Characterization of Electron Beam-Induced Polymerization of Isodecyl Methacrylate, Benzyl Methacrylate, and Their Equimolar Mixture Based on Monomer Properties
Abstract
1. Introduction
2. Materials and Methods
2.1. Synthesis of Individual Polymers
2.2. Synthesis of Copolymer
2.3. Characterization
3. Results and Discussion
3.1. Analysis of the Reactivity of Monomers and Their Mixtures
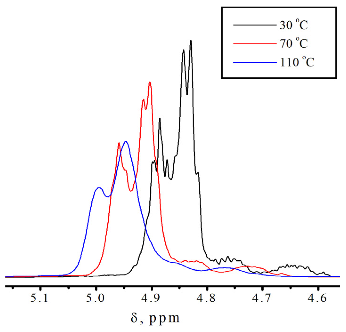
3.2. No-D NMR Studies of Methacrylic Acid Esters
3.3. Studies of Physical Parameters of Monomers and Their Mixtures
4. Conclusions
Supplementary Materials
Author Contributions
Funding
Institutional Review Board Statement
Data Availability Statement
Conflicts of Interest
Abbreviations
| THF | Tetrahydrofuran |
| INP SB RAS | Budker Institute of Nuclear Physics Siberian Branch of the Russian Academy of Sciences |
| NMR | Nuclear Magnetic Resonance |
| GPC | Gel permeation chromatography |
References
- Jiang, Y.-J.; Jeng, J.-H.; Wu, P.-H.; Chien, H.-W. A Rapidly and highly self-healing poly (sulfobetaine methacrylate) hydrogel with stretching properties, adhesive properties, and biocompatibility. Macromol. Biosci. 2023, 23, 2200368. [Google Scholar] [CrossRef]
- Deng, G.; Li, F.; Yu, H.; Liu, F.; Liu, C.; Sun, W.; Jiang, H.; Chen, Y. Dynamic hydrogels with an environmental adaptive self-healing ability and dual responsive sol-gel transitions. ACS Macro Lett. 2012, 1, 275–279. [Google Scholar] [CrossRef]
- Phadke, A.; Zhang, C.; Arman, B.; Hsu, C.-C.; Mashelkar, R.A.; Lele, A.K.; Tauber, M.J.; Arya, G.; Varghese, S. Rapid self-healing hydrogels. Proc. Natl. Acad. Sci. USA 2012, 109, 4383–4388. [Google Scholar] [CrossRef] [PubMed]
- Smart Materials for Drug Delivery: Complete Set; Concheiro, A., Alvarez-Lorenzo, C., Eds.; Royal Society of Chemistry: Cambridge, UK, 2013; Volume 1, pp. 6–9. [Google Scholar]
- Patel, M.P.; Braden, M.; Downes, S. Heterocyclic methacrylate-based drug release polymer system. J. Mater. Sci. Mater. Med. 1994, 5, 338–339. [Google Scholar] [CrossRef]
- Patel, M.P.; Braden, M. Heterocyclic methacrylates for clinical applications: I. Mechanical properties. Biomaterials 1991, 12, 645–648. [Google Scholar] [CrossRef] [PubMed]
- Brauer, G.M.; Lee, C.H. Oligomers with pendant isocyanate groups as tissue adhesives. I. Synthesis and characterization. J. Biomed. Mater. Res. 1989, 23, 295–309. [Google Scholar] [CrossRef]
- Prolongo, M.G.; Arribas, C.; Salom, C.; Masegosa, R.M. Dynamic Mechanical Properties and Morphology of Poly(benzyl methacrylate)/Epoxy Thermoset Blends. Polym. Sci. Eng. 2010, 50, 1820–1830. [Google Scholar] [CrossRef]
- Sirajuddin, N.A.; Md Jamil, M.S.; Mat Lazim, M.A.S. Effect of cross-link density and the healing efficiency of self-healing poly(2-hydroxyethyl methacrylate) hydrogel. e-Polymers 2014, 14, 289–294. [Google Scholar] [CrossRef]
- Scarpaci, A.; Cabanetos, C.; Blart, E.; Pellegrin, Y.; Montembault, V.; Fontaine, L.; Rodriguez, V.; Odobel, F. Scope and limitation of the copper free thermal Huisgen cross-linking reaction to stabilize the chromophores orientation in electro-optic polymers. Polym. Chem. 2011, 2, 157–167. [Google Scholar] [CrossRef]
- Sacco, F.D.; Pucci, A.; Raffa, P. Versatile Multi-Functional Block Copolymers Made by Atom Transfer Radical Polymerization and Post-Synthetic Modification: Switching from Volatile Organic Compound Sensors to Polymeric Surfactants for Water Rheology Control via Hydrolysis. Nanomaterials 2019, 9, 458. [Google Scholar] [CrossRef]
- Bharathwaj, R.; Natarajan, U.; Dhamodharan, R. Synthesis of poly (benzyl methacrylate)/Mg-phyllosilicate nanocomposites by surface-initiated ambient temperature ATRP. Appl. Clay Sci. 2010, 48, 300–306. [Google Scholar] [CrossRef]
- Liu, X.; Dai, X.; Boyko, W.; Fleischer, A.S.; Feng, G. Surfactant-mediated synthesis of monodisperse Poly(benzyl methacrylate)-based copolymer microspheres. Colloids Surf. A. 2022, 633, 127870. [Google Scholar] [CrossRef]
- Henri, L. Thermohygroelastic Properties of Polymethylmethacrylate; Technical Note PR-TN 2007/00440; Koninklijke Philips Electronics, N.V.: Eindhoven, The Netherlands, 2007; pp. 11–13. [Google Scholar]
- Laius, L.A.; Kuvshinskii, E.V. Effect of molecular weight on strength and deformation characteristics of oriented amorphous polymers. Mekh. Polim. 1967, 3, 579–585. [Google Scholar] [CrossRef]
- Lachinov, M.B.; Korolev, B.A.; Dreval, V.Y.; Cherep, Y.I.; Zubov, V.P.; Vinogradov, G.V.; Kabanov, V.A. Relation of auto-acceleration in radical polymerization of methyl methacrylate in bulk with structural changes of the polymerizing system. Polym. Sci. U.S.S.R. 1982, 24, 2547–2555. [Google Scholar] [CrossRef]
- Chekal, B.P. Understanding the Roles of Chemically-Controlled and Diffusion-Limited Processes in Determining the Severity of Autoacceleration Behavior in Free Radical Polymerization. Ph.D. Thesis, Northwestern University, Evanston, IL, USA, 2002. [Google Scholar]
- Gayot, S.F.; Bailly, C.; Pardoen, T.; Gérard, P.; Loock, F.V. A computationally efficient thermomechanical model for the in-situ polymerization of a methyl methacrylate-based resin in a thick glass fiber laminate. In Proceedings of the American Society for Composites 2020–35th Technical Conference, Virtual, 14–17 September 2020. [Google Scholar] [CrossRef]
- Jašo, V.; Stoiljković, D.; Radičević, R.; Bera, O. Kinetic modeling of bulk free-radical polymerization of methyl methacrylate. Polym. J. 2013, 45, 631–636. [Google Scholar] [CrossRef]
- Ma, Y.; Zheng, X.; Shi, F.; Li, Y.; Sun, S. Photoinitiated grafting of glycidyl methacrylate and methacrylic acid on ground tire rubber. J. Appl. Polym. Sci. 2003, 88, 1622–1630. [Google Scholar] [CrossRef]
- Iborra, A.; Salvatierra, L.; Giussi, J.M.; Azzaroni, O. Synthesis of lauryl methacrylate and poly(ethylene glycol) methyl ether methacrylate copolymers with tunable microstructure and emulsifying properties. Eur. Polym. J. 2019, 116, 117–125. [Google Scholar] [CrossRef]
- Xue, L.; Agarwal, U.S.; Lemstra, P.J. High Molecular Weight PMMA by ATRP. Macromolecules 2002, 35, 8650–8652. [Google Scholar] [CrossRef]
- Cunningham, V.J.; Alswieleh, A.M.; Thompson, K.L.; Williams, M.; Leggett, G.J.; Armes, S.P. Poly(glycerol monomethacrylate)–Poly (benzyl methacrylate) Diblock Copolymer Nanoparticles via RAFT Emulsion Polymerization: Synthesis, Characterization, and Interfacial Activity. Macromolecules 2014, 47, 5613–5623. [Google Scholar] [CrossRef]
- Yuan, M.; Xu, L.; Cui, X.; Lv, J.; Zhang, P.; Tang, H. Facile Synthesis of Ultrahigh Molecular Weight Poly(Methyl Methacrylate) by Organic Halides in the Presence of Palladium Nanoparticles. Polymers 2020, 12, 2747. [Google Scholar] [CrossRef]
- Obertia, T.G.; Schiavoni, M.M.; Cortizo, M.S. Structure and properties of poly(benzyl acrylate) synthesized under microwave energy. Radiat. Phys. Chem. 2008, 77, 597–604. [Google Scholar] [CrossRef]
- Sasuga, T.; Takehisa, M. Radiation-induced polymerization of methyl methacrylate at high pressure. J. Macromol. Sci.-Chem. 1978, A12, 1307–1319. [Google Scholar] [CrossRef]
- Yamamoto, T.; Ootsuka, N.; Japan Atomic Energy Research Inst., Tokyo. Radiation-Induced Polymerization of Methyl Methacrylate Using 85Kr Source. Report Number JAERI-M-7648. 1978. Available online: https://inis.iaea.org/records/38b0h-97q33 (accessed on 26 January 2026).
- Hakimi, N.M.F.; Mohamad, S.F.; Al Edrus, S.S.O.; Antov, P.; Fatriasari, W.; Abdan, K.; Lee, S.H. Radiation--induced admicellar polymerization of methacrylate acid for pH responsive cellulose nanofibrils. Cellulose 2024, 31, 279–292. [Google Scholar] [CrossRef]
- Baccaro, S.; Casieri, C.; Cemmi, A.; Chiarini, M.; D’Aiuto, V.; Tortora, M. Characterization of γ-radiation induced polymerization in ethyl methacrylate and methyl acrylate monomers solutions. Radiat. Phys. Chem. 2017, 141, 131–137. [Google Scholar] [CrossRef]
- Antonov, I.; Tolochko, B.; Varand, A.; Mikhailenko, M.; Eltsov, I.; Bryazgin, A.; Smirnov, E. Study of the synthesis of a copolymer of isodecyl- and benzylmethacrylates after radiation initiation. MATEC Web Conf. 2021, 340, 01032. [Google Scholar] [CrossRef]
- Antonov, I.; Tolochko, B.; Varand, A.; Mikhailenko, M.; Eltsov, I.; Bryazgin, A.; Smirnov, E. A maximum density electrical insulating composite based on radiation-polymerized copolymer of isodecyl methacrylate and benzyl methacrylate with W. MATEC Web Conf. 2021, 340, 01033. [Google Scholar] [CrossRef]
- Hayashi, K.; Takezaki, J.; Okada, T.; Sakurada, I. Radiation-induced polymerization of methyl methacrylate and alkyl acrylates at high dose rate. J. Appl. Polym. Sci. 1988, 36, 295–308. [Google Scholar] [CrossRef]
- Ryabinin, V.; Yablonsky, P.; Sukhov, V.; Mogilevich, M.; Ilyin, A. The role of intermolecular association during radical initiation in solutions. Polym. Sci. Ser. B 1997, 39, 1869–1872. [Google Scholar]
- Hoye, T.R.; Eklov, B.M.; Ryba, T.D.; Voloshin, M.; Yao, L.J. No-D NMR (No-Deuterium Proton NMR) Spectroscopy: A Simple Yet Powerful Method for Analyzing Reaction and Reagent Solutions. Org. Lett. 2004, 6, 953–956. [Google Scholar] [CrossRef]
- Creary, X. No-Deuterium Proton (No-D) NMR as a Convenient Method for Analysis of Organic Solvents. J. Org. Chem. 2023, 88, 11545–11551. [Google Scholar] [CrossRef]
- Mavroudakis, E.; Cuccato, D.; Moscatelli, D. On the Use of Quantum Chemistry for the Determination of Propagation, Copolymerization, and Secondary Reaction Kinetics in Free Radical Polymerization. Polymers 2015, 7, 1789–1819. [Google Scholar] [CrossRef]
- Ghassemi, M.; Shahidian, A. (Eds.) Chapter 4–Fluid Mechanics. Nano and Bio Heat Transfer and Fluid Flow; Academic Press: Cambridge, MA, USA, 2017; pp. 57–87. [Google Scholar] [CrossRef]
- Cross, M.M. Rheology of non-Newtonian fluids: A new flow equation for pseudoplastic systems. J. Colloid Sci. 1965, 20, 417–437. [Google Scholar] [CrossRef]
- Alegria, A.; Colmenero, J. Dielectric relaxation of polymers: Segmental dynamics under structural constraints. Soft Matter 2016, 12, 7709–7725. [Google Scholar] [CrossRef]



















| Atom number | 1 | 2 | 3 | 4–10 | 11, 11` |
| Chemical shift, ppm | 6.78; 6.21 | 2.69 | 5.04–4.60 | 2.55–1.83 | 1.68 |
| Atom number | 1 | 2 | 3 | 4, 4`, 5, 5`, 6 |
| Chemical shift, ppm | 6.60–5.70 | 2.30 | 5.55 | 7.77–7.52 |
| Sample | Pre-Exponential Factor | Ea, kJ/mol |
|---|---|---|
| Isodecyl methacrylate | 8.7 ± 0.7 | 16.4 ± 0.2 |
| Benzyl methacrylate | 9.7 ± 0.3 | 13.3 ± 0.1 |
| Equimolar mixture of monomers | 9.8 ± 0.2 | 12.8 ± 0.06 |
Disclaimer/Publisher’s Note: The statements, opinions and data contained in all publications are solely those of the individual author(s) and contributor(s) and not of MDPI and/or the editor(s). MDPI and/or the editor(s) disclaim responsibility for any injury to people or property resulting from any ideas, methods, instructions or products referred to in the content. |
© 2026 by the authors. Licensee MDPI, Basel, Switzerland. This article is an open access article distributed under the terms and conditions of the Creative Commons Attribution (CC BY) license.
Share and Cite
Antonov, I.; Mikhailenko, M.; Shakhtshneider, T.; Ulihin, A.; Zelikman, M.; Bryazgin, A.; Eltsov, I. Characterization of Electron Beam-Induced Polymerization of Isodecyl Methacrylate, Benzyl Methacrylate, and Their Equimolar Mixture Based on Monomer Properties. Polymers 2026, 18, 368. https://doi.org/10.3390/polym18030368
Antonov I, Mikhailenko M, Shakhtshneider T, Ulihin A, Zelikman M, Bryazgin A, Eltsov I. Characterization of Electron Beam-Induced Polymerization of Isodecyl Methacrylate, Benzyl Methacrylate, and Their Equimolar Mixture Based on Monomer Properties. Polymers. 2026; 18(3):368. https://doi.org/10.3390/polym18030368
Chicago/Turabian StyleAntonov, Ilia, Mikhail Mikhailenko, Tatyana Shakhtshneider, Artem Ulihin, Maxim Zelikman, Alexandr Bryazgin, and Ilia Eltsov. 2026. "Characterization of Electron Beam-Induced Polymerization of Isodecyl Methacrylate, Benzyl Methacrylate, and Their Equimolar Mixture Based on Monomer Properties" Polymers 18, no. 3: 368. https://doi.org/10.3390/polym18030368
APA StyleAntonov, I., Mikhailenko, M., Shakhtshneider, T., Ulihin, A., Zelikman, M., Bryazgin, A., & Eltsov, I. (2026). Characterization of Electron Beam-Induced Polymerization of Isodecyl Methacrylate, Benzyl Methacrylate, and Their Equimolar Mixture Based on Monomer Properties. Polymers, 18(3), 368. https://doi.org/10.3390/polym18030368

