Copolymer Engineering of Elastic–Rigid Elastomers for Wash-Durable Conductive Pastes in Wearable Textile Electronics
Abstract
1. Introduction
2. Experimental
2.1. Materials
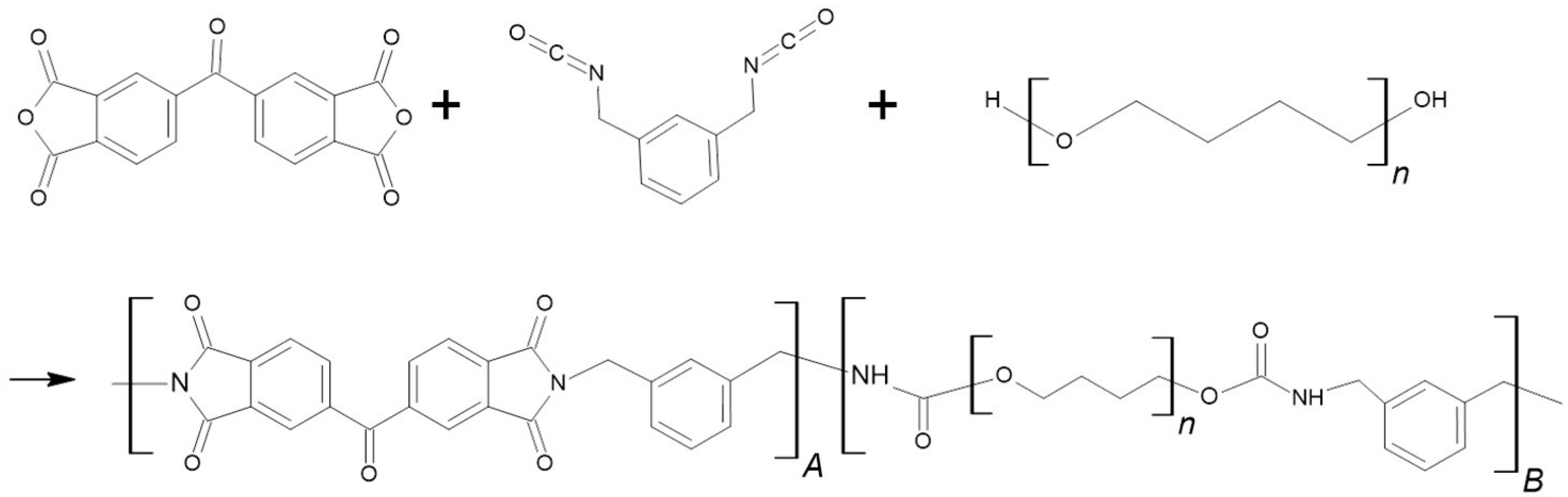
2.2. Preparation of PI–PU Polymer
2.3. Conductive Paste Preparation
2.4. Mechanical Properties
2.5. Material Structure Analysis
2.6. Electrical–Mechanical Stability and Resistivity Measurement
2.7. Washable/Laundry
2.8. Morphological Analysis
2.9. GenAI
3. Results and Discussion
3.1. FTIR Spectroscopy
3.2. Tensile Strength
3.3. Elongation Recovery
3.4. Electrical–Mechanical Stability
3.5. Laundering Durability
4. Conclusions
Author Contributions
Funding
Data Availability Statement
Acknowledgments
Conflicts of Interest
References
- Xiao, G.; Tao, Y.; Zhang, Z. Conductive Inks with Neoprene Binder. International Patent WO2020/079473 A1, 23 April 2020. [Google Scholar]
- Mi, X.; Zhang, C.; Zhang, N.; Wang, J.; Wang, W. A surface wrinkling multifunctional flexible fiber based on dual conductive networks for strain and temperature sensing. Chem. Eng. J. 2025, 522, 168172. [Google Scholar] [CrossRef]
- Ding, Y.-r.; Wang, Y.-F.; Zhang, H.-J.; Jia, Z.; Wang, J.-J. Fabrication of superhydrophobic electron-conducting hydrogel e-skin with linear sensitivity for underwater monitoring. Chem. Eng. J. 2025, 520, 166249. [Google Scholar] [CrossRef]
- Prasankumar, T.; Suntharam, N.M.; Manoharan, K.; Kumar, S.S.A.; Gerard, O.; Saroj, A.; Bashir, S.; Ramesh, K.; Ramesh, S.; Ramachandaramurthy, V.K. Carbon nanofiber/conducting polymer hybrids for flexible and wearable energy storage devices. Sustain. Mater. Technol. 2025, 46, e01757. [Google Scholar] [CrossRef]
- Saroj, A.L.; Hoe, L.K.; Bashir, S.; Prasankumar, T.; Jaffri, J.A.; Hussain, R.; Kandiah, K.K.; Bashir, Z.; Ramesh, S.; Ramesh, K. A Review on the Advancement of Biopolymer Electrolytes for High-Performance Supercapacitor Applications. J. Polym. Environ. 2026, 34, 9. [Google Scholar] [CrossRef]
- Kim, J.; Kim, B.-Y.; Park, S.D.; Seo, J.-H.; Lee, C.-J.; Yoo, M.J.; Kim, Y. Mechanical Durability of Flexible Printed Circuit Boards Containing Thin Coverlays Fabricated with Poly(Amide-Imide-Urethane)/Epoxy Interpenetrating Networks. Micromachines 2021, 12, 943. [Google Scholar] [CrossRef]
- Al-Salah, H.A. Synthesis and properties of poly (urethane-urea-imide) block copolymers. Polym. J. 1991, 23, 815–821. [Google Scholar] [CrossRef]
- Imai, Y. Recent progress in synthesis of polyimides. J. Photopolym. Sci. Technol. 1994, 7, 251–256. [Google Scholar] [CrossRef]
- Souza, F.M.; Kahol, P.K.; Gupta, R.K. Introduction to Polyurethane Chemistry. ACS Symp. Ser. 2021, 1380, 1–24. [Google Scholar] [CrossRef]
- Merline, D.J.; Vukusic, S.; Abdala, A.A. Melamine formaldehyde: Curing studies and reaction mechanism. Polym. J. 2012, 45, 413–419. [Google Scholar] [CrossRef]
- Brahmachari, G.; Nayek, N.; Nurjamal, K.; Karmakar, I.; Begam, S. Triethylamine—A versatile organocatalyst in organic transformations: A decade update. Synthesis 2018, 50, 4145–4164. [Google Scholar] [CrossRef]
- Didenko, A.L.; Ivanov, A.G.; Smirnova, V.E.; Vaganov, G.V.; Anokhina, T.S.; Borisov, I.L.; Volkov, V.V.; Volkov, A.V.; Kudryavtsev, V.V. Selective Destruction of Soluble Polyurethaneimide as Novel Approach for Fabrication of Insoluble Polyimide Films. Polymers 2022, 14, 4130. [Google Scholar] [CrossRef]
- Gnanasekaran, D.; Reddy, B.S. A facile synthesis of mixed soft-segmented poly(urethane-imide)-polyhedral oligomeric silsesquioxone hybrid nanocomposites and study of their structure-transport properties. Polym. Int. 2014, 63, 507–513. [Google Scholar] [CrossRef][Green Version]
- Jeon, J.Y.; Tak, T.M. Synthesis and characterization of block copoly(urethane-imide). J. Appl. Polym. Sci. 1996, 62, 763–769. [Google Scholar] [CrossRef]
- Li, X.; Koh, K.H.; Farhan, M.; Lai, K.W.C. An ultraflexible polyurethane yarn-based wearable strain sensor with a polydimethylsiloxane infiltrated multilayer sheath for smart textiles. Nanoscale 2020, 12, 4110–4118. [Google Scholar] [CrossRef]
- Zhou, W.; Gong, X.; Li, Y.; Si, Y.; Zhang, S.; Yu, J.; Ding, B. Environmentally friendly waterborne polyurethane nanofibrous membranes by emulsion electrospinning for waterproof and breathable textiles. Chem. Eng. J. 2022, 427, 130925. [Google Scholar] [CrossRef]
- Sikdar, P.; Dip, T.M.; Dhar, A.K.; Bhattacharjee, M.; Hoque, M.S.; Ali, S.B. Polyurethane (PU) based multifunctional materials: Emerging paradigm for functional textiles, smart, and biomedical applications. J Appl Polym Sci. 2022, 139, e52832. [Google Scholar] [CrossRef]
- Li, X.; Liao, G.; Cai, W.; Yang, J.; Jiang, R.; Wan, J.; Zhao, H.; Wang, Y.; Cui, J. Polyurethane Based Smart Composite Fabric for Personal Thermal Management in Multi-Mode. Small 2024, 2403334. [Google Scholar] [CrossRef]
- Tian, X.; Chan, K.; Hua, T.; Niu, B.; Chen, S. Wearable strain sensors enabled by integrating onedimensional polydopamine-enhanced graphene/polyurethane sensing fibers into textile structures. J Mater Sci 2020, 55, 17266–17283. [Google Scholar] [CrossRef]
- Li, Y.; Sun, G.; Zhou, Y.; Liu, G.; Wang, J.; Han, S. Progress in low dielectric polyimide film—A review. Prog. Org. Coat. 2022, 172, 107103. [Google Scholar] [CrossRef]
- Wu, Z.; He, J.; Yang, H.; Yang, S. Progress in Aromatic Polyimide Films for Electronic Applications: Preparation, Structure and Properties. Polymers 2022, 14, 1269. [Google Scholar] [CrossRef] [PubMed]
- Ruan, K.; Guo, Y.; Gu, J. Liquid Crystalline Polyimide Films with High Intrinsic Thermal Conductivities and Robust Toughness. Macromolecules 2021, 54, 4934–4944. [Google Scholar] [CrossRef]
- Ahmad, A.; Tong, H.; Fan, T.; Xu, J. All-organic polymer blend dielectrics of poly (arylene ether urea) and polyimide: Toward high energy density and high temperature applications. J. Polym. Sci. 2021, 59, 1414–1423. [Google Scholar] [CrossRef]
- Li, J.; Zhang, X.; Ding, Y.; Zhao, S.; Ma, Z.; Zhang, H.; He, X. Multifunctional carbon fiber@NiCo/polyimide films with outstanding electromagnetic interference shielding performance. Chem. Eng. J. 2022, 427, 131937. [Google Scholar] [CrossRef]
- Wan, B.; Yang, X.; Dong, X.; Zheng, M.-S.; Zhao, Q.; Zhang, H.; Chen, G.; Zha, J.-W. Dynamic Sustainable Polyimide Film Combining Hardness with Softness via a “Mimosa-Like” Bionic Strategy. Adv. Mater. 2023, 35, 2207451. [Google Scholar] [CrossRef]
- Liu, X.-J.; Zheng, M.-S.; Wang, G.; Zhang, Y.-Y.; Dang, Z.-M.; Chen, G.; Zha, J.-W. High energy density of polyimide films employing an imidization reaction kinetics strategy at elevated temperature. J. Mater. Chem. A 2022, 10, 10950–10959. [Google Scholar] [CrossRef]
- Liu, Y.-Y.; Wang, Y.-K.; Wu, D.-Y. Synthetic strategies for highly transparent and colorless polyimide film. J. Appl. Polym. Sci. 2022, 139, e52604. [Google Scholar] [CrossRef]
- Zhu, W.; Chow, L.; Ye, D.; Qiu, Y.; Li, J.; Zhang, B.; Guo, Y.; Jia, S.; Yu, X. Advances in smart textiles for personal thermal management. Med-X 2025, 3, 6. [Google Scholar] [CrossRef]
- Furtak, N.T.; Skrzetuska, E.; Krucińska, I. Development of Screen-Printed Breathing Rate Sensors. FIBRES Text. East. Eur. 2013, 21, 84–88. [Google Scholar]
- Chen, G.; Li, Y.; Bick, M.; Chen, J. Smart Textiles for Electricity Generation. Chem. Rev. 2020, 120, 3668–3720. [Google Scholar] [CrossRef]
- Chou, Y.-N.; Yang, I.-H. Biomimic Zwitterionic Polyamide/Polyurethane Elastic Blending Fabrics. Biomimetics 2023, 8, 198. [Google Scholar] [CrossRef]
- Zou, X.; Liu, B.; Wen, J.; Zeng, W.; Jing, B.; Dai, W. Improvement of polyamide/thermoplastic polyurethane blends with polyamide 6-polyurethane copolymer prepared via suspension polymerization as compatibilizer. J. Appl. Polym. Sci. 2020, 137, e49155. [Google Scholar] [CrossRef]
- Hou, L.; Feng, B.; Wang, X.; Zhang, M.; Yin, M.; Zhang, X.; Sun, G.; Li, P.; Ma, J. Comprehensive investigation on the synthesis of polyamide 6 and polyurethane elastomer blends via in situ polymerization. J. Polym. Sci. 2024, 62, 4416–4423. [Google Scholar] [CrossRef]
- Jiang, J.; Tang, Q.; Pan, X.; Xi, Z.; Zhao, L.; Yuan, W. Structure and Morphology of Thermoplastic Polyamide Elastomer Based on Long-Chain Polyamide 1212 and Renewable Poly(trimethylene glycol). Ind. Eng. Chem. Res. 2020, 59, 17502–17512. [Google Scholar] [CrossRef]
- Pieniak, D.; Jedut, R.; Gil, L.; Kupicz, W.; Borucka, A.; Selech, J.; Bartnik, G.; Przystupa, K.; Krzysiak, Z. Comparative Evaluation of the Tribological Properties of Polymer Materials with Similar Shore Hardness Working in Metal–Polymer Friction Systems. Materials 2023, 16, 573. [Google Scholar] [CrossRef]
- Morton, W.E.; Hearle, J.W.S. Physical Properties of Textile Fibres Fourth Edition, Chapter 15 Elastic Recovery; Woodhead Publishing: Cambridge, UK, 2008; ISBN 978-1-84569-220-9. [Google Scholar]
- Understanding Tensile Elasticity and Strength Testing for Woven Fabrics: FZ/T 01034 Test Method. Available online: https://chiuvention.com/blog/understanding-tensile-elasticity-and-strength-testing-for-woven-fabrics-fz-t-01034-test-method (accessed on 11 February 2026).
- Yontar, A.K.; Çevik, S. Effects of Plant Extracts and Green-Synthesized Silver Nanoparticles on the Polyvinyl Alcohol (PVA) Nanocomposite Films. Arab. J. Sci. Eng. 2023, 48, 12043–12060. [Google Scholar] [CrossRef]
- Wang, B.; Li, X.; Peng, X.; Li, Y.; Li, X.; Chen, Y.; Jin, J. Influence of Nitrile Butadiene Rubber (NBR) Shore Hardness and Polytetrafluoroethylene (PTFE) Elastic Modulus on the Sealing Characteristics of Step Rod Seals. Lubricants 2023, 11, 367. [Google Scholar] [CrossRef]
- Jaisingh, A.; Halloran, M.W.; Rajput, B.S.; Burkart, M.D. Tailoring High Hardness and Rigidity in Biodegradable Thermoplastic Polyurethanes. ACS Appl. Polym. Mater. 2024, 6, 9724–9734. [Google Scholar] [CrossRef]
- Li, R.; Fang, W.; Fan, X.; Jina, Z.; Zhou, T. Preparation and Characterization of Polyoxymethlene/Thermoplastic Polyamide Elastomer Blends Compatibilized by Maleic Anhydride Grafted ABS Copolymer. Polym. Sci. Ser. A 2021, 63, 420–428. [Google Scholar] [CrossRef]
- Yun, E.; Kim, S.; Yun, C. Development of digitized evaluation methods for fabric shrinkage and damage using image analysis. Fash. Text. 2023, 10, 23. [Google Scholar] [CrossRef]
- Available online: https://members.aatcc.org/store/tm135/543/ (accessed on 11 February 2026).
- Eskandarian, L.; Pajootan, E.; Toossi, A.; Naguib, H.E. Dry Fiber-Based Electrodes for Electrophysiology Applications. Adv. Fiber Mater. 2023, 5, 819–846. [Google Scholar] [CrossRef]
- Le, K.; Narayana, H.; Servati, A.; Bahi, A.; Soltanian, S.; Servati, P.; Ko, F. Electronic textiles for electrocardiogram monitoring: A review on the structure–property and performance evaluation from fiber to fabric. Text. Res. J. 2023, 93, 878–910. [Google Scholar] [CrossRef]
- Tanigawa, H.; Hirohara, M.; Nakamura, Y.; Marutani, Y.; Suzuki, Y.; Kushida, K. The Effectiveness of Washing Clothing Contaminated With Cyclophosphamide: A Pilot Study. Clin. J. Oncol. Nurs. 2023, 27, 289–294. [Google Scholar] [CrossRef]
- Laitala, K.; Boks, C.; Klepp, I.G. Potential for environmental improvements in laundering. Int. J. Consum. Stud. 2011, 35, 254–264. [Google Scholar] [CrossRef]
- Tsai, M.-H.; Huang, S.-L.; Liu, S.-J.; Chen, C.-J.; Chen, P.-J.; Chen, S.-H. Synthesis and properties of poly(urethane-imide) interpenetrating network membranes. Desalination 2008, 233, 191–200. [Google Scholar] [CrossRef]
- Takeichi, T.; Arimatsu, K. Preparation and Properties of Polyurethane-imide) Filmsfrom Polyether Polyol: An Attempt to Nanoporous Polyimide Films. J. Photopolym. Sci. Technol. 2001, 14, 67–72. [Google Scholar] [CrossRef]
- Du, J.; Pu, C.; Sun, X.; Wang, Q.; Niu, H.; Wu, D. Preparation and Interfacial Properties of Hydroxyl-Containing Polyimide Fibers. Polymers 2023, 15, 1032. [Google Scholar] [CrossRef]
- Chen, C.-K.; Lin, Y.-C.; Hsu, L.-C.; Ho, J.-C.; Ueda, M.; Chen, W.-C. High Performance Biomass-Based Polyimides for Flexible Electronic Applications. ACS Sustain. Chem. Eng. 2021, 9, 3278–3288. [Google Scholar] [CrossRef]
- Huang, X.; Zhang, F.; Liu, Y.; Leng, J. Active and Deformable Organic Electronic Devices based on Conductive Shape Memory Polyimide. ACS Appl. Mater. Interfaces 2020, 12, 23236–23243. [Google Scholar] [CrossRef]
- Min, H.; Kang, B.; Shin, Y.S.; Kim, B.S.; Lee, S.W.; Cho, J.H. Transparent and Colorless Polyimides Containing Multiple Trifluoromethyl Groups as Gate Insulators for Flexible Organic Transistors with Superior Electrical Stability. ACS Appl. Mater. Interfaces 2020, 12, 18739–18747. [Google Scholar] [CrossRef]








| Specimens | Molar Ratio | ||||
|---|---|---|---|---|---|
| No Additive | TEA | Melamine | PTMEG/PU | BTDA/PI | XDI |
| N2 | T2 | M2 | 1 | 2 | 3.5 |
| N3.25 | T3.25 | M3.25 | 1 | 3.25 | 4.25 |
| N3.5 | T3.5 | M3.5 | 1 | 3.5 | 4.5 |
| N3.75 | T3.75 | M3.75 | 1 | 3.75 | 4.75 |
| Specimens | Tensile Strength (MPa) | Young’s Modulus (MPa) | Percent Elongation (%) |
|---|---|---|---|
| N2 | 1.2 ± 0.0 | 5.8 ± 0.2 | 19.5 ± 0.1 |
| T2 | 1.3 ± 0.1 | 5.7 ± 0.2 | 23.0 ± 0.1 |
| M2 | 1.3 ± 0.0 | 7.2 ± 0.2 | 18.5 ± 0.8 |
| N3.25 | 2.0 ± 0.1 | 28.9 ± 2.2 | 7.1 ± 0.5 |
| T3.25 | 2.0 ± 0.2 | 24.8 ± 2.3 | 8.1 ± 0.4 |
| M3.25 | 2.2 ± 0.3 | 30.4 ± 1.0 | 7.3 ± 0.7 |
| N3.5 | 2.2 ± 0.3 | 37.2 ± 3.0 | 5.9 ± 0.6 |
| T3.5 | 2.3 ± 0.3 | 31.4 ± 2.2 | 7.3 ± 1.0 |
| M3.5 | 2.6 ± 0.1 | 41.5 ± 0.4 | 6.1 ± 0.6 |
| N3.75 | 3.4 ± 0.3 | 55.6 ± 1.2 | 5.8 ± 0.0 |
| T3.75 | 2.8 ± 0.5 | 48.9 ± 2.6 | 5.8 ± 1.0 |
| M3.75 | 2.7 ± 0.0 | 66.4 ± 1.6 | 4.2 ± 0.1 |
| TPU/Commercial | 3.0 ± 0.0 | 38.0 ± 2.4 | 8.2 ± 0.9 |
| 30 s | 1 h | |||||
|---|---|---|---|---|---|---|
| Specimens | 9% | 20% | 80% | 9% | 20% | 80% |
| N2 | 100 | 96 | 96 | 100 | 99 | 99 |
| T2 | 100 | 100 | 97 | 100 | 99 | 99 |
| M2 | 100 | 98 | 96 | 100 | 100 | 99 |
| N3.25 | 98 | 92 | 89 | 99 | 95 | 94 |
| T3.25 | 97 | 94 | 91 | 100 | 98 | 96 |
| M3.25 | 97 | 92 | 89 | 98 | 98 | 94 |
| N3.5 | 95 | 94 | 88 | 98 | 97 | 94 |
| T3.5 | 99 | 94 | 88 | 100 | 97 | 95 |
| M3.5 | 97 | 90 | 87 | 100 | 96 | 93 |
| N3.75 | 87 | 85 | 82 | 94 | 93 | 90 |
| T3.75 | 90 | 94 | 86 | 98 | 96 | 92 |
| M3.75 | 87 | 86 | 81 | 96 | 94 | 90 |
| TPU/Commercial | 97 | 98 | 95 | 100 | 100 | 97 |
| Resistivity (Ω·cm) | Resistance Variation Rate (%) | |||
|---|---|---|---|---|
| Recovery Times (min) | ||||
| 1 | 3 | 5 | ||
| N3.5/Ag | 6.7 × 10−5 | 8.3 | 8.3 | 0 |
| M3.5/Ag | 3.5 × 10−5 | 0 | 0 | 0 |
| Conductive Paste | Textiles | Before | 10 Times | 20 Times | 30 Times | 50 Times |
|---|---|---|---|---|---|---|
| This Study, M3.5/Ag | Knitting | 2.8 | 2.5 | 2.7 | 2.5 | 5.5 |
| This Study, M3.5/Ag | Woven | 2.0 | 2.4 | 2.2 | 2.6 | 5.1 |
| Commercial EMS, CI-1036 | Knitting | 1.3 | 2.9 | 49.7 | Failed | Failed |
| Commercial EMS, CI-1036 | Woven | 1.5 | 208.9 | 727.2 | Failed | Failed |
Disclaimer/Publisher’s Note: The statements, opinions and data contained in all publications are solely those of the individual author(s) and contributor(s) and not of MDPI and/or the editor(s). MDPI and/or the editor(s) disclaim responsibility for any injury to people or property resulting from any ideas, methods, instructions or products referred to in the content. |
© 2026 by the authors. Licensee MDPI, Basel, Switzerland. This article is an open access article distributed under the terms and conditions of the Creative Commons Attribution (CC BY) license.
Share and Cite
Chou, S.-C.; Cheng, Y.-Y.; Chen, J.-K.; Huang, W.H.-S. Copolymer Engineering of Elastic–Rigid Elastomers for Wash-Durable Conductive Pastes in Wearable Textile Electronics. Polymers 2026, 18, 609. https://doi.org/10.3390/polym18050609
Chou S-C, Cheng Y-Y, Chen J-K, Huang WH-S. Copolymer Engineering of Elastic–Rigid Elastomers for Wash-Durable Conductive Pastes in Wearable Textile Electronics. Polymers. 2026; 18(5):609. https://doi.org/10.3390/polym18050609
Chicago/Turabian StyleChou, Shang-Chih, Yao-Yi Cheng, Jem-Kun Chen, and Wilson Hou-Sheng Huang. 2026. "Copolymer Engineering of Elastic–Rigid Elastomers for Wash-Durable Conductive Pastes in Wearable Textile Electronics" Polymers 18, no. 5: 609. https://doi.org/10.3390/polym18050609
APA StyleChou, S.-C., Cheng, Y.-Y., Chen, J.-K., & Huang, W. H.-S. (2026). Copolymer Engineering of Elastic–Rigid Elastomers for Wash-Durable Conductive Pastes in Wearable Textile Electronics. Polymers, 18(5), 609. https://doi.org/10.3390/polym18050609

