Study on the Mechanical Properties of Carbon Fabric/Polyetherketoneketone Composites Under Different Environmental Conditions
Abstract
1. Introduction
2. Materials and Methods
2.1. Materials
2.2. Preparation of Specimen
2.3. Hydrothermal Treatment
2.4. Mechanical Characterization
2.5. Morphological Analysis
3. Results
3.1. Moisture Kinetics
3.2. Bending Properties
3.3. In-Plane Shear Properties
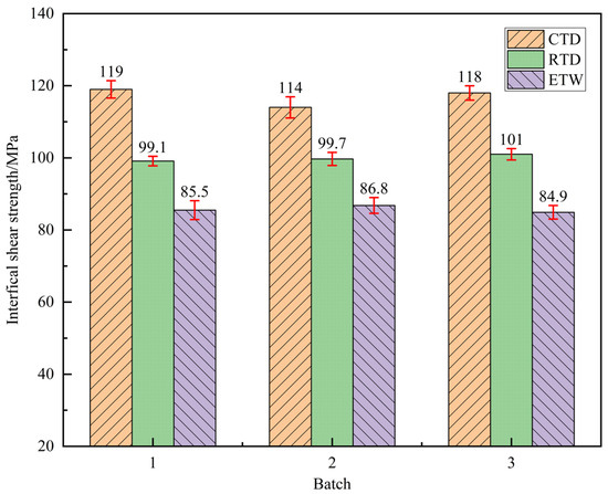
3.4. Interlaminar Shear Properties
4. Conclusions
Author Contributions
Funding
Institutional Review Board Statement
Data Availability Statement
Conflicts of Interest
References
- Queiroz, d.H.F.M.; Pastor, V.; Mendonça, d.A.C.; Neto, J.S.S.; Cavalcanti, D.K.K.; Banea, M.D. Effect of hybridization and composite architecture symmetry in the bonded joint performance of jute/carbon fibre-reinforced composites. Int. J. Adhes. Adhes. 2024, 133, 103745. [Google Scholar] [CrossRef]
- Zhao, H.; Gao, Z.; Zhai, D.; Zhao, G. Enhanced mechanical property of continuous carbon fiber/polyamide thermoplastic composites by combinational treatments of carbon fiber fabric. Compos. Commun. 2023, 38, 101508. [Google Scholar] [CrossRef]
- Quan, S.; Zhang, Y.; Lin, P. Fatigue damage quantitative evaluation of carbon f iber composites at different stress ratios based on nonlinear ultrasonic. Results Phys. 2023, 51, 106695. [Google Scholar] [CrossRef]
- Liu, Y.; Lu, F.; Xu, N.; Wang, B.; Yang, L.; Huang, Y.; Hu, Z. Mechanically robust, hydrothermal aging resistant, imine-containing epoxy thermoset for recyclable carbon fiber reinforced composites. Mater. Des. 2022, 224, 111357. [Google Scholar] [CrossRef]
- Xu, X.; Peng, G.; Zhang, B.; Shi, F.; Gao, L.; Gao, J. Material performance, manufacturing methods, and engineering applications in aviation of carbon fiber reinforced polymers: A comprehensive review. Thin-Walled Struct. 2025, 209, 112899. [Google Scholar] [CrossRef]
- Tijs, B.H.A.H.; Turon, A.; Bisagni, C. Characterization and analysis of conduction welded thermoplastic composite joints considering the influence of manufacturing. Compos. Struct. 2024, 348, 118505. [Google Scholar] [CrossRef]
- Martín, I.; Fernández, K.; Cuenca, J.; Sánchez, C.; Anaya, S.; Élices, R. Design and manufacture of a reinforced fuselage structure through automatic laying-up and in-situ consolidation with co-consolidation of skin and stringers using thermoplastic composite materials. Heliyon 2023, 9, e12728. [Google Scholar] [CrossRef]
- Qiao, Y.; Fring, L.D.; Pallaka, M.R.; Simmons, K.L. A review of the fabrication methods and mechanical behavior of continuous thermoplastic polymer fiber-thermoplastic polymer matrix composites. Polym. Compos. 2023, 44, 694–733. [Google Scholar] [CrossRef]
- Yuan, C.; Ma, Z.; Pu, Y.; Liu, L.; Huang, Y. Soluble semi-aliphatic polyimide sizing in CF/PEI composites for improving mechanical performance and hydrothermal aging resistance. Compos. Commun. 2021, 28, 100982. [Google Scholar] [CrossRef]
- Dabees, S.; Wickramasingha, Y.A.; Akhavan, B.; Hayne, D.J.; Dharmasiri, B.; Henderson, L.C. Tribological behaviour of surface modified carbon-fibre-reinforced polyphenylene sulphide under dry condition. Tribol. Int. 2024, 194, 109528. [Google Scholar] [CrossRef]
- Stoeffler, K.; Andjelic, S.; Legros, N.; Roberge, J.; Schougaard, S.B. Polyphenylene sulfide (PPS) composites reinforced with recycled carbon fiber. Compos. Sci. Technol. 2013, 84, 65–71. [Google Scholar] [CrossRef]
- Matus-Aguirre, M.; Cosson, B.; Garnier, C.; Schmidt, F.; Akué-Asséko, A.C.; Chabert, F. Characterization and modeling of laser transmission welded polyetherketoneketone (PEKK) joints: Influence of process parameters and annealing on weld properties. J. Adv. Join. Process. 2024, 10, 100252. [Google Scholar] [CrossRef]
- Zhong, S.; Dong, Z.; Xiao, Y.; Li, Y.; Pei, L.; Wang, S.; Wang, G. The impact of crystalline PEEK sizing agent on the interfacial crystallization behavior and interfacial properties of carbon fiber reinforced PEEK composites. Compos. Part B 2025, 297, 112307. [Google Scholar] [CrossRef]
- Ge, J.; Luo, M.; Zhang, D.; Catalanotti, G.; Falzon, B.G.; McClelland, J.; Higgins, C.; Jin, Y.; Sun, D. Temperature field evolution and thermal-mechanical interaction induced damage in drilling of thermoplastic CF/PEKK—A comparative study with thermoset CF/epoxy. J. Manuf. Process. 2023, 88, 167–183. [Google Scholar] [CrossRef]
- Yildirima, C.; Ulusb, H.; Beylergile, B.; Al-Nadhari, A.; Topal, S.; Yildiz, M. Tailoring adherend surfaces for enhanced bonding in CF/PEKK composites: Comparative analysis of atmospheric plasma activation and conventional treatments. Compos. Part B 2024, 180, 108101. [Google Scholar] [CrossRef]
- Alamin, A.B.; Wu, Y.L.; Zhu, J.; Wang, K.B.; Zheng, H.Y. Investigation into forming yttria-stabilized zirconia/PEKK composite with superior mechanical and tribological properties. Mater. Today Commun. 2025, 42, 111272. [Google Scholar] [CrossRef]
- Zhao, Y.; Li, Q.; Zhou, K.; Jing, B.; Zhu, K.; Shi, J.; Li, C. Effects of hygrothermal condition on water diffusion and flexural properties of carbon–glass hybrid fiber-reinforced epoxy polymer winding pipes. Polymers 2024, 16, 3433. [Google Scholar] [CrossRef]
- Li, S.; Chen, Z.; Wang, Y.; Huang, Y.; Yu, T. Quasi-static compression and hygrothermal stability of BMI/CE co-cured composite lattice cylindrical shell. Compos. Struct. 2021, 257, 113130. [Google Scholar] [CrossRef]
- Li, X.; Kumar, S.; Hwang, D.-W.; Shin, D.-H.; Kim, Y.-H. Pin-loaded tensile behavior and failure analysis of CF/PEKK composites under extreme temperature. Compos. Part A 2023, 175, 107823. [Google Scholar] [CrossRef]
- Yildirim, C.; Ulus, H.; Sas, H.S.; Topal, S.; Yildiz, M. Assessing the fracture and dynamic mechanical performance of CF/PEKK joints bonded with epoxy-based adhesive film for aerospace applications: Impact of thermal and cycling hygrothermal conditions. Compos. Part A 2025, 190, 108659. [Google Scholar] [CrossRef]
- Pedoto, G.; Grandidier, J.-C.; Gigliotti, M.; Vinet, A. Assessment and simulation of the thermomechanical tensile and creep behavior of C/PEKK composites for aircraft applications above the glass transition temperature. Compos. Struct. 2023, 318, 117069. [Google Scholar] [CrossRef]
- Yun, Z.X.; Zhu, S.W.; Chen, L.M.; Pan, X.; Deng, J.Q.; Fan, H.Y.; Li, W.G. Mode I delamination propagation of thermoplastic composite laminate at different temperatures: Experimental and numerical simulation. Compos. Struct. 2025, 363, 119096. [Google Scholar] [CrossRef]
- Dong, S.C.; Zhou, P.; Ning, Z.; Wu, X.; Li, C.G.; Xian, G.J. Durability of carbon- and glass-fiber reinforced thermoplastic polymer composites: A literature review. J. Build. Eng. 2024, 98, 111055. [Google Scholar] [CrossRef]
- Micelli, F.; Nanni, A. Durability of FRP rods for concrete structures. Constr. Build. Mater. 2004, 18, 491–503. [Google Scholar] [CrossRef]
- Xu, X.; Zhang, B.; Shi, F.; Liu, K.; Peng, G.; Gao, L.; Gao, J.; Du, Y. Study on the Influence of hygrothermal aging on the mechanical properties of carbon fabric/polyetheretherketone Composites. Polymers 2025, 17, 724. [Google Scholar] [CrossRef]
- HB 7618; Data Presentation Guidelines on Mechanical Properties for Polymer Matrix Composite Materials. The Ministry of Industry and Information Technology of China: Beijing, China, 2013.
- ASTM D5229; Standard Test Method for Moisture Absorption Properties and Equilibrium Conditioning of Polymer Matrix Composite Materials. ASTM: West Conshohocken, PA, USA, 2020.
- ASTM D7264; Standard Test Method for Flexural Properties of Polymer Matrix Composite Materials. ASTM: West Conshohocken, PA, USA, 2021.
- ASTM D2344; Standard Test Method for Short-Beam Strength of Polymer Matrix Composite Materials and Their Laminates. ASTM: West Conshohocken, PA, USA, 2022.
- ASTM D3518; Standard Test Method for in-Plane Shear Response of Polymer Matrix Composite Materials by Tensile Test of a ±45° Laminate. ASTM: West Conshohocken, PA, USA, 2021.
- Scida, D.; Assarar, M.; Poilâne, C.; Ayad, R. Influence of hygrothermal ageing on the damage mechanisms of flax-fibre reinforced epoxy composite. Compos. Part B Eng. 2013, 48, 51–58. [Google Scholar] [CrossRef]
- Amedewovo, L.; Levy, A.; Plessixa, B.d.P.d.; Orgéas, L.; Corre, S.L. Online characterization of moisture transport in a high-performance carbon fiber-reinforced thermoplastic composite at high temperatures: Identification of diffusion kinetics. Compos. Part B Eng. 2023, 256, 110629. [Google Scholar] [CrossRef]
- Kitamoto, K.; Minakuchi, S.; Yokozeki, T. Modeling nonlinear, hysteretic, and irreversible moisture-induced deformation of CFRP based on two-phase diffusion theory. Compos. Part A 2025, 192, 108765. [Google Scholar] [CrossRef]
- Wu, R.; Li, Y.; Yu, T. Comparative study on the hygrothermal durability of different fiber reinforced composites. Acta Mater. 2022, 39, 4406–4419. [Google Scholar] [CrossRef]
- He, F. Carbon Fibre and Graphite Fibre; Chemical Industry Press: Beijing, China, 2010; pp. 364–368. [Google Scholar]
- Mim, F.A. Effect of moisture absorption on the mechanical behavior of banana-bamboo-glass fiber reinforced hybrid composites in NaCl solution. Hybrid Adv. 2023, 10, 100451. [Google Scholar] [CrossRef]
- Szpoganicz, E.; Hübner, F.; Beier, U.; Geistbeck, M.; Ruckdäschel, H. The effect of prepreg ply thickness in carbon fiber reinforced composites on intralaminar toughness and shear strength in cryogenic environments for liquid hydrogen storage tanks. Compos. Part B Eng. 2025, 292, 112077. [Google Scholar] [CrossRef]
- Bandaru, A.K.; Pothnis, J.R.; Portela, A.; Gujjala, R.; Ma, H.; O’Higgins, R.M. Flexural and interlaminar shear response of novel methylmethacrylate composites reinforced with high-performance fibres. Polym. Test. 2024, 140, 108578. [Google Scholar] [CrossRef]
- Dhakal, H.N.; Dashatan, S.H. 4.02 Influence of fiber/matrix interface properties on the performance of fiber reinforcedpolymer composites. Compr. Mech. Mater. 2024, 4, 22–30. [Google Scholar] [CrossRef]
- Vieille, B.; Albouy, W.; Taleb, L. Investigations on stamping of C/PEEK laminates: Influence on meso-structure and macroscopic mechanical properties under severe environmental conditions. Compos. Part B Eng. 2014, 63, 101–110. [Google Scholar] [CrossRef]
- Zhang, Y.; Wang, J.; Wei, J.; Liu, M.; Li, X.; Ding, A. Long-term mechanical properties of carbon fiber reinforced vinyl resin composites in hygrothermal environment. Acta Mater. 2023, 40, 1406–1416. [Google Scholar]
- Zhuang, X.J.; Ma, J.S.; Dan, Y.; Jiang, L.; Huang, Y. Hydrothermal aging of carbon fiber reinforced epoxy composites with different interface structures. Polym. Degrad. Stabil. 2023, 212, 110352. [Google Scholar] [CrossRef]
- Chiang, C.L.; Chou, H.Y.; Shen, M.Y. Effect of environmental aging on mechanical properties of graphene nanoplatelet/nanocarbon aerogel hybrid-reinforced epoxy/ carbon fiber composite laminates. Compos. Part A Appl. Sci. Manuf. 2020, 130, 105718. [Google Scholar] [CrossRef]











| Type | Lay-Up Design | Length/mm | Width/mm | Thickness/mm |
|---|---|---|---|---|
| Weft bending specimen | [0f]8 | 150 | 13 | 2.4 |
| Warp bending specimen | [90f]8 | 150 | 13 | 2.4 |
| Interfacial shear specimen | [0f]8 | 30 | 6 | 3 |
| In-plane shear test | [±45]2s | 250 | 25 | 2.4 |
| Moisture absorption specimen | [0f]8 | 50 | 50 | 2.4 |
| Material | n | k/h−n | Mm/wt% | D/(10−3 mm2/h−1) |
|---|---|---|---|---|
| CFF/PEKK composite | 0.48 | 0.063 | 0.27 | 2.01 |
| Sate | Fiber Direction | First Batch | Second Batch | Third Batch | Average |
|---|---|---|---|---|---|
| CTD | Warp | 109.13 | 107.11 | 106.90 | 107.71 |
| Weft | 106.37 | 107.09 | 108.31 | 107.26 | |
| ETW | Warp | 89.61 | 90.68 | 89.75 | 90.01 |
| Weft | 90.64 | 89.23 | 88.04 | 89.30 |
| Sate | Fiber Direction | First Batch | Second Batch | Third Batch | Average |
|---|---|---|---|---|---|
| CTD | Warp | 102.75 | 101.56 | 103.83 | 102.71 |
| Weft | 101.57 | 103.21 | 103.41 | 102.38 | |
| ETW | Warp | 97.68 | 96.89 | 98.40 | 97.66 |
| Weft | 97.58 | 97.52 | 96.89 | 97.33 |
| Property | State | First Batch | Second Batch | Third Batch | Average |
|---|---|---|---|---|---|
| Strength | RTD | 112.67 | 110.39 | 111.49 | 111.52 |
| ETW | 88.67 | 89.61 | 91.89 | 90.06 | |
| Modulus | RTD | 106.36 | 107.34 | 106.97 | 106.89 |
| ETW | 94.22 | 95.23 | 93.71 | 94.39 |
| State | First Batch | Second Batch | Third Batch | Average |
|---|---|---|---|---|
| RTD | 120.08 | 114.34 | 116.83 | 117.08 |
| ETW | 86.28 | 87.06 | 84.06 | 85.8 |
Disclaimer/Publisher’s Note: The statements, opinions and data contained in all publications are solely those of the individual author(s) and contributor(s) and not of MDPI and/or the editor(s). MDPI and/or the editor(s) disclaim responsibility for any injury to people or property resulting from any ideas, methods, instructions or products referred to in the content. |
© 2025 by the authors. Licensee MDPI, Basel, Switzerland. This article is an open access article distributed under the terms and conditions of the Creative Commons Attribution (CC BY) license (https://creativecommons.org/licenses/by/4.0/).
Share and Cite
Xu, X.; Zhang, B.; Shi, F.; Liu, K.; Peng, G.; Gao, J. Study on the Mechanical Properties of Carbon Fabric/Polyetherketoneketone Composites Under Different Environmental Conditions. Polymers 2025, 17, 1142. https://doi.org/10.3390/polym17091142
Xu X, Zhang B, Shi F, Liu K, Peng G, Gao J. Study on the Mechanical Properties of Carbon Fabric/Polyetherketoneketone Composites Under Different Environmental Conditions. Polymers. 2025; 17(9):1142. https://doi.org/10.3390/polym17091142
Chicago/Turabian StyleXu, Xiangyu, Baoyan Zhang, Fenghui Shi, Kai Liu, Gongqiu Peng, and Junpeng Gao. 2025. "Study on the Mechanical Properties of Carbon Fabric/Polyetherketoneketone Composites Under Different Environmental Conditions" Polymers 17, no. 9: 1142. https://doi.org/10.3390/polym17091142
APA StyleXu, X., Zhang, B., Shi, F., Liu, K., Peng, G., & Gao, J. (2025). Study on the Mechanical Properties of Carbon Fabric/Polyetherketoneketone Composites Under Different Environmental Conditions. Polymers, 17(9), 1142. https://doi.org/10.3390/polym17091142

