has the advantage of controlling certain internal parasites [16]. Soluble sugar is beneficial for plants to resist cold environments [55,56,57] and contributes to the size of the source for growing grains [58]. Regarding the WSCs, these were significantly lower during the flowering stage; the highest WSCs were recorded in Longli 3 at both stages, which produced the second highest grain yield among the genotypes, and this may be attributed to its high WSC values.
In this experiment, only the fiber contents of the upper aerial parts as a whole were determined, so analysis of the nutritional value of each organ needs further testing. However, by comparing the NDF and ADF contents of quinoa during different stages, it was observed that the NDF and ADF contents increased from anthesis to post anthesis, indicating that greater biomass is produced as growth progresses, but plant senescence induces lower forage quality. Nevertheless, the advantage of extended growth was that the CP content remained constant and the WSCs even increased, meaning that the best time to harvest would be grain filling, even in the face of the disadvantages just mentioned.

4.4. Future Applications of Quinoa Plants in Animal Feeding (Industry)

Even under the current circumstances of high grain prices, using quinoa as animal feed may become commercially feasible in the near future. In recent years, structural adjustments to agriculture and animal husbandry, promotion of “grain to feed” applications, rapid reform of agricultural supply chains, and implementation of the Rural Revitalization Strategy have been transforming animal husbandry enterprises across northern China (especially in northeastern China and the Inner Mongolia Autonomous Region), where animal husbandry accounts for a large proportion of economic production [11]. Quinoa’s productivity and feeding value has determined that this plant will be widely cultivated by local animal husbandry enterprises, quinoa planting enterprises and scientific research institutes [59]. In 2018, the quinoa variety Zhongli No. 1 passed varietal approval, especially for the purposes of fodder production. In fact, utilization of quinoa as fodder has been practiced for feeding both ruminant and non-ruminant animals since pre-Hispanic times [16]. For ruminating livestock, quinoa stems and leaves can be used directly without concern over the presence of saponins [45]. However, quinoa silage possesses better palatability for ruminants than fresh plants, and it can be mixed with other forages (for instance corn, alfalfa and oats) to improve the protein content of conventional feed [60]. In contrast, the proportion of quinoa bran by-products should not exceed more than 30% to ensure positive outcomes when feeding non-ruminating livestock, especially poultry and pigs [16]. This is because saponins possess a bitter taste that inhibits consumption, and these compounds must be removed by washing before the grain is used in feed [16,45]. Therefore, utilization of sweet quinoa (forms with low saponin levels) is proving promising as it is not necessary to remove saponins to improve forage quality.

5. Conclusions

From an agronomic viewpoint, the variability that exists in quinoa for both yield and quality traits underscores the potential to select superior parental genotypes for the development of high-yielding and well-adapted varieties. Genotypes having greater numbers of branches and more compact main inflorescences should produce higher grain yields, while genotypes possessing thick stems, increased branching and moderate plant height should produce increased biomass for fodder. Our results clearly depicted the high nutritional value (high crude protein content and RFV, as well as lower NDF and ADF) of quinoa relative to alfalfa, L. chinensis and oats. The results demonstrated interesting data with reference to both intraspecific and interspecific quality traits, revealing high protein levels in quinoa shoots, which can serve as an inexpensive source of nutrients in livestock feed, while the low NDF and ADF in quinoa fodder is another rich source of food for both ruminant and non-ruminant animals. For these reasons, we strongly recommend the cultivation of quinoa in the western part of Jilin, China, for both grain production and forage yield purposes.

Supplementary Materials

The following are available online at https://www.mdpi.com/2073-4395/10/12/1908/s1, Figure S1: Soil physical and chemical properties of the test soil, Table S1: The name, origin, status and seed color of the quinoa (Chenopodium quinoa Willd.), alfalfa (Medicago sativa L.), oats (Avena sativa L.) and Leymus chinensis (Trin.) Tzvel used in this work.

Author Contributions

Conceptualization, B.Z. and Z.L.; methodology, S.S.S.; formal analysis, S.S.S. L.S. and B.Z.; writing—original draft preparation, S.S.S. and B.Z.; writing—review and editing, G.R. and P.Q.; supervision, Z.L. and L.S. All authors have read and agreed to the published version of the manuscript.

Funding

The research was supported by the National Natural Science Foundation of China (31702179), the Fundamental Research Funds for the Central Universities (2412020FZ017), a grant from the Jilin Provincial Development and Reform Commission (2020C037-5) and the Program of Introducing Talents of Discipline to Universities (B16011).

Acknowledgments

The authors would like to acknowledge Xiuquan Yue, Yanan Li and Xing Li for assistance in conducting the experiments.

Conflicts of Interest

The authors declare no conflict of interest.

References

  1. Gómez-Caravaca, A.M.; Iafelice, G.; Lavini, A.; Pulvento, C.; Caboni, M.F.; Marconi, E. Phenolic Compounds and Saponins in Quinoa Samples (Chenopodium quinoa Willd.) Grown under Different Saline and Nonsaline Irrigation Regimens. J. Agric. Food Chem. 2012, 60, 4620–4627. [Google Scholar] [CrossRef]
  2. Wright, K.H.; Pike, O.A.; Fairbanks, D.J.; Huber, C.S. Composition of Atriplex hortensis, Sweet and Bitter Chenopodium quinoa Seeds. J. Food Sci. 2002, 67, 1383–1385. [Google Scholar] [CrossRef]
  3. PROINPA. Quinoa, an Ancient Crop to Contribute to World Food Security; Technical Report. 37th; FAO Conference: Rome, Italy, July 2011. [Google Scholar]
  4. González, J.A.; Gallardo, M.; Hilal, M.B.; Rosa, M.D.; Prado, F.E. Physiological responses of quinoa (Chenopodium quinoa) to drought and waterlogging stresses: Dry matter partitioning. Botanic. Stud. 2009, 50, 35–42. [Google Scholar]
  5. Jacobsen, S.-E.; Monteros, C.; Corcuera, L.; Bravo, L.A.; Christiansen, J.; Mujica, A. Frost resistance mechanisms in quinoa (Chenopodium quinoa Willd.). Eur. J. Agron. 2007, 26, 471–475. [Google Scholar] [CrossRef]
  6. Christensen, S.A.; Pratt, D.B.; Pratt, C.; Nelson, P.T.; Stevens, M.R.; Jellen, E.N.; Coleman, C.E.; Fairbanks, D.J.; Bonifacio, A.; Maughan, P.J. Assessment of genetic diversity in the USDA and CIP-FAO international nursery collections of quinoa (Chenopodium quinoa Willd.) using microsatellite markers. Plant. Genet. Resour. 2007, 5, 82–95. [Google Scholar] [CrossRef]
  7. Tan, M.; Temel, S. Performance of Some Quinoa (Chenopodium quinoa Willd.) Genotypes Grown in Different Climate Conditions. Turk. J. Field Crop. 2018, 27, 180–186. [Google Scholar] [CrossRef]
  8. Gongbu, T.; Wang, M.; Zhang, C.; Yang, Q. The biological characters and the performance of quinoa, Chenopodium quinoa willd in Tibet. Southw. China J. Agric. Sci. 1994, 364, 54–62. [Google Scholar]
  9. Gongbu, T.; Wang, M.; Wang, L. Research on breeding original materials of Chenopodium quinoa. Tibet’s Sci. Technol. 1996, 73, 13–17. [Google Scholar]
  10. Wang, M.; Gongbu, T.; Liu, Y.; Zhang, Z. Preliminary research on Chenopodium quinoa disease in Tibet. J. Yunnan Agr. Univ. 1995, 10, 88–91. [Google Scholar]
  11. Xiu-Shi, Y.; Pei-You, Q.; Hui-Min, G.; Ren, G. Quinoa Committee of the Crop Science Society of China Quinoa Industry Development in China. Ciencia Investig. Agraria 2019, 46, 208–219. [Google Scholar] [CrossRef]
  12. CSSC. Saw. Available online: http://m.quinoachina.org.cn/site/term/37.html (accessed on 5 March 2020).
  13. Akula, R.; Ravishankar, G.A. Influence of abiotic stress signals on secondary metabolites in plants. Plant. Signal. Behav. 2011, 6, 1720–1731. [Google Scholar] [CrossRef]
  14. Bazile, D.; Pulvento, C.; Verniau, A.; Al-Nusairi, M.S.; Ba, D.; Breidy, J.; Hassan, L.; Mohammed, M.I.; Mambetov, O.; Otambekova, M.; et al. Worldwide Evaluations of Quinoa: Preliminary Results from Post International Year of Quinoa FAO Projects in Nine Countries. Front. Plant. Sci. 2016, 7. [Google Scholar] [CrossRef]
  15. Wimalasekera, R. Role of seed quality in improving crop yields. In Crop Production and Global Environmental Issues; Springer: Berlin, Germany, 2015; pp. 153–168. [Google Scholar] [CrossRef]
  16. Bazile, D.; Salcedo, S.; Santivañez, T. State of the Art Report on Quinoa Around the World in 2013; Bazile, D., Bertero, H.D., Nieto, C., Eds.; CIRAD: Montpellier, France, 2015; pp. 250–286. [Google Scholar]
  17. Bonifacio, A. El futuro de los productos andinos en la región alta y los valles centrales de los andes. In Estudio de Prospectiva Para los Productos del Alti-Plano; Organización de las Naciones Unidas para el Desarrollo Industrial: La Paz, Bolivia, 2006. [Google Scholar]
  18. Galwey, N. The potential of quinoa as a multi-purpose crop for agricultural diversification: A review. Ind. Crop. Prod. 1992, 1, 101–106. [Google Scholar] [CrossRef]
  19. Alvarez-Jubete, L.; Wijngaard, H.; Arendt, E.K.; Gallagher, E. Polyphenol composition and in vitro antioxidant activity of amaranth, quinoa buckwheat and wheat as affected by sprouting and baking. Food Chem. 2010, 119, 770–778. [Google Scholar] [CrossRef]
  20. Filho, A.M.M.; Pirozi, M.R.; Borges, J.T.D.S.; Sant’Ana, H.M.P.; Chaves, J.B.P.; Coimbra, J.S.D.R. Quinoa: Nutritional, functional, and antinutritional aspects. Crit. Rev. Food Sci. Nutr. 2017, 57, 1618–1630. [Google Scholar] [CrossRef]
  21. James, L.E.A. Chapter 1 Quinoa (Chenopodium quinoa Willd.). Adv. Food Nutr. Res. 2009, 58, 1–31. [Google Scholar] [CrossRef]
  22. Ogungbenle, H.N. Nutritional evaluation and functional properties of quinoa (Chenopodium quinoa) flour. Int. J. Food Sci. Nutr. 2003, 54, 153–158. [Google Scholar] [CrossRef]
  23. Repo-Carrasco-Valencia, R.; Serna, L.A. Quinoa (Chenopodium quinoa, Willd.) as a source of dietary fiber and other functional components. Food Sci. Technol. 2011, 31, 225–230. [Google Scholar] [CrossRef]
  24. Bhargava, A.; Shukla, S.; Ohri, D. Chenopodium quinoa—An Indian perspective. Ind. Crop. Prod. 2006, 23, 73–87. [Google Scholar] [CrossRef]
  25. Mujica-Sanchez, A.; Jacobsen, S.; Izquierdo, J.; Marathee, J. Quinua (Chenopodium quinoa Willd.): Ancestral Cultivo Andino, Alimento del Presente y del Futuro; FAO: Santiago, Chile, 2001; pp. 162–183. [Google Scholar]
  26. Francis, G.; Kerem, Z.; Makkar, H.P.S.; Becker, K. The biological action of saponins in animal systems: A review. Br. J. Nutr. 2002, 88, 587–605. [Google Scholar] [CrossRef]
  27. Mastebroek, H.D.; Limburg, H.; Gilles, T.; Marvin, H.J.P. Occurrence of sapogenins in leaves and seeds of quinoa (Chenopodium quinoa Willd). J. Sci. Food Agric. 2000, 80, 152–156. [Google Scholar] [CrossRef]
  28. Rogosic, J.; Estell, R.; Ivankovic, S.; Kezic, J.; Razov, J. Potential mechanisms to increase shrub intake and performance of small ruminants in mediterranean shrubby ecosystems. Small Rumin. Res. 2008, 74, 1–15. [Google Scholar] [CrossRef]
  29. Van Schooten, H.; Pinxterhuis, J. Quinoa as an alternative forage crop in organic dairy farming. In Optimal Forage Systems for Animal Production and the Environment, Proceedings of the 12th Symposium of the European Grassland Federation, Pleven, Bulgaria, 26–28 May 2003; Grassland Science in Europe: Pleven, Bulgaria, 2003; pp. 445–448. [Google Scholar]
  30. Baskota, S.; Islam, A. Evaluation of Forage Nutritive Value of Quinoa Cultivars; LREC Long Reports Field Days Bulletin-19; University of Wyoming: Laramie, WY, USA, 2017. [Google Scholar]
  31. Jian, G.; Cuijun, Y.; Guihe, L. Nutritional Evaluation of Fresh and Wilted Mixed Silage of Naked Oats (Avena nuda) and Alfalfa (Medicago sativa). Int. J. Agric. Biol. 2015, 17, 761–766. [Google Scholar] [CrossRef]
  32. Capstaff, N.M.; Miller, A.J. Improving the Yield and Nutritional Quality of Forage Crops. Front. Plant. Sci. 2018, 9. [Google Scholar] [CrossRef]
  33. Radović, J.; Sokolović, D.; Marković, J. Alfalfa-most important perennial forage legume in animal husbandry. Biotechnol. Animal Husb. 2009, 25, 465–475. [Google Scholar] [CrossRef]
  34. Bélanger, G.; Castonguay, Y.; Bertrand, A.; Dhont, C.; Rochette, P.; Couture, L.; Drapeau, R.; Mongrain, D.; Chalifour, F.-P.; Michaud, R. Winter damage to perennial forage crops in eastern Canada: Causes, mitigation, and prediction. Can. J. Plant. Sci. 2006, 86, 33–47. [Google Scholar] [CrossRef]
  35. Barsila, S.R. The fodder oat (Avena sativa) mixed legume forages farming: Nutritional and ecological benefits. J. Agric. Nat. Resour. 2018, 1, 206–222. [Google Scholar] [CrossRef]
  36. Stevens, E.; Armstrong, K.; Bezar, H.; Griffin, W.; Hampton, J. Fodder Oats an Overview. In Fodder Oats: A World Overview; Food and Agriculture Organization of the United Nations: Rome, Italy, 2004; pp. 1–9. [Google Scholar]
  37. Bilal, M.; Ayub, M.; Tariq, M.; Tahir, M.; Nadeem, M. Dry matter yield and forage quality traits of oat (Avena sativa L.) under integrative use of microbial and synthetic source of nitrogen. J. Saudi Soc. Agric. Sci. 2017, 16, 236–241. [Google Scholar] [CrossRef]
  38. Lin, J.; Wang, J.; Li, X.; Zhang, Y.; Xu, Q.; Mu, C. Effects of saline and alkaline stresses in varying temperature regimes on seed germination of Leymus chinensis from the Songnen Grassland of China. Grass Forage Sci. 2011, 66, 578–584. [Google Scholar] [CrossRef]
  39. Xu, Z.-Z.; Zhou, G.-S. Effects of water stress and nocturnal temperature on carbon allocation in the perennial grass, Leymus chinensis. Physiol. Plant. 2005, 123, 272–280. [Google Scholar] [CrossRef]
  40. Chen, J.; Zhu, R.; Xu, R.; Zhang, W.; Shen, Y.; Zhang, Y. Evaluation of Leymus chinensis quality using near-infrared reflectance spectroscopy with three different statistical analyses. Peer J. 2015, 3. [Google Scholar] [CrossRef] [PubMed]
  41. Chen, J. Comparison on Agronomic Traits and Nutritional Value of 20 Alfalfa Varieties in Different Soil Conditions. Master′s Thesis, Northeast Normal University, Changchun, China, 2017. (In Chinese). [Google Scholar]
  42. Saha, U.; Hancock, D.; Kissel, D. How Do We Calculate Relative Forage Quality in Georgia? Agricultural and Environmental Services Laboratories Cooperative Extension Service; University of Georgia: Athens, GA, USA, 2010; pp. 1–4. [Google Scholar]
  43. Saha, U.; Sonon, L.S.; Hancock, D.W.; Hill, N.S.; Stewart, L.; Heusner, G.L.; Kissel, D.E. Common Terms Used in Animal Feeding and Nutrition; The University of Georgia, College of Agriculture and Environmental Sciences: Athens, GA, USA, 2010; pp. 1–19. [Google Scholar]
  44. Medina-Meza, I.G.; Aluwi, N.A.; Saunders, S.R.; Ganjyal, G.M. GC–MS profiling of triterpenoid saponins from 28 quinoa varieties (Chenopodium quinoa Willd.) grown in Washington State. J. Agric. Food Chem. 2016, 64, 8583–8591. [Google Scholar] [CrossRef] [PubMed]
  45. Angeli, V.; Silva, P.M.; Massuela, D.C.; Khan, M.W.; Hamar, A.; Khajehei, F.; Graeff-Hönninger, S.; Piatti, C. Quinoa (Chenopodium quinoa Willd.): An Overview of the Potentials of the “Golden Grain” and Socio-Economic and Environmental Aspects of Its Cultivation and Marketization. Foods 2020, 9, 216. [Google Scholar] [CrossRef] [PubMed]
  46. Reguera, M.; Conesa, C.M.; Gil-Gómez, A.; Haros, C.M.; Pérez-Casas, M.Á.; Briones-Labarca, V.; Bolaños, L.; Bonilla, I.; Álvarez, R.; Pinto, K.; et al. The impact of different agroecological conditions on the nutritional composition of quinoa seeds. Peer J. 2018, 6, e4442. [Google Scholar] [CrossRef]
  47. De Santis, G.; D’Ambrosio, T.; Rinaldi, M.; Rascio, A. Heritabilities of morphological and quality traits and interrelationships with yield in quinoa (Chenopodium quinoa Willd.) genotypes in the Mediterranean environment. J. Cereal Sci. 2016, 70, 177–185. [Google Scholar] [CrossRef]
  48. Fuentes, F.; Bhargava, A. Morphological Analysis of Quinoa Germplasm Grown Under Lowland Desert Conditions. J. Agron. Crop. Sci. 2010, 197, 124–134. [Google Scholar] [CrossRef]
  49. Kaya, E.; Aydemir, S.K. Determining the forage yield, quality and nutritional element contents of quinoa cultivars and correlation analysis on these parameters. Pakistan J. Agric. Sci. 2020, 57, 311–317. [Google Scholar] [CrossRef]
  50. CAS. Chinese Agricultural Society. Saw. Available online: http://www.caass.org.cn/xbnxh/kjpj54/kjcgpj7/53220/index.html (accessed on 6 March 2020).
  51. Brady, K.; Ho, C.-T.; Rosen, R.T.; Sang, S.; Karwe, M.V. Effects of processing on the nutraceutical profile of quinoa. Food Chem. 2007, 100, 1209–1216. [Google Scholar] [CrossRef]
  52. Ahmad, S.; Jabbar, M.; Khalique, A.; Shahzad, F.; Ahmad, N.; Fiaz, M.; Younas, U. Effect of different levels of NDF on voluntary feed intake, dry matter digestibility and nutrients utilization in dry Nili Ravi buffaloes. JAPS 2014, 24, 1602–1605. [Google Scholar]
  53. Rana, A.S.; Ahmad, A.-U.-H.; Saleem, N.; Nawaz, A.; Hussian, T.; Saad, M. Differential response of sorghum cultivars for fodder yield and quality. J. Glob. Innov. Agric. Soc. Sci. 2014, 2, 6–10. [Google Scholar] [CrossRef]
  54. Graf, B.L.; Rojas-Silva, P.; Rojo, L.E.; Delatorre-Herrera, J.; Baldeón, M.E.; Raskin, I. Innovations in Health Value and Functional Food Development of Quinoa (Chenopodium quinoa Willd.). Compr. Rev. Food Sci. Food Saf. 2015, 14, 431–445. [Google Scholar] [CrossRef] [PubMed]
  55. Li, S.; Yang, Y.; Zhang, Q.; Liu, N.; Xu, Q.; Hu, L. Differential physiological and metabolic response to low temperature in two zoysiagrass genotypes native to high and low latitude. PLoS ONE 2018, 13, e0198885. [Google Scholar] [CrossRef] [PubMed]
  56. Rosa, M.; Prado, C.; Podazza, G.; Interdonato, R.; González, J.A.; Hilal, M.; Prado, F.E. Soluble sugars. Plant. Signal. Behav. 2009, 4, 388–393. [Google Scholar] [CrossRef]
  57. Zhang, X.; Ervin, E.H.; Labranche, A.J. Metabolic Defense Responses of Seeded Bermudagrass during Acclimation to Freezing Stress. Crop. Sci. 2006, 46, 2598–2605. [Google Scholar] [CrossRef]
  58. Lesjak, J.; Calderini, D.F. Increased Night Temperature Negatively Affects Grain Yield, Biomass and Grain Number in Chilean Quinoa. Front. Plant. Sci. 2017, 8. [Google Scholar] [CrossRef]
  59. Choukr-Allah, R.; Rao, N.K.; Hirich, A.; Shahid, M.; Alshankiti, A.; Toderich, K.; Gill, S.; Butt, K.U.R. Quinoa for Marginal Environments: Toward Future Food and Nutritional Security in MENA and Central Asia Regions. Front. Plant. Sci. 2016, 7. [Google Scholar] [CrossRef]
  60. Restrepo, L.A.M.; Vianchá, L.M.; Ballesteros, J.P. Análisis de variables estratégicas para la conformación de una cadena productiva de quinua en Colombia. INNOVAR 2005, 15, 103–119. [Google Scholar]
Figure 1. Comparison of alfalfa, oats and Leymus chinensis with quinoa at both the flowering and grain filling stages for quality traits including neutral detergent fiber (NDF) (A), acid detergent fiber (ADF) (B); crude protein (CP) (C) and relative feeding value (RFV) (D). Means followed by different letters are significantly different (p < 0.05).
Figure 1. Comparison of alfalfa, oats and Leymus chinensis with quinoa at both the flowering and grain filling stages for quality traits including neutral detergent fiber (NDF) (A), acid detergent fiber (ADF) (B); crude protein (CP) (C) and relative feeding value (RFV) (D). Means followed by different letters are significantly different (p < 0.05).
Agronomy 10 01908 g001
Table 1. The means and genotypic effects evaluated as the sum of squares type III from a combined analysis of variance (ANOVA) and significance (p) for shoot biomass, morphological traits, and chlorophyll content during grain filling for 15 quinoa genotypes.
Table 1. The means and genotypic effects evaluated as the sum of squares type III from a combined analysis of variance (ANOVA) and significance (p) for shoot biomass, morphological traits, and chlorophyll content during grain filling for 15 quinoa genotypes.
GenotypesShoot Biomass per Plant (g DW)Fresh/Dry Matter RatioLeaf/Stem RatioHeight (cm)Culm Thickness (mm)Branches per PlantChl (SPAD Readings)
Titicaca37.2 d10.46 f2.49 ab101.0 ab12.2 ab18.3 a61.8 abcde
Rainbow43.6 bcd7.57 cde3.02 b129.0 cde11.9 a19.7 ab72.2 de
Illpa56.7 bc5.40 a3.12 b97.7 a16.1 cde21.7 abcd57.9 abcd
ZQ176.1 a5.99 ab2.86 ab102.7 ab18.6 ef26.3 de57.8 abcd
ZQ253.9 abc7.19 bcde3.16 b133.3 cde14.0 abc22.3 abcd55.0 abc
ZQ351.5 abcd7.20 bcde4.29 c141.7 de15.6 cd24.7 bcde68.1 cde
ZQ448.5 abcd7.75 e2.48 ab122.3 abcd15.0 bcd22.3 abcd57.1 abcd
ZQ553.4 abc7.47 bcde2.68 ab123.0 abcd17.2 def25.7 cde66.9 bcde
ZQ638.7 cd7.74 e2.58 ab120.3 abcd13.9 abc22.3 abcd75.2 e
Mengli 160.5 b6.15 abcd2.51 ab129.7 cde14.6 abcd28.3 e59.3 abcde
YY2844.6 bcd7.69 de2.38 ab133.3 de16.8 cdef22.3 abcd60.7 abcde
JQ381.6 a5.44 a2.07 a144.0 de19.5 f26.0 cde50.8 ab
Tiaoli 154.0 abc7.62 cde2.28 ab153.3 e15.5 cd20.3 abc61.4 abcde
Nilu56.4 bc6.09 abc2.07 a124.0 bcd14.3 abc24.7 bcde53.2 abc
Longli 351.8 abcd7.27 bcde2.68 ab108.3 abc15.0 bcd25.7 cde46.6 a
Mean53.97.142.71124.715.323.360.3
Genotypes6188.4 ***65.73 ***12.73 ***11,780.1 ***185.1 ***329.2 ***2553.7 ***
Levels of significant are as follows: ***, p < 0.001. For each genotype values are the means of three replications. Means followed by different letters are significantly different (p < 0.05) according to Tukey’s-b test.
Table 2. Correlation coefficients among shoot biomass, morphological traits, chlorophyll content during anthesis, and grain weight per plant during maturity.
Table 2. Correlation coefficients among shoot biomass, morphological traits, chlorophyll content during anthesis, and grain weight per plant during maturity.
Shoot Biomass per PlantFresh/Dry Matter RatioHeightCulm ThicknessBranches per PlantChlorophyll Content
Fresh/dry matter ratio−0.786 ***
Height0.075−0.057
Culm thickness0.696 ***−0.555 ***0.183
Branches per plant0.528 ***−0.509 **0.0610.456 **
Chlorophyll content−0.425 **0.304 *0.094−0.280−0.274
Grain weight per plant−0.1770.2190.275−0.2100.009−0.105
Levels of significance are as follows: *, p < 0.05; **, p < 0.01 and ***, p < 0.001.
Table 3. Mean values combined with ANOVA for grain yield, yield components and days to maturity for 15 genotypes of quinoa planted in northeastern China.
Table 3. Mean values combined with ANOVA for grain yield, yield components and days to maturity for 15 genotypes of quinoa planted in northeastern China.
GenotypeGrain Weight per Plant (g)Thousand Grain Weight (g)Height (cm)Culm Thickness (mm)Branches per PlantInflorescence Length (cm)Days to Maturity (day)
Titicaca16.5 g2.86 f112.3 a7.62 ab9.67 abc29.7 a95
Rainbow27.5 j2.16 bcde131.0 bc8.27 bc8.67 ab47.7 cde102
Illpa1.7 a1.66 ab124.0 b13.37 f7.00 a62.7 g150
ZQ15.6 c1.73 abc134.7 bcd7.88 ab7.00 a44.7 cd109
ZQ22.6 a2.66 ef139.3 bcde10.45 e9.67 abc48.0 cde110
ZQ39.9 d2.26 cde158.7 f9.83 de11.00 bcd58.3 fg115
ZQ416.3 g1.80 abc138.0 bcde6.59 a11.33 bcd34.0 ab120
ZQ512.7 e1.56 a159.0 f10.33 e7.00 a59.0 fg112
ZQ63.7 b2.46 def152.7 ef8.43 bcd8.67 ab47.7 cde118
Mengli 125.4 i2.06 abcd151.0 def7.88 ab11.67 bcd41.0 bc120
YY2825.4 i1.73 abc147.0 cdef9.86 de9.67 abc49.0 cde111
JQ314.6 f1.76 abc159.0 f10.52 e10.67 abcd51.7 def115
Tiaoli 120.4 h2.16 bcde145.7 cdef9.83 de13.67 d54.7 efg120
Nilu16.4 g1.76 abc145.3 cdef7.24 ab11.67 bcd42.7 c122
Longli 326.8 j1.63 ab140.0 bcde9.75 cde13.00 cd42.0 bc115
Mean15.02.02141.19.1910.0247.5116
Genotypes3381.7 ***6.78 ***7506.6 ***124.7 ***186.31 ***3465.2 ***-
Levels of significance: ***, p < 0.001. For each genotype values are the means of three replications. Means followed by different letters are significantly different (p < 0.05) according to Tukey’s-b test.
Table 4. Genotypic correlation coefficients among five traits during the grain filling period.
Table 4. Genotypic correlation coefficients among five traits during the grain filling period.
Grain Weight per PlantThousand Grain WeightHeightCulm ThicknessBranches per Plant
Thousand grain weight−0.175
Height0.012−0.365 *
Culm thickness−0.328 *−0.2100.154
Branches per plant0.487 ***0.0920.186−0.244
Inflorescence length−0.333 *−0.2870.495 **0.771 ***−0.281
Levels of significance are as follows: *, p < 0.05; **, p < 0.01 and ***, p < 0.001.
Table 5. Mean, range and standard error of the mean (SEM), and the genotypic effect evaluated as the sum of squares type III from a combined analysis of variance for genotype (G) and significance (P) for nutritional forage quality between different sampling times (T) at anthesis and grain filling.
Table 5. Mean, range and standard error of the mean (SEM), and the genotypic effect evaluated as the sum of squares type III from a combined analysis of variance for genotype (G) and significance (P) for nutritional forage quality between different sampling times (T) at anthesis and grain filling.
Forage Quality TraitsAnthesisGrain fillingTT × G
MeanRangeSEMGMeanRangeSEMG
NDF (%)32.730.8–39.10.576178.2 **36.733.2–40.70.907335.4*****
ADF (%)21.417.5–26.80.546193.7 ***25.221.8–30.60.779253.1******
CP (%)24.321.5–26.90.47681.823.019.5–26.70.630231.2 **nsns
WSCs (mg g−1)26.419.5–38.41.258711.731.925.2–49.11.4541292.0 ******
RFV207.8162.2–225.75.31615,438.1 **179.4149.9–273.36.85717,701.5******
Saponin content (mg g−1)6.233.82–9.860.31082.7 ***4.303.20–6.300.17626.7 *********
Levels of significance: ns, not significant, *, p ≤ 0.05; **, p ≤ 0.01; ***, p ≤ 0.001. Neutral Detergent Fiber (NDF), Acid Detergent Fiber (ADF), Crude Protein content (CP), Water Soluble Carbohydrates (WSCs), Relative Feed Value (RFV) and saponin content.
Table 6. The correlation coefficients between different nutritional quality traits at anthesis and grain filling in quinoa.
Table 6. The correlation coefficients between different nutritional quality traits at anthesis and grain filling in quinoa.
NDFADFCPWSCRFVSaponinShoot Biomass
AnthesisADF0.566 **
CP−0.141−0.416 *
WSCs−0.125−0.287−0.052
RFV−0.975 **−0.706 **0.2080.183
Saponin content0.031−0.177−0.415 *0.556 **0.034
Shoot biomass−0.020.1810.169−0.15−0.041−0.27
Grain weight−0.502 **−0.582 **−0.1490.419 *0.545 **0.651 **−0.155
Grain fillingADF0.708 **
CP−0.600 **−0.631 **
WSCs0.1000.301−0.331
RFV−0.966 **−0.796 **0.615 **−0.132
Saponin−0.0590.152−0.377 *0.637 **−0.012
Shoot biomass0.005−0.1840.380 *−0.0590.015−0.156
Grain Yield at maturity−0.170.078−0.2890.456 *0.1480.269−0.155
Neutral Detergent Fiber (NDF); Acid Detergent Fiber (ADF); Crude Protein content (CP); Water Soluble Carbohydrates (WSCs); Relative Feed Value (RFV); Shoot biomass per plant at grain filling (shoot biomass); Grain weight per plant at maturity (grain weight). Levels of significance are as follows: * p < 0.05 and ** p < 0.01.
Publisher’s Note: MDPI stays neutral with regard to jurisdictional claims in published maps and institutional affiliations.

Share and Cite

MDPI and ACS Style

Shah, S.S.; Shi, L.; Li, Z.; Ren, G.; Zhou, B.; Qin, P. Yield, Agronomic and Forage Quality Traits of Different Quinoa (Chenopodium quinoa Willd.) Genotypes in Northeast China. Agronomy 2020, 10, 1908. https://doi.org/10.3390/agronomy10121908

AMA Style

Shah SS, Shi L, Li Z, Ren G, Zhou B, Qin P. Yield, Agronomic and Forage Quality Traits of Different Quinoa (Chenopodium quinoa Willd.) Genotypes in Northeast China. Agronomy. 2020; 10(12):1908. https://doi.org/10.3390/agronomy10121908

Chicago/Turabian Style

Shah, Syed Sadaqat, Lianxuan Shi, Zhijian Li, Guixing Ren, Bangwei Zhou, and Peiyou Qin. 2020. "Yield, Agronomic and Forage Quality Traits of Different Quinoa (Chenopodium quinoa Willd.) Genotypes in Northeast China" Agronomy 10, no. 12: 1908. https://doi.org/10.3390/agronomy10121908

APA Style

Shah, S. S., Shi, L., Li, Z., Ren, G., Zhou, B., & Qin, P. (2020). Yield, Agronomic and Forage Quality Traits of Different Quinoa (Chenopodium quinoa Willd.) Genotypes in Northeast China. Agronomy, 10(12), 1908. https://doi.org/10.3390/agronomy10121908

Note that from the first issue of 2016, this journal uses article numbers instead of page numbers. See further details here.

Article Metrics

Back to TopTop