Abstract
Bio-activated organic fertilizers (BOZ) were produced by enriching the zinc oxide (ZnO)-orange peel waste composite with Zn solubilizing bacteria (ZSB: Bacillus sp. AZ6) in various formulations (BOZ1 (9:1), BOZ2 (8:2), BOZ3 (7:3) and BOZ4 (6:4)). The produced BOZs, along with ZnO, ZnSO4, ZSB were applied to maize crop (Zea mays L.) under field conditions in two different cropping season and the growth, yield, physiology, plant Zn contents and quality of maize were investigated. Results revealed significant variation in the aforementioned parameters with the applied amendments. The BOZ4 performed outclass by exhibiting the highest plant growth, yield, physiology, Zn contents, and quality. On average, an increase of 53%, 49%, 19%, 22%, 10%, 4%, and 30% in plant height was noticed with BOZ4 application over control, ZnO, ZnSO4, BOZ1, BOZ2, BOZ3, and ZSB, respectively. BOZ4 enhanced the dry shoot-biomass 46% than control. Likewise, the photosynthetic rate, transpiration rate, stomatal conductance, chlorophyll contents, carotenoids, and carbonic anhydrase activity were increased by 47%, 42%, 45%, 57%, 17%, and 44%, respectively, under BOZ4 over control in both cropping seasons. However, BOZ4 reduced the electrolyte leakage by 38% as compared to control in both cropping seasons. BOZ4 increased the Zn contents of grain and shoot by 46% and 52%, respectively, while reduced the phytate contents by 73% as compared to control. Application of BOZ4 revealed highest average fat (4.79%), crude protein (12.86%), dry matter (92.03%), fiber (2.87%), gluten (11.925%) and mineral (1.53%) contents, as compared to control. In general, the impact of cropping seasons on maize growth, yield, physiology, Zn contents, and quality were non-significant (with few exceptions). Thus, bio-activation of ZnO with ZSB could serve as an efficient and economical strategy for boosting up the growth, yield, physiological, and quality parameters of maize under field conditions.
Keywords:
Bacillus sp.; cereals; Zn bio-activation; orange peel waste; Zn solubilizing bacteria; ZnO 1. Introduction
Zinc (Zn) is a necessary plant micronutrient owing to its substantial role in catalyzing several metabolic reactions in plants. It is an indispensable cofactor in thousands of proteins in a biological system and involved in triggering of ˃300 enzymes [1]. It is needed to accomplish various essential processes in plants including resistance against environmental stresses, photosynthesis, metabolism of nitrogen and carbohydrates, cell membrane integrity, synthesis and formation of proteins and pollen, regulation of auxin, and production of antioxidant enzymes [2,3,4,5].
Despite the essential role in many plant processes, Zn deficiency in soil is posing a severe risk for sustainable agriculture worldwide. Several agricultural soils are lacking in labile Zn around the globe [2,6,7]. Extensive Zn deficiency in soil is considered as a major cause for the declined crop yields worldwide [8]. Additionally, in humans, Zn is the fourth deficient micronutrient after vitamin A, iron (Fe), and iodine (I) [6,9,10]. Consequently, its deficiency ranked fifth in causing disorder and death in humans in developing countries [11].
Human Zn malnutrition is primarily linked with deficiency of Zn in soils. The main factors contributing to the reduced bioavailability of Zn in soils are high pH, calcite, bicarbonates, salt contents, low total Zn and organic matter contents, calcareous and clayey nature of soils [6]. High salt concentration, waterlogging, less manure use and fixation in soil matrix also lead to Zn deficiency, consequently affecting several dynamic processes happening inside plants [12,13,14,15,16]. Therefore, researchers around the globe are focusing on developing efficient and cost-effective Zn fertilizers to enhance Zn phytoavailability and subsequent bioavailability.
Various mineral and organic fertilizers are being used by the farmers to overcome Zn deficiency in soils. For instance, zinc sulfate (ZnSO4) is often applied to increase Zn availability and crop yield. However, the major drawback of its application is the poor fertilizer use efficiency owing to its quick fixation via reacting with soil matrix resulting in unavailability to the growing plants [17]. Conversely, zinc oxide (ZnO) contains about 80% Zn is a reasonably inexpensive source of Zn as compared to ZnSO4. However, ZnO is relatively less soluble [2,18]. Thus, enhancing the solubility of ZnO may result in developing an efficient and cheap Zn fertilizer.
During recent years, inoculation with plant growth-promoting microorganisms has emerged as a novel and environment-friendly approach for improving the soil nutrient availability [19,20,21]. Such microorganisms are capable of producing metabolites that reduce soil pH resulting in an increase in bioavailability of nutrients to the plants. Generally, a minor alteration in soil pH has a significant impact on the release of different micronutrients in the soil. For example, Havlin et al. [22] stated that Zn bioavailability declines a hundred-times with a one-unit increase in pH and vice versa. In this scenario, some plant growth-promoting bacterial strains of Bacillus and Pseudomonas genera were reported as prospective candidates for mobilization of soil Zn as well as capacity to solubilize ZnO and zinc carbonate (ZnCO3), making them economically efficient sources in soil system [23,24,25]. Such bacteria may benefit the plants not only by increasing the bioavailability of Zn to plants but also through different other mechanisms including the production of phytohormones, biological N2 fixation, enhancing plant stress tolerance and acting as a biocontrol agent [26,27,28,29]. Therefore, Zn in plants could be enhanced through improving its bioavailability by inoculation with such types of bacteria [30]. In parallel to plant growth-promoting microorganism’s inoculation for improving nutrients availability in soils, organic matter application is also considered important for enhancing nutrient mobility as well as microbial activity in agricultural lands [31,32]. Various types of organic amendments are used to increase soil health, fertility, microbial biomass, soil enzymatic activities, and ultimately crop yields [31,32]. Therefore, it was hypothesized that integrating Zn solubilizing bacteria (ZSB), organic waste material and ZnO, could serve as a promising approach to increase plant growth and productivity. In this context, the present study was conducted to produce different formulations of bio-activated organic fertilizers via enriching the ZnO-organic waste material (orange peel waste) composite with ZSB. The effects of thus produced amendments along with ZnO, ZSB (Bacillus sp. AZ6), and ZnSO4 on the Zea mays L. physiology, growth, yield, and grain quality were investigated under field condition in two different cropping seasons.
2. Materials and Methods
2.1. Collection of Bacterial Strain and Production of Zn Solubilizing Bacteria Enriched Bio-Organic Fertilizers
A pre-isolated bacterial strain Bacillus sp. AZ6 Accession No. KT221633 [28] having the ability to solubilize zinc, produce auxin, siderophores, organic acids and showed 1-aminocyclopropane-1-carboxylate (ACC)-deaminase activity was obtained from the Gene Bank of Environment Sciences Laboratory, Institute of Soil & Environmental Sciences (ISES), University of Agriculture, Faisalabad (UAF), Pakistan. Bio-activated zinc was formulated following the method described by Hussain et al. [25,33]. Locally collected organic material was inoculated with pre-isolated Zn solubilizing bacterium Bacillus sp. AZ6 culture at 90:10 ratios and retained in the incubator at 28 ± 2 °C for 3 days. For the production of Zn solubilizing bacteria enriched bio-organic fertilizers (BOZ), the powdered zinc oxide (ZnO) was mixed into the inoculated orange peel waste with various ratios to obtain different formulations, i.e., BOZ1 (9:1), BOZ2 (8:2), BOZ3 (7:3), and BOZ4 (6:4). The prepared formulations were further stored at 28 ± 2 °C for 3 days to achieve maximum chelation of the Zn with the AZ6 population [25,33]. Total zinc in all the four bio-activated zinc products (BOZ1, BOZ2, BOZ3 & BOZ4) was 4.91 kg ha−1. The pH of all the bio-activated zinc products was BOZ1 5.1; BOZ2 5.1; BOZ3 4.9 & BOZ4 4.8 [33]. Different formulations contain different amounts of organic material and ZnO, so application rates are BOZ1 6.80 kg ha−1; BOZ2 7.65 kg ha−1; BOZ3 8.74 kg ha−1 & BOZ4 10.20 kg ha−1.
2.2. Soil Characterization
The effects of the manufactured BOZ formulations on maize (native crop of strain Bacillus sp. AZ6) production were studied by conducting different field trials in two distinct cropping seasons (March and July) at the research area of ISES, UAF, Pakistan. Before conducting the field trials, soil physicochemical characteristics were analyzed through collecting representative soil samples (depth of 0–20 cm due to tillage deepness and feeder crop rooting zone) from the field. The soil samples were dried in air, ground, sieved (2 mm mesh size) and further analyzed for soil characteristics by following standard procedures. The soil texture was estimated by determining the particle size [34]. The pH and electrical conductivity (EC) were analyzed in a saturated paste using a pH meter (Model-AD-1000, Adwa Instruments, Szeged, Hungary) and EC meter (Model 470, Jenway, Staffordshire, UK), respectively [35]. The method of Moodie et al. [36] was followed for the determination of organic matter contents. Total nitrogen (N) was estimated through the Kjeldahl digestion method [37]. The available form of phosphorus (P) was extracted through NaHCO3 and analyzed with a UV-visible spectrophotometer [38], while the available form of potassium (K) was extracted through NH4C2H3O2 and detected by using a flame photometer (Model-PFP7, Jenway, Staffordshire, UK) [39]. The available form of Zn was extracted through AB-DTPA and analyzed using an atomic absorption spectrophotometer (PerkinElmer, Analyst 100, Waltham, MA, USA) [40].
2.3. Field Experimental Layout
Field experiment comprises of two-season (Season-I: Spring sowing, Season-II: Autumn sowing) was conducted in the Research Area of ISES, UAF, Pakistan, to evaluate the effect of different formulation of bio-activated Zn on growth, yield, and quality of maize. Chisel plow was run before the sowing of both seasons up to a depth of 12 inches to ensure the development of the crop root system at proper depth and environment. The field soil was tilth three-times in both seasons by plowing up to 8 inches deep. The maize seeds of Cultivar-Syngenta NT662 (Syngenta, Pakistan) were sown manually in each of the plots as a test crop. Sowing in Season-I was performed in the end week of February while Season-II was sown in mid-week of August of the same year. A total of 16 maize seeds m−2 were sown on ridges having a width of 8 to 10 inches. The different treatments (control, ZnO, ZnSO4, BOZ1, BOZ2, BOZ3, BOZ4, and zinc solubilizing bacteria were used at the rate of 4.9 kg Zn ha−1. These amendments were applied before sowing to their corresponding plot in three replications by following a randomized complete block design (RCBD). At stage V5 (fully emerged five leaves) extra plants were removed from the field through maintaining 8 plants m−2 planting density. The proposed dosages of NPK (175–160–125 kg ha−1) were taken in the form of urea, diammonium phosphate (DAP), and sulfate of potash (SOP) as sources of N, P, and K, respectively to all the plots. These fertilizers were delivered at sowing time of the maize except urea, which was applied at sowing time and after 21-days of emergence. After emergence, the S-metolachlor of brand name dual-gold (Syngenta, Pakistan) was applied at 3.5 L ha−1 to control weeds. The plants were irrigated on a need to maintain optimum moisture till maturity.
2.4. Crop Harvesting and Analyses
2.4.1. Physiological Parameters
The photosynthetic rate, transpiration rate, and stomatal conductance of plants were observed through CIRAS-3 (PP System, Amesbury, MA, USA) with PLC 3 universal leaf cuvette after 50 days of sowing during morning time. Carbonic anhydrase activity (CA) was estimated according to the procedure described by Dwivedi and Randhawa [41]. Electrolyte leakage was established following the technique reported by Lutts et al. [42]. Leaf chlorophyll contents (SPAD value) of selected three leaves from each plant were determined by means of chlorophyll meter (SPAD-502, Konica Minolta, Japan) and average were calculated. For the determination of total carotenoids content, a paste of 15 g sample was prepared in 25 mL of acetone and filtered under vacuum three times. The extract was added in 40 mL petroleum ether and acetone was removed by slowly adding double deionized distilled water. The aqueous phase was discarded by repeating the procedure four times to remove residual acetone. Furthermore, the extract was dissolved in 15 g of anhydrous sodium and volume was made up to 50 mL by adding petroleum ether. The resulted solution was read at 450 nm with the help of a spectrophotometer. The total carotenoid content was estimated by using the formula reported by de Carvalho et al. [43].
2.4.2. Growth and Yield Parameters
At maturity, each plot was irrigated and the maize plants were harvested with roots and washed with deionized water to remove soil and other impurities. The roots were washed with EDTA to remove entrapped heavy metals contents and then washed with deionized water. Plant height and shoot fresh biomass were estimated. Further, plant parts such as grains, roots, and shoots were separated and oven-dried (65 °C for 72 h). The grain and stover yield, as well as 1000 grain weight of maize plants, were estimated.
2.4.3. Chemical Analysis of Zinc
The collected grain and shoot samples were separately ground in a grinder (IKA WERKE, MF 10 Basic, Staufen, Germany) and digested in HNO3:HClO4 ratio of 2:1 [44]. The contents of Zn in grains and shoots were determined in the digest by an atomic absorption spectrophotometer. Zn contents were compared through employing a standard curve of working standard e.g., 0.0, 0.2, 0.4, 0.6, 0.8, and 1.0 µg mL−1. The grain phytate contents were determined by the modified colorimetric procedure (Wade reagent), as reported by Gao et al. [45]. The phytate and Zn concentrations in maize grain were used to calculate the phytate:Zn ratio.
2.4.4. Quality Parameters
The contents of N in maize grains were determined through the Kjeldahl distillation apparatus. The protein proportion was measured by multiplying N with a conversion factor of 6.25. The Soxhlet apparatus was used for the determination of oil in each sample according to the American Association of Cereal Chemists (AACC), method No. 30-25 [46]. The protocol mentioned in AACC, method No. 32-10 [46] was used for the determination of crude fiber content. The procedure of AACC, method No. 08-01 [46] was employed to test ash content. The dry matter was analyzed through the volatilization of the sample in an oven [46]. Maize grains were evaluated for moisture content by using an air forced draft oven (Memmert, Schwabach, Germany) at 105 °C by following the procedure as described in AACC, method No. 44-15A [46].
2.5. Statistical Analysis
The statistical method was developed to characterize the effect of Zn treatments and to predict response to change in growth, yield, and quality of maize. Group of variables were randomly split into smaller groups e.g., Zn treatment at different levels and obtained data (end task) were subjected to one-way analysis of variance (ANOVA) by employing liner model randomized complete block design through computer software Statistix v. 8.1 (Analytical Software, Tallahassee, FL, USA). The coefficient of variation was calculated from ratios between standard deviations (SD) and population means, to represent the variability among Zn treatments. The standard error (SE) of three replicates in each treatment was calculated by dividing the SD with the square root of three and graphs were plotted using Microsoft Excel 2016. The treatment means were compared through multiple comparisons Tukey’s HSD (honestly significant difference) test [47] at 5% probability level.
3. Results
3.1. Field Soil Characterization
The physiochemical characteristics of the soil used in the study for both of the cropping seasons are presented in Table 1. The result exhibited that the field experiment soil was sandy clay loam in texture having a saturation percentage of 33% in both cropping seasons. The soil was slightly alkaline with a pH of 7.9 for Season-I and 7.7 for Season-II. The EC of soil was 1.41 and 1.44 dS m−1 for Season-I and Season-II, respectively. Very low organic matter contents (<1%) were estimated in both cropping seasons. Total N contents were 0.06% before Season-I and 0.05% before Season-II. The available P reduced from 6.79 mg kg−1 in Season-I to 5.30 mg kg−1 in Season-II, while the extractable K was increased from 84% in Season-I to 89% in Season-II. Likewise, the available Zn was reduced slightly from 0.61 mg kg−1 before the sowing in Season-I, to 0.58 mg kg−1 before the Season-II.
Table 1.
Soil physicochemical characteristics of a field experiment in two different cropping seasons.
3.2. Effects of Zn Sources on Maize Growth and Yield
Different sources of Zn showed a significant (p ≤ 0.05) effect on plant height, as well as fresh and dry shoot biomass of maize (Table 2). In this study, maize plants achieved the highest and lowest plant height in BOZ4 and control, respectively in both cropping seasons. On average, BOZ4 increased the plant height by 53%, 49%, 19%, 22%, 10%, 4%, and 30% as over control, ZnO, ZnSO4, BOZ1, BOZ2, BOZ3, and ZSB, respectively. The mean values for fresh and dry shoot-biomass at maturity exhibited that different sources of Zn had a significant impact on fresh and dry shoot-biomass of maize plants in both cropping seasons. In this experiment, the mean maximum fresh and dry shoot-biomass were 66.9 and 26.5 t ha−1, respectively, under treatment BOZ4. Whereas, control showed minimum mean fresh-biomass (51.7 t ha−1) and dry shoot-biomass (18.1 t ha−1). Overall, treatment BOZ4 enhanced the fresh and dry shoot-biomass of maize plants by 26% and 46% than the corresponding values in control treatment in both cropping seasons. Plant height was not significantly different between the two cropping seasons, however, shoot fresh and dry biomass were decreased in Season-II over Season-I. The maximum decline in dry shoot biomass was observed in control followed by ZnO.
Table 2.
Effects of different Zn sources on growth of maize grown in two different cropping seasons.
Maize yield parameters, including stover yield and grain weight in retort to applied Zn sources, are given in Table 3. In both cropping seasons, different Zn sources exhibited a significant impact on maize stover yield and grain weight. Among Zn sources, the mean maximum stover yield (3805 kg ha−1) and grain weight (314.4 g grain−1) of maize were noticed under treatment BOZ4, while the mean minimum stover yield and grain weight of maize was obtained under control treatment in both cropping seasons.
Table 3.
Effect of different Zn sources on the yield of maize grown in two different cropping seasons.
On average, treatment BOZ4 increased the stover yield and grain yield by 25% and 17% over control, respectively, indicating that Zn fertilization with the appropriate source was closely associated with the modifications in stover and grain yield. Maximum average maize grain yield (294.7 g cob−1) was noticed under treatment BOZ4, while the lowest maize grain yield (239.7 g cob−1) was estimated in control. Likewise, the maximum average grain yield in kg ha−1 was observed under the BOZ4 application (11,830 kg ha−1), followed by BOZ3 (11,266 kg ha−1) and BOZ3 (10,883 kg ha−1), whereas lowest was in control (9240 kg ha−1). The BOZ4 resulted in a 64% higher grain yield than control, while 56%, 26% and 45% higher than ZnO, ZnSO4 and ZSB, respectively. The maize grain yield exhibited the trend BOZ4 > BOZ3 > BOZ2 > ZnSO4 > BOZ1 > ZSB > ZnO > control, suggesting that application of bio-activated Zn improved the maize growth and biomass accumulation, which in turn significantly augmented the maize grain yield in both seasons. The grain yield of both cropping seasons was not significantly different.
However, grain yield under control decreased by 6% and the stover yield was increased by 13.58%, 12.65%, 7.41%, 6.35%, 3.66% and 1.85% with ZSB, ZnSO4, BOZ1, BOZ2, BOZ3, BOZ4 and ZnO application, respectively, in cropping Season-II than Season-I.
3.3. Effect of Zn Sources on Maize Physiology
The physiological parameters of maize, including photosynthetic rate, transpiration rate, stomatal conductance, chlorophyll contents, electrolyte leakage, and carotenoids after application of various Zn sources, are presented in Table 4. Significant differences (p ≤ 0.05) in physiological parameters were detected under the application of different Zn sources in both the cropping seasons. BOZ4 resulted in the highest mean photosynthetic rate (34.85 µmol m−2 s−1), transpiration rate (9.6 mmol m−2 s−1), stomatal conductance (420.8 mmol m−2 s−1), chlorophyll contents (45.1), carotenoids (292.1), and carbonic anhydrase activity (365.5). Likewise, the BOZ4 reduced the mean electrolyte leakage to a minimum level (0.1). On average, BOZ4 resulted in an increase of 47%, 42%, 45%, 57%, 17% and 44% in photosynthetic rate, transpiration rate, stomatal conductance, chlorophyll contents, carotenoids, and carbonic anhydrase activity, respectively, over control in both of the cropping seasons. However, the application of the BOZ4 reduced the electrolyte leakage by 38% as compared to control in both cropping seasons. It has been observed that photosynthetic rate, transpiration rate, and stomatal conductance were reduced significantly in Season-II over Season-I. Specifically, the photosynthetic rate was reduced to 29.6–50%, while the reduction in transpiration rate and stomatal conductance was 127–154% and 112–124%. The application of ZnO and ZSB decreases chlorophyll contents by 7% and 5.6% respectively, in Season-II compared to Season-I, while all other treatments resulted in increasing the chlorophyll contents with a range of 2–8%. The reduction in electrolyte leakage was 16%, 9% and 6% in BOZ2, ZnSO4, and control, respectively, in Season-II compared with Season-I, while it increased by 3% with ZSB application. Carotenoid contents and carbonic anhydrase activity do not exhibit significant differences between the cropping seasons.
Table 4.
Effect of different Zn sources on the physiology of maize grown in two different cropping seasons.
3.4. Effect of Zn Sources on Zn and Phytate Contents of Maize
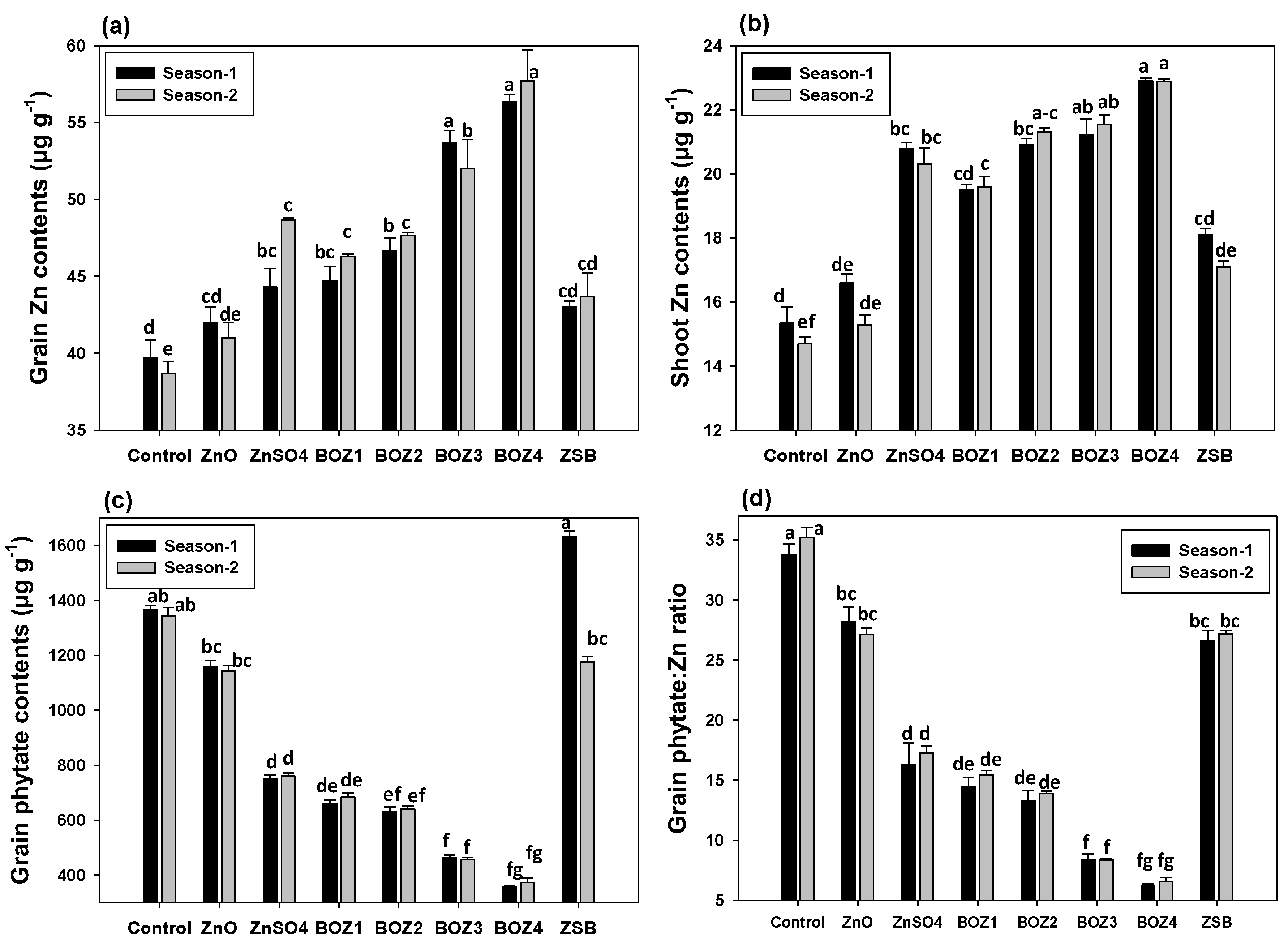
The effects of different Zn sources on the contents of Zn and phytate in plant tissues are presented in Figure 1. Results demonstrated significant (p ≤ 0.05) impact of various formulation on a shoot and grain Zn contents, and grain phytate contents and Zn:Phytate ratios during both of the cropping seasons. On average, BOZ4 exhibited the highest Zn (57.01 μg g−1) in grains of maize, followed by BOZ3, BOZ2, ZnSO4, BOZ1, ZSB, and ZnO, while control showed the lowest grains Zn (39.17 μg g−1) (Figure 1a). Likewise, BOZ4 resulted in the highest shoot Zn (22.9 μg g−1) and control result in the lowest shoot Zn (15.0 μg g−1) compared to the other treatments (Figure 1b). Overall, BOZ4 increased the grain Zn by 46%, 37%, 23%, 25%, 21% and 8% over control, ZnO, ZnSO4, BOZ1, BOZ2, BOZ3, and SBZ, respectively. Similarly, BOZ4 increased shoot Zn by 52%, 44%, 11%, 17%, 8%, 7%, and 30% compared with ZnO, ZnSO4, BOZ1, BOZ2, BOZ3, and SBZ, respectively.
Figure 1.
Effect of different Zn sources on gain Zn contents (a), shoot Zn contents (b), gain phytate contents (c) and grain phytate:Zn molar ratios (d) of maize grown in two different cropping seasons (Data are shown as mean of three replications. Means followed by same letter(s) are not significantly different according to Tukey’s HSD (honestly significant difference) test at p ≤ 0.05).
In contrast to Zn in plant tissues, the average grain phytate contents were the highest in ZSB (1404.9 μg g−1), followed by control, ZnO and ZnSO4, while all the BOZ formulation shown lower phytate contents with the lowest value for BOZ4 (365.0 μg g−1) (Figure 1c). The estimated grain phytate:Zn molar ratio was lowest in BOZ4 (6.4), while was highest in control (34.5), compared to the other treatments (Figure 1d). Overall, the grain phytate contents reduced by 74%, 73%, 68% and 52% with BOZ4, as compared to ZSB, control, ZnO and ZnSO4 application, respectively. Generally, the contents of Zn and phytate in plant tissues were not affected significantly with the cropping season. However, ZnSO4 and BOZ1 increased the grain Zn and phytate contents, as well as shoot Zn by 3–9% in Season-II, over Season-I. Contrary, the ZSB application reduced the grain phytate contents by 39% in Season-II, as compared to Season-I. These results showed the significance of BOZ4, which improved the contents of Zn and phytate in the plant tissues by enhancing Zn uptake.
3.5. Effect of Zn Sources on Maize Quality
The application of different Zn sources influenced the quality of the maize crop significantly (p ≤ 0.05) as presented in Figure 2a–g. Results demonstrated that the BOZ4 and BOZ3 resulted in the highest average fat (4.795% and 4.375%, respectively), crude protein (12.855% and 12.27%, respectively), dry matter (92.025% and 91.555%, respectively), fiber (2.87% and 2.715%, respectively), gluten (11.925% and 11.46%, respectively) and mineral (1.53% and 1.495%, respectively) contents, while control showed the minimum average fat (2.93%), crude protein (9.605%), dry matter (87.845%), fiber (1.805%), gluten (8.675%) and mineral (1.155) contents, as compared to the other treatments. On the contrary, the moisture contents were higher in control (12.155%), while lower were in BOZ4 (7.975%) compared with the other treatments. The application of BOZ4 shown significant increments in all the aforementioned maize quality parameters, as compared to the rest of the fertilizers used in this study. An increment of 63%, 55%, 25% and 45% in average fat contents was observed with BOZ4, over control, ZnO, ZnSO4 and ZSB application, respectively. Likewise, crude protein, fiber, gluten, and mineral contents were increased by 34%, 59%, 37%, and 32%, respectively with BOZ4, then control, and 25%, 46%, 21%, and 14%, respectively, then ZSB application.
Figure 2.
Effect of different Zn sources on gain fat contents (a), crude protein contents (b), moisture contents (c), dry matter (d), fiber contents (e), gluten contents (f), and mineral contents (g) of maize grown in two different cropping seasons (Data are shown as mean of three replications. Means followed by same letter(s) are not significantly different according to Tukey’s HSD (honestly significant difference) test at p ≤ 0.05).
Alike, BOZ4 increased the crude protein, fiber, gluten and mineral contents by 28%, 54%, 31% and 20% and 17%, 26%, 13%, and 9%, respectively, as compared to ZnO and ZnSO4, respectively. In contrast, moisture contents were reduced by 34%, 29%, 21% and 24% with BOZ4, as compared to control, ZnO, ZnSO4 and SBZ, respectively. However, the effects of the Zn sources on dry matter were found to be non-significant. Likewise, the effects of cropping season on the quality of maize under different Zn fertilization were non-significant in general. However, a reduction of 4–5% in gluten contents was observed under control, BOZ1 and BOZ2 in Season-II, as compared to Season-I. On the contrary, a 7–16% increment in mineral contents was seen in Season-II as compared to Season-I under control, ZnO and ZSB application. Therefore, overall results indicated that BOZ4 performed better in improving maize quality as compared to the other studied fertilizers in the study.
4. Discussion
Zinc solubilizing bacteria (ZSB) made Zn available for plant uptake through solubilizing their insoluble form. Biofertilizers containing Zn solubilizing Bacillus, Paenibacillus, Pseudomonas, etc., could increase Zn availability in poor quality soil to improve crop growth and yield. Such ZSB with the organic matter has been reported to increase the bioavailability of Zn in plants through its solubilization. Recently, it is reported that ZSB alone and with organic matter is involved in the bio-activation of ZnO and enriched cereal grains with Zn [33]. In such a way, ZSB can be exploited to mobilize unavailable Zn and promote plant growth and yield through Zn assimilation [33,48,49]. In the present study, four BOZ formulations were produced by enriching the ZnO-orange peel waste composite with ZSB: Bacillus sp. AZ6 in various formulations (BOZ1, BOZ2, BOZ3, and BOZ4).
The produced BOZs effectiveness to improve growth, yield and biofortification of maize were compared with ZnO, ZnSO4, and ZSB under field conditions in two different cropping seasons. The outcomes of the current field experiment demonstrated that BOZ products were relatively effective in increasing maize growth and yield (Table 2 and Table 3). Overall, maize plants achieved the highest plant height, fresh and dry shoot-biomass, grain weight, grain and stover yield in BOZ4 formulation during cropping seasons. These attributes exhibited the trend BOZ4 > BOZ3 > BOZ2 > ZnSO4 > BOZ1 > ZSB > ZnO > control, suggesting that application of bio-activated Zn improved the maize growth and biomass accumulation, which in turn significantly increased the maize grain yield in both seasons. The improved maize growth and yield attributes in this experiment could be as a result of higher nutrients uptake to the plants owing to P-solubilization, ACC-deaminase activity, and production of siderophores and indole-3-acetic acid potentials harbored by the strain AZ6 [28].
Several previous studies also indicate an enhancement in different crop growth and yield inoculated with plant growth-promoting bacterial strains [33,48,50,51,52,53,54]. Additionally, improved root growth, which enhanced the overall plant growth owing to the well-acquisition of water and nutrients from the soil have also resulted in better growth and yield of the plants. The better maize root growth might be due to inoculation with Zn solubilizing rhizobacterial strain AZ6 because this strain also harbors plant growth-promoting traits that play a role in better root growth [28,55,56,57]. The application of ZnO alone did not mark the maize growth and yield owing to its insoluble and non-available source of Zn. Despite that, the indigenous microorganisms might have solubilized this source up to some extent, but the concentration of available Zn was quite lower. Hence, inoculation with ZSB enhanced the maize growth over the ZnO application, however, it was lower as compared to ZnSO4 and BOZ formulations. The presence of supplementary organic matter (orange peel) and a higher bacterial population in BOZ4 might have resulted in its best performance among all the treatments. The organic matter might have served as a source of nutrients for bacterial growth [58]. The positive role of organic materials to improve the survival, population and bio-fertilization performance of PGPB in the soil has also been described in numerous previous studies [59,60,61,62].
In this study, the application of BOZ4 showed significantly higher carbonic anhydrase activity, carotenoids and chlorophyll contents, photosynthetic and transpirational rate, stomatal conductance and reduced the electrolyte leakage as compared to control in both cropping seasons. The improvement in these physiological parameters can be linked with increased Zn uptake by plants due to an increase in the bioavailable fraction of Zn in soil by the Zn solubilizing strain Bacillus sp. AZ6. The role of Zn in plant growth and yield is important as it is involved in various plant physiological functions through its direct role in the activity of different essential enzymes [63]. For instance, Zn is involved in carbonic anhydrase (CA) activity [64], and an increase in CA activity in plants increases the photosynthetic activity of the plants. In the present study, the plants receiving BOZ formulations not only increased the CA activity but also improved the photosynthesis and chlorophyll contents. It has been documented that CA accelerates the prompt conversion of carbon dioxide (CO2) and water into a proton and bicarbonate ion (HCO3−1). The CA is a metalloenzyme that needs Zn as a cofactor and is complexed in diverse physiological developments, as well as pH regulation, CO2 transfer, ionic exchange, respiration, CO2 photosynthetic fixation, and stomatal closure can affect the growth and yield of plants [65]. Inhibition of CA activity by Zn deficiency in plants has also been reported in several other studies [66,67]. In addition to CA activity, Zn also plays a significant role in membrane permeability, which controls the electrolyte leakage from the membrane. In the present study, the application of BOZ resulted in a decrease in the electrolyte leakage of the maize plants with a maximum reduction in the case of BOZ4. Additionally, the best response of the physiological attributes with BOZ4 might be due to the relatively higher level of the organic material as well as the bacterial population as compared to other treatments.
The application of BOZ formulation demonstrated a significant increase in shoot and grain Zn contents and cause significant reduction in shoot and grain phytate contents and phytate:Zn molar ratio as compared to control in both cropping seasons. Among BOZ formulations, the application of BOZ4 exhibited the highest increase in these attributes of maize, followed by BOZ2, ZnSO4, BOZ1, ZSB, and ZnO, while control was the lowest in depicting shoot and grain Zn contents and highest in shoot and grain phytate contents and phytate:Zn molar ratio. The increase in Zn uptake might be due to the Zn solubilizing activity of Bacillus sp. AZ6. As this strain has already been reported to solubilize Zn, it might have solubilized the insoluble source of Zn in soil resulting in the increased soluble fraction of Zn, subsequently improving grain and shoot Zn contents of maize. Such an increase in Zn contents in the rhizosphere has also been documented in response to the inoculation with some other potential Zn solubilizing microflora [32,48,68]. Whiting et al. [69] stated that bioinoculant application improved water-extractable soil Zn from 51 to 74 mg kg−1 soil. Similarly, Subramanian et al. [30] reported an increase in DTPA extractable Zn from 1.08 to 1.43 mg kg−1 soil by Glomus intraradices treatment. The strain AZ6 produces organic acids that could have solubilized ZnO by lowering the pH resulting in an increase in the soluble soil Zn contents for plant uptake [28].
The presence of orange peel in different BOZ formulations might also have resulted in improved Zn contents in shoots and grains of Zn as organic matter has been documented not only to improve biological properties of soil but also to provide suitable nutrients and micro-environment to proliferate the existence of the applied bacteria [32,51,58,70,71,72]. For instance, organic amendments application increases the biological characteristics of soil including the microbial biomass and the microbial enzymatic activities resulting in an increase in the microbial activity [31,32,56,57,70]. Hence, in the presence of the organic material, the strain AZ6 could have survived and made better complexes with ZnO for a longer time resulting in a slow but higher release of Zn [23]. The highest available Zn level in the treatment receiving BOZ4 formulation might be linked with the presence of relatively more organic material as well as the higher bacterial population in this formulation. Additionally, relatively more Zn in the plants after BOZ4 application could be due to the higher activity of the plant growth-promoting rhizobacterial strain AZ6, which might have slowly released Zn and made it bioavailable for the plant to be uptaken. The augmented grain Zn could also be mainly due to high enzyme activities in response to BOZ4 formulation. A similar increase in dry matter content and Zn uptake due to the inoculation of PGPR has also been reported by others [49,52,73,74,75].
The application of different Zn sources demonstrated that the BOZ4 and BOZ3 application resulted in the highest average fat, crude protein, dry matter, fiber, gluten, and mineral contents, while control showed the minimum average value of these attributes as compared to the other treatments. However, the moisture contents were higher in control, while lower were in BOZ4 compared with the other treatments. The BOZ4 shown significant increments in all the above-mentioned maize quality parameters, as compared to the rest of the fertilizers used in this study. Similarly, Bona et al. [76] have reported that the application of various inoculums resulted in enhancing the maize quality by improving protein, fiber, gluten, and mineral contents. The higher Zn contents in plant tissues after BOZ4 might have resulted in enhanced N uptake in maize plants, consequently improving the crude protein contents. A study on the effect of N application on maize grain quality showed the highest crude protein content (8%) at the higher rate of N (200 kg ha−1) as compared to lower rates [77]. The increased fats contents are also directly linked with higher protein contents in plants. Moreover, the presence of organic materials in BOZ formulations resulted in higher nutrient availability of nutrients owing to mineralization, and more N fixation. Consequently, BOZ formulations resulting in improved protein contents, dry matter and other quality attributes of maize crops such as gluten and fiber contents [78].
5. Conclusions
The Bacillus sp. AZ6 was used as an inoculant for the production of bio-activated organic fertilizers (BOZ) with various formulations (BOZ1 (9:1), BOZ2 (8:2), BOZ3 (7:3) and BOZ4 (6:4)). The BOZ formulations along with ZnO, ZnSO4, and Zn solubilizing bacteria AZ6 (ZSB) were applied to a maize crop under field conditions in two different cropping seasons and their effects on maize growth, yield, quality, and physiology were studied. Significant (p ≤ 0.05) improvements in the maize growth, physiology, yield, Zn contents, and quality were observed during both of the cropping seasons. The BOZ4 performed outclass by increasing plant height, grain yield, dry matter, Zn contents in grains and shoots, crude proteins, and fiber contents. Moreover, all the physiological traits were improved, whereas electrolyte leakage was reduced. The best performance of BOZ4 could be owing to the presence of relatively higher organic matter and microbial population. Hence, the joined application of organic waste materials augmented with economical ZnO and ZSB could be a novel approach for improving the growth, yield, and quality of maize crop in Zn deficient soils. Moreover, it can serve as a cost and time effective and environment-friendly method resulting in the recycling of organic waste.
Author Contributions
Conceptualization, A.H. and M.A.; methodology, A.H.; software, A.H., M.A. and M.Z.M.; validation, A.H., M.A., A.D., M.Z.M. and Z.A.Z.; formal analysis, A.H.; investigation, A.H. and M.U.T; resources, Z.A.Z.; data curation, A.H. and M.U.T.; writing—original draft preparation, A.H., M.A., M.Z.M., M.U.T. and A.D.; writing—review and editing, A.H., A.D., M.Z.M., Z.A.Z., K.H. and S.H.; visualization, A.H., M.Z.M. and S.H.; supervision, Z.A.Z. and K.H; project administration, Z.A.Z. and K.H.; Funding Acquisition, Z.A.Z. and K.H. All authors have read and agreed to the published version of the manuscript.
Funding
The authors acknowledge the financial support for this study by the Institute of Soil and Environmental Sciences, University of Agriculture, Faisalabad, Pakistan. The funding support by the Deanship of Scientific Research at King Saud University under grant number RG-1440-020 is also appreciated.
Acknowledgments
The authors are thankful to the Institute of Soil and Environmental Sciences, University of Agriculture, Faisalabad, Pakistan, for providing space and laboratory for conducting research.
Conflicts of Interest
The authors declare no conflict of interest.
References
- Zastrow, M.L.; Pecoraro, V.L. Designing Hydrolytic Zinc Metalloenzymes. Biochemistry 2014, 53, 957–978. [Google Scholar] [CrossRef] [PubMed]
- Alloway, B. Zinc in SoilS and Crop Nutrition, 2nd ed.; International Zinc Association and International Fertilizer Industry Association: Paris, France, 2008. [Google Scholar]
- Cakmak, I. Tansley Review No. 111: Possible Roles of Zinc in Protecting Plant Cells from Damage by Reactive Oxygen Species. New Phytol. 2000, 146, 185–205. [Google Scholar] [CrossRef]
- Palmer, C.; Guerinotm, M.L. Facing the Challenges of Cu, Fe and Zn Homeostasis in Plants. Nat. Chem. Biol. 2009, 5, 333–340. [Google Scholar] [CrossRef] [PubMed]
- Hafeez, B.; Khanif, Y.; Saleem, M. Role of Zinc in Plant Nutrition-A Review. Am. J. Exp. Agric. 2013, 3, 374–391. [Google Scholar] [CrossRef]
- Alloway, B. Soil Factors Associated with Zinc Deficiency in Crops and Humans. Environ. Geochem. Health 2009, 31, 537–548. [Google Scholar] [CrossRef] [PubMed]
- Hussain, M.; Asghar, H.; Akhtar, M.J.; Arshad, M. Impact of Phosphate Solubilizing Bacteria on Growth and Yield of Maize. Soil Environ. 2013, 32, 71–78. [Google Scholar]
- Fageria, N.; Baligar, V.; Clark, R. Micronutrients in Crop Production. Adv. Agron. 2002, 77, 185–268. [Google Scholar]
- Bell, R.; Dell, B. Micronutrients for Sustainable Food, Feed, Fibre and Bioenergy Production; International Fertilizer Industry Association (IFA): Paris, France, 2008. [Google Scholar]
- Shivay, Y.; Prasad, R.; Kaur, R.; Pal, M. Relative Efficiency of Zinc-Coated Urea and Soil and Foliar Application of Zinc Sulphate on Yield, Nitrogen, Phosphorus, Potassium, Zinc and Iron Biofortification grains and uptake by basmati rice. J. Agric. Sci. 2015, 7, 161–173. [Google Scholar] [CrossRef]
- World Health Organization. The World Health Report 2002: Reducing Risks, Promoting Healthy Life; World Health Organization: Geneva, Switzerland, 2002. [Google Scholar]
- Salim, H.; Zhao, K.; Liao, L.; Xu, J. Adsorption-Desorption Kinetics of Zn in Soils: Influence of Phosphate. In Molecular Environmental Soil Science at the Interfaces in the Earth’s Critical Zone; Xu, J., Huang, P.M., Eds.; Springer: Berlin, Germany, 2010; pp. 88–90. [Google Scholar]
- Kausar, M.; Chaudhry, F.M.; Rashid, A.; Latif, A.; Alam, S. Micronutrient Availability to Cereals from Calcareous Soils. Plant Soil 1977, 47, 297–302. [Google Scholar] [CrossRef]
- Fageria, N.K. Dry Matter Yield and Nutrient Uptake by Lowland Rice at Different Growth Stages. J. Plant Nutr. 2004, 27, 947–958. [Google Scholar] [CrossRef]
- Cakmak, I. Enrichment of Fertilizers with Zinc: An Excellent Investment for Humanity and Crop Production in India. J. Trace Elem. Med. Biol. 2009, 23, 281–289. [Google Scholar] [CrossRef] [PubMed]
- Johnson-Beebout, S.; Angeles, O.; Alberto, M.; Buresh, R. Simultaneous Minimization of Nitrous Oxide and Methane Emission from Rice Paddy Soils Is Improbable Due to Redox Potential Changes with Depth in a Greenhouse. Geoderma 2009, 149, 45–53. [Google Scholar] [CrossRef]
- Hefferon, K. Biotechnological Approaches for Generating Zinc-Enriched Crops to Combat Malnutrition. Nutrients 2019, 11, 253. [Google Scholar] [CrossRef] [PubMed]
- Shivay, Y.S.; Kumar, D.; Prasad, R. Effect of Zinc-Enriched Urea on Productivity, Zinc Uptake and Efficiency of an Aromatic Rice-Wheat Cropping System. Nutr. Cycl. Agroecosyst. 2008, 81, 229–243. [Google Scholar] [CrossRef]
- Fasim, F.; Ahmed, N.; Parsons, R.; Gadd, G.M. Solubilization of Zinc Salts by a Bacterium Isolated from the Air Environment of a Tannery. FEMS Microbiol. Lett. 2002, 213. [Google Scholar] [CrossRef]
- Ahmad, M.; Pataczek, L.; Hilger, T.H.; Zahir, Z.A.; Hussain, A.; Rasche, F.; Schafleitner, R.; Solberg, S.O. Perspectives of Microbial Inoculation for Sustainable Development and Environmental Management. Front. Microbiol. 2018, 9, 2992. [Google Scholar] [CrossRef]
- Wu, S.; Cheung, K.; Luo, Y.; Wong, H. Effects of Inoculation of Plant Growth-Promoting Rhizobacteria on Metal Uptake by Brassica Juncea. Environ. Pollut. 2006, 40, 124–135. [Google Scholar] [CrossRef]
- Havlin, J.; Tisdale, S.; Nelson, W.; Beaton, J. Soil Fertility and Fertilizers: An Introduction to Nutrient Management, 7th ed.; Pearson Education, Inc.: Upper Saddle River, NJ, USA, 2005. [Google Scholar]
- Saravanan, V.; Subramoniam, S.; Raj, S. Assessing in Vitro Solubilization Potential of Different Zinc Solubilizing Bacterial (ZSB) Isolates. Braz. J. Microbiol. 2004, 34, 121–125. [Google Scholar] [CrossRef]
- Tariq, M.; Hameed, S.; Malik, K.; Hafeez, F. Plant Root Associated Bacteria for Zinc Mobilization in Rice Biofortification View Project Research Project on Antimicrobial Activity and Bacteriocin Isolation from Probiotic Bacteria. Characterization of Indigenous Probiotics from Pakistan View Project. Pak. J. Bot. 2007, 39, 245–253. [Google Scholar]
- Hussain, A. Efficacy of Bio-Activated Zn for Improving Yield and Quality of Maize, Institute of Soil & Environmental Sciences. Ph.D. Thesis, University of Agriculture, Faisalabad, Pakistan, 2015. [Google Scholar]
- Khalid, A.; Arshad, M.; Shaharoona, B.; Mahmood, T. Plant Growth Promoting Rhizobacteria and Sustainable Agriculture. In Microbial Strategies for Crop Improvement; Springer: Berlin/Heidelberg, Germany, 2009; pp. 133–160. [Google Scholar]
- Nadeem, S.; Haq, R.; Khan, Z. Numerical Study of MHD Boundary Layer Flow of a Maxwell Fluid Past a Stretching Sheet in the Presence of Nanoparticles. J. Taiwan Inst. Chem. Eng. 2014, 45, 121–126. [Google Scholar] [CrossRef]
- Hussain, A.; Arshad, M.; Zahir, Z.A.; Asghar, M. Prospects of Zinc Solubilizing Bacteria for Enhancing Growth of Maize Development of Novel Rhizobial Inoculants for Inducing Drought Tolerance in Cereals View Project m.Phil View Project. Pak. J. Agric. Sci. 2015, 52, 915–922. [Google Scholar]
- Ahmad, M.; Akhtar, M.; Jamil, M.; Latif, M. Pesticide Tolerant Plant Growth Promoting Rhizobacteria Isolated from Rhizosphere of Okra. Soil Environ. 2015, 34, 111–118. [Google Scholar]
- Subramanian, K.; Tenshia, V.; Jayalakshmi, K.; Ramachandran, V. Role of Arbuscular Mycorrhizal Fungus (Glomus Intraradices) (Fungus Aided) in Zinc Nutrition of Maize. J. Agric. Biotechnol. Sustain. Dev. 2009, 1, 29–38. [Google Scholar]
- Liang, Y.; Chen, Q.; Liu, Q.; Zhang, W.; Ding, R. Exogenous Silicon (Si) Increases Antioxidant Enzyme Activity and Reduces Lipid Peroxidation in Roots of Salt-Stressed Barley (Hordeum vulgare L.). J. Plant Physiol. 2003, 160, 1157–1164. [Google Scholar] [CrossRef] [PubMed]
- Imran, M.; Arshad, M.; Khalid, A.; Kanwal, S. Perspectives of Rhizosphere Microflora for Improving Zn Bioavailability and Acquisition by Higher Plants. Int. J. Agric. Biol. 2014, 16, 653–662. [Google Scholar]
- Hussain, A.; Zahir, Z.A.; Asghar, H.N.; Imran, M.; Ahmad, M.; Hussain, S. Integrating the Potential of Bacillus SP. AZ6 and Organic Waste for Zinc Oxide Bio-Activation to Improve Growth, Yield and Zinc Content of Maize Grains. Pak. J. Agric. Sci. 2020, 57, 123–130. [Google Scholar]
- Gee, G.; Bauder, J. Particle-Size Analysis. In Methods of Soil Analysis, Part 1. Physical and Mineralogical Methods, 2nd ed.; Klute, A., Ed.; Agronomy Monograph No. 9; American Society of Agronomy/Soil Science Society of America: Madison, WI, USA, 1986; pp. 383–411. [Google Scholar]
- US Salinity Lab. Staff. Diagnosis and Improvement of Saline and Alkali Soils. In Agriculture Handbook 60; United States Department of Agriculture: Washington, DC, USA, 1954; pp. 83–100. [Google Scholar]
- Moodie, C.; Smith, H.; McCreery, R. Laboratory Manual for Soil Fertility; Department of Agronomy, State College of Washington Pullman: Washington, DC, USA, 1959. [Google Scholar]
- Jackson, M. Soil Chemical Analysis; Prentice Hall, Inc.: Englwood Cliff, NY, USA, 1958. [Google Scholar]
- Watanabe, F.; Olsen, S. Test of an Ascorbic Acid Method for Determining Phosphorus in Water and NaHCO3 Extracts from Soil. Soil Sci. Soc. Am. 1965, 29, 677–678. [Google Scholar] [CrossRef]
- Simard, R. Ammonium Acetate Extractable Elements. In Soil Sampling and Methods of Analysis; Carter, M., Ed.; CRC Press: Washington, DC, USA, 1993; pp. 39–42. [Google Scholar]
- Soltanpour, P.; Schwab, A. A New Soil Test for Simultaneous Extraction of Macro and Micro-Nutrients in Alkaline Soils. Commun. Soil Sci. Plant Anal. 1977, 8, 195–207. [Google Scholar] [CrossRef]
- Dwivedi, R.; Randhawa, N. Evaluation of a Rapid Test for the Hidden Hunger of Zinc in Plants. Plant Soil 1974, 40, 445–451. [Google Scholar] [CrossRef]
- Lutts, S.; Kinet, J.; Bouharmont, J. Changes in Plant Response to NaCl during Development of Rice (Oryza sativa L.) Varieties Differing in Salinity Resistance. J. Exp. Bot. 1995, 46, 1843–1852. [Google Scholar] [CrossRef]
- De Carvalho, L.M.J.; Gomes, P.B.; de Oliveira Godoy, R.L.; Pacheco, S.; do Monte, P.H.F.; de Carvalho, J.L.V.; Nutti, M.R.; Neves, A.C.L.; Vieira, A.C.R.A.; Ramos, S.R.R. Total Carotenoid Content, α-Carotene and β-Carotene, of Landrace Pumpkins (Cucurbita moschata Duch): A Preliminary Study. Food Res. Int. 2012, 47, 337–340. [Google Scholar] [CrossRef]
- Jones, J.; Case, V. Sampling, Handling and Analyzing Plant Tissue Samples. In Soil Testing and Plant Analysis; Westerman, R.L., Ed.; Book Series; Soil Science Society of America: Madison, WI, USA, 1990; pp. 389–447. [Google Scholar]
- Gao, L.; Zhuang, J.; Nie, L.; Zhang, J.; Zhang, Y.; Gu, N.; Wang, T.; Feng, J.; Yang, D.; Perrett, S.; et al. Intrinsic Peroxidase-like Activity of Ferromagnetic Nanoparticles. Nat. Nanotechnol. 2007, 2, 577–583. [Google Scholar] [CrossRef] [PubMed]
- AACC. Approved Methods of the American Association of Cereal Chemists, 10th ed.; AACC: St. Paul, MN, USA, 2000. [Google Scholar]
- Steel, R.; Torrie, J.; Dicky, D. Principles and Procedures of Statistics, A Biometrical Approach, 3rd ed.; McGraw Hill, Inc. Book Co.: New York, NY, USA, 1997. [Google Scholar]
- Mumtaz, M.Z.; Ahmad, M.; Jamil, M.; Hussain, T. Zinc Solubilizing Bacillus spp. Potential Candidates for Biofortification in Maize. Microbiol. Res. 2017, 202, 51–60. [Google Scholar] [CrossRef] [PubMed]
- Rana, A.; Joshi, M.; Prasanna, R.; Shivay, Y. Biofortification of Wheat through Inoculation of Plant Growth Promoting Rhizobacteria and Cyanobacteria. Eur. J. Soil Biol. 2012, 50, 118–126. [Google Scholar] [CrossRef]
- Mehta, P.; Walia, A.; Kulshrestha, S.; Chauhan, A.; Shirkot, C.K. Efficiency of Plant Growth-Promoting P-Solubilizing Bacillus Circulans CB7 for Enhancement of Tomato Growth under Net House Conditions. J. Basic Microbiol. 2015, 55, 33–44. [Google Scholar] [CrossRef] [PubMed]
- Ditta, A.; Arshad, M.; Zahir, Z.A.; Jamil, A. Comparative Efficacy of Rock Phosphate Enriched Organic Fertilizer vs. Mineral Phosphatic Fertilizer for Nodulation, Growth and Yield of Lentil Theoretical Studies of Silaaromatics View Project Bioremediation of Emerging Pollutants View Project. Int. J. Agric. Biol. 2015, 17, 589–595. [Google Scholar] [CrossRef]
- Mumtaz, M.Z.; Ahmad, M.; Jamil, M.; Asad, S.A.; Hafeez, F. Bacillus Strains as Potential Alternate for Zinc Biofortification of Maize Grains. Int. J. Agric. Biol. 2018, 20, 1779–1786. [Google Scholar]
- Ahmad, M.; Adil, Z.; Hussain, A.; Mumtaz, M.Z.; Nafees, M.; Ahmad, I.; Jamil, M. Potential of Phosphate Solubilizing Bacillus Strains for Improving Growth and Nutrient Uptake in Mungbean and Maize Crops. Pak. J. Agric. Sci. 2019, 56, 283–289. [Google Scholar]
- Fatima, I.; Jamil, M.; Hussain, A.; Mumtaz, M.Z.; Luqman, M.; Hussain, S.; Kashif, S.R.; Ahmad, M. Zinc Solubilizing Bacillus sp. ZM20 and Bacillus Aryabhattai ZM31 Promoted the Productivity in Okra (Abelmoschus esculentus L.). Biologia 2018, 64, 179–185. [Google Scholar]
- Kamilova, F.; Kravchenko, L.V.; Shaposhnikov, A.I.; Makarova, N.; Lugtenberg, B. Effects of the Tomato Pathogen Fusarium Oxysporum f. sp. Radicis-Lycopersici and of the Biocontrol Bacterium Pseudomonas Fluorescens WCS365 on the Composition of Organic Acids and Sugars in Tomato Root Exudate. Mol. Plant Microbe Interact. 2006, 19, 1121–1126. [Google Scholar] [CrossRef]
- Ditta, A.; Muhammad, J.; Imtiaz, M.; Mehmood, S.; Qian, Z.; Tu, S. Application of Rock Phosphate Enriched Composts Increases Nodulation, Growth and Yield of Chickpea. Int. J. Recycl. Org. Waste Agric. 2018, 7, 33–40. [Google Scholar] [CrossRef]
- Ditta, A.; Imtiaz, M.; Mehmood, S.; Rizwan, M.S.; Mubeen, F.; Aziz, O.; Qian, Z.; Ijaz, R.; Tu, S. Rock Phosphate-Enriched Organic Fertilizer with Phosphate-Solubilizing Microorganisms Improves Nodulation, Growth, and Yield of Legumes. Commun. Soil Sci. Plant Anal. 2018, 49, 2715–2725. [Google Scholar] [CrossRef]
- Ditta, A.; Khalid, A. Bio-Organo-Phos: A Sustainable Approach for Managing Phosphorus Deficiency in Agricultural Soils. In Organic Fertilizers: From Basic Concepts to Applied Outcomes; Larramendy, M.L., Soloneski, S., Eds.; InTech: Rijeka, Kroatia, 2016; pp. 109–136. [Google Scholar]
- Hussain, A.; Ahmad, M.; Mumtaz, M.Z.; Nazli, F.; Farooqi, M.A.; Khalid, I.; Iqbal, Z.; Arshad, H. Impact of Integrated Use of Enriched Compost, Biochar, Humic Acid and Alcaligenes sp. AZ9 on Maize Productivity and Soil Biological Attributes in Natural Field Conditions. Ital. J. Agron. 2019, 14, 101–107. [Google Scholar] [CrossRef]
- Sabah, N.; Sarwar, G.; Tahir, M. Depicting the Role of Organic Amendments for Bio Available Phosphorus Release from Different Sources of Rock Phosphate and Uptake by Maize Crop. Pak. J. Bot. 2018, 50, 117–122. [Google Scholar]
- Arif, M.; Shahzad, S.; Riaz, M.; Yasmeen, T.; Shahzad, T.; Akhtar, M.J.; Bragazza, L.; Buttler, A. Nitrogen-enriched Compost Application Combined with Plant Growth-promoting Rhizobacteria (PGPR) Improves Seed Quality and Nutrient Use Efficiency of Sunflower. J. Plant Nutr. Soil Sci. 2017, 180, 464–473. [Google Scholar] [CrossRef]
- Vimal, S. Effect of Plant Growth Promoting Rhizobacteria (PGPR) and Farmyard Manure (FYM) Amendment on Growth Parameters and Antioxidant Level in Paddy (Oryza sativa L.) Crop under Soil Salinity, Department of Environmental Microbiology, School for Environmental Sciences. Ph.D. Thesis, Babasaheb Bhimrao Ambedkar University, Lucknow, India, 2018. [Google Scholar]
- Chang, H.; Lin, C.; Huang, H.J. Zinc-Induced Cell Death in Rice (Oryza sativa L.) Roots. Plant Growth Regul. 2005, 46, 261–266. [Google Scholar] [CrossRef]
- Cakmak, I. Role of Mineral Nutrients in Tolerance of Crop Plants to Environmental Stress Factors. In Fertigation: Optimizing the Utilization of Water and Nutrients; International Symposium on Fertigation: Beijing, China, 2008; pp. 35–48. [Google Scholar]
- Escudero-Almanza, D.; Ojeda-Barrios, D.; Hernández-Rodríguez, O.; Chávez, E.; Ruíz-Anchondo, T.; Sida-Arreola, J. Carbonic Anhydrase and Zinc in Plant Physiology. Chil. J. Agric. Res. 2012, 72, 140–146. [Google Scholar] [CrossRef]
- Edwards, G.; Mohamed, A. Reduction in Carbonic Anhydrase Activity in Zinc Deficient Leaves of Phaseolus vulgaris L. 1. Crop Sci. 1973, 13, 351–354. [Google Scholar] [CrossRef]
- Randall, P.; Bouma, D. Zinc Deficiency, Carbonic Anhydrase, and Photosynthesis in Leaves of Spinach. Plant Physiol. 1973, 52, 229–232. [Google Scholar] [CrossRef]
- Mumtaz, M.; Barry, K.; Baker, A.; Nichols, D.; Ahmad, M.; Zahir, Z.; Britz, M. Production of Lactic and Acetic Acids by Bacillus sp. ZM20 and Bacillus Cereus Following Exposure to Zinc Oxide: A Possible Mechanism for Zn Solubilization. Rhizosphere 2019, 12, 100170. [Google Scholar] [CrossRef]
- Whiting, S.N.; De Souza, M.P.; Terry, N. Rhizosphere Bacteria Mobilize Zn for Hyperaccumulation by Thlaspi Caerulescens. Environ. Sci. Technol. 2001, 35, 3144–3150. [Google Scholar] [CrossRef] [PubMed]
- Tejada, M.; Hernandez, M. Application of Two Organic Amendments on Soil Restoration: Effects on the Soil Biological Properties. J. Environ. Qual. 2006, 35, 1010–1017. [Google Scholar] [CrossRef] [PubMed]
- Alves, P.D.D.; de Siqueira, F.F.; Facchin, S.; Horta, C.C.R.; Victória, J.M.N.; Kalapothakis, E. Survey of Microbial Enzymes in Soil, Water, and Plant Microenvironments. Open Microbiol. J. 2014, 8, 25–31. [Google Scholar] [CrossRef] [PubMed]
- Roy, A.; Kucukural, A.; Zhang, Y. I-TASSER: A Unified Platform for Automated Protein Structure and Function Prediction. Nat. Protoc. 2010, 5, 725–738. [Google Scholar] [CrossRef] [PubMed]
- Lin, Y.; Watts, D.B.; Kloepper, J.W.; Torbert, H.A. Influence of Plant Growth-Promoting Rhizobacteria on Corn Growth Under Different Fertility Sources. Commun. Soil Sci. Plant Anal. 2018, 49, 1239–1255. [Google Scholar] [CrossRef]
- Eleiwa, M.E.; Hamed, E.R.; Shehata, H.S. The Role of Biofertilizers and/or Some Micronutrients on Wheat Plant (Triticum aestivum L.) Growth in Newly Reclaimed Soil. Afr. J. Ecol. 2012, 50, 464–475. [Google Scholar] [CrossRef]
- Nain, L.; Yadav, R.; Saxena, J. Characterization of Multifaceted Bacillus sp. RM-2 for Its Use as Plant Growth Promoting Bioinoculant for Crops Grown in Semi Arid Deserts. Appl. Soil Ecol. 2012, 59, 124–135. [Google Scholar]
- Bona, E.; Lingua, G.; Todeschini, V. Effect of Bioinoculants on the Quality of Crops. In Bioformulations: For Sustainable Agriculture; Arora, N., Mehnaz, S., Balestrini, R., Eds.; Springer International Publishing: New Delhi, India, 2016; pp. 93–124. [Google Scholar]
- Bationo, A.; Kimetu, J.; Ikerra, S.; Kimani, S.; Mugendi, D.; Odendo, M.; Silver, M.; Swift, M.; Sanginga, N. The African Network for Soil Biology and Fertility: New Challenges and Opportunities. In Managing Nutrient Cycles to Sustain Soil Fertility in Sub-Saharan Africa; Bationo, A., Ed.; Academy Science Publishers (ASP): Nairobi, Kenya, 2003; pp. 1–24. [Google Scholar]
- El-Shafey, A.; El-Hawary, M.M. Integrated Effect of Bio-Organic and/or Nitrogen Fertilizer on Growth and Yield of Maize (Zea maize L.). Zagazig J. F. Crop Sci. 2016, 43, 1105–1119. [Google Scholar]
© 2019 by the authors. Licensee MDPI, Basel, Switzerland. This article is an open access article distributed under the terms and conditions of the Creative Commons Attribution (CC BY) license (http://creativecommons.org/licenses/by/4.0/).

