Improving the Conductivity of Sulfonated Polyimides as Proton Exchange Membranes by Doping of a Protic Ionic Liquid
Abstract
:1. Introduction
2. Experimental Section
2.1. Materials

2.2. Synthesis of 4,4'-Diaminodiphenyl Ether-2,2'-Disulfonic Acid (ODADS)
2.3. Synthesis of Sulfonated Polyimides
| Code | Diamine mole in feed (mmol) | Dianhydride BPADA (mmol) | IEC a(theory) (mmol/g) | IEC b(exp) (mmol/g) | Viscosity (dL/g) | |
|---|---|---|---|---|---|---|
| ODADS | BAPP | |||||
| SPIa | 5.69 | 5.69 | 11.38 | 1.03 | 0.93 | 1.169 |
| SPIb | 6.83 | 4.55 | 11.38 | 1.22 | 1.09 | 0.702 |
| SPIc | 7.97 | 3.41 | 11.38 | 1.40 | 1.25 | 0.496 |

2.4. Preparation of SPI/IL Composite Membranes
| Code | SPI | PIL * |
|---|---|---|
| SPIa/V4 | SPIa 60% | VIm 40% |
| SPIb/V4 | SPIb 60% | VIm 40% |
| SPIc/V4 | SPIc 60% | VIm 40% |
| SPIa/V5 | SPIa 50% | VIm 50% |
| SPIb/V5 | SPIb 50% | VIm 50% |
| SPIc/V5 | SPIc 50% | VIm 50% |
2.5. Measurements
3. Results and Discussion
3.1. ODA Sulfonation
3.2. Synthesis of Sulfonated Polyimides

| Compound | Absorption Band (cm−1) | Intensity * | Origin ** |
|---|---|---|---|
| Disulfonic acid | 1086 cm−1 | s | –SO3H, asym. stretch |
| 1023 cm−1 | s | –SO3H, sym. stretch | |
| 1618 cm−1, 3442 cm−1 | m, s | –NH2 stretch | |
| Sulfonated Polyimides | 1779 cm−1 | s | C=O asym. stretch |
| 1728 cm−1 | vs | C=O sym. stretch | |
| 2960 cm−1–2850 cm−1 | s | CH2 band | |
| 1378 cm−1 | s | C–N stretch | |
| 744 cm−1 | – | C=O bending | |
| 1275 cm−1–1200 cm−1 | s | C–O–C stretch | |
| 2697 cm−1 | m | (C2H5)3N | |
| Amic acids | 1660 cm−1 | s | C=O(CONH) |
| 1710 cm−1 | s | C=O(COOH) | |
| 1550 cm−1 | w | C–NH | |
| Ionic liquids | 992 cm−1, 1660 cm−1 | s | C=C–N |
| 1547 cm−1 | v | C=N |
3.3. Characterization of Composite Membranes

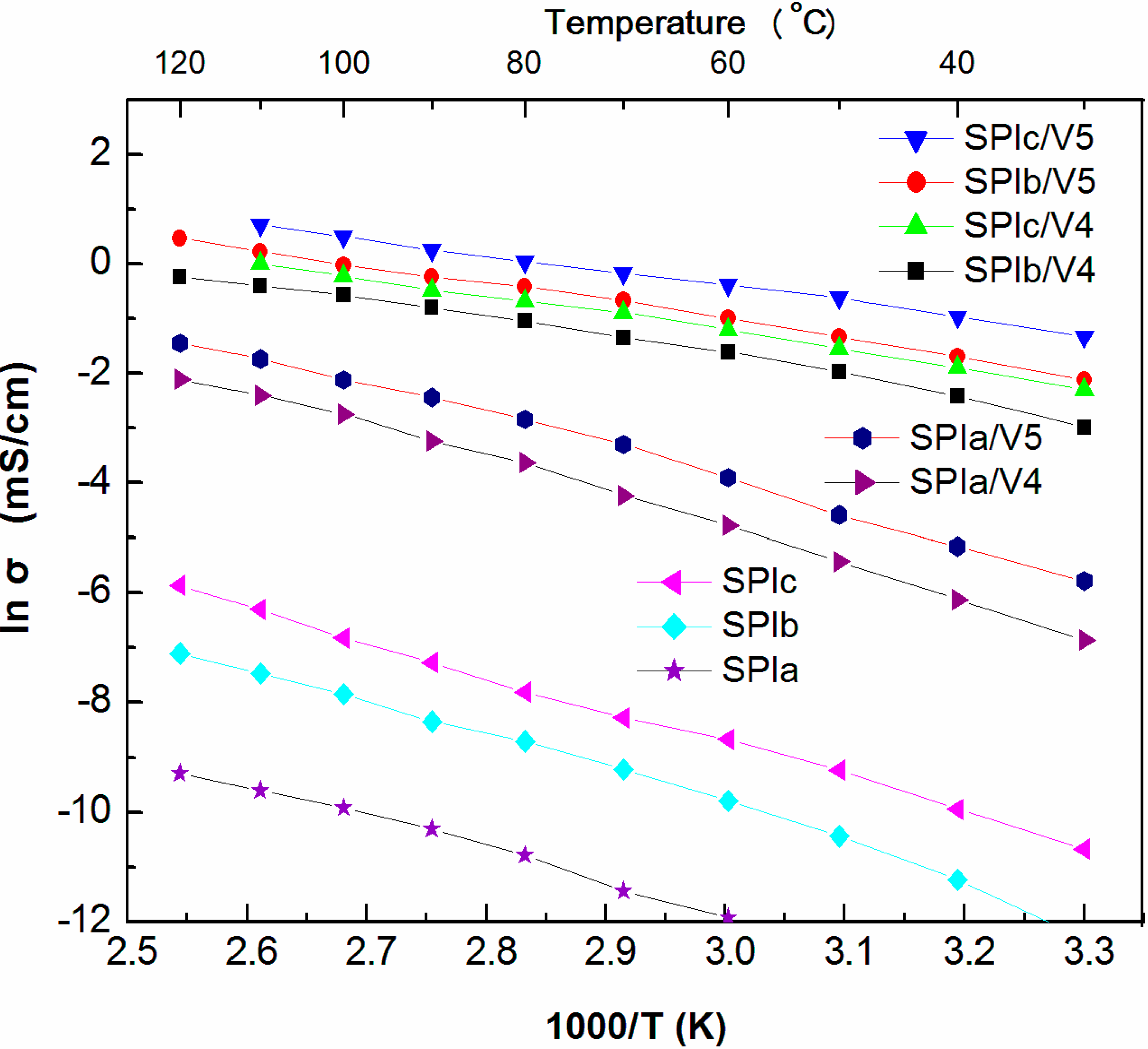
3.4. Membrane Conductivity

3.5. Membrane Morphology

3.6. Thermal Properties
| Material | Td-10% (°C) | Tg (°C) | Tensile Strength (MPa) | Elongation at Break (%) |
|---|---|---|---|---|
| SPIa | 389.1 | 299.2 | 57.5 ± 3.4 | 4.9 ± 0.4 |
| SPIb | 369.7 | 298.2 | 42.1 ± 2.7 | 5.2 ± 0.6 |
| SPIc | 359.1 | 297.7 | 34.9 ± 1.8 | 10.1 ± 2.8 |
| SPIa/V4 | 381.2 | 132.8 | 15.6 ± 1.2 | 27.7 ± 3.8 |
| SPIb/V4 | 377.5 | 128.3 | 13.0 ± 0.9 | 47.0 ± 5.3 |
| SPIc/V4 | 371.3 | 113.6 | 8.6 ± 1.0 | 117 ± 19.0 |
| SPIa/V5 | 380.8 | 129.8 | 13.4 ± 1.3 | 39.9 ± 4.4 |
| SPIb/V5 | 376.3 | 126.4 | 9.2 ± 0.7 | 103 ± 12.1 |
| SPIc/V5 | 372.4 | 110.0 | 5.6 ± 0.8 | 124 ± 24.3 |
| [VIm][OTf] | 376.2 | 50.0 | – | – |

3.7. Mechanical Properties
3.8. Comparison of Effect of Dianhydride on SPI


4. Conclusions
Acknowledgments
Author Contributions
Conflicts of Interest
References
- Ye, Y.S.; Rick, J.; Hwang, B.J. Water soluble polymers as proton exchange membranes for fuel cells. Polymers 2012, 4, 913–963. [Google Scholar]
- Choi, S.W.; Park, J.O.; Pak, C.; Choi, K.H.; Lee, J.C.; Chang, H. Design and synthesis of cross-linked copolymer membranes based on poly(benzoxazine) and polybenzimidazole and their application to an electrolyte membrane for a high-temperature PEM fuel cell. Polymers 2013, 5, 77–111. [Google Scholar]
- Zaidi, S.M.J. Research trends in polymer electrolyte membranes for PEMFC. In Polymer Membranes for Fuel Cells; Zaidi, S.M.J., Matsuura, T., Eds.; Springer Publishing Co.: New York, NY, USA, 2006; pp. 7–25. [Google Scholar]
- Kreuer, K.D. On the development of proton conducting polymer membranes for hydrogen and methanol fuel cells. J. Membr. Sci. 2001, 185, 29–39. [Google Scholar] [CrossRef]
- Li, W.; Zhang, F.; Yi, S.; Huang, C.; Zhang, H.; Pan, M. Effects of casting solvent on microstructrue and ionic conductivity of anhydrous sulfonated poly(ether ether ketone)-inoic liquid composite membranes. Int. J. Hydrog. Energy 2012, 37, 748–754. [Google Scholar] [CrossRef]
- Krishnan, N.N.; Kim, H.J.; Jang, J.H.; Cho, E.A.; Lee, S.Y.; Lim, T.H.; Hong, S.A. Fuel cell performance of polymer electrolyte membrane based on hexafluorinated sulfonated poly(ether sulfone). Polym. Bull. 2009, 62, 457–468. [Google Scholar]
- Li, Q.; Pan, C.; Jensen, J.O.; Noye, P.; Bjerrum, N.J. Cross-linked polybenzimidazole membranes for fuel cells. Chem. Mater. 2007, 19, 350–352. [Google Scholar] [CrossRef]
- Zhu, X.; Pan, H.; Liang, Y.; Jian, X. Synthesis and properties of novel sulfonated polyimides containing phthalazinone moieties for PEMFC. Eur. Polym. J. 2008, 44, 3782–3789. [Google Scholar]
- Yan, J.; Liu, C.; Wang, Z.; Xing, W.; Ding, M. Water resistant sulfonated polyimides based on 4,4'-binaphthyl-1,1',8,8'-tetracarboxylic dianhydride (BNTDA) for proton exchange membranes. Polymer 2007, 48, 6210–6214. [Google Scholar]
- Su, Y.H.; Liu, Y.L.; Sun, Y.M.; Lai, J.Y.; Guiver, M.D.; Gao, Y. Using silica nanoparticles for modifying sulfonated poly(phthalazinone ether ketone) membrane for direct methanol fuel cell: A significant improvement on cell performance. J. Power Sources 2006, 155, 111–117. [Google Scholar]
- Nunes, S.P.; Ruffmann, B.; Rikowski, E.; Vetter, S.; Richau, K. Inorganic modification of proton conductive polymer membranes for direct methanol fuel cells. J. Membr. Sci. 2002, 203, 215–225. [Google Scholar]
- Zaidi, S.M.J.; Rahman, S.U. Perfluorinated ionomer-boron phosphate composite membranes for DMFC applications. J. Electrochem. Soc. 2005, 152, A1590–A1594. [Google Scholar]
- Che, Q.T.; Sun, B.Y.; He, R.H. Preparation and characterization of new anhydrous, conducting membranes based on composites of ionic liquid trifluoroacetic propylamine and polymers of sulfonated poly (ether ether) ketone or polyvinylidenefluoride. Electrochim. Acta 2008, 53, 4428–4434. [Google Scholar] [CrossRef]
- Sekhon, S.S.; Park, J.S.; Cho, E.K.; Yoon, Y.G.; Kim, C.S.; Lee, W.Y. Studies of high temperature proton conducting membranes containing hydrophilic/hydrophobic ionic liquids. Macromolecules 2009, 42, 2054–2062. [Google Scholar]
- Yasuda, T.; Nakamura, S.; Honda, Y.; Kinugawa, K.; Lee, S.Y.; Watanabe, M. Effects of polymer structure on properties of sulfonated polyimide/protic ionic liquid composite membranes for nonhumidified fuel cell applications. ACS Appl. Mater. Interfaces 2012, 4, 1783–1790. [Google Scholar] [PubMed]
- Deligöz, H.; Yılmazoğlu, M. Development of a new highly conductive and thermomechanically stable complex membrane based on sulfonated polyimide/ionic liquid for high temperature anhydrous fuel cells. J. Power Sources 2011, 196, 3496–3502. [Google Scholar]
- Xiang, J.; Chen, R.; Wu, F.; Li, L.; Chen, S.; Zou, Q. Physicochemical properties of new amide-based protic ionic liquids and their use as materials for anhydrous proton conductors. Electrochim. Acta 2011, 56, 7503–7509. [Google Scholar] [CrossRef]
- Ye, Y.S.; Tseng, C.Y.; Shen, W.C.; Wang, J.S.; Chen, K.J.; Cheng, M.Y.; Rick, J.; Huang, Y.J.; Chang, F.C.; Hwang, B.J. A new graphene-modified protic ionic liquid-based composite membrane for solid polymer electrolytes. J. Mater. Chem. 2011, 21, 10448–10453. [Google Scholar] [CrossRef]
- Chen, B.K.; Wu, T.Y.; Kuo, C.W.; Peng, Y.C.; Shih, I.C.; Hao, L.; Sun, I.W. 4,4'-Oxydianiline (ODA) containing sulfonated polyimide/protic ionic liquid composite membranes for anhydrous proton conduction. Int. J. Hydrog. Energy 2013, 38, 11321–11330. [Google Scholar]
- Luo, J.; Conrad, O.; Vankelecom, I.F.J. Imidazolium methanesulfonate as a high temperature proton conductor. J. Mater. Chem. A 2013, 1, 2238–2247. [Google Scholar] [CrossRef]
- Di Noto, V.; Negro, E.; Sanchez, J.-Y.; Iojoiu, C. Structure-relaxation interplay of a new nanostructured membrane based on tetraethylammonium trifluoromethanesulfonate ionic liquid and neutralized nafion 117 for high-temperature fuel cell. J. Am. Chem. Soc. 2010, 132, 2183–2195. [Google Scholar] [CrossRef] [PubMed]
- Di Noto, V.; Piga, M.; Giffin, G.A.; Lavina, S.; Smotkin, E.S.; Sanchez, J.-Y.; Iojoiu, C. Influence of anions on proton-conducting membranes based on neutralized nafion 117, triethylammonium methanesulfonate, and triethylammonium perfluorobutanesulfonate. 1. Synthesis and properties. J. Phys. Chem. C 2012, 116, 1361–1369. [Google Scholar]
- Di Noto, V.; Piga, M.; Giffin, G.A.; Lavina, S.; Smotkin, E.S.; Sanchez, J.; Iojoiu, C. Influence of anions on proton-conducting membranes based on neutralized nafion 117, triethylammonium methanesulfonate, and triethylammonium perfluorobutanesulfonate. 2. Electrical properties. J. Phys. Chem. C 2012, 116, 1370–1379. [Google Scholar] [CrossRef]
- Luo, J.; Hu, J.; Saak, W.; Beckhaus, R.; Wittstock, G.; Vankelecom, I.F.J.; Agerta, C.; Conrad, O. Protic ionic liquid and ionic melts prepared from methanesulfonic acid and 1H-1,2,4-triazole as high temperature PEMFC electrolytes. J. Mater. Chem. 2011, 21, 10426–10436. [Google Scholar]
- Chen, B.K.; Wu, T.Y.; Chang, Y.M.; Chen, A.F. Ductile polylactic acid prepared with ionic liquids. Chem. Eng. J. 2013, 215–216, 886–893. [Google Scholar]
- Fang, J.; Guo, X.; Harada, S.; Watari, T.; Tanaka, K.; Kita, H.; Okamoto, K. Novel sulfonated polyimides as polyelectrolytes for fuel cell application. 1. Synthesis, proton conductivity, and water stability of polyimides from 4,4'-diamino diphenyl ether-2,2'-disulfonic acid. Macromolecules 2002, 35, 9022–9028. [Google Scholar] [CrossRef]
- Di Noto, V.; Boaretto, N.; Negro, E.; Giffin, G.A.; Lavina, S.; Polizzi, S. Inorganic-organic membranes based on Nafion, [(ZrO2)·(HfO2)0.25] and [(SiO2)·(HfO2)0.28]. Part I: Synthesis, thermal stability and performance in a single PEMFC. Int. J. Hydrog. Energy 2012, 37, 6199–6214. [Google Scholar]
- Luo, J.; Tan, T.V.; Conrad, O.; Vankelecom, I.F.J. 1H-1,2,4-Triazole as solvent for imidazolium methanesulfonate. Phys. Chem. Chem. Phys. 2012, 14, 11441–11447. [Google Scholar] [CrossRef] [PubMed]
- Luo, J.; Conrad, O.; Vankelecom, I.F.J. Physicochemical properties of phosphonium-based and ammonium-based protic ionic liquids. J. Mater. Chem. 2012, 22, 20574–20579. [Google Scholar]
- Higashihara, T.; Matsumoto, K.; Ueda, M. Sulfonated aromatic hydrocarbon polymers as proton exchange membranes for fuel cells. Polymer 2009, 50, 5341–5357. [Google Scholar]
- Ohno, H. Electrochemical Aspects of Ionic Liquids; Wiley Interscience: Hoboken, NJ, USA, 2005. [Google Scholar]
- Martinelli, A.; Matic, A.; Jacobsson, P.; Borjesson, L.; Fernicola, A.; Panero, S.; Scrosati, B.; Ohno, H. Physical properties of proton conducting membranes based on a protic ionic liquid. J. Phys. Chem. B 2007, 111, 12462–12467. [Google Scholar] [CrossRef] [PubMed]
- Wu, T.Y.; Chen, B.K.; Hao, L.; Lin, K.F.; Sun, I.W. Thermophysical properties of a room temperature ionic liquid (1-methyl-3-pentyl-imidazolium hexafluorophosphate) with poly(ethylene glycol). J. Taiwan Inst. Chem. Eng. 2011, 42, 914–921. [Google Scholar] [CrossRef]
- Ye, Y.S.; Rick, J.; Hwang, B.J. Ionic liquid polymer electrolytes. J. Mater. Chem. A 2013, 1, 2719–2743. [Google Scholar] [CrossRef]
- Hirao, M.; Ito, K.; Ohno, H. Preparation and polymerization of new organic molten salts; N-alkylimidazolium salt derivatives. Electrochim. Acta 2000, 45, 1291–1294. [Google Scholar] [CrossRef]
- Chen, B.K.; Su, C.T.; Tseng, M.C.; Tsay, S.Y. Preparation of polyetherimide nanocomposites with improved thermal, mechanical and dielectric properties. Polym. Bull. 2006, 57, 671–681. [Google Scholar]
© 2014 by the authors; licensee MDPI, Basel, Switzerland. This article is an open access article distributed under the terms and conditions of the Creative Commons Attribution license (http://creativecommons.org/licenses/by/4.0/).
Share and Cite
Chen, B.-K.; Wong, J.-M.; Wu, T.-Y.; Chen, L.-C.; Shih, I.-C. Improving the Conductivity of Sulfonated Polyimides as Proton Exchange Membranes by Doping of a Protic Ionic Liquid. Polymers 2014, 6, 2720-2736. https://doi.org/10.3390/polym6112720
Chen B-K, Wong J-M, Wu T-Y, Chen L-C, Shih I-C. Improving the Conductivity of Sulfonated Polyimides as Proton Exchange Membranes by Doping of a Protic Ionic Liquid. Polymers. 2014; 6(11):2720-2736. https://doi.org/10.3390/polym6112720
Chicago/Turabian StyleChen, Bor-Kuan, Jhong-Ming Wong, Tzi-Yi Wu, Lung-Chuan Chen, and I-Chao Shih. 2014. "Improving the Conductivity of Sulfonated Polyimides as Proton Exchange Membranes by Doping of a Protic Ionic Liquid" Polymers 6, no. 11: 2720-2736. https://doi.org/10.3390/polym6112720
APA StyleChen, B.-K., Wong, J.-M., Wu, T.-Y., Chen, L.-C., & Shih, I.-C. (2014). Improving the Conductivity of Sulfonated Polyimides as Proton Exchange Membranes by Doping of a Protic Ionic Liquid. Polymers, 6(11), 2720-2736. https://doi.org/10.3390/polym6112720

