Biodegradable Shape Memory Polymeric Material from Epoxidized Soybean Oil and Polycaprolactone
Abstract
:1. Introduction
2. Experimental Section
2.1. Materials
2.2. Synthesis of PolyESO/PCL
2.3. Enzymatic Degradation of PolyESO/PCL
2.4. Evaluation of Shape Memory-Recovery Properties of PolyESO/PCL
2.5. Measurements
3. Results and Discussion
3.1. Synthesis of PolyESO/PCL

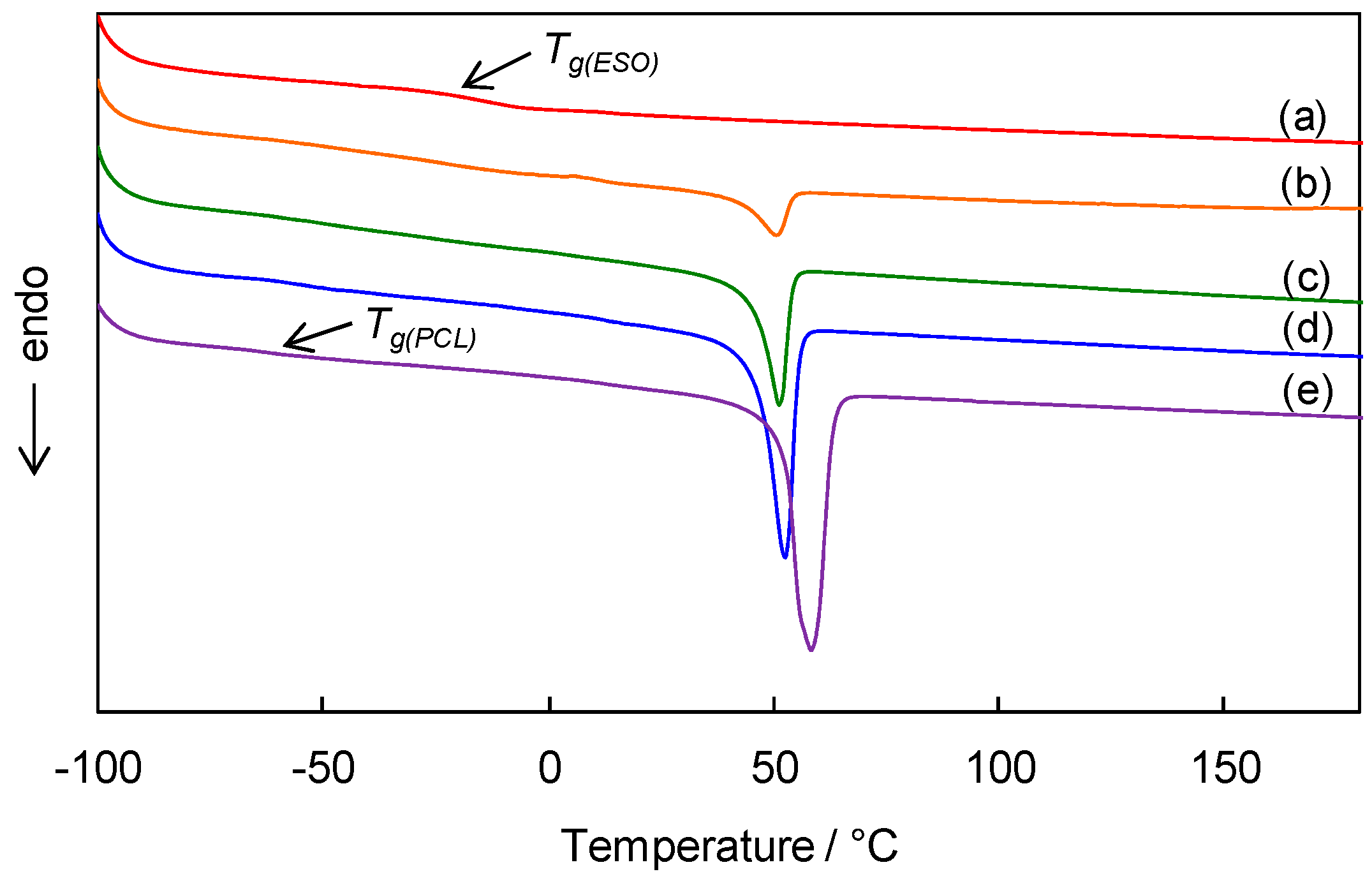
3.2. Thermal and Mechanical Properties of polyESO/PCL

| Sample code | Tm a | ΔHm a,b | Maximum stress c | Strain at break c |
|---|---|---|---|---|
| °C | J·g−1 | MPa | % | |
| ESO homopolymer | – d | – d | 1.0 | 9 |
| PolyESO/PCL (75/25 wt %) | 50.6 | 9.8 | 2.6 | 20 |
| PolyESO/PCL (50/50 wt %) | 51.6 | 25.7 | 8.8 | 63 |
| PolyESO/PCL (25/75 wt %) | 52.8 | 41.6 | 12.3 | 147 |
| Neat PCL | 58.6 | 62.2 | – e | >1,000 |



3.3. Shape Memory-Recovery Behavior of PolyESO/PCL


4. Conclusions
Supplementary Materials
Acknowledgements
Author Contributions
Conflicts of Interest
References
- Ragauskas, A.J.; Williams, C.K.; Davison, B.H.; Britovsek, G.; Cairney, J.; Eckert, C.A.; Frederick, W.J., Jr.; Hallett, J.P.; Leak, D.J.; Liotta, C.L.; et al. The path forward for biofuels and biomaterials. Science 2006, 311, 484–489. [Google Scholar] [CrossRef] [PubMed]
- Nagarajan, V.; Mohanty, A.K.; Misra, M. Sustainable green composites: Value addition to agricultural residues and perennial grasses. ACS Sustain. Chem. Eng. 2013, 1, 325–333. [Google Scholar] [CrossRef]
- Quirino, R.L.; Garrison, T.F.; Kessler, M.R. Matrices from vegetable oils, cashew nut shell liquid, and other relevant systems for biocomposite applications. Green Chem. 2014, 16, 1700–1715. [Google Scholar] [CrossRef]
- Biermann, U.; Friedt, W.; Lang, S.; Lühs, W.; Machmüller, G.; Metzger, J.O.; Rüsch gen Klaas, M.; Schäfer, H.J.; Schneider, M.P. New syntheses with oils and fats as renewable raw materials for the chemical industry. Angew. Chem. Int. Ed. 2000, 39, 2206–2224. [Google Scholar] [CrossRef]
- Petrović, Z.S. Polyurethanes from vegetable oils. Polym. Rev. 2008, 48, 109–155. [Google Scholar] [CrossRef]
- Swern, D.; Billen, G.N.; Findley, T.W.; Scanlan, J.T. Hydroxylation of monounsaturated fatty materials with hydrogen peroxide. J. Am. Chem. Soc. 1945, 67, 1786–1789. [Google Scholar] [CrossRef]
- Lu, J.; Khot, S.; Wool, R.P. New sheet molding compound resins from soybean oil. I. Synthesis and characterization. Polymer 2005, 46, 71–80. [Google Scholar] [CrossRef]
- Lligadas, G.; Ronda, J.C.; Galià, M.; Cádiz, V. Plant oils as platform chemicals for polyurethane synthesis: Current state-of-the-art. Biomacromolecules 2010, 11, 2825–2835. [Google Scholar] [CrossRef] [PubMed]
- Luo, Q.; Liu, M.; Xu, Y.; Ionescu, M.; Petrović, Z.S. Thermosetting allyl resins derived from soybean oil. Macromolecules 2011, 11, 7149–7157. [Google Scholar] [CrossRef]
- Saithai, P.; Lecomte, J.; Dubreucq, E.; Tanrattanakul, V. Effects of different epoxidation methods of soybean oil on the characteristics of acrylated epoxidized soybean oil-co-poly(methyl methacrylate) copolymer. Express Polym. Lett. 2013, 7, 910–924. [Google Scholar] [CrossRef]
- Chakrapani, S.; Crivello, J.V. Synthesis and photoinitiated cationic polymerization of epoxidized castor oil and its derivatives. J. Macromol. Sci. Pure Appl. Chem. 1998, 35, 1–20. [Google Scholar] [CrossRef]
- Biresaw, G.; Liu, Z.S.; Erhan, S.Z. Investigation of the surface properties of polymeric soaps obtained by ring-opening polymerization of epoxidized soybean oil. J. Appl. Polym. Sci. 2008, 108, 1976–1985. [Google Scholar] [CrossRef]
- Gupta, A.P.; Ahmad, S.; Dev, A. Modification of novel bio-based resin-epoxidized soybean oil by conventional epoxy resin. Polym. Eng. Sci. 2011, 51, 1087–1091. [Google Scholar] [CrossRef]
- Wang, R.; Schuman, T.P. Vegetable oil-derived epoxy monomers and polymer blends: A comparative study with review. Express Polym. Lett. 2013, 7, 272–292. [Google Scholar] [CrossRef]
- Hosoda, N.; Tsujimoto, T.; Uyama, H. Plant oil-based green composite using porous poly(3-hydroxybutyrate). Polym. J. 2014, 46, 301–306. [Google Scholar] [CrossRef]
- Tsujimoto, T.; Uyama, H.; Kobayashi, S. Green nanocomposites from renewable resources: Biodegradable plant oil-silica hybrid coatings. Macromol. Rapid Commun. 2003, 24, 711–714. [Google Scholar] [CrossRef]
- Miyagawa, H.; Misra, M.; Drazal, L.T.; Mohanty, A.K. Novel biobased nanocomposites from functionalized vegetable oil and organically-modified layered silicate clay. Polymer 2005, 46, 445–453. [Google Scholar] [CrossRef]
- Lligadas, G.; Ronda, J.C.; Galià, M.; Cádiz, V. Bionanocomposites from renewable resources: Epoxidized linseed oil-polyhedral oligomeric silsesquioxanes hybrid materials. Biomacromolecules 2006, 7, 3521–3526. [Google Scholar] [CrossRef] [PubMed]
- Tanrattanakul, V.; Saithai, P. Mechanical properties of bioplastics and bioplastic-organoclay nanocomposites prepared from epoxidized soybean oil with different epoxide contents. J. Appl. Polym. Sci. 2009, 114, 3057–3067. [Google Scholar] [CrossRef]
- Williams, G.I.; Wool, R.P. Composites from natural fibers and soy oil resins. Appl. Compos. Mater. 2000, 7, 421–432. [Google Scholar] [CrossRef]
- Rakotonirainy, A.M.; Padua, G.W. Effects of lamination and coating with drying oils on tensile and barrier properties of zein films. J. Agric. Food Chem. 2001, 49, 2860–2863. [Google Scholar] [CrossRef] [PubMed]
- Tran, P.; Graiver, D.; Narayan, R. Biocomposites synthesized from chemically modified soy oil and biofibers. J. Appl. Polym. Sci. 2006, 102, 69–75. [Google Scholar] [CrossRef]
- Shibata, M.; Teramoto, N.; Someya, Y.; Suzuki, S. Bio-based nanocomposites composed of photo-cured epoxidized soybean oil and supramolecular hydroxystearic acid nanofibers. J. Polym. Sci. Polym. Phys. 2009, 47, 669–673. [Google Scholar] [CrossRef]
- Feninat, F.E.; Laroche, G.; Fiset, M.; Mantovani, D. Shape memory materials for biomedical applications. Adv. Eng. Mater. 2002, 4, 91–104. [Google Scholar] [CrossRef]
- Liu, C.; Seung, B.C.; Mather, P.T.; Zheng, L.; Haley, E.H.H.; Coughlin, E.B. Chemically cross-linked polycyclooctene: Synthesis, characterization, and shape memory behavior. Macromolecules 2002, 35, 9868–9874. [Google Scholar] [CrossRef]
- Kolesov, I.S.; Radusch, H.J. Multiple shape-memory behavior and thermal-mechanical properties of peroxide cross-linked blends of linear and short-chain branched polyethylenes. Express Polym. Lett. 2008, 2, 461–473. [Google Scholar] [CrossRef]
- Luo, X.; Mather, P.T. Triple-shape polymeric composites (TSPCs). Adv. Funct. Mater. 2010, 20, 2649–2656. [Google Scholar] [CrossRef]
- Ranta, D.; Karger-Kocsis, J. Shape memory polymer system of semi-interpenetrating network structure composed of crosslinked poly(methyl methacrylate) and poly(ethylene oxide). Polymer 2011, 52, 1063–1070. [Google Scholar]
- Julich-Gruner, K.K.; Löwenberg, C.; Neffe, A.T.; Behl, M.; Lendlein, A. Recent advances in polymer shape memory. Macromol. Chem. Phys. 2013, 214, 527–536. [Google Scholar] [CrossRef]
- Fejős, M.; Molnár, K.; Karger-Kocsis, J. Epoxy/polycaprolactone systems with triple-shape memory effect: Electrospun nanoweb with and without graphene versus co-continuous morphology. Materials 2013, 6, 4489–4504. [Google Scholar] [CrossRef]
- Alteheld, A.; Feng, Y.K.; Kelch, S.; Lendlein, A. Biodegradable, amorphous copolyester-urethane networks having shape-memory properties. Angew. Chem. Int. Ed. 2005, 44, 1188–1192. [Google Scholar] [CrossRef] [PubMed]
- Ni, X.Y.; Sun, X.H. Block copolymer of trans-polyisoprene and urethane segment: Shape memory effects. J. Appl. Polym. Sci. 2006, 100, 879–885. [Google Scholar] [CrossRef]
- Xue, L.; Dai, S.Y.; Li, Z. Synthesis and characterization of three-arm poly(ε-caprolactone)-based poly(ester-urethanes) with shape-memory effect at body temperature. Macromolecules 2009, 42, 964–972. [Google Scholar] [CrossRef]
- Zhang, H.; Wang, H.; Zhong, W.; Du, Q. A novel type of shape memory polymer blend and the shape memory mechanism. Polymer 2009, 50, 1596–1601. [Google Scholar] [CrossRef]
- Yang, D.; Gao, D.; Zeng, C.; Jiang, J.; Xie, M. POSS-enhanced shape-memory copolymer of polynorbornene derivate and polycyclooctene through ring-opening metathesis polymerization. React. Funct. Polymers 2011, 71, 1096–1101. [Google Scholar] [CrossRef]
- Lu, H.B.; Huang, W.M.; Yao, Y.T. Review of chemo-responsive shape change/memory polymers. Pigment Resin Technol. 2013, 42, 237–246. [Google Scholar] [CrossRef]
- Wu, X.L.; Huang, W.M.; Tan, H.X. Characterization of shape recovery via creeping and shape memory effect in ether-vinyl acetate copolymer (EVA). J. Polym. Res. 2013, 20, 150. [Google Scholar] [CrossRef]
- Tsujimoto, T.; Toshimitsu, K.; Uyama, H.; Takeno, S.; Nakazawa, Y. Maleated trans-1,4-polyisoprene from Eucommia ulmodies oliver with dynamic network structure and its shape memory property. Polymer 2014, 55, 6488–6493. [Google Scholar] [CrossRef]
- Takahashi, T.; Hayashi, N.; Hayashi, S. Structure and properties of shape-memory polyurethane block copolymers. J. Appl. Polym. Sci. 1996, 60, 1061–1069. [Google Scholar] [CrossRef]
- Zini, E.; Scandola, M. Shape memory behavior of novel (l-lactide-glycolide-trimethylene carbonate) terpolymers. Biomacromolecules 2007, 8, 3661–3667. [Google Scholar] [CrossRef] [PubMed]
- Cai, W.; Liu, L.L. Shape-memory effect of poly (glycerol-sebacate) elastomer. Mater. Lett. 2008, 62, 2171–2173. [Google Scholar] [CrossRef]
- Yamashiro, M.; Inoue, K.; Iji, M. Recyclable shape-memory and mechanical strength of poly(lactic acid) compounds cross-linked by thermo-reversible Diels-Alder reaction. Polym. J. 2008, 40, 657–662. [Google Scholar] [CrossRef]
- Guo, B.; Chen, Y.; Lei, Y.; Zhang, L.; Zhou, W.Y.; Bakr, A.; Rabie, M.; Zhao, J. Biobased poly(propylene sebacate) as shape memory polymer with tunable switching temperature for potential biomedical applications. Biomacromolecules 2011, 12, 1312–1321. [Google Scholar] [CrossRef] [PubMed]
- Tsujimoto, T.; Uyama, H. Full bio-based polymeric material from plant oil and poly(lactic acid) with a shape memory property. ACS Sustain. Chem. Eng. 2014, 2, 2057–2062. [Google Scholar] [CrossRef]
- Xu, X.L.; Sun, Z.J.; Cai, W.; Guo, Z.Y. Study on the shape memory effects of poly(l-lactide-co-ε-caprolactone) biodegradable polymers. J. Mater. Sci. Mater. Med. 2008, 19, 395–399. [Google Scholar]
- Paderni, K.; Pandini, S.; Passera, S.; Pilati, F.; Toselli, M.; Messori, M. Shape-memory polymer networks from sol-gel cross-linked alkoxysilane-terminated poly(ε-caprolactone). J. Mater. Sci. 2012, 47, 4354–4362. [Google Scholar] [CrossRef]
- Pandini, S.; Baldi, F.; Paderni, K.; Messori, M.; Toselli, M.; Pilati, F.; Gianoncelli, A.; Brisotto, M.; Brontempi, E.; Riccò, T. One-way and two-way shape memory behavior of semi-crystalline networks based on sol-gel cross-linked poly(ε-caprolactone). Polymer 2013, 54, 4253–4265. [Google Scholar] [CrossRef]
- Hu, H.; Dorset, D.L. Crystal structure of poly(ε-capro1actone). Macromolecules 1990, 23, 4604–4607. [Google Scholar] [CrossRef]
© 2015 by the authors; licensee MDPI, Basel, Switzerland. This article is an open access article distributed under the terms and conditions of the Creative Commons by Attribution (CC-BY) license (http://creativecommons.org/licenses/by/4.0/).
Share and Cite
Tsujimoto, T.; Takayama, T.; Uyama, H. Biodegradable Shape Memory Polymeric Material from Epoxidized Soybean Oil and Polycaprolactone. Polymers 2015, 7, 2165-2174. https://doi.org/10.3390/polym7101506
Tsujimoto T, Takayama T, Uyama H. Biodegradable Shape Memory Polymeric Material from Epoxidized Soybean Oil and Polycaprolactone. Polymers. 2015; 7(10):2165-2174. https://doi.org/10.3390/polym7101506
Chicago/Turabian StyleTsujimoto, Takashi, Takeshi Takayama, and Hiroshi Uyama. 2015. "Biodegradable Shape Memory Polymeric Material from Epoxidized Soybean Oil and Polycaprolactone" Polymers 7, no. 10: 2165-2174. https://doi.org/10.3390/polym7101506
APA StyleTsujimoto, T., Takayama, T., & Uyama, H. (2015). Biodegradable Shape Memory Polymeric Material from Epoxidized Soybean Oil and Polycaprolactone. Polymers, 7(10), 2165-2174. https://doi.org/10.3390/polym7101506
