Impact Value Improvement of Polycarbonate by Addition of Layered Carbon Fiber Reinforcement and Effect of Electron Beam Treatment
Abstract
1. Introduction
2. Materials and Methods
2.1. Composite Fabrication
2.2. Condition of HLEBI
2.3. Charpy Impact Test
2.4. Accumulative Probability
2.5. X-Ray Photoelectron Spectroscopy of Untreated and HLEBI-Treated CF
2.6. Calculation of Statistically Lowest Impact Value for Safety Design
2.7. ANOVA Analysis for Significance of Differences Between [PC]4[CF]3 Data Sets
3. Results
3.1. Effect of CF Layer Addition on Impact Values of Untreated [PC]4[CF]3 Composite Compared to Untreated PC Resin
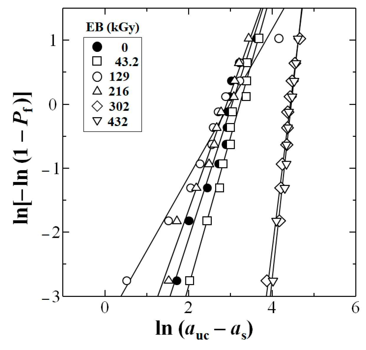
3.2. Effects of HLEBI Level on Impact Values of [PC]4[CF]3
4. Discussion
4.1. Estimation of Lowest Statistical Impact Value, as at Pf = 0 for Safety
4.2. ANOVA Analysis
4.3. Charpy Impact Value vs. HLEBI Dose as a Function of Accumulative Probability and Lowest Statistical Value for Safety
4.4. HLEBI-Induced Adhesion Enhancement at PC/CF Interface: ESR and XPS
4.5. Mechanism of Nano-Strengthening by HLEBI-Induced Adhesion Enhancement at PC/CF Interface
4.6. Difference in Action of HLEBI-Generated Strong Bonds with Test Type
4.7. Benefits, Potential Practical Applications, and Future Research
5. Conclusions
Author Contributions
Funding
Institutional Review Board Statement
Data Availability Statement
Acknowledgments
Conflicts of Interest
References
- Plastic Pollution is Growing Relentlessly as Waste Management and Recycling Fall Short, Says OECD. Organisation for Economic Co-operation and Development Press Release 2/22/2022. Available online: https://www.oecd.org/en/about/news/press-releases/2022/02/plastic-pollution-is-growing-relentlessly-as-waste-management-and-recycling-fall-short.html (accessed on 22 December 2024).
- Nomura, R.; Kanda, M.; Faudree, M.C.; Jimbo, I.; Nishi, Y. Improving impact value of interlayered glass fiber chopped strand mat reinforced thermoplastic polypropylene externally irradiated by homogeneous low potential electron beam. Mater. Trans. 2014, 57, 1915–1921. [Google Scholar] [CrossRef]
- Nomura, R.; Kanda, M.; Faudree, M.C.; Jimbo, I.; Nishi, Y. Internal activation of thermoplastic polypropylene GFRTP composite by homogeneous low energy electron beam irradiation (HLEBI) of the interlayered glass fiber chopped strand mats (GF-CSM) prior to assembly. Mater. Trans. 2016, 57, 417–422. [Google Scholar] [CrossRef]
- Polycarbonate (PC): Understand the Key Benefits and Applications. Available online: https://www.protolabs.com/materials/polycarbonate/ (accessed on 22 December 2024).
- James, A.; Lord, M. Macmillan’s Chemical and Physical Data, London and Basingstoke; The Macmillan Press, Ltd.: London, UK, 1992; pp. 398–399, 484–485. [Google Scholar]
- Gordon, A.; Ford, R. The Chemist’s Companion: A Handbook of Practical Data, Techniques, and References; Wiley Interscience Publication: New York, NY, USA, 1972; pp. 112–113. [Google Scholar]
- Tuteja, B.; Khan, F.; Sundararajan, P. Re-Plasticization by Confinement During Annealing Induced Phase Separation in Polycarbonate/Phthalate Plasticized Films. Macromol. Chem. Phys. 2005, 206, 354–363. [Google Scholar] [CrossRef]
- Ueda, H.; Okumura, W.; Uematsu, H.; Tanoue, S. Processing of Carbon Fiber Fabric Reinforced Polycarbonate–Formation Mechanism of Void. J. Fiber Sci. Technol. 2016, 72, 244–250. (In Japanese) [Google Scholar] [CrossRef][Green Version]
- Kitagawa, S.; Kimura, H.; Uchida, H.T.; Faudree, M.C.; Tonegawa, A.; Kaneko, S.; Salvia, M.; Nishi, Y. A new process of thermoplastic polypropylene reinforced by interlayered activated carbon fiber treated by electron beam irradiation under nitrogen gas atmosphere with oxygen prior to assembly and hot-press. Mater. Trans. 2019, 60, 587–592. [Google Scholar] [CrossRef]
- Dilsiz, N.; Wightman, J.P. Effect of acid-base properties of unsized and sized carbon fibers on fiber/epoxy matrix adhesion. Colloids. Surf. A 2000, 164, 325–336. [Google Scholar] [CrossRef]
- Allred, R.E.; Wesson, S.P.; Shin, E.E.; Inghram, L.; McCorkle, L.; Papadopoulos, D.; Wheeler, D.; Sutter, J.K. The influence of sizings on the durability of high-temperature polymer composites. High Perform. Polym. 2003, 15, 395–419. [Google Scholar] [CrossRef]
- Drzal, L.T.; Raghavendran, V.K. Adhesion of thermoplastic matrices to carbon fibers: Effect of polymer molecular weight and fiber surface chemistry. J. Thermoplast. Compos. Mater. 2003, 16, 21–30. [Google Scholar] [CrossRef]
- Kettle, A.P.; Beck, A.J.; O’Toole, L.; Jones, F.R.; Short, R.D. Plasma polymerisation for molecular engineering of carbon fibre surfaces for optimised composites. Compos. Sci. Technol. 1997, 57, 1023–1032. [Google Scholar] [CrossRef]
- Zhang, C.H.; Zhang, Z.Q.; Cao, H.L. Effects of epoxy/SiO2 hybrid sizing on the mechanical properties of carbon fiber composites. Solid State Phenom. 2007, 121–123, 1253–1256. [Google Scholar] [CrossRef]
- Tiwari, S.; Bijwe, J. Surface treatment of carbon fibers: A review. Procedia Tech. 2014, 14, 505–512. [Google Scholar] [CrossRef]
- Sharma, M.; Gao, S.; Mader, E.; Sharma, H.; Wei, L.-Y.; Bijwe, J. Carbon fiber surfaces and composite interphases. Compos. Sci. Technol. 2014, 102, 35–50. [Google Scholar] [CrossRef]
- Xu, Z.; Chen, L.; Huang, Y.; Li, J.; Wu, X.; Li, X.; Jio, Y. Wettability of carbon fibers modified by acrylic acid and interface properties of carbon fiber/epoxy. Eur. Polym. J. 2008, 44, 494–503. [Google Scholar] [CrossRef]
- Wu, Z.; Pittman, C.U., Jr.; Gardner, S.D. Nitric acid oxidation of carbon fibers and the effects of subsequent treatment in refluxing aqueous NaOH. Carbon 1995, 33, 597–605. [Google Scholar] [CrossRef]
- Cai, G.; Wada, M.; Ohsawa, I.; Kitaoka, S.; Takahashi, J. Interfacial adhesion of recycled carbon fibers to polypropylene resin: Effect of superheated steam on the surface chemical state of carbon fiber. Compos. A 2019, 120, 33–40. [Google Scholar] [CrossRef]
- Tiwari, S.; Sharma, M.; Panier, S.; Mutel, B.; Mitschang, P.; Bijwe, P. Influence of cold remote nitrogen oxygen plasma treatment on carbon fabric and its composites with specialty polymers. J. Mater. Sci. 2011, 46, 964–974. [Google Scholar] [CrossRef]
- Pittman, C.U.; Jiang, W.; He, G.R.; Gardner, S.D. Oxygen plasma and isobutylene plasma treatments of carbon fibers: Determination of surface functionality and effects on composite properties. Carbon 1998, 36, 25–37. [Google Scholar] [CrossRef]
- Sherwood, P.M.A. Surface analysis of carbon and carbon fibers for composites. J. Electron Spectrosc. Relat. Phenom. 1996, 81, 319–342. [Google Scholar] [CrossRef]
- Montes-Morán, M.A.; Martínez-Alonso, A.; Tascón, J.M.D.; Young, R.J. Effects of plasma oxidation on the surface and interfacial properties of ultra-high modulus carbon fibres. Compos. Part A 2001, 32, 361–371. [Google Scholar] [CrossRef]
- Hung, B.; Li, J.; Fan, Q.; Chen, Z.H. The enhancement of carbon fiber modified with electropolymer coating to the mechanical properties of epoxy resin composites. Compos. Part A 2008, 39, 1133–1140. [Google Scholar] [CrossRef]
- Bao, D.; Cheng, X. Evaluation of tribological performance of PTFE composite filled with rare earths treated carbon fibers under water-lubricated condition. J. Rare Earths 2006, 24, 564–568. [Google Scholar] [CrossRef]
- Zhang, X.R.; Zhao, P.; Pei, X.Q.; Wang, Q.H.; Jia, Q. Flexural strength and tribological properties of rare earth treated short carbon fiber/polyimide composites. Express Polym. Lett. 2007, 1, 667–672. [Google Scholar] [CrossRef]
- Clough, R.L. High-energy radiation and polymers: A review of commercial processes and emerging applications. Nucl. Instrum. Methods Phys. Res. Sect. B 2001, 185, 8–33. [Google Scholar]
- Xu, Z.; Huang, Y.; Zhang, C.; Liu, L.; Zhang, Y.; Wang, L. Effect of γ-ray irradiation grafting on the carbon fibers and interfacial adhesion of epoxy composites. Compos. Sci. Technol. 2007, 67, 3261–3270. [Google Scholar]
- Wan, Y.Z.; Wang, Y.L.; Huang, Y.; Luo, H.L.; Chen, G.C.; Yuan, C.D. Effect of surface treatment of carbon fibers with gamma-ray radiation on mechanical performance of their composites. J. Mater. Sci. 2005, 40, 3355–3359. [Google Scholar] [CrossRef]
- Li, J.; Huang, Y.; Xu, Z.; Wang, Z. High-energy radiation technique treat on the surface of carbon fiber. Mater. Chem. Phys. 2005, 94, 315–321. [Google Scholar]
- Guo, J.; Lu, C.; An, F.; He, S. Preparation and characterization of carbon nanotubes/carbon fiber hybrid material by ultrasonically assisted electrophoretic deposition. Mater. Lett. 2012, 66, 382–384. [Google Scholar] [CrossRef]
- Lee, S.B.; Choi, O.; Lee, W.; Yi, J.W.; Kim, B.S.; Byun, J.H.; Yoon, M.K.; Fong, H.; Thostenson, E.T.; Chou, T.W. Processing and characterization of multi-scale hybrid composites reinforced with nanoscale carbon reinforcements and carbon fibers. Compos. Part A 2011, 42, 337–344. [Google Scholar] [CrossRef]
- Li, J. Interfacial studies on the O3 modified carbon fiber-reinforced polyamide 6 composites. Appl. Surf. Sci. 2008, 55, 2822–2824. [Google Scholar]
- Liu, L.; Song, Y.J.; Fu, H.J.; Jiang, Z.X.; Zhang, X.Z.; Wu, L.N.; Huang, Y.D. The effect of interphase modification on carbon fiber/polyarylacetylene resin composites. Appl. Surf. Sci. 2008, 254, 5342–5347. [Google Scholar]
- Fukunaga, A.; Ueda, S.; Nagumo, M. Air-oxidation and anodization of pitch-based carbon fibers. Carbon 1999, 37, 1081–1085. [Google Scholar] [CrossRef]
- Fukunaga, A.; Ueda, S. Anodic surface oxidation for pitch-based carbon fibers and the interfacial bond strengths in epoxy matrices. Compos. Sci. Technol. 2000, 60, 249–254. [Google Scholar] [CrossRef]
- Park, S.J.; Kim, M.H. Effect of acidic anode treatment on carbon fibers for increasing fiber–matrix adhesion and its relationship to interlaminar shear strength of composites. J. Mater. Sci. 2000, 35, 1901–1905. [Google Scholar] [CrossRef]
- Guo, H.; Huang, Y.D.; Meng, L.H.; Liu, L.; Fan, D.P.; Liu, D.X. Interface property of carbon fibers/epoxy resin composite improved by hydrogen peroxide in supercritical water. Mater. Lett. 2009, 63, 1531–1534. [Google Scholar] [CrossRef]
- Severini, F.; Formaro, L.; Pegoraro, M.; Posca, L. Chemical modification of carbon fiber surfaces. Carbon 2002, 40, 735–741. [Google Scholar] [CrossRef]
- Tiwari, S.; Bijwe, J.; Panier, S. Tribological studies on polyetherimide composites based on carbon fabric with optimized oxidation treatment. Wear 2011, 271, 2252–2260. [Google Scholar] [CrossRef]
- Joo, J.-H.; Kim, S.-H.; Yim, Y.-J.; Bae, J.-S.; Seo, M.-K. Interfacial Interlocking of Carbon Fiber-Reinforced Polymer Composites: A Short Review. Polymers 2025, 17, 267. [Google Scholar] [CrossRef]
- Park, S.J.; Seo, M.K.; Rhee, K.Y. Studies on mechanical interfacial properties of oxyfluorinated carbon fibers-reinforced composites. Mater. Sci. Eng. A 2003, 356, 219–226. [Google Scholar] [CrossRef]
- Nishi, Y.; Tsuchikura, N.; Nanba, S.; Yamamoto, T.; Faudree, M.C. Charpy Impact of Sandwich Structural Composites (CFRP/PC/CFRP) of Polycarbonate (PC) Cores Covered with Carbon Fiber Cross Textile Reinforced Epoxy Polymer (CFRP) Thin Sheets as a Function of Temperature. Mater. Trans. 2012, 53, 1288–1294. [Google Scholar] [CrossRef]
- Jahangir, M.N.; Billah, K.M.M.; Lin, Y.; Roberson, D.A.; Wicker, R.B.; Espalin, D. Reinforcement of material extrusion 3D printed polycarbonate using continuous carbon fiber. Addit. Manuf. 2019, 28, 354–364. [Google Scholar] [CrossRef]
- Yao, T.-T.; Wu, G.-P.; Song, C. Interfacial adhesion properties of carbon fiber/polycarbonate composites by using a single-filament fragmentation test. Compos. Sci. Technol. 2017, 149, 108–115. [Google Scholar] [CrossRef]
- Ozkan, C.; Gamze Karsli, N.; Aytac, A.; Deniz, V. Short carbon fiber reinforced polycarbonate composites: Effects of different sizing materials. Compos. B Eng. 2014, 62, 230–235. [Google Scholar] [CrossRef]
- Hacioglu, F.; Tayfun, U.; Ozdemir, T.; Tincer, T. Characterization of carbon fiber and glass fiber reinforced polycarbonate composites and their behavior under gamma irradiation. Prog. Nucl. Energy 2021, 134, 103665. [Google Scholar] [CrossRef]
- Yao, T.-T.; Liu, Y.-T.; Zhu, H.; Zhang, X.-F.; Wu, G.-P. Controlling of resin impregnation and interfacial adhesion in carbon fiber/polycarbonate composites by a spray-coating of polymer on carbon fibers. Compos. Sci Technol. 2019, 182, 107763. [Google Scholar] [CrossRef]
- Yao, T.-T.; Zhang, X.-F.; Zhang, W.-S.; Liu, Y.T.; Liu, Q.; Wu, G.-P. Controlled attachment of polycarbonate nanoparticles on carbon fibers for increased resin impregnation and interfacial adhesion in carbon fiber composites. Compos. Part B Eng. 2021, 224, 109218. [Google Scholar] [CrossRef]
- Kamps, J.H.; Scheffler, C.; Simon, F.; van der Heijden, R.; Verghese, N. Functional polycarbonates for improved adhesion to carbon fibre. Compos. Sci. Technol. 2018, 167, 448–455. [Google Scholar] [CrossRef]
- Wu, Y.; Dhamodharan, D.; Wang, Z.; Wang, R.; Wu, L. Effect of electrophoretic deposition followed by solution pre-impregnated surface modified carbon fiber-carbon nanotubes on the mechanical properties of carbon fiber reinforced polycarbonate composites. Compos. Part B Eng. 2020, 195, 108093. [Google Scholar] [CrossRef]
- Baek, Y.-M.; Shin, P.-S.; Kim, J.-H.; Park, H.-S.; Lawrence DeVries, K.; Park, J.-M. Thermal transfer, interfacial, and mechanical properties of carbon fiber/polycarbonate-CNT composites using infrared thermography. Polym. Test. 2020, 81, 106247. [Google Scholar] [CrossRef]
- Cho, B.G.; Hwang, S.-H.; Park, M.; Park, J.-K.; Park, Y.-B.; Chae, H.-G. The effects of plasma surface treatment on the mechanical properties of polycarbonate/carbon nanotube/carbon fiber composites. Compos. Eng. 2019, 160, 436–445. [Google Scholar] [CrossRef]
- Nishi, Y.; Takei, H.; Iwata, K.; Salvia, M.; Vautrin, A. Effects of electron beam irradiation on impact value of carbon fiber reinforced thermoplastic polyetheretherketone. Mater. Trans. 2009, 50, 2826–2832. [Google Scholar] [CrossRef]
- Nishi, Y.; Inoue, K.; Salvia, M. Improvement of Charpy impact of carbon fiber reinforced polymer by low energy sheet electron beam irradiation. Mater. Trans. 2006, 47, 2846–2851. [Google Scholar] [CrossRef]
- Park, M.-S.; Jung, M.-J.; Lee, Y.-S. Significant reduction in stabilization temperature and improved mechanical/electrical properties of pitch-based carbon fibers by electron beam irradiation. J. Ind. Eng. Chem. 2016, 37, 277–287. [Google Scholar] [CrossRef]
- Schlemmer, B.; Bandari, R.; Rosenkranz, L.; Buchmeiser, M.R. Electron beam triggered, free radical polymerization-derived monolithic capillary columns for high-performance liquid chromatography. J. Chromatogr. A 2009, 1216, 2664–2670. [Google Scholar] [CrossRef] [PubMed]
- Kim, S.-M.; Lee, H.-Y.; Kim, S.-W. Influences of dangling bonds and van der Waals interactions on the electronic structure of tribopositive nylon polymers. Nano Energy 2025, 137, 110768. [Google Scholar] [CrossRef]
- Nishi, Y.; Kitagawa, S.; Faudree, M.C.; Uchida, H.T.; Kanda, M.; Takase, S.; Kaneko, S.; Endo, T.; Tonegawa, A.; Salvia, M.; et al. Improvements of strength of layered polypropylene reinforced by carbon fiber by its sizing film and electron beam under protective nitrogen gas atmosphere. In Carbon Related Materials; Kaneko, S., Aono, M., Pruna, A., Can, M., Mele, P., Ertugrul, M., Endo, T., Eds.; Springer: Singapore, 2021; pp. 279–302. [Google Scholar]
- Miura, E.; Uchida, H.T.; Okazaki, T.; Sagawa, K.; Faudree, M.C.; Salvia, M.; Kimura, H.; Nishi, Y. Novel Treatment of 3D-Printed Short-Carbon-Fiber-Reinforced Polyamide (3D-SCFRPA66) Using Homogeneous Low-Potential Electron Beam Irradiation (HLEBI) and Ductility Enhancement. Polymers 2024, 16, 3408. [Google Scholar] [CrossRef]
- Candau, N.; Chenal, J.-M.; Lame, O.; Schouwink, P.; Michaud, V.; Plummer, C.J.G.; Frauenrath, H. Enhanced ductility in high performance polyamides due to strain-induced phase transitions. Polymer 2022, 238, 124424. [Google Scholar] [CrossRef]
- Eiichi, M.; Uchida, H.T.; Okazaki, T.; Sagawa, K.; Satoh, F.; Irie, H.; Faudree, M.C.; Salvia, M.; Kimura, H.; Nishi, Y. HLEBI (Homogeneous Low Potential Electron Beam Irradiation) Induced Tensile Elongation of 3D Printed Short Carbon Fiber Reinforced Polyamide (3D-SCFRPA66). Mater. Sci. Forum 2024, 1134, 39–45. [Google Scholar] [CrossRef]
- Takeda, K.; Kimura, H.; Faudree, M.C.; Uchida, H.T.; Sagawa, K.; Miura, E.; Salvia, M.; Nishi, Y. A New Strengthening Process for Carbon-Fiber-Reinforced Thermoplastic Polyphenylene Sulfide (CFRTP-PPS) Interlayered Composite by Electron Beam Irradiation to PPS Prior to Lamination Assembly and Hot Press. Materials 2023, 16, 2823. [Google Scholar] [CrossRef]
- Kimura, H.; Takeda, K.; Uchida, H.T.; Faudree, M.C.; Sagawa, K.; Kaneko, S.; Salvia, M.; Nishi, Y. Strengthening Process by Electron Beam to Carbon Fiber for Impact Strength Enhancement of Interlayered Thermoplastic-Polypropylene Carbon Fiber Composite. Materials 2022, 15, 7620. [Google Scholar] [CrossRef]
- Kitagawa, S.; Kimura, H.; Uchida, H.T.; Faudree, M.C.; Kaneko, S.; Endoh, T.; Salvia, M.; Nishi, Y. A new strengthening process of thermoplastic polypropylene reinforced by interlayered activated sizing film-free carbon fiber treated by electron beam irradiation under oxygen-rich nitrogen gas prior to assembly and hot-press. J. Compos. Mater. 2021, 55, 2975–2983. [Google Scholar] [CrossRef]
- Nishi, Y.; Tsuyuki, N.; Uchida, H.T.; Faudree, M.C.; Sagawa, K.; Kanda, M.; Matsumura, Y.; Salvia, M.; Kimura, H. Increasing Bending Strength of Polycarbonate Reinforced by Carbon Fiber Irradiated by Electron Beam. Polymers 2023, 15, 4350–4364. [Google Scholar] [CrossRef] [PubMed]
- Chen, J.; Czayka, M.; Uribe, R.M. Effects of electron beam irradiations on the structure and mechanical properties of polycarbonate. Radiat. Phys. Chem. 2005, 74, 31–35. [Google Scholar]
- Nishi, Y.; Faudree, M.C.; Quan, J.; Yamazaki, Y.; Takahashi, A.; Ogawa, S.; Iwata, K.; Tonegawa, A.; Salvia, M. Increasing Charpy Impact Value of Polycarbonate (PC) Sheets Irradiated by Electron Beam. Mater. Trans. 2018, 59, 1304–1309. [Google Scholar]
- Nathawat, R.; Kumar, A.; Kulshrestha, V.; Singh, M.; Ganesan, V.; Phase, D.M.; Vijay, Y.K. Surface modification study of low energy electron beam irradiated polycarbonate film. Appl. Surf. Sci. 2007, 253, 5985–5991. [Google Scholar]
- Wang, K.; Pan, Z.; Yin, L.; Zhang, H.; Zou, Y.; Fei, X. Study on dosimetric characteristics of polycarbonate films irradiated by electron beam. Radiat. Meas. 2025, 180, 107333. [Google Scholar]
- Bansal, N.; Arora, S. Exploring the impact of gamma rays and electron beam irradiation on physico-mechanical properties of polymers & polymer composites: A comprehensive review. Nucl. Instrum. Methods Phys. Res. Sect. B Beam Interact. Mater. Atoms. 2024, 549, 165297. [Google Scholar]
- Reheem, A.M.A.; Atta, A.; Maksoud, M.I.A.A. Low energy ion beam induced changes in structural and thermal properties of polycarbonate. Radiat. Phys. Chem. 2016, 127, 269–275. [Google Scholar]
- Rathore, B.S.; Gaur, M.S.; Singh, K.S. Thermal properties of ion beam irradiated polycarbonate films. Vacuum 2011, 86, 306–310. [Google Scholar]
- Radwan, R.M.; Abdul-Kader, A.M.; El-Hag Ali, A. Ion bombardment induced changes in the optical and electrical properties of polycarbonate. Nucl. Instrum. Methods Phys. Res. Sect. B Beam Interact. Mater. Atoms. 2008, 266, 3588–3594. [Google Scholar]
- Technical Sheet for CF. Available online: https://shop.lab-cast.com/?pid=93479046 (accessed on 5 August 2023).
- Japanese Industrial Standard JIS K 7077; Testing Method for Charpy Impact Strength of Carbon Fiber Reinforced Plastics. Japanese Standards Association: Tokyo, Japan, 1991.
- Christenhusz, R.; Reimer, L. Schichtdickenabhangigkeit der warmerzeugungdurch elektronenbestrahlung im energiebereich zwischen 9 und 100 keV (Layer thickness dependency of heat generation by electron irradiation in the energy range between 9 and 100 keV). Z. Angew. Phys. 1967, 23, 396–404. [Google Scholar]
- Zhao, Y.; Zhang, J.; Qiang, S.; Lu, H.; Li, J. Effect of carbon fibers and graphite particles on mechanical properties and electrical conductivity of cement composite. J. Build. Eng. 2024, 94, 110036. [Google Scholar] [CrossRef]
- Shackelford, J.F. Introduction to Materials Science for Engineers, 5th ed.; Prentice Hall: Hoboken, NJ, USA, 2000; p. 549. [Google Scholar]
- Nishi, Y.; Mizutani, A.; Kimura, A.; Toriyama, T.; Oguri, K.; Tonegawa, A. Effects of sheet electron beam irradiation on aircraft design stress of carbon fiber. J. Mater. Sci. 2003, 38, 89–92. [Google Scholar] [CrossRef]
- Yamaguchi, N.; Oguri, K.; Tonegawa, A.; Nishi, Y. Brittleness Control of Silica Glass Surface Irradiated by Sheet Electron Beam. Jpn. Inst. Met. 2004, 68, 198–201. (In Japanese) [Google Scholar] [CrossRef][Green Version]
- Nishida, T.; Yasuda, E. Evaluation of Dynamic Properties of Ceramics (In Japanese: Ceramics No Rikigaku Tokusei Hyouka); Nikkan Kogyou Shimbun Sha: Tokyo, Japan, 1986; pp. 50–51. [Google Scholar]
- Weibull, W. A Statistical Theory of the Strength of Materials; Ingeniörs Vetenskaps Akademien; nr. 151; Generalstabens Litografiskaanstalts Förlag; Engineer Science Academy; Lithographic Institution Publisher: Stockholm, Sweden, 1939; pp. 12–14. [Google Scholar]
- Weibull, W. A Statistical Theory of the Strength of Materials; Ingeniörs Vetenskaps Akademien; nr. 153; Generalstabens Litografiskaanstalts Förlag; Engineer Science Academy; Lithographic Institution Publisher: Stockholm, Sweden, 1939; pp. 16–22. [Google Scholar]
- Quinn, J.B.; Quinn, G.D. A practical and systematic review of Weibull statistics for reporting strengths of dental materials. Dent. Mater. 2010, 26, 135–147. [Google Scholar] [CrossRef]
- Takahashi, T.; Morishita, T.; Nishi, Y. Effect of Electron Beam irradiation on Stress-Strain Curves of Tensile Test of Polycarbonate Resin. Jpn. Inst. Met. 2005, 69, 759–762. (In Japanese) [Google Scholar] [CrossRef]
- Sherwood, M.A. Electron Spectrosc. Relat. Phenom 1996, 81, 319–342. [Google Scholar]
- Baker, M.A.; Bacon, S.R.; Sweeney, S.J.; Hinde, S.J.; Bushell, A.; Nunney, T.S.; White, R.G. Femtosecond laser ablation (fs-LA) XPS—A novel XPS depth profiling technique for thin films, coatings and multi-layered structures. Appl. Surf. Sci. 2024, 654, 159405. [Google Scholar] [CrossRef]
- Yuan, X.; Jiang, J.; Wei, H.; Yuan, C.; Wang, M.; Zhang, D.; Liu, L.; Huang, Y.; Gao, G.-L.; Jiang, Z. PAI/MXene sizing-based dual functional coating for carbon fiber/PEEK composite. Compos. Sci. Technol. 2021, 201, 108496. [Google Scholar] [CrossRef]
- Semitekolos, D.; Papadopoulos, I.; Anagnou, S.; Dashtbozorg, B.; Li, X.; Dong, H.; Charitidis, C.A. Nanomaterial-Enhanced Sizings: Design and Optimisation of a Pilot-Scale Fibre Sizing Line. Fibers 2024, 12, 16. [Google Scholar] [CrossRef]
- Singh, S.; Mai, P.; Borowiec, J.; Zhang, Y.; Lei, Y.; Schober, A. Donor–acceptor Stenhouse adduct-grafted polycarbonate surfaces: Selectivity of the reaction for secondary amine on surface. Roy. Soc. Open Sci. 2018, 5, 180207. [Google Scholar] [CrossRef]
- Faudree, M.C.; Nishi, Y.; Gruskiewicz, M. Effects of electron beam irradiation on Charpy impact value of short glass fiber (GFRP) samples with random distribution of solidification texture angles from zero to 90 degrees. Mater. Trans. 2012, 53, 1412–1419. [Google Scholar] [CrossRef]













| PC | PC | [PC]4[CF]3 | [PC]4[CF]3 | [PC]4[CF]3 | [PC]4[CF]3 | [PC]4[CF]3 | [PC]4[CF]3 | |
|---|---|---|---|---|---|---|---|---|
| HLEBI dose (kGy) | Untreated | 129 | Untreated | 43.2 | 129 | 216 | 302 | 432 |
| auc,(avg) (kJm−2) (Std. Dev.) | 27.2 (6.65) | 33.8 (9.09) | 76.1 (8.79) | 79.6 (9.45) | 78.6 (19.9) | 77.7 (8.30) | 77.8 (15.5) | 80.1 (14.1) |
| auc at Pf = 0.50 (kJm−2) | 24.5 | 28.4 | 76.6 | 77.7 | 73.0 | 76.3 | 78.6 | 79.4 |
| as at Pf = 0 (kJm−2) | 22.0 | 25.5 | 58.0 | 57.5 | 59.6 | 61.8 | 0 | 0 |
| SS | df | MS | F | p-Value | Fcrit (Fα) | |
|---|---|---|---|---|---|---|
| Variance Between Groups | 112 | 5 | 22.5 | 0.12637 | 0.98589 | 3.33888 |
| Variance Within Groups | 10,682 | 60 | 178.0 | |||
| TOTAL | 10,794 | 65 |
| Impact (kJm−2) | 3-Point Bending (MPa) | |
|---|---|---|
| as, or ss at Pf = 0 | 6.5% | 18.6% |
| auc(avg), or sb(avg) | 2.1% | 19.8% |
| Scan | CF | PC |
|---|---|---|
| O 1s | C–O | C=O; O–C=O; C–O–C=O |
| C 1s | C–O–H; C–H | C–H, C–C, C–O–H, C–O–C |
Disclaimer/Publisher’s Note: The statements, opinions and data contained in all publications are solely those of the individual author(s) and contributor(s) and not of MDPI and/or the editor(s). MDPI and/or the editor(s) disclaim responsibility for any injury to people or property resulting from any ideas, methods, instructions or products referred to in the content. |
© 2025 by the authors. Licensee MDPI, Basel, Switzerland. This article is an open access article distributed under the terms and conditions of the Creative Commons Attribution (CC BY) license (https://creativecommons.org/licenses/by/4.0/).
Share and Cite
Nishi, Y.; Tsuyuki, N.; Faudree, M.C.; Uchida, H.T.; Sagawa, K.; Matsumura, Y.; Salvia, M.; Kimura, H. Impact Value Improvement of Polycarbonate by Addition of Layered Carbon Fiber Reinforcement and Effect of Electron Beam Treatment. Polymers 2025, 17, 1034. https://doi.org/10.3390/polym17081034
Nishi Y, Tsuyuki N, Faudree MC, Uchida HT, Sagawa K, Matsumura Y, Salvia M, Kimura H. Impact Value Improvement of Polycarbonate by Addition of Layered Carbon Fiber Reinforcement and Effect of Electron Beam Treatment. Polymers. 2025; 17(8):1034. https://doi.org/10.3390/polym17081034
Chicago/Turabian StyleNishi, Yoshitake, Naruya Tsuyuki, Michael C. Faudree, Helmut Takahiro Uchida, Kouhei Sagawa, Yoshihito Matsumura, Michelle Salvia, and Hideki Kimura. 2025. "Impact Value Improvement of Polycarbonate by Addition of Layered Carbon Fiber Reinforcement and Effect of Electron Beam Treatment" Polymers 17, no. 8: 1034. https://doi.org/10.3390/polym17081034
APA StyleNishi, Y., Tsuyuki, N., Faudree, M. C., Uchida, H. T., Sagawa, K., Matsumura, Y., Salvia, M., & Kimura, H. (2025). Impact Value Improvement of Polycarbonate by Addition of Layered Carbon Fiber Reinforcement and Effect of Electron Beam Treatment. Polymers, 17(8), 1034. https://doi.org/10.3390/polym17081034

