Conjugated Polymers Containing BODIPY and Fluorene Units for Sensitive Detection of CN− Ions: Site-Selective Synthesis, Photo-Physical and Electrochemical Properties
Abstract
:1. Introduction
2. Materials and Methods
2.1. Materials
2.2. Instruments
2.3. Synthesis
2.3.1. Synthesis of Monomers
2.3.2. Polymerization of Monomers
3. Results and Discussion
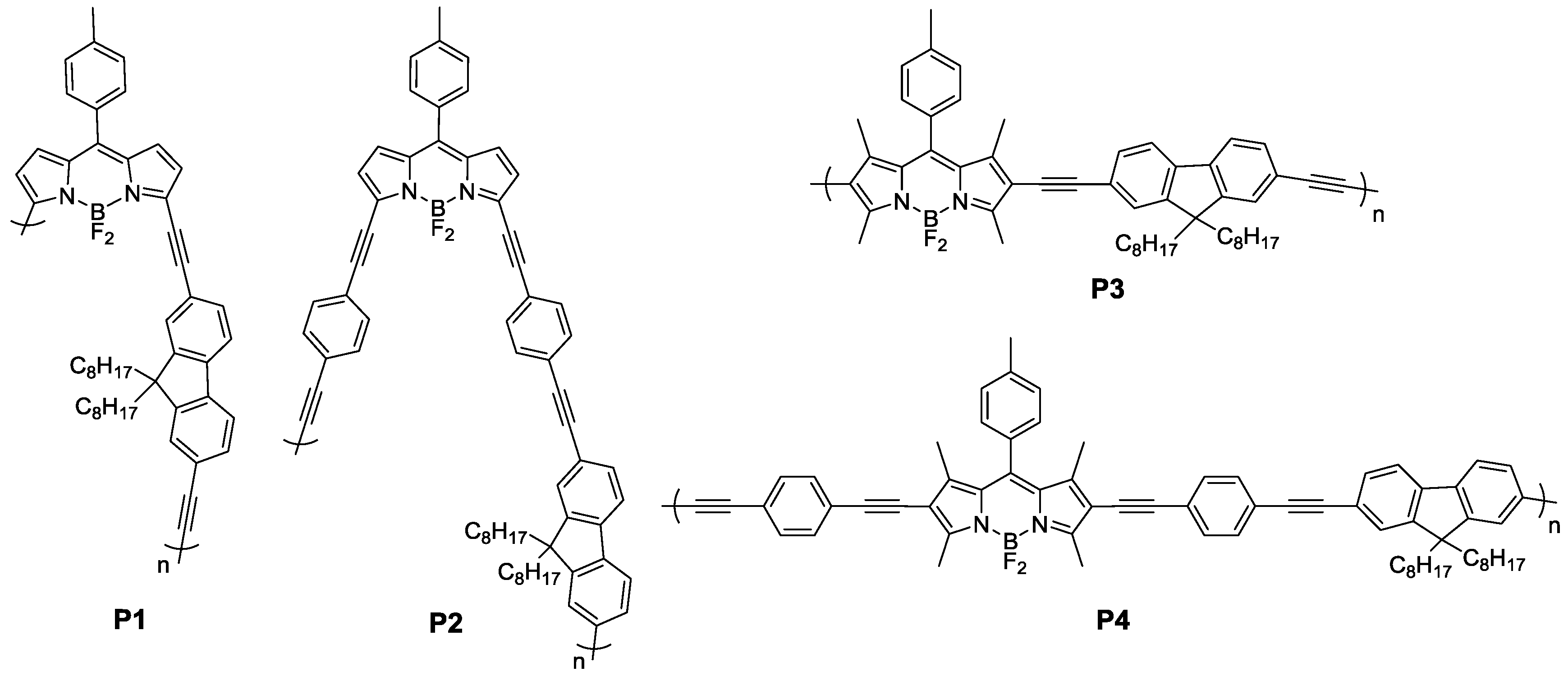
3.1. Synthesis and Structural Characterization
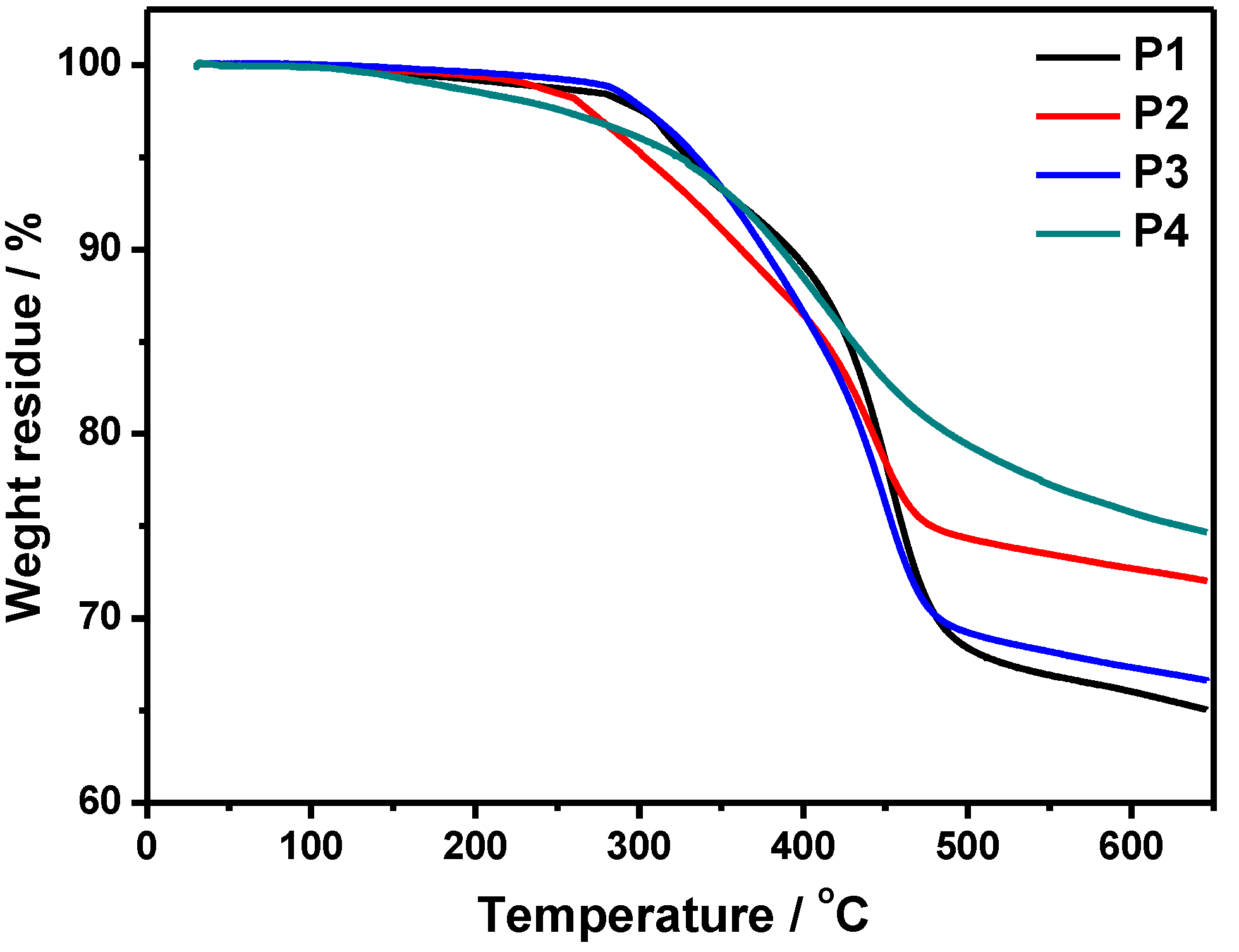
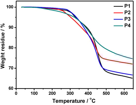
3.2. Thermal Properties
3.3. Optical Properties
3.4. Electrochemical Properties
3.5. Sensing Properties
4. Conclusions
Supplementary Materials
Acknowledgments
Author Contributions
Conflicts of Interest
References
- Loudet, A.; Burgess, K. BODIPY Dyes and Their Derivatives: Syntheses and Spectroscopic Properties. Chem. Rev. 2007, 107, 4891–4932. [Google Scholar] [CrossRef] [PubMed]
- Ulrich, G.; Ziessel, R.; Harriman, A. The Chemistry of Fluorescent Bodipy Dyes: Versatility Unsurpassed. Angew. Chem. Int. Ed. 2008, 47, 1184–1201. [Google Scholar] [CrossRef] [PubMed]
- Liu, B.; Li, L.; Lin, C.; Zhou, J.; Zhu, Z.; Xu, H.; Qiu, H.; Yin, S. Polyacetylenes containing BODIPY pendants with different connectivities: synthesis, characterization and opto-electronic properties. Polym. Chem. 2014, 5, 372–381. [Google Scholar] [CrossRef]
- Liu, B.; Huang, F.; Shi, Y.; Ni, Z.; Lin, Y.; Yin, S. Synthesis, characterization and optical properties of a new poly(aryleneethynylene)a co-cotaining BODIPY. Chin. J. Polym. Sci. 2015, 33, 1133–1139. [Google Scholar]
- Nepomnyashchii, A.B.; Bard, A.J. Electrochemistry and Electrogenerated Chemiluminescence of BODIPY Dyes. Acc. Chem. Res. 2012, 45, 1844–1853. [Google Scholar] [CrossRef] [PubMed]
- Wang, L.; Fang, G.; Cao, D. Highly selective and sensitive detection of F– and CN– ions simultaneously by a reaction-based BODIPY-containing conjugated polymer. Sens. Actuators B Chem. 2015, 221, 63–74. [Google Scholar] [CrossRef]
- Bessette, A.; Hanan, G.S. Design, synthesis and photophysical studies of dipyrromethene-based materials: Insights into their applications in organic photovoltaic devices. Chem. Soc. Rev. 2014, 43, 3342–3405. [Google Scholar] [CrossRef] [PubMed]
- Kowada, T.; Maeda, H.; Kikuchi, K. BODIPY-based probes for the fluorescence imaging of biomolecules in living cells. Chem. Soc. Rev. 2015, 44, 4953–4972. [Google Scholar] [CrossRef] [PubMed]
- Ekmekci, Z.; Yilmaz, M.D.; Akkaya, E.U. A Monostyryl-boradiazaindacene BODIPY. Derivative as Colorimetric and Fluorescent Probe for Cyanide Ions. Org. Lett. 2008, 10, 461–464. [Google Scholar] [CrossRef] [PubMed]
- Lee, C.-H.; Yoon, H.-J.; Shim, J.-S.; Jang, W.-D. A Boradiazaindacene-Based Turn-On Fluorescent Probe for Cyanide Detection in Aqueous Media. Chem. Eur. J. 2012, 18, 4513–4516. [Google Scholar] [CrossRef] [PubMed]
- Madhu, S.; Basu, S.K.; Jadhav, S.; Ravikanth, M. 3,5-Diformyl-borondipyrromethene for selective detection of cyanide anion. Analyst 2013, 138, 299–306. [Google Scholar] [CrossRef] [PubMed]
- Bredas, J.L.; Norton, J.E.; Cornil, J.; Coropceanu, V. Molecular Understanding of Organic Solar Cells: The Challenges. Acc. Chem. Res. 2009, 42, 1691–1699. [Google Scholar] [CrossRef] [PubMed]
- Venkat, R.; Donuru, G.K.V.; Velayudham, S.; Green, S.; Liu, H. Synthesis and Optical Properties of Red and Deep-Red Emissive Polymeric and Copolymeric BODIPY Dyes. Chem. Mater. 2009, 21, 2130–2138. [Google Scholar]
- Nagai, A.; Miyake, J.; Kokado, K.; Nagata, Y.; Chujo, Y. Highly Luminescent BODIPY-Based Organoboron Polymer Exhibiting Supramolecular Self-Assemble Structure. J. Am. Chem. Soc. 2008, 130, 15276–15278. [Google Scholar] [CrossRef] [PubMed]
- Zhu, Y.L.; Ji, Y.J.; Wang, D.G.; Zhang, Y.; Tang, H.; Jia, X.R.; Song, M.; Yu, G.P.; Kuang, G.C. BODIPY-based conjugated porous polymers for highly efficient volatile iodine capture. J. Mater. Chem. A 2017, 5, 6622–6629. [Google Scholar] [CrossRef]
- Sen, C.P.; Shrestha, R.G.; Shrestha, L.K.; Ariga, K.; Valiyaveettil, S. Low-Band-Gap BODIPY Conjugated Copolymers for Sensing Volatile Organic Compounds. Chemistry 2015, 21, 17344–17354. [Google Scholar] [CrossRef] [PubMed]
- Ma, X.; Mao, X.; Zhang, S.; Huang, X.; Cheng, Y.; Zhu, C. Aza-BODIPY-based D-π-A conjugated polymers with tunable band gap: Synthesis and near-infrared emission. Polym. Chem. 2013, 4, 520–527. [Google Scholar] [CrossRef]
- Economopoulos, S.P.; Chochos, C.L.; Ioannidou, H.A.; Neophytou, M.; Charilaou, C.; Zissimou, G.A.; Frost, J.M.; Sachetan, T.; Shahid, M.; Nelson, J.; et al. Novel BODIPY-based conjugated polymers donors for organic photovoltaic applications. RSC Adv. 2013, 3, 10221. [Google Scholar] [CrossRef]
- Debnath, S.; Singh, S.; Bedi, A.; Krishnamoorthy, K.; Zade, S.S. Site-Selective Synthesis and Characterization of BODIPY-Acetylene Copolymers and Their Transistor Properties. J. Polym. Sci. Polym. Chem. 2016, 54, 1978–1986. [Google Scholar] [CrossRef]
- Meng, G.; Velayudham, S.; Smith, A.; Luck, R.; Liu, H. Color Tuning of Polyfluorene Emission with BODIPY Monomers. Macromolecules 2009, 42, 1995–2001. [Google Scholar] [CrossRef]
- Akcelrud, L. Electroluminescent polymers. Prog. Polym. Sci. 2003, 28, 875–962. [Google Scholar] [CrossRef]
- Grell, M.; Bradley, D.D.C.; Inbasekaran, M.; Woo, E.P. A glass-forming conjugated main-chain liquid crystal polymer for polarized electroluminescence applications. Adv. Mater. 1997, 9, 798–802. [Google Scholar] [CrossRef]
- Grell, M.; Knoll, W.; Lupo, D.; Meisel, A.; Miteva, T.; Neher, D.; Nothofer, H.-G.; Scherf, U.; Yasuda, A. Blue Polarized Electroluminescence from a Liquid Crystalline Polyfluorene. Adv. Mater. 1999, 11, 671–675. [Google Scholar] [CrossRef]
- Kim, D.Y.; Cho, H.N.; Kim, C.Y. Blue light emitting polymers. Prog. Polym. Sci. 2000, 25, 1089–1139. [Google Scholar] [CrossRef]
- Leclerc, M. Polyfluorenes: Twenty years of progress. J. Polym. Sci. Part A Polym. Chem. 2001, 39, 2867–2873. [Google Scholar] [CrossRef]
- Neher, D. Polyfluorene Homopolymers: Conjugated Liquid-Crystalline Polymers for Bright Blue Emission and Polarized Electroluminescence. Macromol. Rapid Commun. 2001, 22, 1365–1385. [Google Scholar] [CrossRef]
- Pei, Q.; Yang. Efficient Photoluminescence and Electroluminescence from a Soluble Polyfluorene. J. Am. Chem. Soc. 1996, 118, 7416–7417. [Google Scholar] [CrossRef]
- Scherf, U.; List, E.J.W. Semiconducting Polyfluorenes-Towards Reliable Structure–Property Relationships. Adv. Mater. 2002, 14, 477–487. [Google Scholar] [CrossRef]
- Svensson, M.; Zhang, F.; Veenstra, S.C.; Verhees, W.J.H.; Hummelen, J.C.; Kroon, J.M.; Inganäs, O.; Andersson, M.R. High-Performance Polymer Solar Cells of an Alternating Polyfluorene Copolymer and a Fullerene Derivative. Adv. Mater. 2003, 15, 988–991. [Google Scholar] [CrossRef]
- Yin, S.; Leen, V.; Snick, S.V.; Boens, N.; Dehaen, W. A highly sensitive, selective, colorimetric and near-infrared fluorescent turn-on chemosensor for Cu2+ based on BODIPY. Chem. Commun. 2010, 46, 6329–6331. [Google Scholar] [CrossRef] [PubMed]
- Cui, C.; Wong, W.-Y.; Li, Y. Improvement of open-circuit voltage and photovoltaic properties of 2D-conjugated polymers by alkylthio substitution. Energy Environ. Sci. 2014, 7, 2276–2284. [Google Scholar] [CrossRef]
- Liu, J.; He, X.; Zhang, J.; He, T.; Huang, L.; Shen, J.; Li, D.; Qiu, H.; Yin, S. A BODIPY derivative for colorimetric and fluorometric sensing of fluoride ion and its logic gates behavior. Sens. Actuators B Chem. 2015, 208, 538–545. [Google Scholar] [CrossRef]
- He, X.; Zhang, J.; Liu, X.; Dong, L.; Li, D.; Qiu, H.; Yin, S. A novel BODIPY-based colorimetric and fluorometric dual-mode chemosensor for Hg2+ and Cu2+. Sens. Actuators B Chem. 2014, 192, 29–35. [Google Scholar] [CrossRef]










| Compound | λmax, sol (nm) | λmax, film (nm) | λem, sol (nm) | Φf (%) | λem, film (nm) |
|---|---|---|---|---|---|
| M1 | 519 | 580 | 557 | 30.4 | 600 |
| P1 | 582 | 554, 605 | 609 | 1.9 | 655 |
| M2 | 603 | 646 | 644 | 47.5 | 673 |
| P2 | 604, 654 | 612, 662 | 693 | 10.6 | 718 |
| M3 | 533 | 544 | 562 | 1.6 | 584 |
| P3 | 569 | 575 | 633 | 18.7 | 656 |
| M4 | 572 | 610 | 607 | 37.9 | 669 |
| P4 | 568, 664 | 648 | 618 | 3.1 | 725 |
© 2017 by the authors. Licensee MDPI, Basel, Switzerland. This article is an open access article distributed under the terms and conditions of the Creative Commons Attribution (CC BY) license (http://creativecommons.org/licenses/by/4.0/).
Share and Cite
He, T.; Tang, D.; Lin, C.; Shen, X.; Lu, C.; Xu, L.; Gu, Z.; Xu, Z.; Qiu, H.; Zhang, Q.; et al. Conjugated Polymers Containing BODIPY and Fluorene Units for Sensitive Detection of CN− Ions: Site-Selective Synthesis, Photo-Physical and Electrochemical Properties. Polymers 2017, 9, 512. https://doi.org/10.3390/polym9100512
He T, Tang D, Lin C, Shen X, Lu C, Xu L, Gu Z, Xu Z, Qiu H, Zhang Q, et al. Conjugated Polymers Containing BODIPY and Fluorene Units for Sensitive Detection of CN− Ions: Site-Selective Synthesis, Photo-Physical and Electrochemical Properties. Polymers. 2017; 9(10):512. https://doi.org/10.3390/polym9100512
Chicago/Turabian StyleHe, Tian, Danting Tang, Cuiling Lin, Xi Shen, Chenjie Lu, Luonan Xu, Zhengye Gu, Zheng Xu, Huayu Qiu, Qian Zhang, and et al. 2017. "Conjugated Polymers Containing BODIPY and Fluorene Units for Sensitive Detection of CN− Ions: Site-Selective Synthesis, Photo-Physical and Electrochemical Properties" Polymers 9, no. 10: 512. https://doi.org/10.3390/polym9100512
APA StyleHe, T., Tang, D., Lin, C., Shen, X., Lu, C., Xu, L., Gu, Z., Xu, Z., Qiu, H., Zhang, Q., & Yin, S. (2017). Conjugated Polymers Containing BODIPY and Fluorene Units for Sensitive Detection of CN− Ions: Site-Selective Synthesis, Photo-Physical and Electrochemical Properties. Polymers, 9(10), 512. https://doi.org/10.3390/polym9100512

