Optimizing the Electrical Conductivity of a Nutrient Solution for Plant Growth and Bioactive Compounds of Agastache rugosa in a Plant Factory
Abstract
1. Introduction
2. Materials and Methods
2.1. Plant Materials and Seedlings
2.2. Electrical Conductivity Experiment and Growth Conditions
- EC0.5 dS·m−1: diluted Hoagland nutrient solutions A (62.5 mL) and B (62.5 mL) in 50 liters deionized water;
- EC1.0 dS·m−1: diluted Hoagland nutrient solutions A (125 mL) and B (125 mL) in 50 liters deionized water;
- EC2.0 dS·m−1: diluted Hoagland nutrient solutions A (250 mL) and B (250 mL) in 50 liters deionized water;
- EC4.0 dS·m−1: diluted Hoagland nutrient solutions A (500 mL) and B (500 mL) in 50 liters deionized water;
- EC6.0 dS·m−1: diluted Hoagland nutrient solutions A (750 mL) and B (750 mL) in 50 liters deionized water;
- EC8.0 dS·m−1: diluted Hoagland nutrient solutions A (1000 mL) and B (1000 mL) in 50 liters deionized water.
2.3. Measurement of Growth Parameters
2.4. Relative Chlorophyll Value and Chlorophyll Fluorescence (Fv/Fm) Measurement
2.5. Leaf Gas Exchange Measurement
2.6. Analysis of Acacetin, Tilianin, and Rosmarinic Acid Concentrations and Contents
2.7. Statistical Analysis
3. Results
3.1. Plant Growth Parameters
3.2. Relative Chlorophyll Value and Chlorophyll Fluorescence (Fv/Fm)
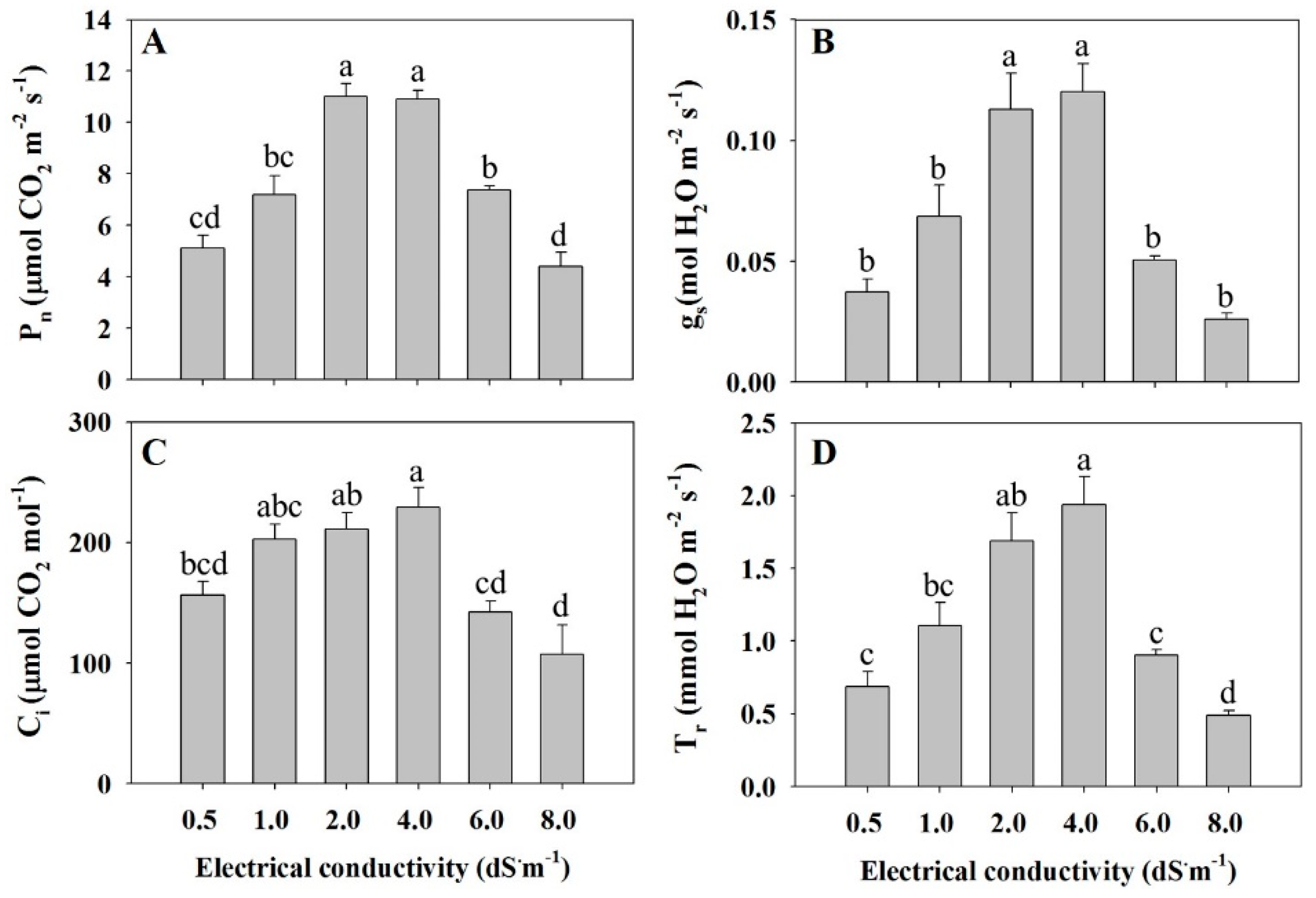
3.3. Leaf Gas Exchange Parameters
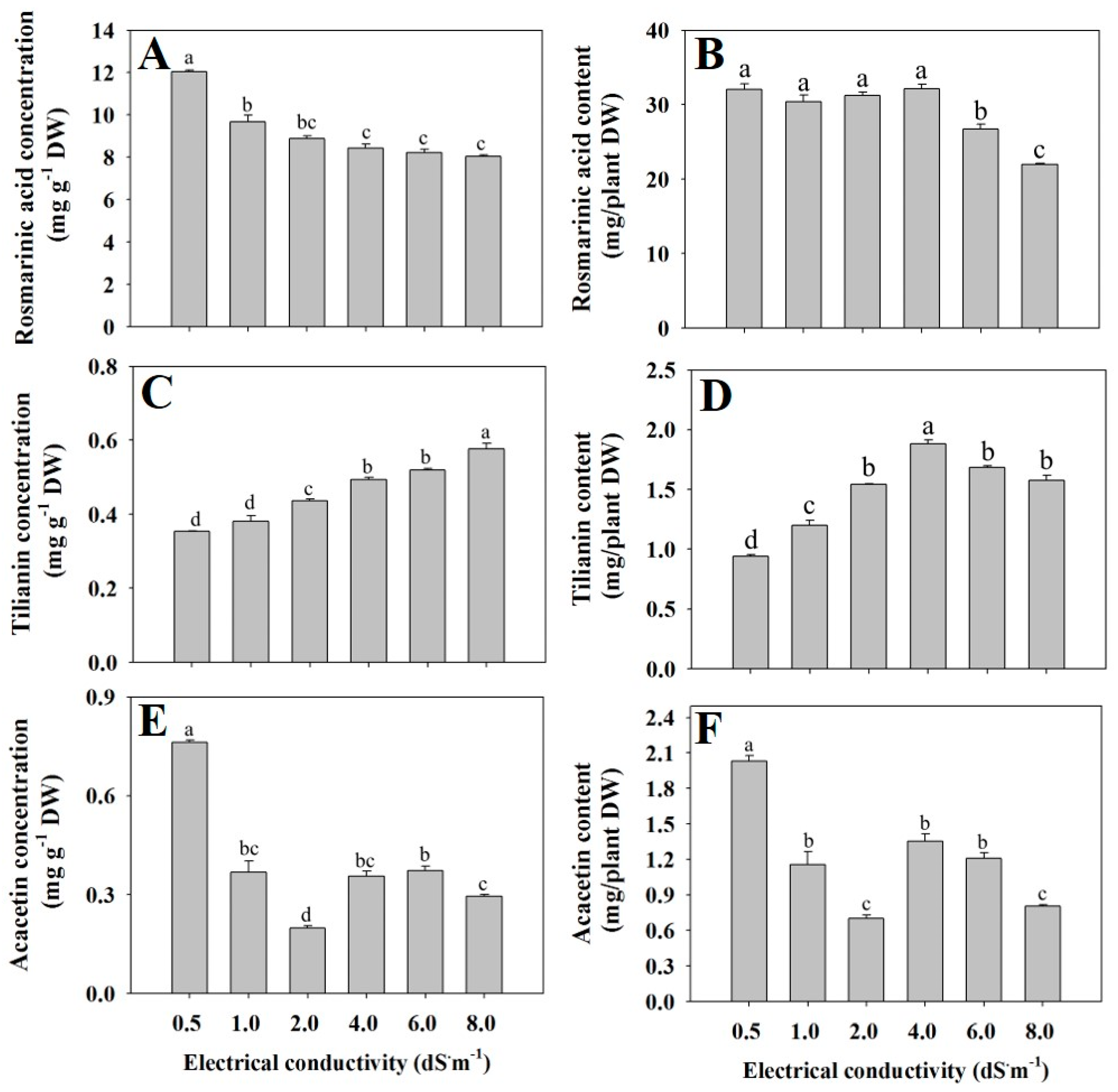
3.4. Acacetin, Tilianin, and Rosmarinic Acid Concentrations and Contents
4. Discussion
4.1. Plant Growth Parameters
4.2. Relative Chlorophyll Value and Chlorophyll Fluorescence (Fv/Fm)
4.3. Leaf Gas Exchange Parameters
4.4. Acacetin, Tilianin, and Rosmarinic Acid Concentrations and Contents
5. Conclusions
Author Contributions
Funding
Conflicts of Interest
References
- Zielinska, S.; Matkowski, A. Phytochemistry and bioactivity of aromatic and medicinal plants from the genus Agastache (Lamiaceae). Phytochem. Rev. 2014, 13, 391–416. [Google Scholar] [CrossRef] [PubMed]
- Guo, K.J.; Xu, S.F.; Yin, P.; Wang, W.; Song, X.Z.; Liu, F.H.; Xu, J.Q.; Zoccarato, I. Active components of common traditional Chinese medicine decoctions have antioxidant functions. J. Anim. Sci. 2011, 89, 3107–3115. [Google Scholar] [CrossRef] [PubMed]
- Lee, S.Y.; Xu, H.; Kim, Y.K.; Park, S.U. Rosmarinic acid production in hairy root cultures of Agastache rugosa Kuntze. World J. Microbiol. Biotechnol. 2008, 24, 969–972. [Google Scholar] [CrossRef]
- Kim, Y.B.; Kim, J.K.; Uddin, M.R.; Xu, H.; Park, W.T.; Tuan, P.A.; Li, X.; Chung, E.; Lee, J.H.; Park, S.U. Metabolomics analysis and biosynthesis of rosmarinic acid in Agastache rugosa Kuntze treated with methyl jasmonate. PLoS ONE 2013, 8, e64199. [Google Scholar] [CrossRef] [PubMed]
- Tuan, P.A.; Park, W.T.; Xu, H.; Park, N.I.; Park, S.U. Accumulation of tilianin and rosmarinic acid and expression of phenylpropanoid biosynthetic genes in Agastache rugosa. J. Agric. Food Chem. 2012, 60, 5945–5951. [Google Scholar] [CrossRef]
- Wei, J.F.; Cao, P.R.; Wang, J.M.; Kang, W.Y. Analysis of tilianin and acacetin in Agastache rugosa by high-performance liquid chromatography with ionic liquids-ultrasound based extraction. Chem. Cent. J. 2016, 10, 76. [Google Scholar] [CrossRef]
- Akanda, M.R.; Uddin, M.N.; Kim, I.S.; Ahn, D.; Tae, H.J.; Park, B.Y. The biological and pharmacological roles of polyphenol flavonoid tilianin. Eur. J. Pharmacol. 2019, 842, 291–297. [Google Scholar] [CrossRef]
- Ding, X.T.; Jiang, Y.P.; Zhao, H.; Guo, D.D.; He, L.Z.; Liu, F.G.; Zhou, Q.; Nandwani, D.; Hui, D.F.; Yu, J.Z. Electrical conductivity of nutrient solution influenced photosynthesis, quality, and antioxidant enzyme activity of pakchoi (Brassica campestris L. ssp Chinensis) in a hydroponic system. PLoS ONE 2018, 13, e0202090. [Google Scholar]
- Lu, N.; Bernardo, E.L.; Tippayadarapanich, C.; Takagaki, M.; Kagawa, N.; Yamori, W. Growth and accumulation of secondary metabolites in perilla as affected by photosynthetic photon flux density and electrical conductivity of the nutrient solution. Front. Plant Sci. 2017, 8, 708. [Google Scholar] [CrossRef]
- Kozai, T.; Niu, G.; Takagaki, M. Plant factory as a resource-efficient closed plant production system. In An Indoor Vertical Farming System for Efficient Quality Food Production; Academic Press: Cambridge, MA, USA, 2015; pp. 69–90. [Google Scholar]
- Signore, A.; Serio, F.; Santamaria, P. A targeted management of the nutrient solution in a soilless tomato crop according to plant needs. Front. Plant Sci. 2016, 7, 391. [Google Scholar] [CrossRef]
- Park, S.Y.; Oh, S.B.; Kim, S.M.; Cho, Y.Y.; Oh, M.M. Evaluating the effects of a newly developed nutrient solution on growth, antioxidants, and chicoric acid contents in Crepidiastrum denticulatum. Hortic. Environ. Biotechnol. 2016, 57, 478–486. [Google Scholar] [CrossRef]
- Wu, M.; Kubota, C. Effects of high electrical conductivity of nutrient solution and its application timing on lycopene, chlorophyll and sugar concentrations of hydroponic tomatoes during ripening. Sci. Hortic. 2008, 116, 122–129. [Google Scholar] [CrossRef]
- Cho, Y.Y.; Cha, M.K.; Ku, Y.G.; Kim, H.C.; Bae, J.H. Effect of different culture nutrient solution EC on carrot top growth and nutritional contents in a closed-type plant factory system. Hortic. Sci. Technol. 2018, 36, 37–45. [Google Scholar]
- Albornoz, F.; Lieth, J.H. Over fertilization limits lettuce productivity because of osmotic stress. Chil. J. Agric. Res. 2015, 75, 284–290. [Google Scholar] [CrossRef]
- Pecanha, A.L.; da Silva, J.R.; Rodrigues, W.P.; Ferraz, T.M.; Netto, A.T.; Lima, R.S.N.; Lopes, T.S.; Ribeiro, M.S.; de Deus, B.C.D.; do Couto, T.R.; et al. Leaf gas exchange and growth of two papaya (Carica papaya L.) genotypes are affected by elevated electrical conductivity of the nutrient solution. Sci. Hortic. 2017, 218, 230–239. [Google Scholar]
- Amalfitano, C.; Del Vacchio, L.; Somma, S.; Cuciniello, A.; Caruso, G. Effects of cultural cycle and nutrient solution electrical conductivity on plant growth, yield and fruit quality of ’Friariello’ pepper grown in hydroponics. Hortic. Sci. 2017, 44, 91–98. [Google Scholar]
- Degl’Innocenti, E.; Hafsi, C.; Guidi, L.; Navari-Izzo, F. The effect of salinity on photosynthetic activity in potassium-deficient barley species. J. Plant Physiol. 2009, 166, 1968–1981. [Google Scholar] [CrossRef]
- Rout, G.R.; Sahoo, S. Role of iron in plant growth and metabolism. Rev. Agric. Sci. 2015, 3, 1–24. [Google Scholar] [CrossRef]
- Guo, W.L.; Nazim, H.; Liang, Z.S.; Yang, D.F. Magnesium deficiency in plants: An urgent problem. Crop J. 2016, 4, 83–91. [Google Scholar] [CrossRef]
- Xu, C.P.; Mou, B.Q. Responses of spinach to salinity and nutrient deficiency in growth, physiology, and nutritional value. J. Am. Soc. Hort. Sci. 2016, 141, 12–21. [Google Scholar] [CrossRef]
- Shah, S.H.; Houborg, R.; McCabe, M.F. Response of chlorophyll, carotenoid and SPAD-502 measurement to salinity and nutrient stress in sheat (Triticum aestivum L.). Agronomy 2017, 7, 61. [Google Scholar] [CrossRef]
- Garriga, M.; Retamales, J.B.; Romero-Bravo, S.; Caligari, P.D.S.; Lobos, G.A. Chlorophyll, anthocyanin, and gas exchange changes assessed by spectroradiometry in Fragaria chiloensis under salt stress. J. Integr. Plant Biol. 2014, 56, 505–515. [Google Scholar] [CrossRef]
- Ni, J.; Mao, H.; Ma, W. Effect of different electrical conductivity on photosynthetic characteristics of cucumber leaves in greenhouse. Trans. Chin. Soc. Agric. Eng. 2011, 27, 277–281. [Google Scholar]
- Zhang, L.; Shangguan, Z.; Mao, M.; Yu, G. Effects of long-term application of nitrogen fertilizer on leaf chlorophyll fluorescence of upland winter wheat. J. Appl. Ecol. 2003, 14, 695–698. [Google Scholar]
- Zhao, D.L.; Reddy, K.R.; Kakani, V.G.; Reddy, V.R. Nitrogen deficiency effects on plant growth, leaf photosynthesis, and hyperspectral reflectance properties of sorghum. Eur. J. Agron. 2005, 22, 391–403. [Google Scholar] [CrossRef]
- Jia, W.S.; Wang, Y.Q.; Zhang, S.Q.; Zhang, J.H. Salt-stress-induced ABA accumulation is more sensitively triggered in roots than in shoots. J. Exp. Bot. 2002, 53, 2201–2206. [Google Scholar] [CrossRef]
- Yan, K.; Chen, P.; Shao, H.; Zhao, S.; Zhang, L.; Zhang, L.; Xu, G.; Sun, J. Responses of photosynthesis and photosystem II to higher temperature and salt stress in sorghum. J. Agron. Crop Sci. 2012, 198, 218–226. [Google Scholar] [CrossRef]
- Sun, Y.; Guo, H.; Yuan, L.; Wei, J.; Zhang, W.; Ge, F. Plant stomatal closure improves aphid feeding under elevated CO2. Glob. Chang. Biol. 2015, 21, 2739–2748. [Google Scholar] [CrossRef]
- Albornoz, F.; Lieth, J.H.; Gonzalez-Fuentes, J.A. Effect of different day and night nutrient solution concentrations on growth, photosynthesis, and leaf NO3− content of aeroponically grown lettuce. Chil. J. Agric. Res. 2014, 74, 240–245. [Google Scholar] [CrossRef]
- Boussadia, O.; Steppe, K.; Zgallai, H.; El Hadj, S.B.; Braham, M.; Lemeur, R.; Van Labeke, M.C. Effects of nitrogen deficiency on leaf photosynthesis, carbohydrate status and biomass production in two olive cultivars ‘Meski’ and ‘Koroneiki’. Sci. Hortic. 2010, 123, 336–342. [Google Scholar] [CrossRef]
- Desta, K.T.; Kim, G.S.; Kim, Y.H.; Lee, W.S.; Lee, S.J.; Jin, J.S.; Abd El-Aty, A.M.; Shin, H.C.; Shim, J.H.; Shin, S.C. The polyphenolic profiles and antioxidant effects of Agastache rugosa Kuntze (Banga) flower, leaf, stem and root. Biomed. Chromatogr. 2016, 30, 225–231. [Google Scholar] [CrossRef] [PubMed]
- Adomako-Bonsu, A.G.; Chan, S.L.F.; Pratten, M.; Fry, J.R. Antioxidant activity of rosmarinic acid and its principal metabolites in chemical and cellular systems: Importance of physico-chemical characteristics. Toxicol. In Vitro 2017, 40, 248–255. [Google Scholar] [CrossRef] [PubMed]
- Fritz, C.; Palacios-Rojas, N.; Feil, R.; Stitt, M. Regulation of secondary metabolism by the carbon-nitrogen status in tobacco: Nitrate inhibits large sectors of phenylpropanoid metabolism. Plant J. 2006, 46, 533–548. [Google Scholar] [CrossRef] [PubMed]
- Chen, Y.H.; Guo, Q.S.; Liu, L.; Liao, L.; Zhu, Z.B. Influence of fertilization and drought stress on the growth and production of secondary metabolites in Prunella vulgaris L. J. Med. Plants Res. 2011, 5, 1749–1755. [Google Scholar]
- Chishaki, N.; Horiguchi, T. Responses of secondary metabolism in plants to nutrient deficiency. Soil Sci. Plant Nutr. 1997, 43, 987–991. [Google Scholar] [CrossRef]
- Galieni, A.; Di Mattia, C.; De Gregorio, M.; Speca, S.; Mastrocola, D.; Pisante, M.; Stagnari, F. Effects of nutrient deficiency and abiotic environmental stresses on yield, phenolic compounds and antiradical activity in lettuce (Lactuca sativa L.). Sci. Hortic. 2015, 187, 93–101. [Google Scholar] [CrossRef]
- Kiferle, C.; Maggini, R.; Pardossi, A. Influence of nitrogen nutrition on growth and accumulation of rosmarinic acid in sweet basil (Ocimum basilicum L.) grown in hydroponic culture. Aust. J. Crop Sci. 2013, 7, 321–327. [Google Scholar]
- Acosta-Motos, J.R.; Alvarez, S.; Barba-Espin, G.; Hernandez, J.A.; Sanchez-Blanco, M.J. Salts and nutrients present in regenerated waters induce changes in water relations, antioxidative metabolism, ion accumulation and restricted ion uptake in Myrtus communis L. plants. Plant Physiol. Biochem. 2014, 85, 41–50. [Google Scholar] [CrossRef]
- Rezazadeh, A.; Ghasemnezhad, A.; Barani, M.; Telmadarrehei, T. Effect of salinity on phenolic composition and antioxidant activity of artichoke (Cynara scolymus L.) leaves. Res. J. Med. Plants 2012, 6, 245–252. [Google Scholar] [CrossRef]
- Krauss, S.; Schnitzler, W.H.; Grassmann, J.; Woitke, M. The influence of different electrical conductivity values in a simplified recirculating soilless system on inner and outer fruit quality characteristics of tomato. J. Agric. Food Chem. 2006, 54, 441–448. [Google Scholar] [CrossRef]
- Radušienė, J.; Marksa, M.; Ivanauskas, L.; Jakštas, V.; Çalişkan, Ö.; DursunKurt; Odabaş, M.S.; Çirakd, C. Effect of nitrogen on herb production, secondary metabolites andantioxidant activities of Hypericum pruinatumunder nitrogen application. Ind. Crop Prod. 2019, 139, 111519. [Google Scholar]
- Hernandez, J.A.; Olmos, E.; Corpas, F.J.; Sevilla, F.; Delrio, L.A. Salt-induced oxidative stress in chloroplasts of pea-plants. Plant Sci. 1995, 105, 151–167. [Google Scholar] [CrossRef]



| ECw (dS·m−1) | Leaf Length (cm) | Leaf Width (cm) | Number of Leaves | Leaf Area (cm2) | Stem Length (cm) | SFW (g/plant) | RFW (g/plant) | Root Length (cm) | SDW (g/plant) | RDW (g/plant) |
|---|---|---|---|---|---|---|---|---|---|---|
| 0.5 | 9.23 ± 0.29 ab | 8.28 ± 0.25 ab | 71.33 ± 4.09 ab | 739.07 ± 43.95 abc | 37.27 ± 0.42 cd | 20.77 ± 1.38 bc | 8.94 ± 0.78 bc | 40.32 ± 1.28 cd | 2.40 ± 0.11 bc | 0.55 ± 0.05 cd |
| 1.0 | 9.08 ± 0.30 ab | 8.77 ± 0.29 a | 75.00 ± 1.71 ab | 841.33 ± 53.71 ab | 40.28 ± 0.69 bc | 24.04 ± 1.61 ab | 10.89 ± 0.66b c | 45.80 ± 1.27 bc | 2.58 ± 0.15a bc | 0.61 ± 0.02 bc |
| 2.0 | 9.72 ± 0.31 a | 8.87 ± 0.16 a | 74.67 ± 3.79 ab | 838.07 ± 56.59 ab | 41.87 ± 0.52 ab | 24.66 ± 1.22 ab | 14.61 ± 1.29 a | 54.47 ± 2.26 a | 2.79 ± 0.18 ab | 0.73 ± 0.03 ab |
| 4.0 | 9.32 ± 0.25 a | 8.45 ± 0.25 a | 84.50 ± 4.55 a | 921.88 ± 52.22 a | 43.05 ± 0.31 a | 26.89 ± 1.57 a | 15.29 ± 1.03 a | 48.21 ± 1.01 ab | 3.07 ± 0.14 a | 0.74 ± 0.03 a |
| 6.0 | 8.13 ± 0.18 bc | 7.52 ± 0.17 b | 67.17 ± 3.20 b | 685.25 ± 26.78 bc | 38.28 ± 0.60 cd | 23.44 ± 0.39 ab | 12.34 ± 0.38 ab | 44.45 ± 1.35 bc | 2.57 ± 0.04 abc | 0.61 ± 0.01 bc |
| 8.0 | 7.73 ± 0.18 c | 7.42 ± 0.09 b | 68.00 ± 2.72 b | 611.75 ± 24.95 c | 34.83 ± 0.50 e | 17.94 ± 0.92 c | 8.39 ± 0.73 c | 36.87 ± 1.30 d | 2.24 ± 0.07 c | 0.48 ± 0.02 d |
| Significance z | *** | *** | * | *** | *** | *** | *** | *** | ** | *** |
| L y | *** | *** | NS | ** | ** | NS | NS | * | NS | NS |
| Q x | *** | *** | * | *** | *** | *** | *** | *** | *** | *** |
| ECw (dS·m−1) | RA Concentration in Plant Organs (mg g−1 DW) | Tilianin Concentration in Plant Organs (mg g−1 DW) | Acacetin Concentration in Plant Organs (mg g−1 DW) | |||||||||
|---|---|---|---|---|---|---|---|---|---|---|---|---|
| Leaves | Flowers | Stems | Roots | Leaves | Flowers | Stems | Roots | Leaves | Flowers | Stems | Roots | |
| 0.5 | 3.566 a | 4.735 | 3.992 de | 21.141 a | 0.667 c | 3.294 c | 0.962 ab | 0.056 b | 0.059 b | 0.199 d | 0.019 b | ND |
| 1.0 | 3.231 a | 4.687 | 6.722 a | 15.752 b | 0.639 c | 4.971 b | 1.062 a | 0.134 a | 0.011 d | 0.327 c | 0.012 cd | ND |
| 2.0 | 2.232 b | 4.401 | 6.064 b | 17.013 b | 0.969 b | 5.108 b | 0.938 ab | 0.046 d | 0.169 a | 0.232 d | 0.013 c | ND |
| 4.0 | 1.510 c | 3.425 | 3.507 e | 10.163 c | 1.273 a | 5.795 a | 0.762 c | 0.032 f | 0.008 d | 0.344 c | 0.010 d | ND |
| 6.0 | 1.436 c | 3.658 | 5.180 c | 12.122 c | 1.289 a | 5.913 a | 0.857 bc | 0.052 c | 0.028 c | 0.555 a | 0.019 b | ND |
| 8.0 | 1.909 bc | 3.944 | 4.510 d | 10.389 c | 1.470 a | 5.837 a | 1.050 a | 0.037 e | 0.013 d | 0.492 b | 0.026 a | ND |
| Significance z | *** | NS | *** | *** | *** | *** | *** | *** | *** | *** | *** | ND |
| L y | *** | * | NS | *** | *** | *** | NS | * | NS | *** | ** | ND |
| Q x | *** | * | NS | *** | *** | *** | *** | NS | NS | *** | *** | ND |
© 2020 by the authors. Licensee MDPI, Basel, Switzerland. This article is an open access article distributed under the terms and conditions of the Creative Commons Attribution (CC BY) license (http://creativecommons.org/licenses/by/4.0/).
Share and Cite
Lam, V.P.; Kim, S.J.; Park, J.S. Optimizing the Electrical Conductivity of a Nutrient Solution for Plant Growth and Bioactive Compounds of Agastache rugosa in a Plant Factory. Agronomy 2020, 10, 76. https://doi.org/10.3390/agronomy10010076
Lam VP, Kim SJ, Park JS. Optimizing the Electrical Conductivity of a Nutrient Solution for Plant Growth and Bioactive Compounds of Agastache rugosa in a Plant Factory. Agronomy. 2020; 10(1):76. https://doi.org/10.3390/agronomy10010076
Chicago/Turabian StyleLam, Vu Phong, Sung Jin Kim, and Jong Seok Park. 2020. "Optimizing the Electrical Conductivity of a Nutrient Solution for Plant Growth and Bioactive Compounds of Agastache rugosa in a Plant Factory" Agronomy 10, no. 1: 76. https://doi.org/10.3390/agronomy10010076
APA StyleLam, V. P., Kim, S. J., & Park, J. S. (2020). Optimizing the Electrical Conductivity of a Nutrient Solution for Plant Growth and Bioactive Compounds of Agastache rugosa in a Plant Factory. Agronomy, 10(1), 76. https://doi.org/10.3390/agronomy10010076
