Abstract
Dendronization is a synthetic methodology that offers important advantages. The resulting products, which are called dendronized materials, present new and specific properties. This review shows numerous examples in which individual dendrons are used as building blocks to prepare more complex arrays via covalent or non-covalent interactions. In particular, it points out how the structural information programmed into the dendritic architecture can be used in the dendronization process to generate nanostructures with specific tailored properties. We emphasize the use of different dendrons, with diverse chemical structure and size, to functionalize diverse substrates like linear polymers, and plane and curved inorganic surfaces. Apart from this, the review also demonstrates that self-assembly represents an ideal approach to create well-defined hyperbranched surfaces and it includes some discussion about the ability of both organic and inorganic building blocks to direct this process.
1. Introduction
In today’s society the demand for even more complex and highly specific materials is increasing rapidly. Currently, functional materials are key components with great potential, as they can be efficiently tailored to operate in a wide variety of architecture and with different functionalities, having a great influence on its final properties and applications. In view of this, the progress and advances in design are important steps towards novel multifunctional materials. As a consequence of the increased demand for sophisticated macromolecules, scientists have been focusing on highly branched dendritic structures [1,2]. Dendrimers are well-defined, highly branched macromolecules that are of great interest as new materials in many important application areas. Dendrimers are composed of dendrons which represent structural components of the parent dendrimer and are also monodisperse, wedged-shaped sections [3,4]. Dendrimers/dendrons possess three key architectural features; namely, an initiator core (or focal point), interior branching units (branch cells), and mathematically defined numbers of functional surface groups, as a function of generation (G) level [5,6,7].
Studies on dendritic materials are based on their “dendritic state” architecture and comprise sub-classes such as dendrimers, dendrons, hyperbranched polymers and dendrigraft polymers (Figure 1) [1,5]. The convergence of architecturally driven “dendritic effects” together with the ability to control the nanoscale size, shape and chemical functionality of these dendritic constructs have led to many new unprecedented properties.
Figure 1.
Subclasses given at the dendritic state.
Figure 1.
Subclasses given at the dendritic state.

The pioneer reports of dendrimers were published about three decades ago [4]. Those early studies focused on their syntheses and their chemical and physical properties [8,9,10,11,12]. Afterwards, researchers explored the potential of dendrimers in different applications. The presence of a highly branched structure gives these polymers unique properties and they have found use in specialized applications. For example, in targeted drug-delivery, macromolecular carriers, enzyme-like catalysis, the development of vaccines, antivirals, antibacterials and anticancer therapeutics, sensors, light harvesting, surface engineering and biomimetic applications [8,13,14,15,16,17,18].
Since the seminal works in this field, a large number of dendrimer structures have been developed and have become the subject of intense interdisciplinary research efforts, bringing together scientists from entirely different areas. Based on the rapid advances in this area over their history, the quest for practical applications for dendrimers is on the rise. At present, there are more than 10,000 scientific reports, increasing by more than 1,000 per annum, as well as about 150 patents dealing with dendritic structures [1,4]. Even today, complex polymer structures, including dendritic materials, have struggled to be commercialized on a large scale by industries. The main reason for this is that they are, in most cases, difficult to synthesize, leading to extremely high production costs and require the skills of an organic chemist. Traditional syntheses involve repetitive stepwise growth and deprotection/activation protocols with careful purification procedures between each generation [6]. Typically, G4 dendrimers require a minimum of 8 reaction steps, not including the monomer synthesis. Thus, their synthesis is time-consuming and generates significant quantities of waste. Therefore, a continuous improvement of synthetic methodologies for dendritic structures is a crucial step towards their commercial success. Fortunately, an important number of dendrimers/dendrons are now commercially available.
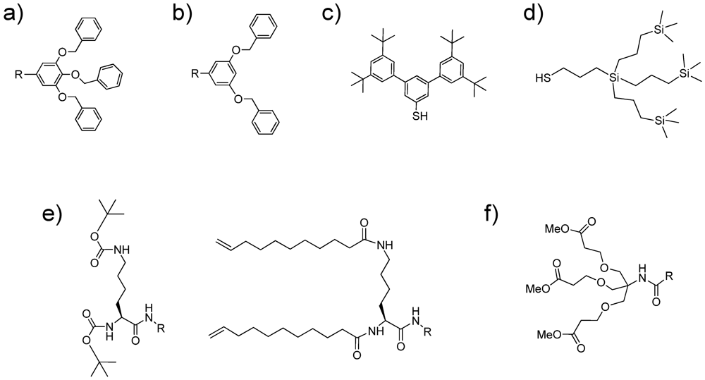
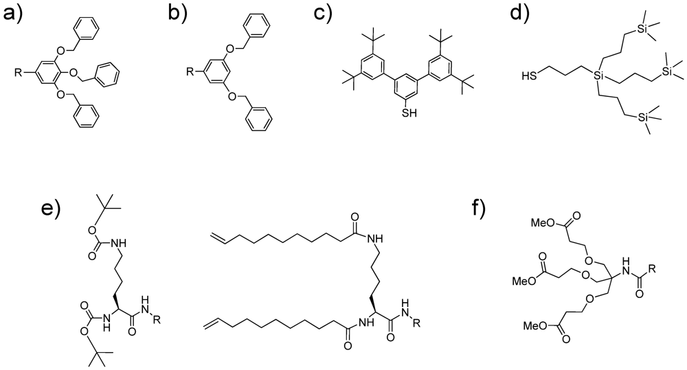
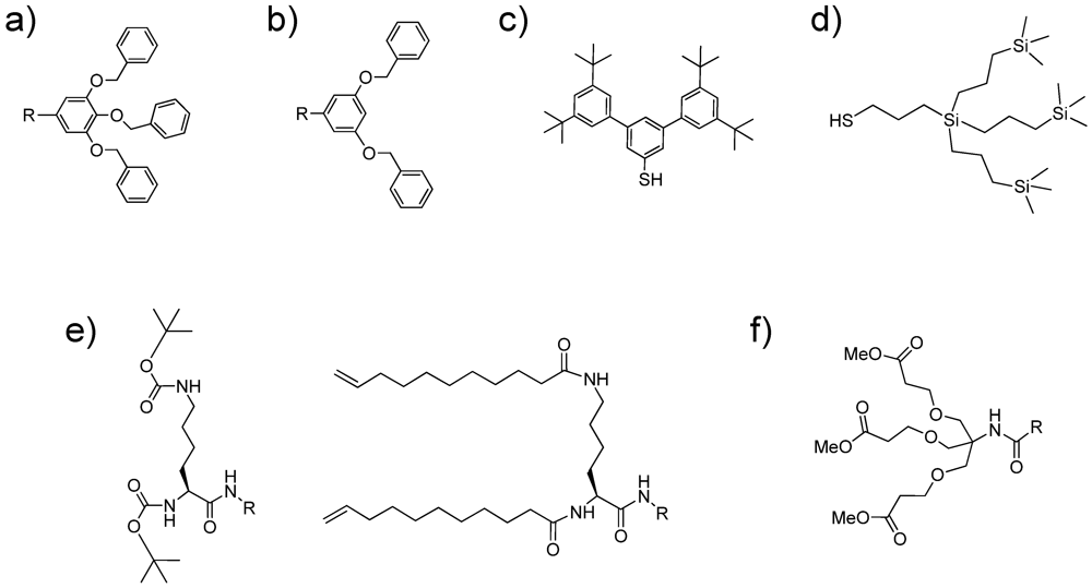
Recent synthetic advances in the field of organic and polymer chemistry have provided researchers with new tools to prepare these intricate structures more efficiently. One of them is “dendronization”, which is the covalent or supramolecular interaction of dendrons with dendritic or non-dendritic substrates to create very well-defined, stable molecular level nanostructures [19]. Some dendrons which have been used as building blocks, spacer arm or functionalizing agents [7,20,21,22], are shown in Figure 2.
Figure 2.
Some dendrons used as building blocks, spacer arm or functionalizing agents: (a) Percec-type dendrons; (b) Fréchet-type dendrons; (c) dendritic arenethiols; (d) carbosilane dendrons; (e) dendrons based on L-Lys; (f) Newkome-type dendrons.
Figure 2.
Some dendrons used as building blocks, spacer arm or functionalizing agents: (a) Percec-type dendrons; (b) Fréchet-type dendrons; (c) dendritic arenethiols; (d) carbosilane dendrons; (e) dendrons based on L-Lys; (f) Newkome-type dendrons.

Regularly branched dendrons can be attached to a point, a line, or a surface thus giving rise to dendrimers, dendronized polymers, and dendronized surfaces known as forests [23]. Certain aspects of the behavior of dendrons are dominated by structural and geometric features, and can be divided into two groups. The first one is related to the structural and chemical characteristics of the dendrons (Figure 3(a)), such as monomer type, peripheral functional groups, focal point, junctions and generation (G). The second one depends on the dendronization degree which is the number of dendrons by unit of volume or mass (Figure 3(b)) [23].
Figure 3.
Schematic representation of (a) the structural and chemical characteristics of a dendron; and (b) the dendronization degree.
Figure 3.
Schematic representation of (a) the structural and chemical characteristics of a dendron; and (b) the dendronization degree.

A large number of surface groups on the periphery is one of the most important structural characteristics of the dendronization process. Most importantly, the terminal groups of the grafted dendrons are forced towards the surfaces, meaning periphery groups are more crowded compared with the spherical analogues [24]. After the dendronization process, said surface groups can be used to couple dyes, as catalysts, ligands and other functionalities which are easily accessible to the environment. Normally, these strategies are relatively easy and rapid to be carried out.
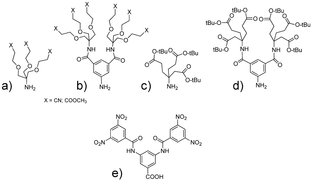
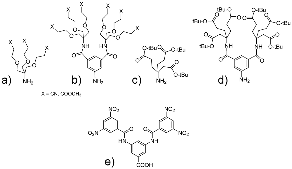
Several reports about the synthesis of polyfunctional and hyperbranched materials using the dendronization process and maintaining the “dendritic effect” have been made [25,26]. Our group has synthesized a family of dendrons (Newkome-type and Kakimoto-type) (Figure 4). These dendrons with diverse chemical structure and terminal functionality were used to modify different surfaces and to deal with the hydrophilic/hydrophobic balance of the final materials. All dendrons have one specific focal point, which was used for the covalent attachment to the preferred substrate [27,28,29,30,31].
Figure 4.
List of dendrons employed in our group as modifying agents, (a–d) Newkome-type; (e) Kakimoto-type.
Figure 4.
List of dendrons employed in our group as modifying agents, (a–d) Newkome-type; (e) Kakimoto-type.

Recently, dendrons have attracted much attention in the area of self-assembly due to their unique assembly characteristics [32,33,34,35]. The ability to modulate both the dendritic generation (size) and composition (chemical structure) endows them with a high degree of tenability [36]. In particular, the self-assembly of dendrons with an amphiphilic nature in selective solvents has produced a variety of morphologies such as micelles, vesicles, cylindrical micelles, tubular assemblies and helical ribbons [37,38,39] The self-organization of dendritic building blocks into ordered supramolecular structures has been demonstrated in various conditions such as in a thermotropic fashion in the solid state, in aqueous and organic phases, and at liquid-solid interfaces [40,41,42,43]. For example, Park et al. [32] have reported the unique self-assembly characteristics of some amide dendrons. In organic media, these amide dendrons formed thermoreversible supramolecular gels, and then lamella or columnar hexagonal arrays were formed in the dry state depending on the dendron generation. The key structural elements required for the self-assembly of the amide dendron are amide branches for hydrogen bonding, carboxyl functionality at the focal point, and alkyl tails to stabilize the assembled structures via Van der Waals interactions [32]. In addition, the amphiphilic nature due to the hydrophilic amide branched units and the hydrophobic alkyl periphery provides an opportunity for amide dendrons to self-organize in an aqueous phase.
Another interesting aspect about the dendronization process is the chemical modification of cross linked supports using dendrons [44]. Among the various materials, fully or partially based on the dendritic architecture, the proportion of hybrids formed by dendritic molecules and insoluble organic or inorganic supports has notably increased during the past decade. These composite materials are currently used in chemistry, material science, biology and medicine for applications such as synthesis, catalysis, chromatographic separation, and drug and vaccine development. Whereas the dendritic fragments of these materials usually constitute only a minor part of the total volume, these components can significantly alter the support properties, imparting entirely new features and functions on the hybrid composites. There are several ways of conjugating the dendritic moiety to a support, for example, dendritic wedges can be coupled through their focal point or through their terminal functionalities. The dendronized support can be used for specific applications; for example, in the experiment carried out by our research group, polyfunctional dendrons covalently bonded to commercial agarose functioned as a molecular recognition device [45]. On the other hand, a poly(butadiene-co-hydroethylmethacrylate) (PB-HEMA) matrix was modified with a dendritic molecule, leading to a material with an organized multivalency [27]. This dendritic ligand was covalently bonded to the poly(PB-HEMA) support and then glucose was attached on its surface. Finally, glucose-containing supports were used as sorbents to retain concanavalin A.
Although most of dendronized supports are prepared for a subsequent use as new materials, in some cases these hybrid structures are only intermediates in a synthetic pathway to produce soluble dendrons. In such cases, the solid-phase synthesis technique has been chosen as a synthetic approach to the preparation of dendrons designed for applications in solution. Some of these dendrons are cleaved immediately after formation.
Topics of interest in relation to synthetic dendrons or the synthesis of dendrons have already been addressed hereinbefore. As these topics have continuously been reviewed during the past 30 years of dendrimer chemistry, the synthetic aspects will not be covered here; instead we will point out the crucial importance of using dendrons bearing a specific structure to significantly influence the adequate achievement of programmed functions. We will especially emphasize the dendritic effect on the functionalization of several substrates, including linear polymers and certain (in)organic surfaces, like electrodes, carbon nanotubes or inorganic nanoparticles. We will mention numerous seminal reports, review articles and essentially focus our revision on the most recent work, even if the main concepts will be recalled. In summary, we will review the use of dendrons as tailored building blocks and the way they arrange to form covalent or supramolecular assemblies, in order to get a deeper understanding over the control and tunability that underpins the dendronization process. Furthermore, we will highlight the potential applications of dendronized materials.
2. Dendronized Polymers
As previously described, dendrimers comprise monodisperse molecules where a defined number of dendrons are attached to a functional core. The constituting dendrons are also monodisperse oligomeric segments consisting of repeating units with an ABm-type functional group pattern and a degree of branching of 100% [2]. On the other hand, polymers are among the largest covalently linked synthetic molecular structures, at least regarding their length. Depending on the flexibility of the backbone, in solution they either exist as rigid rod-like or random coil species. The combination of dendrons and polymers gives the “dendronized polymers”, macromolecules with dimensions on the nanometer scale and controlled hierarchical structure. They represent a merger of these two concepts and are a promising approach toward a novel generation of smart materials.
Dendronized polymers are typically formed by a backbone of a linear polymer with pendant reactive anchor groups, from each of which emerges a dendron (Figure 5). The dendron units have a regular branching pattern with each repeating unit contributing a branch point, and their size varies from subnanometer scale to over a few nanometers depending upon the specific nature of the repeating unit and the generation number.
Figure 5.
Scheme of a dendronized polymer.
Figure 5.
Scheme of a dendronized polymer.

The first examples of dendronized polymers were introduced simultaneously in 1991 as comb-burst polymers by Tomalia et al. [46] and as arborescent polymers by Gauthier et al. [47]. However, Hawker et al. [48], who also had a background in dendrimer synthesis, first recognized that hybrid architectures resulting from dendrimers and linear polymers might be interesting targets and as such be the next step in molecular architecture. They published an interesting example about the attachment of Fréchet-type dendrons to a styrene derivative and copolymerized it with styrene (Figure 6) [48].
Figure 6.
Styrene dendronized with Fréchet-type dendrons.
Figure 6.
Styrene dendronized with Fréchet-type dendrons.

An important advantage of the dendronized polymers is that they constitute a novel class of macromolecules whose nanoscale size, rigidity, and functionality can be controlled with precision by tuning their molecular architecture [19,35,49]. It has been demonstrated that a single dendronized polymer chain exhibits dynamical arrest as the number of generations composing the pendant dendron increases. In the ideal case, the focal point of a dendron is connected to the pending functional groups at every repeating unit along the polymer backbone [2]. The result is a special case of a graft copolymer or, in the case of complete coverage, a comb polymer [50,51], with the particular feature that all of the side chains are dendrons.
Several synthetic procedures have been developed to control the dendritic growth and they have been precisely and exhaustively reviewed by Frauenrath [2] and recently by Chen et al. [24], among others. By manipulating the dendron size and generation, the flexibility of a dendronized polymer can vary from a random coil conformation to rigid nanoscale objects [52] (Figure 7).
Figure 7.
Scheme showing the variation of the structural flexibility of a dendronized polymer as a function of the dendron generation (G0 to G3).
Figure 7.
Scheme showing the variation of the structural flexibility of a dendronized polymer as a function of the dendron generation (G0 to G3).

Normally, highly branched dendronized polymers in solution are macromolecules with a persistent shape, a well-defined envelope, and a size independent of their environment [53]. Dendronized polymers can also preserve the rod-like structure when adsorbed onto solid supports. Zhang et al. [54] have found that dendronized polymers adsorb as weakly deformed cylinders onto mica and highly oriented pyrolitic graphite, in contrast to the oblate structure adopted by adsorbed dendrimers [11]. Thus, dendronized polymers of generation higher than three may already be described as molecular objects.
Due to the fact that dendronized polymers merge the concepts of dendritic molecules and linear polymers, their preparation combines organic and polymer synthesis [2]. In order to synthesize dendronized polymers, three main pathways may be followed: the graft-to, the graft-from and the macromonomer strategies [2]. The graft-to strategy is a convergent route where preformed dendrons of the desired generation are coupled to a preformed polymer (Figure 8(a)). The graft-from strategy is a divergent route where dendrons are attached to the preformed polymer and then, higher generations are grown by the successive binding of dendrons (Figure 8(b)). Finally, the macromonomer strategy involves the polymerization of dendrons of the desired generation bearing a polymerizable group at the focal point (Figure 8(c)). All these pathways are conceptually distinguishable cases but other combined strategies resulting from macromonomer and graft-to or graft-from approaches may be applied [2]. These combined approaches may even turn out to be the most successful pathway to a desired material, combining the advantages or mutually compensating the disadvantages of the different strategies outlined above [2].
Figure 8.
Schematic illustration of the three general synthetic strategies toward dendronized polymers: (a) graft-to; (b) graft-from; and (c) macromonomer route.
Figure 8.
Schematic illustration of the three general synthetic strategies toward dendronized polymers: (a) graft-to; (b) graft-from; and (c) macromonomer route.

2.1. Advantages and Applications of Dendronized Polymers
The ability of carefully designed building blocks to construct nanostructures underpins developments in a wide range of technologies, from materials science to molecular biology [55]. Furthermore, the ability of nanostructures to behave as more than the sum of their individual parts (synergism) and exhibit completely new types of behavior is of special interest.
As it was mentioned before, the dendritic structures themselves represent a different class of materials. Because of their unique structure and size, potential applications are manifold and include their use for light harvesting/energy fueling purposes [56,57,58], gene delivery [59], the bottom-up approach to nanoscience [60], and as catalyst supports [61]. Thus, the study of molecules and macromolecules with multiple branched structures and a high concentration of functional terminal groups is rapidly growing. It is worth mentioning that peripheral groups can be modified in order to change certain characteristics such as hydrophobicity, wettability, adhesion, and solubility [62]. Besides, it is known that the hydrophobic/hydrophilic balance in the branched product is controlled by the chemical composition either of arms or cores and branches [63,64]. The incorporation of dendritic structures onto polymeric supports is an effective way of amplifying the multiplicity of functional groups along the polymeric surface. As a result, the dendronization of linear polymers was immediately recognized as an important way of creating alternative structures, and the synthesis of dendronized supports or side chain dendritic supports were gaining a growing interest [65].
One of the relevant features of dendronized polymers is their multivalency. Dendronized polymers are multivalent systems that integrate the two-dimensional structure of polymers and the three-dimensional structure of dendrons, to create a flexible polymer that can adapt to the environment of the pathogen surface [66] and optimize binding to the bacterial carbohydrate receptors [67]. As a general rule, multivalency can be interpreted in two ways: first, the static effect giving for a high local concentration of bioactive ligand; and, second, the chelate effect in which the multivalent ligand interacts with more than one receptor. Herein an interesting example using a biocompatible [68] and biodegradable dendronized poly-L-lysine (PLL) polymer has been reported [67]. The use of PLL is advantageous because it is commercially available in a range of molecular weights, and the lateral amino chain of PLL is readily functionalized to produce various multivalent systems [69,70,71,72]. Two sets of dendrons with three (G1) and nine (G2) carbohydrates respectively, were synthesized bearing either mannose or galactose [73]. G1 and G2 dendrons were subsequently used for the functionalization of the PLL polymer backbone. The size and shape of the dendronized polymers was characterized by Atomic Force Microscopy (AFM) analysis [74]. The nonapod mannose-functionalized polymer adopts a globular structure with a diameter of approximate 4 Å. The globular shape likely results from polymer and dendrimer integration. Conversely to demonstrate the clustering capability of the dendronized polymers, bacterial detection assays were performed [75]. Using confocal microscopy, it was found that the detection limit of the aggregates is similar to that observed using other multivalent biosensors [76,77]. However, AFM allows for detection of an individual bacterium that binds the glyco-dendronized polymer. Then, the authors showed the multivalent interactions between specific E. coli strains and a dendronized polymer [67]. Recently, in a similar approach, Fornera et al. successfully immobilized Horseradish peroxidase on SiO2 surfaces with the help of a polycationic second generation dendronized polymer and the biotin-avidin system [78]. This attempt reveals the clear advantage of dendronized polymers also for non-covalent enzyme immobilization.
The behavior of dendronized polymers in solution can be explained taking into account the nature, and the amount of periphery groups of the dendrons used as building blocks. The solubility of dendronized polymers is a crucial aspect related to their potential applications as novel materials. For example, conjugated polymers are being extensively investigated for their developments in optoelectronics, microelectronics, and chemical and biological sensors. In particular, polyfluorenes are considered to be promising blue-light-emitting materials due to their exceptionally high solution quantum efficiencies as well as their excellent chemical properties and thermal stabilities [79]. However, conjugated polymers have a strong tendency to aggregate, limiting their applications. Thus, many efforts have been devoted to overcome this drawback, and the dendronization process became the best strategy to solve it. In highly branched dendronized polymers, the polymer backbones are fully encapsulated into dendritic envelopes [79]. The “site isolation” effect of the dendritic envelope can effectively prevent the polymer backbone from aggregating and doing cross-talk. For example, Han et al. reported the synthesis of a series of cationic water soluble dendronized polyfluorenes carrying peripheral charged amino groups [79]. They showed that the introduction of lateral dendrons provided the conjugated polymers with good solubility in water through the charged amino groups and reduced the aggregation of polymers through the “site isolation” effect.
Another interesting advantage of dendronized polymers is their multifunctionality. Therefore, the synthesis and characterization of soluble dendronized polymers is an attractive option to the development of novel multifunctional materials with tailored properties. Recently, we reported on the hydrophobic/hydrophilic balance of a family of dendrons bearing different nature and multiplicity of functional groups on their periphery (Figure 4(b)). We analyzed the effect of branching in the resulting properties of the material [80]. Our results show that the presence of –CN moieties in the surface increases the hydrophilic character, whereas the tert-butyl ester groups increase the hydrophobic character. The increasing multifunctionality of the periphery enhances this effect. In addition, as functional groups (nitrile, methyl ester, or tert-butyl ester) are not ionizable, their number does not alter the charge on the dendrons after a pH change. Thus, the global effect of hydrophobic and acid-base properties can be analyzed independently of the charge and length of the chain. Our findings allow us to predict the effect of peripheral-group nature and multiplicity of the dendrons on the dendronized polymer properties and improve their use as grafting agents.
A similar behavior on branched polymers derived from poly (monomethyl itaconate) (PMMI), an hydrophilic and water-soluble polymer of high molar mass, was found [28]. Important changes in the properties of dendronized polymers comparing to linear polymers were observed. Owing to the insertion of branched molecules, which correspond to a G1 dendron (Figure 9), the intrinsic viscosity of the branched PMMI shows an increment in the hydrodynamic volume. Their incorporation into the polymer chain causes a change in the surface energy values of the sample films and enables to form stable monolayers at the air-water interface.
Figure 9.
Dendronized poly(monomethyl itaconate).
Figure 9.
Dendronized poly(monomethyl itaconate).

Moreover, the dendritic effect is also showed on dendronized polymers synthesized from methyl phenyl diisocyanate (MDI) oligomers [29]. In order to modify the chemical/physical properties of hydrophobic MDI oligomers, we proposed a synthetic path to create two novel dendronized polymers shown on Figure 10. MDI and the dendrons used as modifiers (Figure 4(b,d)) show different behavior in solution. MDI is soluble in aprotic solvents (benzene, chloroform, acetone, THF, DMF), while these dendrons are soluble in aprotic (chloroform, acetone, THF, DMF) and protic solvents (alcohols). After the dendronization process, both products became soluble in polar solvents and one of them (II in Figure 10) also exhibited an increase in its solubility in protic and non-polar solvents. Additionally, we analyzed the conformational properties of our products in the same solvents by means of numerical simulations using the Molecular Dynamics method [29]. We found that extended or entangled conformations were adopted for dendronized polymers in a reversible manner responding to changes in their environment through changes in their dendron conformation. Thus, owing to the solvent polarity, the dendronized polymers show conformational changes allowing a prediction of a “stimuli-responsive” behavior.
Figure 10.
Dendronized methyl phenyl diisocyanate (MDI) oligomers.
Figure 10.
Dendronized methyl phenyl diisocyanate (MDI) oligomers.

We also evaluated a similar “stimuli-responsive” behavior in solution using dendronized polymers from acrylated amine Behera when mixed with cetyltrimethylammonium p-toluenesulfonate (CTAT, a cationic surfactant) to develop structured fluids that exhibit rheological synergy [30]. We found that these polymers have a remarkable tendency to form aggregates in solution that lead to apparent molecular weights that are much higher than their theoretical values, as well as large diameters in solution. However, their addition to water did not cause any increase in viscosity up to concentrations of 1,000 ppm. Besides, the highest association tendency with CTAT was found for the polymer with the lowest theoretical molecular weight and the fluid obtained was highly structured. In view of the synergistic increase of the viscosity obtained, it seems that the CTAT-polymer interactions are favored over the polymer-polymer interactions in aqueous solution.
Another interesting issue concerning dendronized polymers is the development of thermoresponsive materials. Recently, dendronized polymers with peripheral oligo(ethylene oxide) chains show a thermoresponsive behavior and an anisotropic shape in solution [81]. According to the hydrophilic and hydrophobic balance, some polymers exhibited a thermoresponsive behavior in water solution, characterized by a sharp lower critical solution temperature (LCST) transition and a small hysteresis. These LCST showed an unusual increase with dendronized polymers, which might be correlated to a dilution effect and an increase of polymer hydrophilicity by densification of the dendritic coverage [81]. Moreover, Junk et al. published an interesting approach highlighting the structure/property relationship given by the peripheral end-groups and the core of dendrons as modifiers in thermoresponsive dendronized polymers [82]. They found that the water-swollen polymers start to dehydrate and hydrophobic cavities are formed at temperatures far below the critical aggregation temperature (TC). The dehydration predominantly takes place at the peripheral dendritic shell, rendering it increasingly hydrophobic and eventually triggering an interchain aggregation and the formation of mesoglobules at the critical temperature. While the polymer aggregation is mainly dependent on the dendron periphery, the efficiency of the dehydration below TC is closely related to the hydrophobicity of the dendritic core [82]. In the next step, these authors evaluated the structure formation during the thermal transition of thermoresponsive dendronized polymers. They showed the formation of a dense polymeric layer at the periphery of the mesoglobule, which is formed in a narrow temperature range of about 4 K above TC and prohibits the release of molecules that are incorporated in the polymer aggregate. This skin barrier causes the entrapment of considerable amounts of water in large aggregates, which are formed at low heating rates and at high polymer concentrations. Thus, the entrapment of water is facilitated by dendronized polymers with hydrophilic cores. These unprecedented insights can be applied in drug delivery [82].
3. Dendritic/(in)organic Hybrid Nanostructures
Dendrons can be used as building blocks for molecular self-assembly or an adlayer—on inorganic and organic surfaces. Thus, tailored nanostructured surfaces can be obtained having good control over the morphology and other surface properties such as wettability, roughness, chemical reactivity, and hardness. On account of their controllable geometry, size, and functionality, dendrons rule interest for surface modification and for enlargement of active surfaces. A common approach to amplify the effective area and the quantity of functional groups is to graft dendritic molecules. However, targeted control of surface architectures requires an understanding of typical dendron/dendron interactions [83] and dendron/surface interactions as well as in-depth knowledge of the structure of the dendrons in the solid state.
The immobilization of dendrons is typically achieved through a bottom-up strategy. This approach uses the chemical properties of single molecules to cause single-molecule components to self-assemble into some useful conformation. Thus, using functional molecules, the bottom-up nanotechnology approach enables to design and synthesize novel materials with tailored properties that cannot be expected from top-down approaches. The immobilization is done either by physical entrapment or chemical attachment. If the attractive forces between dendrons and the surface are weak, they come under physical adsorption (or physisorption) and if the attractive forces between them are very strong (such as bond formation between dendron and surface) then it is classified as chemical adsorption (or chemisorption) [84].
Self-assembly via physical adsorption is a particularly simple means of creating a film onto the surface [85]. It needs neither preformation of oriented films nor special equipment. Physical adsorption is the result of relatively weak Van der Waal’s interaction forces, a physical attraction between the solid surface and the adsorbate. Hence, the method causes little or no conformational change of the molecule, is easily reversed and can be both simple and cheap. Under proper conditions, physical adsorption can result in adsorbed molecules forming multiple layers. However, it has the disadvantage that the adsorbed molecules may leak from the surface due to the weak binding force.
Another strategy uses covalent bonding between functional groups of the molecule and the substrate. An organosulfur compound (thiol) attached to a gold surface represents a well-studied example [86]. The same thiolate dendron can be attached to a gold surface using a disulfide-cored dendrimer [87]. In principle, such an approach can be used for any functional and available group of the dendron: focal point or end-group.
In the preparation of dendritic/(in)organic hybrid nanostructures, the solid substrates to be modified can be flat surfaces or curved surfaces (nanotubes or spherical nanoparticles), giving rise to 2-dimensional (2D) or 3-dimensional (3D) dendronized materials, respectively.
3.1. Dendrons Immobilized onto 2D Solid Surfaces
The processes available for dendron immobilization onto a 2D surface fall into two main categories:
By dip-coating. This is the simplest and cheapest way to introduce molecules into a surface. In this method, a substrate is dipped into a dendron coating solution and then is withdrawn from the solution at a controlled time. The remarkable feature of this technique is that it usually requires no extra reagents in the process. One particular example of this strategy makes use of electrostatic forces to achieve a layer of immobilized molecules. Dendrons with negatively charged carboxylate terminal groups would exhibit electrostatic affinity toward the positively charged layered double hydroxides nanosheet surface leading molecules to pack closely on the substrate [88].
By casting. A simple technology which can be used for a variety of materials (mostly polymers). In this process the material to be deposited is dissolved in liquid form in a solvent. Materials can be applied to the substrate by spraying or spinning. Once the solvent is evaporated, a thin film of the material remains on the substrate. The control on film thickness depends on exact conditions. The thicknesses that can be cast on a substrate range all the way from a single monolayer of molecules to tens of micrometers. In particular, spin-coating is the most employed method of casting, which utilizes centrifugal force to distribute molecules dispersed into a liquid phase onto a solid substrate.
There are also few other methods, but they are really just variations or combinations of these two main strategies [89,90,91,92,93].
3.1.1. Organization of the Dendron Layer
The self-organization of dendrons on a solid substrate is dependent on the nature of the substrate, preparation methods, and the molecule-molecule and molecule-substrate interactions [88,94]. There are several modes of conjugation of the dendritic moieties to a support. Dendritic wedges can be coupled to the support through the focal point (Figure 11(a)), through aromatic fragments in the interior of the dendron (Figure 11(b)), or through the peripheral functionalities (Figure 11(c)), whereas dendrimers are usually immobilized through the peripheral functional groups. In addition, a covalent binding through the focal point onto a previously activated substrate usually leads to a dendron monolayer (Figure 11(d)) while electrostatic or other supramolecular interactions can lead to the formation of bilayers or multilayers (Figure 11(e)).
Figure 11.
Schematic representation of the different modes of dendron immobilization on a 2D surface.
Figure 11.
Schematic representation of the different modes of dendron immobilization on a 2D surface.

A common method to dendronize gold surfaces is by chemisorption of a thiol moiety [95] using focally-substituted organothiol dendrons. Gorman et al. [96] found that as the number of hyperbranches in the thiolate dendron increased from one to three, the dendron adlayers became initially less and then more permeable. This result indicated a tradeoff between size and packing efficiency when using these molecules to cover a gold surface. The highest coverage is achieved by G2 dendrons while the increased branching of the G3 dendron appears to sterically preclude the binding of this adsorbate in the adlayer leading to a decrease in the attachment density [96] On the contrary, phenylazomethine dendrimers with a disulfide core synthesized up to the fourth generation exhibit a size dependent behavior when the formation of the self-assembled monolayers of metal-assembling dendron thiolate is observed [97]. In this case, the hydrodynamic radius linearly increases with the generation number because of the rigid dendron shell. Thus, the only one flexible unit at the core dramatically affects the structural conformation of the π-conjugated dendrimers resulting in a high yield.
Another interesting example of precisely controlled organization of a dendritic monolayer was reported by Xiao et al. [98] This article describes new types of organosiloxane thin films derived from SiCl3-terminated carbosilane dendrons (G2-4), containing 9, 27, and 81 SiCl3 terminal groups. The films were deposited on mica surfaces by spin-coating and formation of the layers through the dendron peripheral functionalities appears to be a highly cooperative process. The large dendron molecules should interact more strongly with the mica surface and thus have a higher adsorption rate and a lower mobility than the smaller dendrons (G1-2). This study also confirms that at submonolayer coverage the dendron molecules tend to flatten and spread out on mica surfaces. Similar control are available for monolayers from silyl-terminated benzyl ether dendrons bound through an aliphatic linker to Si(100) surface to afford monolayers approximately 3–4 nm in thickness [99] and for multidentate thiolate films on gold surfaces [100]. These results clearly demonstrated that the dendritic effect [101] plays a key role in the self-association of dendron molecules onto a 2D substrate by providing multivalent and cooperative interactions.
The report written by Gillich et al. [102] highlights the importance of multivalent oligocatechol binding on titanium oxide for both fast adsorption kinetics and high surface coverage at saturation. The molecular assembly and surface properties of ethylene glycol dendron-catechol conjugates reveal that at least three catechols in the anchor group are required for good, essentially irreversible binding and confluency of the formed adlayers. The dendrons proved to assemble (at room temperature in the high-ionic-strength buffer) faster to form more efficiently a densely packed monolayer in comparison to its linear analogue. These differences were attributed to the smaller, less hydrated size and the much lower cloud-point (close to room temperature) of the dendron as compared to the linear analogue [102].
The occupied surface area in the monolayer may depend on chemical structure, rigidity, and steric interaction of molecules. Moreover, all of these factors are crucial in the formation of more than one layer. As an example, we can compare the multilayer formation employing carboxylic acid focal point poly(phenylene sulfide) dendron with the monolayer obtained using thiol poly(benzylether) dendrons. Thiol dendron was fabricated into a uniform self-assembled monolayer at room temperature. However, multilayer aggregation or accumulation in the normal direction to the surface has never been reported, different from poly(phenylene sulfide) dendron [103]. This may result from the weaker π-π stacking interaction between benzyl groups in poly(benzylether) dendrons [104] because of longer distance between them. The aggregation can be formed by the face to- face interaction of dendrons within two dimensional plane and the repeating accumulation by the π-π stacking interaction between phenylene terminal groups and the hydrophilic interaction between focal points, forming large domains [103].
The steric interaction between molecules plays a major role in the film formation. A step-growth procedure for synthesizing monolayer coatings containing tethered carbosilane dendron molecules is an interesting example of how the degree of branching per molecule and the spatial distribution of the branches can influence the monolayer formation [105]. In this procedure, the coating density is controlled by the concentration of vinyl functional groups in the bottom layer. For substrates with high functional group concentrations, low growth reaction efficiency and imperfect tethered dendrons are produced as a result of the steric hindrance of the propagation reaction. In contrast, high reaction efficiency is obtained at lower functional group concentrations [105]. Similar behavior was found for Kang et al. on Langmuir-Blodgett films of a series of dendrons (G2, G3 and G4) on pure water subphase [106]. Dendrons can form solid monolayers on water surface, and their stability and reversibility decrease as the generation of dendron increases. These phenomena are mostly attributed to the spatial interaction between molecules [106].
The solvent plays the important role of not only a simple dispersant but also a counterpart in forming a 2D monodendron molecular self-assembly. Thus, an efficient approach to fabricating and controlling a dendron monolayer is obtained by changing solvent and molecular concentration [107]. Mamdouh et al. [108] reported the effect of solvents on dendrons self-assembly at the liquid/HOPG interface. The 2D supramolecular self-assembly is solvent dependent: in 1-phenyloctane, solvent molecules are codeposited in a well-defined fashion whereas in 1-octanol, no solvent molecules are coadsorbed, affecting the 2D ordering substantially. These authors explain the solvent-induced polymorphism as regard to the solubilizing nature of the solvent (solvent-solute interactions), specific solvent-solvent interactions, and the solvent dimension (length of alkyl chain) [109]. Another interesting example is reported by Zhang et al. [110] for a self-assembled adlayer of monodendron molecule 5-(benzyloxy) isophthalic acid derivative (BIC) on HOPG. The solvent exerts its function as a dispersant without coadsorption with solute molecules and as a counterpart participating in the assembly formation through hydrogen bonding with BIC molecules [110,111].
Appropriate design of dendron molecules can lead to the formation of nano-patterns within 2D dimensional planes. Controlled self-assembly, into 2D and 3D networks and superlattices, is particularly attractive because it combines relatively fast processing with control at the level of individual particle surroundings. Scanning Tunneling Microscope (STM) and especially AFM have acquired increasing significance in the study of structural parameters such as size, conformation, rigidity of dendrons as well as the self-assembly of adsorbed dendrons. Interestingly, the direct observation of self-assembled monolayers of a polyether dendron thiol on gold by STM, reveals the formation of nanosize-ordered stripes and the width of the pattern depends on the size of the dendrons [104].
The incorporation of an aromatic moiety within a long alkanethiol chain can influence the packing of the molecular assembly [112,113]. Adsorbates having a lengthy alkyl chain above the aromatic ring exhibited a faster rate of film formation, a more ordered conformational arrangement, and a higher packing density than those having a lengthy alkyl chain below the aromatic ring [112]. As a specific example, a rigid planar aromatic system coupled to a long alkyl chain creates a surface structure in which the size match of the cross-sectional areas of the different molecular parts must be considered for optimizing the packing and order of the resultant film [114]. In particular, a sterically large headgroup requires a large lateral area on a substrate; consequently, the alkyl chains above an aromatic headgroup might tilt substantially to optimize the Van der Waals interactions [114]. Other important factors that can influence the structural orientation and packing of dendron films are the lattice binding sites and the binding geometry of the headgroups on the substrate.
Hydrogen bonds with high selectivity and directionality are significant in harnessing molecules to form 2D supramolecular nanostructures [115,116,117]. The competition and reorganization of hydrogen bond partners determine the ultimate molecular assembly and pattern in a 2D supramolecular system. For example, multicomponent assemblies of a 5-benzyloxy isophthalic acid derivative monodendron are able to associate with pyridylethynyl derivatives [1,4-bis(4-pyridylethynyl)-2,3-bis-dodecyloxy-benzene and 1,4-bis(4-pyridylethynyl)-2,3-bis-octadecyloxy-benzene] to induce the rearrangement of hydrogen bond partners and form coassembly structures on a graphite surface [118]. These results provide important insights into the design and fabrication of hydrogen-bond-directed multicomponent molecular nanostructures on solid surfaces.
The organization process can readily be controlled by the shape of the dendron building blocks and the number of intelligent components included. The ease of structural modification and thus tuning of these features is a key advantage of nanofabrication based on dendron molecules [101]. By designing the dendritic part, the production of a series of surface-bound dendrons with structures slightly different from each other is really feasible. This point is clarified in an interesting report of six structurally very similar surface-bound dendrons used as building blocks for the preparation of self-assembled monolayers on a gold surface [119]. Dong et al. studied the effects of the surface-bound dendrons main structure, peripheral substituents, and the coadsorption process on its self-assembling behavior. These authors observed nanostripes for films of the surface-bound dendron consisting of symmetrical benzene rings. When they changed the symmetrical dendrons structure slightly, by increasing or decreasing the numbers of benzene rings at one wedge, they found no ordered structures were formed by the asymmetrical dendrons. Also, dendrons with both heptane and oligo(ethylene oxide) chains exhibit nanophase separation in a confined state, leading to the formation of a honeycomb structure. In summary, surface-bound dendrons with symmetrical structures form denser monolayers than their asymmetrical analogues whereas films comprising peripherally substituted dendrons exhibit blocking effects proportionate to their hydrophilic fraction [119].
Dendrons as building blocks provide a simple and powerful approach to control molecular self-assembly on solid surfaces, which is relevant to obtain molecular nanostructures from simple adsorption to be used in tailored construction. This process is generally straightforward and experimentally simple, but it poses some limitations. First, it is difficult to obtain high grafting densities due to the sterically-hindered reactive sites occupied by the already adsorbed dendrons; second, the film thickness is often limited by the dendron size, thus formation of thick films is generally unattainable; and last, the functional groups of the dendron can compete with the anchor moieties for surface sites, hence limiting the choice of dendrons that can be attached on the surface.
3.1.2. Control of Properties of the Dendron Layers and Applications
Tailored macromolecular architectures end-grafted on a solid substrate, play an important role in controlling surface properties of relevance to fundamental science and technological applications such as wettability and tribology. The large number of available, functionalizable end-dendritic coatings suggests multiple strategies for manipulating physical/chemical properties of self-assembled monolayers to control the surface properties of the modified substrates. This procedure enables to create surface grafted molecules with a wide variety of architectures, by changing the structure of the propagation unit and the generations of growth reaction. As a consequence, structural variations in grafted top layers were found to influence their interfacial friction properties, with higher friction coefficients for films with a more densely packed top layer [105]. The influence of processing on the connection or communication (electrical, optical or thermal) of dendron layers with other parts of a device deserves considerable attention because of the existence of large interfacial areas in thin-film devices (e.g., biomaterials, sensors).
Self-assembled monolayers of alkanethiolates on gold form upon the adsorption of a long-chain alkanethiol [X(CH2)nSH, n = 11−18] from solution (or vapor) to a gold surface-and, to a lesser extent, alkylsiloxanes- are the most common strategy to obtain a functionalized surface. The properties of the interface depend on the terminal functional group X of the precursor alkanethiol or alkilsiloxane. Typically, carboxyl and amine terminal groups lend themselves nicely to subsequent chemistry that can be of interest for chemical and biological functionalization. For example, they are used in biosensor applications for surface-attachment and/or surface-immobilization of DNA, proteins, antigens and antibodies, viruses, and cells [120,121]. Nowadays, dendrons as structurally complex groups can be introduced to the surface through straightforward synthesis leading the way toward the development of novel multivalent and reactive surfaces.
The Use of Dendrons to Control the Surface Wettability
The hydrophobicity of a solid surface is important for many applications, for example, in self-cleaning and antifogging windows and snow or raindrop repelling surfaces. Novel dendrons, which have fluorinated end-groups with a thiol at the focal point were attached to a gold surface in order to change the wettability [122]. The hydrophobicity of the monolayers exhibits a slight increase with dendron generation. Besides, the hydrophobicity also increases with the number of perfluoroalkyl chains per dendritic branch [122]. In a similar approach, the formation of a pattern structure can be attributed to the local aggregation behavior of the hydrophobic and hydrophilic peripheries based on the like-to-like principle. For a series of the surface-bound dendrons G2-CH3, G2-OH, and G2-mix, the main skeletons are the same (Figure 12) but their peripheries differ. Dendrons with purely hydrophobic peripheries (G2-CH3) as building blocks display striped structures and the water contact angle is about 90 degrees. It is presumed that both π-π stacking and hydrophobic interactions of hydrophobic peripheries contribute to the long range order. In contrast, layers of G2-OH, bearing a hydrophilic periphery, exhibit only a homogeneous surface structure (except for a few defects) having a water contact angle of 60 degrees. Lastly, films of surface-bound dendrons bearing both hydrophobic and hydrophilic (G2-mix) groups form a type of honeycomb structure having a water contact angle of 75 degrees [119].
Figure 12.
Chemical structures of dendrons bearing different substituents with different hydrophobicity at the end-group.
Figure 12.
Chemical structures of dendrons bearing different substituents with different hydrophobicity at the end-group.

In another development, the facially amphiphilic dendrimers exhibit a dendritic effect in surface modifications; while the monodendrons provide hydrophobic surfaces, the didendrons provide superhydrophobic surfaces [123]. The amphiphilicity in these molecules is brought about by the difference in polarity of the surface focal point of the dendron versus the peripheral functionalities. This report suggests that subtle differences in didendron versus monodendron architecture play a crucial role in the surface behavior [123].
A special way of surface wettability control is reported by Jiang et al. [124] Their attempt is to use the self-assembled monolayer of dendron thiols as a matrix of electrodeposition for the fabrication of gold nanostructures. Dendron thiol monolayers are used as an underlying surface for electrodeposition of gold nanostructures at the same time allowing the control of their size and shape by electrodeposition time and electrodeposition potential. Moreover, further modification of the gold nanostructures with either n-dodecanethiol or 11-mercaptoundecanol results in good superhydrophobic or superhydrophilic properties, respectively [124].
The Use of Dendrons to Control the Spacing
The uniqueness of the dendrons, compared to the dendrimers, comes from their umbrella-like shapes. By binding to a surface through its peripheral groups, each dendron occupies its own space, and thus the surface-bound dendrons can lock a certain distance between their head functionalities. Hence, by immobilizing biomolecules at the focal points, dendrons can serve as an anchoring molecule that not only connects a probe molecule with a nanomaterial, but also ensures proper intermolecular distance between interacting molecules. Along this line, the immobilization of two kinds of p-conjugated molecules on Au using dendrimer-based templates is reported by Tokuhisa et al. [125] First, a self-assembled monolayer of dendrimers having a target molecule with a sticky group on the surface is formed onto a gold surface. The target molecule is focally-substituted with the dendrons through bonding labile to external stimuli such as light. Second, the dendron spacers are removed by external stimuli so that a single-molecule-array with a lattice spacing dependent on the size of the dendron is left on the surface (Figure 13). The modified immobilization method gave only the isolated, single molecules on the surface after the removal of the dendron [125].
Figure 13.
Simple procedure to obtain single-molecular array using dendrons as spacers.
Figure 13.
Simple procedure to obtain single-molecular array using dendrons as spacers.

The Use of Dendrons to Improve the Bio-Reactivity of the Surface
In recent years, dendrimers have been used in analytical devices to increase the reactivity of a biosensor surface [126]. By having a high density of functional groups on their surfaces, dendrimers are considered ideal candidates as spacers and linkers between substrate surfaces and biological macromolecules. Also, this dendritic effect can be achieved using dendrons as building blocks. An interesting route to prepare bioreactive surfaces on gold by the self-assembly of G3 hydroxyl-terminated dendron thiols (G3-OH) and subsequent bridging reactions using G2 amine-terminated dendrimers (G2-NH2) was reported by Yang et al. (Figure 14) [127]. A stable and uniform self-assembled monolayer on gold, which can be activated by the homobifunctional crosslinker N,N-disuccinimidyl carbonate (DSC) can be prepared using G3-OH dendron thiols. Subsequent derivatization of the activated monolayer via dendrimer bridging reactions with G2-NH2 enhances the stability, reactivity, and versatility of the prepared surface. Lastly, the reactivity of this surface was demonstrated by a Schiff base coupling reaction with 4-cyanobenzaldehyde, by immobilizing biotin molecules onto the peripheral amine groups using one of the conjugation methods, and by further binding avidin onto the biotinylated surface [127]. The prepared bio-reactive surface with a high density of amine groups is useful for the immobilization of biological macromolecules for various biosensor applications, such as the fabrication of DNA microarrays and protein chips.
Figure 14.
Procedure proposed by Yang et al. to develop a multivalent bio-reactive surface.
Figure 14.
Procedure proposed by Yang et al. to develop a multivalent bio-reactive surface.

Moreover, a significantly positive dendritic effect was observed on the antibody binding capacity of immobilized bovine serum albumin (BSA) coupled to a dendronized support. The benzylether type aldehyde and acetal terminated dendrons attached to a silica gel support was used as substrate to immobilize BSA by imine bond formation, followed by irreversible reduction of the carbon-nitrogen double bond. The results suggest that either more protein is bound with the same amount of aldehyde in the higher generation dendrons, or that the protein bound by higher generation dendrons is more efficient at binding its antibody. The introduction of a non-dendritic spacer also elicited more efficient binding when compared to the G0 support; however, the use of a dendritic scaffold of the same spacer length provided a significantly superior binding (even when the four-fold ratio of aldehydes per molecule of dendron to linear spacer was taken into account). The enhancement of binding capacity with the generation increase might be explained by superior protein binding through a multivalency effect [128].
The Use of Dendrons in Electrochemical Devices
Electrochemistry provides information on electron transfer between electroactive moiety and electrode surface, where a decrease in the peak current, an increase in the potential, and a broadening of the voltammetric wave are related to the degree of the inhibition or electron transfer. Due to their high sensitivity, voltammetric methods have been successfully used to study the redox behavior of dendron electrode surface modifiers. The electrochemical properties are directly related to the number of electroactive functional groups incorporated in the dendritic molecule, which can be controlled [129].
As an example of the incorporation of a redox center moiety in a dendron molecule, a nitro-terminated dendron (D-NO2, shown in Figure 4(e)) was synthesized in our group [31]. D-NO2 spontaneously adsorbs onto carbon and gold surfaces by dipping the electrode in a dendron solution and the reduction of this layer generates the hydroxylamine product. The resulting redox-active layer exhibits a well-behaved redox response for the adsorbed nitroso/hydroxylamine couple. Besides, the electrochemical behavior can be explained considering the differences in energy for the reduction of the two NO2 substituents in each aromatic ring of D-NO2. Assuming that cathodic peak A is associated with the reduction of one NO2 substituent, the reduction of the second NO2 substituent (the cathodic peak B) occurs at more negative potentials due to the disappearance of the negative inductive effect of an electron acceptor like NO2 in the meta position. The anodic peak C is related to the oxidation of one NHOH substituent, while the anodic peak D is associated with the oxidation of the other NHOH substituent, which now has a NO substituent in the meta position (Figure 15) [130].
Figure 15.
Electrochemical behavior and mechanism proposed for redox reactions of immobilized D-NO2 onto glassy carbon electrodes (GCE).
Figure 15.
Electrochemical behavior and mechanism proposed for redox reactions of immobilized D-NO2 onto glassy carbon electrodes (GCE).

Additionally, we found a successful example of D-NO2 as mediator in the electrocatalysis of the nicotinamide adenine dinucleotide oxidation onto carbon electrodes [130]. Electrocatalysis is defined in its widest sense as the study of how reactions may be accelerated at electrodes. This often requires the surface of the electrode to be modified in some way or for there to be a mediating molecule close to the electrode or in solution. These are called electrocatalysts or mediators. In our approach, the potential at which this electrocatalytic reaction takes place is shifted nearly 0.5 V in the negative direction comparing to the non-catalyzed reaction [130].
Another interesting approach using dendrons in electrochemical devices was recently reported by Azagarsamy et al. [131] They carried out a site-specific incorporation of redox center units in dendrons to analyze the differences in the encapsulation of functional groups. The authors incorporated a single ferrocene unit in well-defined locations by “click” chemistry, and showed that the redox potential values of this moiety at intermediate layers were remarkably different from those at the core and in the periphery [131]. Although redox potential values were location-dependent, no significant change in the rate of heterogeneous electron transfer was observed with respect to locations. This was attributed to the possibility that free rotation of dendron nullifies the distance between the electrode and the ferrocene unit [131].
The Use of Dendron Films for the Generation of Functional Protein Resistant Surfaces
The presence of highly flexible and hydrophilic groups, combined with a highly branched architecture can lead to a good resistance to protein adsorption, as has been well established by Wyszogrodzka et al. [132] Recently, a series of electrochemically active oligo(ethylene glycol) (OEG) linear-dendrons have been synthesized and grafted onto electrode surfaces by cyclic voltammetry to improve protein resistance [133]. These linear-dendron molecules provide a novel method for introducing OEGylated materials on surfaces throughout electrochemical grafting. This study might offer an alternative system to self-assembled monolayers gold-thiol chemistry which can overcome some of the disadvantages but do not compromise the advantages of gold-thiol chemistry. Dendronized molecules with peripheral carbazole functionality and branching architecture enabled tethering of the poly(ethylene glycol) (PEG) or OEG group with a predictable number of electrochemical reactive groups affecting OEG distribution and orientation. Likely, the more than enough spacing between the OEG chains affects the intrinsic hydration of these layers and thus surface protein resistance [133].
In another attempt, protein adsorption to surfaces prepared by chemisorption of thiol-terminated poly(ethylene glycol) (PEG OH) to gold-coated silicon wafers followed by functionalization of the terminal PEG OH groups with aliphatic polyester dendrons, G1-4, was investigated by Benhabbour et al. [134]. Characterization of the G1-G4 dendronized surfaces using water contact angles showed a decrease in contact angle with increasing dendron generation for the deprotected OH-terminated dendrons, indicating an increase in hydrophilicity imparted by the gradually increasing number of peripheral OH groups. In agreement with previously reported protein adsorption studies, PEG-modified surfaces exhibited a decrease in protein adsorption compared to the control gold surfaces. However, it was found that protein adsorption increased upon dendronization of the PEG-modified surfaces, suggesting that PEG chain flexibility may be one of the key factors in the mechanism of protein resistance. This chain flexibility is impeded by introducing dendrons with multiple peripheral OH groups, which can lock the PEG chains via inter- and/or intramolecular H-bonding [134]. At the next very interesting step, the authors analyze the effect of PEG molecular weight and dendron generation [135]. PEG monomethyl ether (PEGOMe) chains of various molecular weights were covalently attached to the peripheral hydroxyl groups of the dendronized surfaces and investigated for protein adsorption. Protein studies showed a decrease in protein adsorption with increasing dendron generation regardless of protein size. These results showed that protein resistance was recovered when the dendronized surfaces were functionalized with PEG-OMe chains and both hydrogen bonding between the dendrons and the presence of hydrogen-bond donor groups were eliminated from the system. These results support their previous studies indicating that chain mobility and dynamics in water may be critical to protein repulsion [135].
Similar tendency based on structure-property relationship taking into account the dendron generation, hydrophobicity peripheral groups and the capability to form an organized monolayer was found by Wyszogrodzka et al. [136]. Besides, these authors show that dendritic polyglycerol oligomers are an excellent alternative to the PEGylated surfaces. They observed by direct chemisorption the highest protein resistance for the smallest dendron. This might be due to the ability of this dendron to form a better and clearly defined monolayer. In the case of higher generations, the monolayer became less defined, and therefore, small proteins like lysozyme or pepsin can penetrate the monolayer [136].
3.2. Dendrons Immobilized onto 3D Solid Surfaces
Other classes of (in)organic-dendritic hybrid nanostructures can be formed from the dendronization of 3D surfaces, such as carbon nanotubes (CNTs) or inorganic nanoparticles (NPs).
3.2.1. Dendronized CNTs
Functionalized CNTs have been used widely as nanowires to bridge the molecules (organic or biomolecules) and solid substrates together [137]. Certain types of dendrons successfully functionalized CNT surfaces through the non-covalent interactions between the peripheries of the dendrons and the sidewalls of CNTs. Thus, definite spacing between the functional groups upon immobilization on surfaces can be generated [138]. In particular, aromatic molecules, such as pyrene, porphyrin, and their derivatives, can interact with the sidewalls of CNTs by means of π-π stacking interactions [139,140]. Among the main reasons to prepare dendronized CNTs, it is worth mentioning the enhancement of their dispersibility in all type of solvents, especially in water, for biological applications [92,141,142,143,144,145,146].
Another interesting application of dendronized CNTs is their use for templating nanoparticles, such as silver nanoparticles [147] or CdS quantum dots [148]. Other applications take advantage of multivalency properties of dendronized CNTs. In this way, synthesized series of polycationic dendron-MWNT constructs with a precisely tailored number of amino functions (dendron generations) can complex and effectively deliver double-stranded siRNA to achieve gene silencing in vitro [149]. Recently, chemical modification of CNT arrays attached to conductive transparent electrodes with PAMAM-type dendrons has been undertaken to enhance the photoresponse of photovoltaic devices [150,151].
3.2.2. Nanoparticle-Cored Dendrimers (NCDs)
It is well-known that dendritic molecules can stabilize NPs by several ways, leading to the formation of different dendritic/inorganic nanocomposites [152]. In dendrimer-encapsulated nanoparticles (DENPs, Figure 16(a)) the inorganic NPs are stabilized by the branched interior of a dendrimer. In contrast, in dendrimer-stabilized NPs (DSNPs, Figure 16(b)) the NPs are surrounded by dendrimers which interact with the surface through their terminal functional groups. The third type of nanostructures comprises nanoparticle-cored dendrimers [153] (NCDs, Figure 16(c)), which are core-shell dendritic nanomaterials formed by an inorganic nanoparticle (the core) located at the center of the structure and dendrons (the shell) attached to the core. The core can consist of different inorganic nanoparticles such as metallic (e.g., Au [20,36,153,154,155,156,157,158,159,160,161,162,163,164,165,166,167,168,169,170,171,172], Pd [173,174,175], Pt [176]), metallic oxide (e.g., iron oxides) [177,178,179,180,181] or semiconductor (quantum dots, e.g., CdS, CdSe) [182] clusters. The inorganic core is functionalized with dendrons, in a radial way by specific interactions. These novel nanomaterials have been recently reviewed in the literature [183,184,185,186].
Figure 16.
Schematic representation of the structure of different dendritic-inorganic nanocomposites: (a) dendrimer-encapsulated nanoparticles (DENPs); (b) dendrimer-stabilized nanoparticles (DSNPs); and (c) nanoparticle-cored dendrimers (NCDs).
Figure 16.
Schematic representation of the structure of different dendritic-inorganic nanocomposites: (a) dendrimer-encapsulated nanoparticles (DENPs); (b) dendrimer-stabilized nanoparticles (DSNPs); and (c) nanoparticle-cored dendrimers (NCDs).

Synthesis and Properties of NCDs
The preparation of NCDs was initially inspired in the synthesis of monolayer-protected clusters (MPCs) of gold atoms proposed by Brust et al. [187] To date, there are three principal strategies to synthesize these nanomaterials (Figure 17) [184].
The first strategy is the direct method, which involves the one-step growing of the NPs and attachment of dendrons bearing suitable moieties at their focal point. These moieties are able to specifically interact and self-assembly onto the NP surface (Figure 17(a)) [154,156,161,165,166,167,168,170,171]. Note that it is also possible to use dendrimers having a core moiety which self-assembles onto the surface in such a way as to leave individual dendrons functionalizing the NP, for example disulfide-cored dendrimers functionalizing gold NPs [36,153,155,163,173]. The disadvantage of this method relies on the large excess of dendritic ligands required for the synthesis of these nanomaterials [184]. However, the loading of ligands would depend on the dendritic parameters. Assemblies generated by this approach are not monodisperse but discrete: such systems will exist as a statistical distribution of different sizes, each of which contains a slightly different number of dendritic building blocks [188].
On the other hand, the second and third strategies are indirect methods, meaning that the dendritic shell is introduced after the synthesis of the inorganic core of the NCD. These methodologies use MPCs as synthetic precursors, and modify them by two main pathways, via ligand exchange or dendritic functionalization. Therefore, in the second strategy, the protecting groups of the MPCs are partially replaced by dendrons through ligand-exchange reactions (Figure 17(b)) [20,156,172,177,182]. The degree of replacement, i.e., the dendritic loading, is somewhat limited and depends on both kinetic (e.g., steric hindrance) and thermodynamic aspects, related to the characteristics of the incoming and outgoing ligands [184]. Alternatively, the third strategy involves the synthesis of MPCs with protecting molecules having functional groups on their periphery [166]. These terminal moieties are used as anchoring sites for the dendritic growing (Figure 17(c)), either by the attachment of suitably functionalized dendrons (convergent approach) [157,158,159,178,181] or by the stepwise building of the dendritic architecture from the organic layer (divergent approach) [160,179,180]. In the dendritic-growing method, the use of a large excess of dendrons is avoided, resulting in a more cost-effective synthesis [184]. Moreover, the dendritic wedge density can be controlled by conveniently adjusting the loading of molecules.
Figure 17.
Schematic representation of the synthetic pathways to prepare NCDs, (a) direct method; (b) indirect method by ligand exchange; (c) indirect method by dendritic growing (in this particular case, a convergent-type growing).
Figure 17.
Schematic representation of the synthetic pathways to prepare NCDs, (a) direct method; (b) indirect method by ligand exchange; (c) indirect method by dendritic growing (in this particular case, a convergent-type growing).

It is worth mentioning that each synthetic strategy affords diverse control over the different structural parameters. The direct method offers the possibility of tuning the size [36,153,155,161,163,164,166,167] and shape [162,165] of the inorganic core by the dendritic effect, in other words each generation of dendrons leads to a particular core. In addition, NCDs prepared by this method would have large void spaces near the core, showing container and scaffolding properties [155], and a large fraction of the NP surface is unpassivated [166], making these products suitable for catalytic or vehiculization purposes. In contrast, in the indirect methods the core parameters are dictated by the synthesis of the MPC, thus it is possible to leave an intact core size and regulate the organic shell by controlling the dendritic attachment. Moreover, the NCDs synthesized by the indirect methods would have most of their NP surface passivated by the protecting groups, therefore lacking of any metallic catalytic site [166].
NCDs structures having a certain dendritic wedge density resemble a dendrimer structure in as much as they contain defined and differentiable interior, exterior and void spaces (cavities). Besides, the nature and number of peripheral groups will determine characteristic properties of the NCDs, such as solubility, reactivity and/or permeability of species through the dendritic layer.
In comparison to related hybrid nanomaterials like MPCs, DENPs or DSNPs, the synthesis of NCDs clearly represents an important advance in the preparation and control of new organized structures [184]. For example, NCDs are much more chemically and photochemically stable than MPCs [182]. NCDs also present a more predictable and precisely controlled structure than DENPs or DSNPs, since the former contain only one inorganic core per assembly, located at the center of the structure by specific interactions. NCDs also offer the possibility of the rational synthesis of derived materials by the introduction of particular groups, such as redox, photochemical or catalytic moieties in specific places.
Applications of NCDs
As explained above, metallic NCDs prepared by the direct method present a large fraction of their surface available and unpassivated, which can be exploited for catalytic applications. To date, NCDs having a Fréchet-type dendritic shell have been widely explored. For example, Gopidas et al. [173] synthesized Pd NPs functionalized with a G3 dendritic disulfide. These NCDs present the dual requirements for its use in catalysis: high exposed metallic surface (ca. 91%) and a reagent-permeable dendritic shell. The authors successfully employed these NCDs as catalyst in two C-C bond-forming reactions, the Heck and Suzuki reactions, and found that the materials combine the high efficiency of homogenous catalysis with the ease of separation associated with heterogeneous catalysis [173] Afterwards, Wu et al. [174] prepared Pd NCDs stabilized by G1-3 dendrons bearing a phosphine group at the focal point, and used them as recyclable highly effective catalyst for Suzuki coupling reactions and for selective hydrogenation of alkenes. The researchers also observed a positive dendritic effect, since the catalytic activity increased with increasing the dendron generation [174] In other report from the group of Yang [176], the use of Pt NCDs prepared with dendrons having a trisacetic acid ammonium chloride focal moiety, proved to be highly efficient as catalyst in hydrogenation of nitrobenzenes to anilines. In this case, the authors noticed a negative dendritic effect, which was attributed to a limited permeability at higher generation dendrons [176]. Since these results showed an opposite dendritic effect to that reported by Wu et al. [174], they might indicate that there are at least two key factors related to the increase of generation of Fréchet-type molecules, which determine the catalytic efficiency of NCDs. At high generation dendrons the steric demand of the molecule increases, causing an increase in the available metallic surface but also a decrease in the permeability of the reagents through the dendritic shell, from the exterior to the metallic core. Obviously, a high catalytic efficiency would be associated to a correct compromise between these two effects. On the other hand, very recently NCDs applied to chemoselective catalysis have opened the scope of these nanocomposites. Ratheesh Kumar and Gopidas [175] prepared Pd NCDs via the chemical functionalization of NPs with G1-dendrons bearing a diazonium salt as focal group, leading Pd-C bonds onto the surface. The authors demonstrated the high performance of these NCDs as catalyst in the chemoselective hydrogenation of olefinic and acetylenic bonds under mild conditions [175].
Note that the previous examples of NCDs employed for catalytic purposes had been prepared by the direct method. However, Duanmu et al. [177] reported the preparation of catalytic NCDs prepared viaan indirect method by ligand exchange. These NCDs had a core of iron oxide magnetic nanoparticles (MNPs) and a shell of Simanek (melamine)-type G1 dendrons, and were used as soluble matrices for supporting homogeneous catalysis of Suzuki cross-coupling reactions. In this case, the catalytic sites were not located onto the inorganic core of the NCD; instead they were Pd-triphenyl phosphine groups situated at the termini of the dendritic shell. The magnetic characteristic of the NCD core allows a rapid recuperation of the nanocomposites and its reuse. In addition, this group prepared G1-3 melamine magnetic NCDs and tested them as potential magnetic resonance imaging (MRI) contrast agents, observing a generation-dependent dendritic effect with strong transverse relaxivities [177]. Other magnetic NCDs used for biomedical applications were prepared by Martin et al. [181]. They modified iron oxide NPs with polyester dendrons bearing –OH, –NH2 or guanidino terminal groups, and tested the cell penetrating capability and uptake of these materials. The authors found that the dendrons with the guanidino peripheral moieties showed a cell penetrating capability remarkably similar to that of the HIV-Tat47-57 oligopeptide, and that the cellular uptake into GL261 mouse glioma cells is increased in comparison to dendrons with amino or hydroxyl terminal groups. The NCDs were relatively non-toxic at the concentration used, making these results promising for the development of MRI contrast agents [181]. On the other hand, Ghosh et al. [172] published the synthesis of Au NCDs functionalized with G1 polylysine dendrons and their use as efficient gene delivery vectors. The lysine NCDs showed to be non-cytotoxic, the most effective at condensing DNA and the most potent vectors, around 28-fold more effective than polylysine-coated NPs [172].
Other application of NCDs is their use as containers or carriers. Gopidas et al. [155] first realized the utility of NCDs as unimolecular micelles. They prepared Au NCDs with a G1-4 dendritic shell formed by a relatively non-polar Fréchet-type organic branching interior, surrounded by a polar charged outer periphery. These nanomaterials showed to be able to encapsulate and transport highly non-polar compounds, like pinacyanol chloride, in aqueous media. The authors pointed out the existence of a positive dendritic effect: higher generation NCDs showed better micellization of the non-polar compounds than lower generation ones [155].
In a very interesting application related to the construction of memory devices, the group of Kim [170] reported the preparation of Au NCDs functionalized by G1 rigid π-conjugated dendrons. The fluorescence quenching of the Au NPs indicated an electron transfer interaction between the gold surface and the dendron wedges. These NCDs were used to prepare a hybrid organic-inorganic device, and this system showed a clear electrical bistability which is critical for various types of memory devices [170].
The synthesis of NCDs holding redox moieties is a relatively new area of research. For example, Daniel et al. [156] synthesized Au NCDs with an organic mixed shell formed by alkanethiolates and dendronized-thiolates, following two strategies: by ligand-exchange or by direct adsorption of compound mixtures. The NCDs prepared, having tri/nona sylil/amido ferrocenyl terminal moieties, were highly effective as sensors for the selective recognition and titration of relevant biologic anions such as H2PO4− and ATP−2, even in the presence of other anions [189,190]. These systems showed a positive dendritic effect, leading to a better recognition at higher generation NCDs. The authors also used these NCDs to functionalize Pt electrodes, and the chemically modified surfaces were useful to recognize H2PO4−, ATP−2 and HSO4−, even in the presence of other anions such as HSO4− and Cl−. Indeed, these systems can be recycled by rinsing and reused many times [156].
Other NCDs having redox-active centers were reported by our own research group. We dendronized magnetic nanoparticles (MNPs) with the previously mentioned dendron D-NO2 (shown in Figure 4(e)), which bears peripheral aryl-nitro groups (Figure 18(a)) [178]. As explained above, D-NO2 adsorbs spontaneously onto carbon electrodes mainly due to π-stacking interactions between the aromatic rings of the dendron and the carbon surface. We have taken advantage of this characteristic and used D-NO2 as a linker to add magnetic material onto carbon surfaces. The dendronized nanoparticles (MNPs-D-NO2) self-assembled onto GCE, giving rise to an organic-inorganic hybrid material (GCE/MNPs-D-NO2) having a redox active surface due to the nitro groups (Figure 18(b)). The immobilization of MNPs-D-NO2 onto GCE was monitored following the electrochemical signal characteristic of the nitro moiety, as previously detailed in Figure 15. The reduction of the aryl-nitro layer originates the aryl-hydroxylamine/aryl-nitroso couple, which can be utilized with electrocatalytical and analytical purposes. This strategy of dendronization represents a simple method to add magnetic material onto carbon electrodes, therefore generating promising surfaces for the development of biosensors. Finally, this novel strategy can be generalized and adapted to synthesize other dendronized surfaces [178].
Figure 18.
(a) Dendronized magnetic nanoparticles (MNPs); (b) Use of the dendronized MNPs to modify GCE electrodes. Self-assembly conditions: overnight dipping in 1 mg/mL suspension of MNPs-D-NO2 in dimethyl sulfoxide.
Figure 18.
(a) Dendronized magnetic nanoparticles (MNPs); (b) Use of the dendronized MNPs to modify GCE electrodes. Self-assembly conditions: overnight dipping in 1 mg/mL suspension of MNPs-D-NO2 in dimethyl sulfoxide.

In redox-active NCDs, the electrochemical moieties can be located not only at the dendritic periphery, but also in the interior as was published by Shon et al. [158]. They synthesized NCDs having ferrocene units located in the interior of the organic layer and observed that the redox centers attached to the NCDs had an electrochemical response different to that showed by the ferrocene methanol units free in solution [158]. These examples demonstrate that the incorporation of electroactive compounds close to the surface of NPs in dendritic architectures can provide an opportunity to tune their electrochemical properties [156].
4. Conclusions
It is known that dendrimers have unique qualities, making them ideal candidates as materials in a number of nanoscale and high-value added applications. However, the commercialization of monodisperse dendritic structures has been restricted by their tedious and costly synthesis. Therefore, research addressing the development of accelerated and more efficient synthetic procedures for the production of these materials is imperative. The synthesis of dendrons and their combination with other organic/inorganic building blocks, give the possibility of obtaining materials with dendritic properties in an easy and rapid way. The dendronization methodology is a good example of hybrid material synthesis, which is ideally suited as a synthetic tool for achieving interesting dendritic structures. Utilizing dendrons as building blocks allows the synthesis to be accelerated, lowering the number of reaction steps and the need for tedious purification procedures, while at the same time diminishing the necessity for large excess of reagents. This could lead to improved levels of commercialization and their uses in new applications.
Dendronized polymers offer a new kind of molecules that can have rich and complex equilibrium and dynamic behavior with significant applications in nanotechnology. The molecular architecture of dendronized polymers can be turned on to obtain nanoscale objects with tailored properties. Functionality and branching are important aspects to be considered for changing/modifying the properties of base linear polymers through a careful selection of the chemical structure and polarity of the branched units.
Dendronized flat and curved surfaces are also of high interest due to their high peripheral functionality and branched architecture, providing a degree of control over reactivity and orientation. The assembly of dendrons on surfaces relies on their conformation allowing high degree of Van der Waals interactions with the neighboring molecules, leading to arrangements with a secondary level of organization in the layer. By tethering a functional group on the focal point, the predictable shape and the number of reactive groups on each dendron should play an important role in surface reactivity and orientation. The same concept can be used to manipulate the surface properties (e.g., wettability, protein adsorption resistance) as well as the spacing between adsorbates, which has led to the regulation of orientation and density of tethered molecules on surfaces. In addition, the role of solvent can be changed from a simple dispersant to a regulator in manufacturing 2D or 3D dendronized nanostructures. In summary, dendronization is a valuable tool to build up controllable hybrid nanomaterials. Thus, the outcomes are promising, and this approach definitely merits further investigation.
Acknowledgments
The authors thank SECYT (Universidad Nacional de Cordoba), FONCyT and CONICET for the financial assistance. J. Paez also acknowledges receipt of a fellowship from CONICET.
References
- Carlmark, A.; Hawker, C.; Hult, A.; Malkoch, M. New methodologies in the construction of dendritic materials. Chem. Soc. Rev. 2009, 38, 352–362. [Google Scholar]
- Frauenrath, H. Dendronized polymers—Building a new bridge from molecules to nanoscopic objects. Prog. Polym. Sci. (Oxford) 2005, 30, 325–384. [Google Scholar] [CrossRef]
- Newkome, G.R.; Moorefield, C.N.; Vögtle, F. Dendrimer Molecules: Concepts, Syntheses, Applications; Wiley-VCH Verlag GmbH & Co. KGaA: Weinheim, Germany, 2002. [Google Scholar]
- Vögtle, F.; Richardt, G.; Werner, N. Dendrimer Chemistry: Concepts, Syntheses, Properties, Applications; Wiley-VCH Verlag GmbH & Co. KGaA: Weinheim, Germany, 2009. [Google Scholar]
- Fréchet, J.M.J.; Tomalia, D.A. Dendrimers and Other Dendritic Polymers; Wiley-VCH Verlag GmbH & Co. KGaA: Weinheim, Germany, 2001. [Google Scholar]
- Huang, B.; Tomalia, D.A. Dendronization of gold and CdSe/cdS (core-shell) quantum dots with tomalia type, thiol core, functionalized poly(amidoamine) (PAMAM) dendrons. J. Lumin. 2005, 111, 215–223. [Google Scholar] [CrossRef]
- Huang, B.; Tomalia, D.A. Poly(ether) dendrons possessing phosphine focal points for stabilization and reduced quenching of luminescent quantum dots. Inorg. Chim. Acta 2006, 359, 1961–1966. [Google Scholar]
- Gillies, E.R.; Fréchet, J.M.J. Dendrimers and dendritic polymers in drug delivery. Drug Discov. Today 2005, 10, 35–43. [Google Scholar]
- Newkome, G.R.; Yao, Z.Q.; Baker, G.R.; Gupta, V.K. Cascade molecules: A new approach to micelles. A [27]-arborol. J. Org. Chem. 1985, 50, 2003–2004. [Google Scholar] [CrossRef]
- Aulenta, F.; Hayes, W.; Rannard, S. Dendrimers: A new class of nanoscopic containers and delivery devices. Eur. Polym. J. 2003, 39, 1741–1771. [Google Scholar]
- Bosman, A.W.; Janssen, H.M.; Meijer, E.W. About dendrimers: Structure, physical properties, and applications. Chem. Rev. 1999, 99, 1665–1688. [Google Scholar]
- Tomalia, D.A.; Fréchet, J.M.J. Discovery of dendrimers and dendritic polymers: A brief historical perspective. J. Polym. Sci. Part A: Polym. Chem. 2002, 40, 2719–2728. [Google Scholar] [CrossRef]
- Gillies, E.R.; Jonsson, T.B.; Fréchet, J.M.J. Stimuli-responsive supramolecular assemblies of linear-dendritic copolymers. J. Am. Chem. Soc. 2004, 126, 11936–11943. [Google Scholar]
- Stiriba, S.E.; Frey, H.; Haag, R. Dendritic polymers in biomedical applications: From potential to clinical use in diagnostics and therapy. Angew. Chem. (Int. Ed. Engl.) 2002, 41, 1329–1334. [Google Scholar] [CrossRef]
- Astruc, D.; Chardac, F. Dendritic catalysts and dendrimers in catalysis. Chem. Rev. 2001, 101, 2991–3023. [Google Scholar]
- Hecht, S.; Fréchet, J.M.J. Singly and doubly oxidized phthalocyanine (pc) rings: [Cu(pc)(ReO4)] and [Cu(pc)(ReO4)2]. Angew. Chem. (Int. Ed. Engl.) 2001, 40, 244–246. [Google Scholar] [CrossRef]
- Degenhart, G.H.; Dordi, B.; Schönherr, H.; Vancso, G.J. Micro- and nanofabrication of robust reactive arrays based on the covalent coupling of dendrimers to activated monolayers. Langmuir 2004, 20, 6216–6224. [Google Scholar]
- Dykes, G.M. Dendrimers: A review of their appeal and applications. J. Chem. Technol. Biotechnol. 2001, 76, 903–918. [Google Scholar]
- Schlüter, A.D.; Rabe, J.P. Dendronized polymers: Synthesis, characterization, assembly at interfaces, and manipulation. Angew. Chem. (Int. Ed. Engl.) 2000, 39, 864–883. [Google Scholar] [CrossRef]
- Joon Cho, T.; Zangmeister, R.A.; MacCuspie, R.I.; Patri, A.K.; Hackley, V.A. Newkome-type dendron-stabilized gold nanoparticles: Synthesis, reactivity, and stability. Chem. Mater. 2011, 23, 2665–2676. [Google Scholar]
- Ozawa, C.; Hojo, H.; Nakahara, Y.; Katayama, H.; Nabeshima, K.; Akahane, T. Synthesis of glycopeptide dendrimer by a convergent method. Tetrahedron 2007, 63, 9685–9690. [Google Scholar]
- Han, S.; Yoshida, T.; Uryu, T. Synthesis of a new polylysine-dendritic oligosaccharide with alkyl spacer having peptide linkage. Carbohydr. Polym. 2007, 69, 436–444. [Google Scholar]
- Kröger, M.; Peleg, O.; Halperin, A. From dendrimers to dendronized polymers and forests: Scaling theory and its limitations. Macromolecules 2010, 43, 6213–6224. [Google Scholar]
- Chen, Y.; Xiong, X. Tailoring dendronized polymers. Chem. Commun. 2010, 46, 5049–5060. [Google Scholar]
- Inoue, K. Functional dendrimers, hyperbranched and star polymers. Prog. Polym. Sci. (Oxford) 2000, 25, 453–571. [Google Scholar] [CrossRef]
- Dahan, A.; Portnoy, M. Dendrons and dendritic catalysts immobilized on solid support: Synthesis and dendritic effects in catalysis. J. Polym. Sci. Part A: Polym. Chem. 2005, 43, 235–262. [Google Scholar] [CrossRef]
- Martinelli, M.; Calderón, M.; Alvarez, I.C.I.; Strumia, M.C. Functionalised supports with sugar dendritic ligand. React. Funct. Polym. 2007, 67, 1018–1026. [Google Scholar]
- Calderón, M.; Leiva, A.; Martinelli, M.; Gargallo, L.; Radic, D.; Strumia, M. Synthesis and physicochemical characterization of branched poly(monomethyl itaconate). E-Polymers 2010, 091, 1. [Google Scholar]
- Martinelli, M.; Calderón, M.; Rodríguez, E.; Freire, J.J.; Strumia, M.C. Polyfunctional MDI oligomers through dendrimerization. Eur. Polym. J. 2007, 43, 1978–1985. [Google Scholar]
- Cuggino, J.C.; Calderón, M.; Alvarez, C.I.; Strumia, M.C.; Silva, K.N.; Penott-Chang, E.K.; Müller, A.J. New dendronized polymers from acrylate Behera amine and their ability to produce visco-elastic structured fluids when mixed with CTAT worm-like micelles. J. Colloid Interface Sci. 2011, 357, 147–156. [Google Scholar]
- Paez, J.I.; Froimowicz, P.; Baruzzi, A.M.; Strumia, M.C.; Brunetti, V. Attachment of an aromatic dendritic macromolecule to gold surfaces. Electrochem. Commun. 2008, 10, 541–545. [Google Scholar]
- Park, C.; Choi, K.S.; Song, Y.; Jeon, H.J.; Song, H.H.; Chang, J.Y.; Kim, C. Self-organization of amide dendrons and their dendronized macromolecules. Langmuir 2006, 22, 3812–3817. [Google Scholar]
- Huo, F.; Xu, H.; Zhang, L.; Fu, Y.; Wang, Z.; Zhang, X. Hydrogen-bonding based multilayer assemblies by self-deposition of dendrimer. Chem. Commun. 2003, 9, 874–875. [Google Scholar]
- Park, C.; Lee, J.; Kim, C. Functional supramolecular assemblies derived from dendritic building blocks. Chem. Commun. 2011, 47, 12042–12056. [Google Scholar]
- Fréchet, J.M.J. Dendrimers and supramolecular chemistry. Proc. Natl. Acad. Sci. USA 2002, 99, 4782–4787. [Google Scholar]
- Love, C.S.; Ashworth, I.; Brennan, C.; Chechik, V.; Smith, D.K. Dendron-protected Au nanoparticles-Effect of dendritic structure on chemical stability. J. Colloid Interface Sci. 2006, 302, 178–186. [Google Scholar]
- Estroff, L.A.; Hamilton, A.D. Water gelation by small organic molecules. Chem. Rev. 2004, 104, 1201–1217. [Google Scholar]
- Fuhrhop, J.H.; Wang, T. Bolaamphiphiles. Chem. Rev. 2004, 104, 2901–2937. [Google Scholar]
- Brunsveld, L.; Folmer, B.J.B.; Meijer, E.W.; Sijbesma, R.P. Supramolecular polymers. Chem. Rev. 2001, 101, 4071–4097. [Google Scholar]
- Percec, V.; Glodde, M.; Johansson, G.; Balagurusamy, V.S.K.; Heinev, P.A. Transformation of a spherical supramolecular dendrimer into a pyramidal columnar supramolecular dendrimer mediated by the fluorophobic effect. Angew. Chem. (Int. Ed. Engl.) 2003, 42, 4338–4342. [Google Scholar] [CrossRef]
- Kyoung, T.K.; Im, H.L.; Park, C.; Song, Y.; Kim, C. Self-organization of dendron-poly(ethylene glycol) conjugates in an aqueous phase. Macromol. Res. 2004, 12, 528–533. [Google Scholar]
- Chang, Y.; Park, C.; Kim, K.T.; Kim, C. Synthesis and micellar characteristics of dendron-PEG conjugates. Langmuir 2005, 21, 4334–4339. [Google Scholar]
- Park, C.; Lee, I.H.; Lee, S.; Song, Y.; Rhue, M.; Kim, C. Cyclodextrin-covered organic nanotubes derived from self-assembly of dendrons and their supramolecular transformation. Proc. Natl. Acad. Sci. USA 2006, 103, 1199–1203. [Google Scholar]
- Kehat, T.; Goren, K.; Portnoy, M. Dendrons on insoluble supports: Synthesis and applications. New J. Chem. 2007, 31, 1218–1242. [Google Scholar] [CrossRef]
- Strumia, M.C.; Halabi, A.; Pucci, P.A.; Newkome, G.R.; Moorefield, C.N.; Epperson, J.D. Surface modification of activated polymeric matrices by dendritic attachments. J. Polym. Sci. Part A: Polym. Chem. 2000, 38, 2779–2786. [Google Scholar] [CrossRef]
- Tomalia, D.A.; Hedstrand, D.M.; Ferritto, M.S. Comb-burst dendrimer topology. New macromolecular architecture derived from dendritic grafting. Macromolecules 1991, 24, 1435–1438. [Google Scholar]
- Gauthier, M.; Möller, M. Uniform highly branched polymers by anionic grafting: Arborescent graft polymers. Macromolecules 1991, 24, 4548–4553. [Google Scholar]
- Hawker, C.J.; Fréchet, J.M.J. The synthesis and polymerization of a hyperbranched polyether macromonomer. Polymer 1992, 33, 1507–1511. [Google Scholar]
- Tomalia, D.A.; Baker, H.; Dewald, J.; Hall, M.; Kallos, G.; Martin, S.; Roeck, J.; Ryder, J.; Smith, P. New class of polymers: Starbust-dendritic macromolecules. Polym. J. 1984, 17, 117–132. [Google Scholar]
- Williams, S.R.; Snook, I.K.; Van Megen, W. Molecular dynamics study of the stability of the hard sphere glass. Phys. Rev. E 2001, 64, 215061–215067. [Google Scholar]
- Götze, W.; Sjögren, L. Relaxation processes in supercooled liquids. Rep. Prog. Phys. 1992, 55, 241–376. [Google Scholar]
- Das, J.; Yoshida, M.; Fresco, Z.M.; Choi, T.L.; Fréchet, J.M.J.; Chakraborty, A.K. A dendronized polymer is a single-molecule glass. J. Phys. Chem. B 2005, 109, 6535–6543. [Google Scholar]
- Kurzbach, D.; Kattnig, D.R.; Zhang, B.; Schlüter, A.D.; Hinderberger, D. Assessing the solution shape and size of charged dendronized polymers using double electron-electron resonance. J. Phys. Chem. Lett. 2011, 2, 1583–1587. [Google Scholar]
- Zhang, B.; Wepf, R.; Kröger, M.; Halperin, A.; Schlüter, A.D. Height and width of adsorbed dendronized polymers: Electron and atomic force microscopy of homologous series. Macromolecules 2011, 44, 6785–6792. [Google Scholar]
- Whitesides, G.M.; Grzybowski, B. Self-assembly at all scales. Science 2002, 295, 2418–2421. [Google Scholar]
- Sato, T.; Jiang, D.L.; Aida, T. A blue-luminescent dendritic rod: Poly(phenyleneethynylene) within a light-harvesting dendritic envelope. J. Am. Chem. Soc. 1999, 121, 10658–10659. [Google Scholar]
- Jakubiak, R.; Bao, Z.; Rothberg, L. Dendritic sidegroups as three-dimensional barriers to aggregation quenching of conjugated polymer fluorescence. Synth. Metals 2000, 114, 61–64. [Google Scholar]
- Setayesh, S.; Grimsdale, A.C.; Weil, T.; Enkelmann, V.; Müllen, K.; Meghdadi, F.; List, E.J.W.; Leising, G. Polyfluorenes with polyphenylene dendron side chains: Toward non-aggregating, light-emitting polymers. J. Am. Chem. Soc. 2001, 123, 946–953. [Google Scholar]
- Gössl, I.; Shu, L.; Schlüter, A.D.; Rabe, J.P. Molecular structure of single DNA complexes with positively charged dendronized polymers. J. Am. Chem. Soc. 2002, 124, 6860–6865. [Google Scholar]
- Shu, L.; Schlüter, A.D.; Ecker, C.; Severin, N.; Rabe, J.P. Extremely long dendronized polymers: Synthesis, quantification of structure perfection, individualization, and SFM manipulation. Angew. Chem. (Int. Ed. Engl.) 2001, 40, 4666–4669. [Google Scholar] [CrossRef]
- Reek, J.N.H.; Arévalo, S.; van Heerbeek, R.; Kamer, P.C.J.; van Leeuwen, P.W.N.M. Dendrimers in catalysis. Adv. Catal. 2006, 49, 71–151. [Google Scholar]
- Chow, H.F.; Leung, C.F.; Wang, G.X.; Yang, Y.Y. Dendritic effects in functional dendrimer molecules. Comptes Rendus Chim. 2003, 6, 735–745. [Google Scholar]
- Peleshanko, S.; Tsukruk, V.V. The architectures and surface behavior of highly branched molecules. Prog. Polym. Sci. (Oxford) 2008, 33, 523–580. [Google Scholar] [CrossRef]
- Beyerlein, D.; Belge, G.; Eichhorn, K.J.; Gauglitz, G.; Grundke, K.; Voit, B. Colloidal systems containing free radical-forming particles and composites on their basis. Macromol. Symp. 2001, 164, 25–46. [Google Scholar]
- Klein Gebbink, R.J.M.; Kruithof, C.A.; Van Klink, G.P.M.; Van Koten, G. Dendritic supports in organic synthesis. Rev. Mol. Biotechnol. 2002, 90, 183–193. [Google Scholar]
- Ting, S.R.S.; Chen, G.; Stenzel, M.H. Synthesis of glycopolymers and their multivalent recognitions with lectins. Polym. Chem. 2010, 1, 1392–1412. [Google Scholar]
- Laurino, P.; Kikkeri, R.; Azzouz, N.; Seeberger, P.H. Detection of bacteria using glyco-dendronized polylysine prepared by continuous flow photofunctionalization. Nano Lett. 2011, 11, 73–78. [Google Scholar]
- Orive, G.; Tam, S.K.; Pedraz, J.L.; Hallé, J.P. Biocompatibility of alginate-poly-l-lysine microcapsules for cell therapy. Biomaterials 2006, 27, 3691–3700. [Google Scholar]
- Guo, Y.; Van Beek, J.D.; Zhang, B.; Colussi, M.; Walde, P.; Zhang, A.; Kröger, M.; Halperin, A.; Schlüter, A.D. Tuning polymer thickness: Synthesis and scaling theory of homologous series of dendronized polymers. J. Am. Chem. Soc. 2009, 131, 11841–11854. [Google Scholar]
- Lau, K.N.; Chow, H.F.; Chan, M.C.; Wong, K.W. Dendronized polymer organogels from click chemistry: A remarkable gelation property owing to synergistic functional-group binding and dendritic size effects. Angew. Chem. (Int. Ed. Engl.) 2008, 47, 6912–6916. [Google Scholar] [CrossRef]
- Mynar, J.L.; Choi, T.L.; Yoshida, M.; Kim, V.; Hawker, C.J.; Fréchet, J.M.J. Doubly-dendronized linear polymers. Chem. Commun. 2005, 41, 5169–5171. [Google Scholar]
- Lee, C.C.; Fréchet, J.M.J. Synthesis and conformations of dendronized poly(L-lysine). Macromolecules 2006, 39, 476–481. [Google Scholar]
- Kikkeri, R.; Liu, X.; Adibekian, A.; Tsai, Y.H.; Seeberger, P.H. Facile synthesis of size dependent Ru(II)-carbohydrate dendrimers via click chemistry. Chem. Commun. 2010, 46, 2197–2199. [Google Scholar]
- Doktycz, M.J.; Sullivan, C.J.; Hoyt, P.R.; Pelletier, D.A.; Wu, S.; Allison, D.P. AFM imaging of bacteria in liquid media immobilized on gelatin coated mica surfaces. Ultramicroscopy 2003, 97, 209–216. [Google Scholar]
- Altschuh, D.; Oncul, S.; Demchenko, A.P. Fluorescence sensing of intermolecular interactions and development of direct molecular biosensors. J. Mol. Recognit. 2006, 19, 459–477. [Google Scholar]
- Pieters, R.J. Intervention with bacterial adhesion by multivalent carbohydrates. Med. Res. Rev. 2007, 27, 796–816. [Google Scholar]
- Li, Y.; Cu, Y.T.H.; Luo, D. Multiplexed detection of pathogen DNA with DNA-based fluorescence nanobarcodes. Nat. Biotechnol. 2005, 23, 885–889. [Google Scholar]
- Fornera, S.; Balmer, T.E.; Zhang, B.; Schlüter, A.D.; Walde, P. Immobilization of peroxidase on SiO2 surfaces with the help of a dendronized polymer and the avidin-biotin system. Macromol. Biosci. 2011, 11, 1052–1067. [Google Scholar]
- Han, Y.; Sun, M.; Bo, Z.; Zhu, B. Water-soluble dendronized polyfluorenes with an extremely high quantum yield in water. Macromolecules 2007, 40, 4494–4500. [Google Scholar]
- Calderón, M.; Monzón, L.M.A.; Martinelli, M.; Juarez, A.V.; Strumia, M.C.; Yudi, L.M. Electrochemical study of a dendritic family at the water/1,2-dichloroethane interface. Langmuir 2008, 24, 6343–6350. [Google Scholar]
- Roeser, J.; Moingeon, F.; Heinrich, B.; Masson, P.; Arnaud-Neu, F.; Rawiso, M.; Méry, S. Dendronized polymers with peripheral oligo(ethylene oxide) chains: Thermoresponsive behavior and shape anisotropy in solution. Macromolecules 2011, 44, 8925–8935. [Google Scholar]
- Junk, M.J.N.; Li, W.; Schlüter, A.D.; Wegner, G.; Spiess, H.W.; Zhang, A.; Hinderberger, D. EPR spectroscopy provides a molecular view on thermoresponsive dendronized polymers below the critical temperature. Macromol. Chem. Phys. 2011, 212, 1229–1235. [Google Scholar]
- Shi, W.; Zhang, Y.; Liu, C.; Wang, Z.; Zhang, X. Interaction between dendrons directly studied by single-molecule force spectroscopy. Langmuir 2008, 24, 1318–1323. [Google Scholar]
- Tao, F.; Bernasek, S.L. Understanding odd-even effects in organic self-assembled monolayers. Chem. Rev. 2007, 107, 1408–1453. [Google Scholar]
- Ulman, A. An Introduction to Ultrathin Organic Films: From Langmuir-Blodgett to Self-Assembly; Academic Press, Inc.: San Diego, CA, USA, 1991. [Google Scholar]
- Love, J.C.; Estroff, L.A.; Kriebel, J.K.; Nuzzo, R.G.; Whitesides, G.M. Self-assembled monolayers of thiolates on metals as a form of nanotechnology. Chem. Rev. 2005, 105, 1103–1169. [Google Scholar]
- stmark, E.; Macakova, L.; Auletta, T.; Malkoch, M.; Malmström, E.; Blomberg, E. Dendritic structures based on bis(hydroxymethyl)propionic acid as platforms for surface reactions. Langmuir 2005, 21, 4512–4519. [Google Scholar]
- Tanaka, T.; Nishimoto, S.; Kameshima, Y.; Miyake, M. Fabrication of layered double hydroxide/photoresponsive dendron nanocomposite multilayer film by electrostatic layer-by-layer assembly. Mater. Lett. 2011, 65, 2315–2318. [Google Scholar]
- Felipe, M.J.; Estillore, N.; Pernites, R.B.; Nguyen, T.; Ponnapati, R.; Advincula, R.C. Interfacial behavior of OEG-linear dendron monolayers: Aggregation, nanostructuring, and electropolymerizability. Langmuir 2011, 27, 9327–9336. [Google Scholar]
- Ford, J.; Marder, S.R.; Yang, S. Growing “Nanofruit” textures on photo-crosslinked SU-8 surfaces through layer-by-layer grafting of hyperbranched poIy(Ethyleneimine). Chem. Mater. 2009, 21, 476–483. [Google Scholar]
- Friggeri, A.; Schönherr, H.; Van Manen, H.J.; Huisman, B.H.; Vancso, G.J.; Huskens, J.; Van Veggel, F.C.J.M.; Reinhoudt, D.N. Insertion of individual dendrimer molecules into self-assembled monolayers on gold: A mechanistic study. Langmuir 2000, 16, 7757–7763. [Google Scholar]
- Toma, F.M.; Sartorel, A.; Carraro, M.; Bonchio, M.; Prato, M. Dendron-functionalized multiwalled carbon nanotubes incorporating polyoxometalates for water-splitting catalysis. Pure Appl. Chem. 2011, 83, 1529–1542. [Google Scholar]
- Yam, C.M.; Mayeux, A.; Milenkovic, A.; Cai, C. Wettabilities of organosiloxane thin films derived from SiCl3-terminated carbosilane dendrons on mica. Langmuir 2002, 18, 10274–10278. [Google Scholar]
- Tahara, K.; Lei, S.; Adisoejoso, J.; De Feyter, S.; Tobe, Y. Supramolecular surface-confined architectures created by self-assembly of triangular phenylene-ethynylene macrocycles via van der Waals interaction. Chem. Commun. 2010, 46, 8507–8525. [Google Scholar]
- Chechik, V.; Crooks, R.M. Monolayers of thiol-terminated dendrimers on the surface of planar and colloidal gold. Langmuir 1999, 15, 6364–6369. [Google Scholar]
- Gorman, C.B.; Miller, R.L.; Chen, K.Y.; Bishop, A.R.; Haasch, R.T.; Nuzzo, R.G. Semipermeable, chemisorbed adlayers of focally-substituted organothiol dendrons on gold. Langmuir 1998, 14, 3312–3319. [Google Scholar]
- Satoh, N.; Yamamoto, K. Self-assembled monolayers of metal-assembling dendron thiolate formed from dendrimers with a disulfide core. Org. Lett. 2009, 11, 1729–1732. [Google Scholar]
- Xiao, Z.; Cai, C.; Mayeux, A.; Milenkovic, A. The first organosiloxane thin films derived from SiCl3-terminated dendrons. Thickness-dependent nano- and mesoscopic structures of the films deposited on mica by spin-coating. Langmuir 2002, 18, 7728–7739. [Google Scholar]
- Emrick, T.; Fréchet, J.M. Self-assembly of dendritic structures. Curr. Opin. Colloid Interface Sci. 1999, 4, 15–23. [Google Scholar]
- Yam, C.M.; Cho, J.; Cai, C. Preparation, characterization, and heck reaction of multidentate thiolate films on gold surfaces. Langmuir 2003, 19, 6862–6868. [Google Scholar] [CrossRef]
- Seo, M.; Kim, J.H.; Kim, J.; Park, N.; Park, J.; Kim, S.Y. Self-association of bis-dendritic organogelators: The effect of dendritic architecture on multivalent cooperative interactions. Chem. A Eur. J. 2010, 16, 2427–2441. [Google Scholar]
- Gillich, T.; Benetti, E.M.; Rakhmatullina, E.; Konradi, R.; Li, W.; Zhang, A.; Schlüter, A.D.; Textor, M. Self-assembly of focal point oligo-catechol ethylene glycol dendrons on titanium oxide surfaces: Adsorption kinetics, surface characterization, and nonfouling properties. J. Am. Chem. Soc. 2011, 133, 10940–10950. [Google Scholar]
- Yemul, O.; Ujihara, M.; Maki, N.; Imae, T. Synthesis and film formation of poly(phenylene sulfide) dendrimers and dendrons. Polym. J. 2005, 37, 82–93. [Google Scholar]
- Zhang, L.; Huo, F.; Wang, Z.; Wu, L.; Zhang, X.; Höppener, S.; Chi, L.; Fuchs, H.; Zhao, J.; Niu, L.; Dong, S. Investigation into self-assembled monolayers of a polyether dendron thiol: Chemisorption, kinetics, and patterned surface. Langmuir 2000, 16, 3813–3817. [Google Scholar]
- Zhang, Q.; Archer, L.A. Step-growth synthesis and interfacial friction properties of surface dendron coatings. Langmuir 2006, 22, 717–722. [Google Scholar]
- Kang, S.Z.; Xu, S.L.; Deng, G.; Wu, P.; Fan, Q.; Wang, C.; Wan, L.; Bain, C. Langmuir film behaviors of dendrons at water-air interface. Chem. Phys. Lett. 2003, 370, 542–547. [Google Scholar]
- Abiman, P.; Wildgoose, G.G.; Crossley, A.; Jones, J.H.; Compton, R.G. Contrasting pKa of protonated bis(3-aminopropyl)-terminated polyethylene glycol “Jeffamine” and the associated thermodynamic parameters in solution and covalently attached to graphite surfaces. Chem. A Eur. J. 2007, 13, 9663–9667. [Google Scholar]
- Mamdouh, W.; Uji-I, H.; Dulcey, A.E.; Percec, V.; De Feyter, S.; De Schryver, F.C. Expression of molecular chirality and two-dimensional supramolecular self-assembly of chiral, racemic, and achiral monodendrons at the liquid-solid interface. Langmuir 2004, 20, 7678–7685. [Google Scholar]
- Mamdouh, W.; Uji-I, H.; Ladislaw, J.S.; Dulcey, A.E.; Percec, V.; De Schryver, F.C.; De Feyter, S. Solvent controlled self-assembly at the liquid-solid interface revealed by STM. J. Am. Chem. Soc. 2006, 128, 317–325. [Google Scholar]
- Zhang, X.; Chen, Q.; Deng, G.J.; Fan, Q.H.; Wan, L.J. Structural diversity of a monodendron molecule self-assembly in different solvents investigated by scanning tunneling microscopy: From dispersant to counterpart. J. Phys. Chem. C 2009, 113, 16193–16198. [Google Scholar]
- Zhang, X.; Chen, T.; Chen, Q.; Deng, G.J.; Fan, Q.H.; Wan, L.J. One solvent induces a series of structural transitions in monodendron molecular self-assembly from lamellar to quadrangular to hexagonal. Chem. A Eur. J. 2009, 15, 9669–9673. [Google Scholar]
- Evans, S.D.; Urankar, E.; Ulman, A.; Ferris, N. Self-Assembled monolayers of alkanethiols containing a polar aromatic group: Effects of the dipole position on molecular packing, orientation, and surface wetting properties. J. Am. Chem. Soc. 1991, 113, 4121–4131. [Google Scholar]
- Rochefort, A.; Wuest, J.D. Interaction of substituted aromatic compounds with graphene. Langmuir 2009, 25, 210–215. [Google Scholar]
- Rittikulsittichai, S.; Jamison, A.C.; Lee, T.R. Self-assembled monolayers derived from alkoxyphenylethanethiols having one, two, and three pendant chains. Langmuir 2011, 27, 9920–9927. [Google Scholar]
- Yagai, S.; Kubota, S.; Saito, H.; Unoike, K.; Karatsu, T.; Kitamura, A.; Ajayaghosh, A.; Kanesato, M.; Kikkawa, Y. Reversible transformation between rings and coils in a dynamic hydrogen-bonded self-assembly. J. Am. Chem. Soc. 2009, 131, 5408–5410. [Google Scholar]
- Zhang, X.; Chen, T.; Yan, H.J.; Wang, D.; Fan, Q.H.; Wan, L.J.; Ghosh, K.; Yang, H.B.; Stang, P.J. Engineering of linear molecular nanostructures by a hydrogen-bond-mediated modular and flexible host-guest assembly. ACS Nano 2010, 4, 5685–5692. [Google Scholar]
- Zhang, X.; Yan, C.J.; Pan, G.B.; Zhang, R.Q.; Wan, L.J. Effect of C-H...F and O-H...O hydrogen bonding in forming self-assembled monolayers of BF2-substituted β-dicarbonyl derivatives on HOPG: STM investigation. J. Phys. Chem. C 2007, 111, 13851–13854. [Google Scholar]
- Zhang, X.; Chen, T.; Yan, H.J.; Wang, D.; Fan, Q.H.; Wan, L.J.; Ghosh, K.; Yang, H.B.; Stang, P.J. Hydrogen bond partner reorganization in the coadsorption of a monodendron and pyridylethynyl derivatives. Langmuir 2011, 27, 1292–1297. [Google Scholar]
- Dong, B.; Huo, F.; Zhang, L.; Yang, X.; Wang, Z.; Zhang, X.; Gong, S.; Li, J. Self-assembled monolayers of novel surface-bound dendrons: Peripheral structure determines surface organization. Chem. A Eur. J. 2003, 9, 2331–2336. [Google Scholar]
- Mandler, D.; Kraus-Ophir, S. Self-assembled monolayers (SAMs) for electrochemical sensing. J. Solid State Electrochem. 2011, 15, 1–24. [Google Scholar]
- Arya, S.K.; Solanki, P.R.; Datta, M.; Malhotra, B.D. Recent advances in self-assembled monolayers based biomolecular electronic devices. Biosens. Bioelectron. 2009, 24, 2810–2817. [Google Scholar]
- Luscombe, C.K.; Proemmel, S.; Huck, W.T.S.; Holmes, A.B.; Fukushima, H. Synthesis of supercritical carbon dioxide soluble perfluorinated dendrons for surface modification. J. Org. Chem. 2007, 72, 5505–5513. [Google Scholar]
- Chen, Y.; Ambade, A.V.; Vutukuri, D.R.; Thayumanavan, S. Self-assembly of facially amphiphilic dendrimers on surfaces. J. Am. Chem. Soc. 2006, 128, 14760–14761. [Google Scholar]
- Jiang, Y.; Wang, Z.; Yu, X.; Shi, F.; Xu, H.; Zhang, X.; Smet, M.; Dehaen, W. Self-assembled monolayers of dendron thiols for electrodeposition of gold nanostructures: Toward fabrication of superhydrophobic/superhydrophilic surfaces and pH-responsive surfaces. Langmuir 2005, 21, 1986–1990. [Google Scholar]
- Tokuhisa, H.; Koyama, E.; Belaissaoui, A.; Suga, H.; Ishida, T.; Nishioka, Y.; Kanesato, M. Immobilization of π-conjugated molecules on Au using dendrimer-based templates. Curr. Appl. Phys. 2006, 6, 723–727. [Google Scholar]
- Astruc, D.; Boisselier, E.; Ornelas, C. Dendrimers designed for functions: From physical, photophysical, and supramolecular properties to applications in sensing, catalysis, molecular electronics, photonics, and nanomedicine. Chem. Rev. 2010, 110, 1857–1959. [Google Scholar]
- Yang, M.; Tsang, E.M.W.; Wang, Y.A.; Peng, X.; Yu, H.Z. Bioreactive surfaces prepared via the self-assembly of dendron thiols and subsequent dendrimer bridging reactions. Langmuir 2005, 21, 1858–1865. [Google Scholar]
- Iliashevsky, O.; Amir, L.; Glaser, R.; Marks, R.S.; Lemcoff, N.G. Synthesis, characterization and protein binding properties of supported dendrons. J. Mater. Chem. 2009, 19, 6616–6622. [Google Scholar]
- Appoh, F.E.; Kraatz, H.B. Voltammetric studies of dendrimer multilayers: Layer-by-layer assembly of metal-peptide dendrimers multilayers. J. Appl. Polym. Sci. 2009, 111, 709–723. [Google Scholar]
- Paez, J.I.; Strumia, M.C.; Passeggi, M.C.G., Jr.; Ferrón, J.; Baruzzi, A.M.; Brunetti, V. Spontaneous adsorption of 3,5-bis(3,5-dinitrobenzoylamino) benzoic acid onto carbon. Electrochim. Acta 2009, 54, 4192–4197. [Google Scholar]
- Azagarsamy, M.A.; Krishnamoorthy, K.; Sivanandan, K.; Thayumanavan, S. Site-specific installation and study of electroactive units in every layer of dendrons. J. Org. Chem. 2009, 74, 9475–9485. [Google Scholar]
- Wyszogrodzka, M.; Haag, R. Study of single protein adsorption onto monoamino oligoglycerol derivatives: A structure - activity relationship. Langmuir 2009, 25, 5703–5712. [Google Scholar]
- Felipe, M.J.L.; Ponnapati, R.R.; Pernites, R.B.; Dutta, P.; Advincula, R.C. Synthesis and electrografting of dendron anchored OEGylated surfaces and their protein adsorption resistance. ACS Appl. Mater. Interfaces 2010, 2, 3401–3405. [Google Scholar]
- Benhabbour, S.R.; Liu, L.; Sheardown, H.; Adronov, A. Protein resistance of surfaces prepared by chemisorption of monothiolated poly(ethylene glycol) to gold and dendronization with aliphatic polyester dendrons: Effect of hydrophilic dendrons. Macromolecules 2008, 41, 2567–2576. [Google Scholar]
- Benhabbour, S.R.; Sheardown, H.; Adronov, A. Protein resistance of PEG-functionalized dendronized surfaces: Effect of PEG molecular weight and dendron generation. Macromolecules 2008, 41, 4817–4823. [Google Scholar]
- Wyszogrodzka, M.; Haag, R. Synthesis and characterization of glycerol dendrons, self-Assembled monolayers on gold: A detailed study of their protein resistance. Biomacromolecules 2009, 10, 1043–1054. [Google Scholar]
- Wong, E.L.S.; Compton, R.G. Chemical reaction of reagents covalently confined to a nanotube surface: Nanotube-mediated redox chemistry. J. Phys. Chem. C 2008, 112, 8122–8126. [Google Scholar]
- Woo, S.; Lee, Y.; Sunkara, V.; Cheedarala, R.K.; Shin, H.S.; Choi, H.C.; Park, J.W. Fingertip”-guided noncovalent functionalization of carbon nanotubes by dendrons. Langmuir 2007, 23, 11373–11376. [Google Scholar]
- Le Ho, K.H.; Rivier, L.; Jousselme, B.; Jégou, P.; Filoramo, A.; Campidelli, S. Zn-porphyrin/Zn-phthalocyanine dendron for SWNT functionalisation. Chem. Commun. 2010, 46, 8731–8733. [Google Scholar]
- Bahun, G.J.; Adronov, A. Interactions of carbon nanotubes with pyrene-functionalized linear-dendritic hybrid polymers. J. Polym. Sci. Part A: Polym. Chem. 2010, 48, 1016–1028. [Google Scholar]
- Sun, Y.P.; Huang, W.; Lin, Y.; Fu, K.; Kitaygorodskiy, A.; Riddle, L.A.; Yu, Y.J.; Carroll, D.L. Soluble dendron-functionalized carbon nanotubes: Preparation, characterization, and properties. Chem. Mater. 2001, 13, 2864–2869. [Google Scholar]
- DiMaio, J.; Rhyne, S.; Yang, Z.; Fu, K.; Czerw, R.; Xu, J.; Webster, S.; Sun, Y.P.; Carroll, D.L.; Ballato, J. Transparent Silica Glasses Containing Single Walled Carbon Nanotubes. In Research Triange Park, NC, USA, date? 2002; Caulfield, J.H., Chen, S.H., Cheng, H.D., Duro, R., Caufield, J.H., Honavar, V., Eds.; Research Triange Park: NC, USA, 2002; pp. 1307–1309. [Google Scholar]
- Tamura, M.; Takaguchi, Y.; Tsuboi, S.; Uchida, T.; Shimamura, K.; Kimura, S.I.; Wakahara, T.; Maeda, Y.; Akasaka, T. Supramolecular wrapping around single-walled carbon nanotubes with fullerodendrons. In Polymer Preprints, Japan, 1st ed; Yokohama, Japan, 2005; Volume 54, p. 902. [Google Scholar]
- Takaguchi, Y.; Tamura, M.; Sako, Y.; Yanagimoto, Y.; Tsuboi, S.; Uchida, T.; Shimamura, K.; Kimura, S.I.; Wakahara, T.; Maeda, Y.; Akasaka, T. Fullerodendron-assisted dispersion of single-walled carbon nanotubes via noncovalent functionalization. Chem. Lett. 2005, 34, 1608–1609. [Google Scholar]
- Sandanayaka, A.S.D.; Takaguchi, Y.; Uchida, T.; Sako, Y.; Morimoto, Y.; Araki, Y.; Ito, O. Light-induced electron transfer on the single wall carbon nanotube surrounded in anthracene dendron in aqueous solution. Chem. Lett. 2006, 35, 1188–1189. [Google Scholar]
- Setaro, A.; Popeney, C.S.; Trappmann, B.; Datsyuk, V.; Haag, R.; Reich, S. Polyglycerol-derived amphiphiles for single walled carbon nanotube suspension. Chem. Phys. Lett. 2010, 493, 147–150. [Google Scholar]
- Tao, L.; Chen, G.; Mantovani, G.; York, S.; Haddleton, D.M. Modification of multi-wall carbon nanotube surfaces with poly(amidoamine) dendrons: Synthesis and metal templating. Chem. Commun. 2006, 47, 4949–4951. [Google Scholar]
- Hwang, S.H.; Moorefield, C.N.; Wang, P.; Jeong, K.U.; Cheng, S.Z.D.; Kotta, K.K.; Newkome, G.R. Dendron-tethered and templated Cds quantum dots on single-walled carbon nanotubes. J. Am. Chem. Soc. 2006, 128, 7505–7509. [Google Scholar]
- Al-Jamal, K.T.; Toma, F.M.; Yilmazer, A.; Ali-Boucetta, H.; Nunes, A.; Herrero, M.A.; Tian, B.; Eddaoui, A.; Al-Jamal, W.; Bianco, A.; et al. Enhanced cellular internalization and gene silencing with a series of cationic dendron-multiwalled carbon nanotube:siRNA complexes. FASEB J. 2010, 24, 4354–4365. [Google Scholar]
- Bissett, M.A.; Köper, I.; Quinton, J.S.; Shapter, J.G. Dendron growth from vertically aligned single-walled carbon nanotube thin layer arrays for photovoltaic devices. Phys. Chem. Chem. Phys. 2011, 13, 6059–6064. [Google Scholar]
- Bissett, M.A.; Köper, I.; Quinton, J.S.; Shapter, J.G. Dye functionalisation of PAMAM-type dendrons grown from vertically aligned single-walled carbon nanotube arrays for light harvesting antennae. J. Mater. Chem. 2011, 21, 18597–18604. [Google Scholar]
- Fernández, E.J.; Monge, M. Gold nanomaterials. In Modern Supramolecular Gold Chemistry. Gold-Metal Interactions and Applications; Laguna, A., Ed.; Wiley-VCH Verlag GmbH & Co. KGaA: Weinheim, Germany, 2008; pp. 131–179. [Google Scholar]
- Gopidas, K.R.; Whitesell, J.K.; Fox, M.A. Nanoparticle-cored dendrimers: Synthesis and characterization. J. Am. Chem. Soc. 2003, 125, 6491–6502. [Google Scholar]
- Wang, R.; Yang, J.; Zheng, Z.; Carducci, M.D.; Jiao, J.; Seraphin, S. Dendron-controlled nucleation and growth of gold nanoparticles. Angew. Chem. (Int. Ed. Engl.) 2001, 40, 549–552. [Google Scholar] [CrossRef]
- Gopidas, K.R.; Whitesell, J.K.; Fox, M.A. Metal-core-organic shell dendrimers as unimolecular micelles. J. Am. Chem. Soc. 2003, 125, 14168–14180. [Google Scholar]
- Daniel, M.-C.; Ruiz, J.; Nlate, S.; Blais, J.-C.; Astruc, D. Nanoscopic assemblies between supramolecular redox active metallodendrons and gold nanoparticles: Synthesis, characterization, and selective recognition of H2PO4−, HSO4−, and Adenosine-5'-Triphosphate (ATP2−) anions. J. Am. Chem. Soc. 2003, 125, 2617–2628. [Google Scholar]
- Choi, D.; Chinn, L.; Shon, Y.S. Convergent synthesis of dendron-functionalized gold nanoparticles. Polym. Mater.: Sci. Eng. 2005, 93, 739–740. [Google Scholar]
- Shon, Y.S.; Choi, D. A route to redox-active nanoparticle-cored dendrimers: Post-encapsulation of ferrocene. Chem. Lett. 2006, 35, 644–645. [Google Scholar]
- Shon, Y.S.; Choi, D.; Dare, J.; Dinh, T. Synthesis of nanoparticle-cored dendrimers by convergent dendritic functionalization of monolayer-protected nanoparticles. Langmuir 2008, 24, 6924–6931. [Google Scholar]
- Cutler, E.C.; Lundin, E.; Garabato, B.D.; Choi, D.; Shon, Y.S. Dendritic functionalization of monolayer-protected gold nanoparticles. Mater. Res. Bull. 2007, 42, 1178–1185. [Google Scholar]
- Jiang, G.; Wang, L.; Chen, T.; Yu, H.; Chen, C. Preparation of gold nanoparticles in the presence of poly(benzyl ether) alcohol dendrons. Mater. Chem. Phys. 2006, 98, 76–82. [Google Scholar]
- Jiang, G.; Wang, L.; Chen, W. Studies on the preparation and characterization of gold nanoparticles protected by dendrons. Mater. Lett. 2007, 61, 278–283. [Google Scholar]
- Love, C.S.; Chechik, V.; Smith, D.K.; Brennan, C. Dendron-stabilised gold nanoparticles: Generation dependence of core size and thermal stability. J. Mater. Chem. 2004, 14, 919–923. [Google Scholar]
- Love, C.S.; Ashworth, I.; Brennan, C.; Chechik, V.; Smith, D.K. Dendritic nanoparticles - the impact of ligand cross-linking on nanocore stability. Langmuir 2007, 23, 5787–5794. [Google Scholar]
- Palui, G.; Ray, S.; Banerjee, A. Synthesis of multiple shaped gold nanoparticles using wet chemical method by different dendritic peptides at room temperature. J. Mater. Chem. 2009, 19, 3457–3468. [Google Scholar]
- Ratheesh Kumar, V.K.; Gopidas, K.R. Synthesis and characterization of gold-nanoparticle-cored dendrimers stabilized by metal-carbon bonds. Chem. An Asian J. 2010, 5, 887–896. [Google Scholar]
- Yan, H.; Wong, C.; Chianese, A.R.; Luo, J.; Wang, L.; Yin, J.; Zhong, C.-J. Dendritic arenethiol-based capping strategy for engineering size and surface reactivity of gold nanoparticles. Chem. Mater. 2010, 22, 5918–5928. [Google Scholar]
- González De Rivera, F.; Rodríguez, L.I.; Rossell, O.; Seco, M.; Divins, N.J.; Casanova, I.; Llorca, J. Carbosilane dendrons as stabilizing agents for the formation of gold nanoparticles. J. Organomet. Chem. 2011, 696, 2287–2293. [Google Scholar]
- Kim, M.-K.; Jeon, Y.-M.; Jeon, W.S.; Kim, H.-J.; Hong, S.G.; Park, C.G.; Kim, K. Novel dendron-stabilized gold nanoparticles with high stability and narrow size distribution. Chem. Commun. 2001, 7, 667–668. [Google Scholar]
- Kim, C.K.; Joo, W.-J.; Kim, H.J.; Song, E.S.; Kim, J.; Lee, S.; Park, C.; Kim, C. Gold nanoparticles passivated with π-conjugated dendrons and their electrical bistability. Synth. Metals 2008, 158, 359–363. [Google Scholar]
- Komine, Y.; Ueda, I.; Goto, T.; Fujihara, H. Dendritic effects on the ordered assembly and the interfacial one-electron oxidation of redox-active dendron-functionalized gold nanoparticles. Chem. Commun. 2006, 3, 302–304. [Google Scholar]
- Ghosh, P.S.; Kim, C.-K.; Han, G.; Forbes, N.S.; Rotello, V.M. Efficient gene delivery vectors by tuning the surface charge density of amino acid-functionalized gold nanoparticles. ACS Nano 2008, 2, 2213–2218. [Google Scholar]
- Gopidas, K.R.; Whitesell, J.K.; Fox, M.A. Synthesis, characterization, and catalytic applications of a palladium-nanoparticle-cored dendrimer. Nano Lett. 2003, 3, 1757–1760. [Google Scholar] [CrossRef]
- Wu, L.; Li, B.-L.; Huang, Y.-Y.; Zhou, H.-F.; He, Y.-M.; Fan, Q.-H. Phosphine dendrimer-stabilized palladium nanoparticles, a highly active and recyclable catalyst for the suzuki-miyaura reaction and hydrogenation. Org. Lett. 2006, 8, 3605–3608. [Google Scholar]
- Ratheesh Kumar, V.K.; Gopidas, K.R. Palladium nanoparticle-cored G1-dendrimer stabilized by carbon-Pd bonds: Synthesis, characterization and use as chemoselective, room temperature hydrogenation catalyst. Tetrahedron Lett. 2011, 52, 3102–3105. [Google Scholar] [CrossRef]
- Yang, P.; Zhang, W.; Du, Y.; Wang, X. Hydrogenation of nitrobenzenes catalyzed by platinum nanoparticle core-polyaryl ether trisacetic acid ammonium chloride dendrimer shell nanocomposite. J. Mol. Catal. A Chem. 2006, 260, 4–10. [Google Scholar]
- Duanmu, C.; Saha, I.; Zheng, Y.; Goodson, B.M.; Gao, Y. Dendron-functionalized superparamagnetic nanoparticles with switchable solubility in organic and aqueous media: Matrices for homogeneous catalysis and potential MRI contrast agents. Chem. Mater. 2006, 18, 5973–5981. [Google Scholar]
- Paez, J.I.; Cappelletti, A.L.; Baruzzi, A.M.; Brunetti, V.; Strumia, M.C. Preparation, characterization and application of modified surfaces with 3,5-Bis(3,5-dinitrobenzoylamino) benzoic acid. Macromol. Symp. 2010, 290, 37–45. [Google Scholar]
- Pan, B.-F.; Gao, F.; Gu, H.-C. Dendrimer modified magnetite nanoparticles for protein immobilization. J. Colloid Interface Sci. 2005, 284, 1–6. [Google Scholar]
- Gao, F.; Pan, B.-F.; Zheng, W.-M.; Ao, L.-M.; Gu, H.-C. Study of streptavidin coated onto PAMAM dendrimer modified magnetite nanoparticles. J. Magn. Magn. Mater. 2005, 293, 48–54. [Google Scholar]
- Martin, A.L.; Bernas, L.M.; Rutt, B.K.; Foster, P.J.; Gillies, E.R. Enhanced cell uptake of superparamagnetic iron oxide nanoparticles functionalized with dendritic guanidines. Bioconjug. Chem. 2008, 19, 2375–2384. [Google Scholar]
- Wang, Y.A.; Li, J.J.; Chen, H.; Peng, X. Stabilization of inorganic nanocrystals by organic dendrons. J. Am. Chem. Soc. 2002, 124, 2293–2298. [Google Scholar]
- Shon, Y.S.; Choi, D. Dendritic functionalization of metal nanoparticles for nanoparticle-cored dendrimers. Curr. Nanosci. 2007, 3, 245–254. [Google Scholar]
- Shon, Y.-S. Chapter 24: Nanoparticle-cored dendrimers and hyperbranched polymers: Synthesis, properties and applications. In Advanced Nanomaterials; Geckeler, K.E., Nishide, H., Eds.; Wiley-VCH Verlag GmbH & Co. KGaA: Weinheim, Germany, 2010; pp. 743–766. [Google Scholar]
- Bronstein, L.M.; Shifrina, Z.B. Dendrimers as encapsulating, stabilizing, or directing agents for inorganic nanoparticles. Chem. Rev. 2011, 111, 5301–5344. [Google Scholar] [CrossRef]
- Zhao, F.; Li, W. Dendrimer/inorganic nanomaterial composites: Tailoring preparation, properties, functions, and applications of inorganic nanomaterials with dendritic architectures. Sci. China Chem. 2011, 54, 286–301. [Google Scholar] [CrossRef]
- Brust, M.; Walker, M.; Bethell, D.; Schiffrin, D.J.; Whyman, R. Synthesis of thiol-derivatised gold nanoparticles in a two-phase Liquid-Liquid system. J. Chem. Soc. Chem. Commun. 1994, 7, 801–802. [Google Scholar]
- Smith, D.K.; Hirst, A.R.; Love, C.S.; Hardy, J.G.; Brignell, S.V.; Huang, B. Self-assembly using dendritic building blocks - Towards controllable nanomaterials. Prog. Polym. Sci. (Oxford) 2005, 30, 220–293. [Google Scholar] [CrossRef]
- Astruc, D.; Daniel, M.C.; Ruiz, J. Dendrimers and gold nanoparticles as exo-receptors sensing biologically important anions. Chem. Commun. 2004, 23, 2637–2649. [Google Scholar]
- Astruc, D.; Ornelas, C.; Ruiz, J. Metallocenyl dendrimers and their applications in molecular electronics, sensing, and catalysis. Acc. Chem. Res. 2008, 41, 841–856. [Google Scholar] [CrossRef]
© 2012 by the authors; licensee MDPI, Basel, Switzerland. This article is an open-access article distributed under the terms and conditions of the Creative Commons Attribution license (http://creativecommons.org/licenses/by/3.0/).