Impact of Surfactants on Silk Fibroin Self-Assembly at the Air–Water Interface
Abstract
1. Introduction
2. Materials and Methods
3. Results
3.1. Dynamic Surface Elasticity and Dynamic Surface Tension
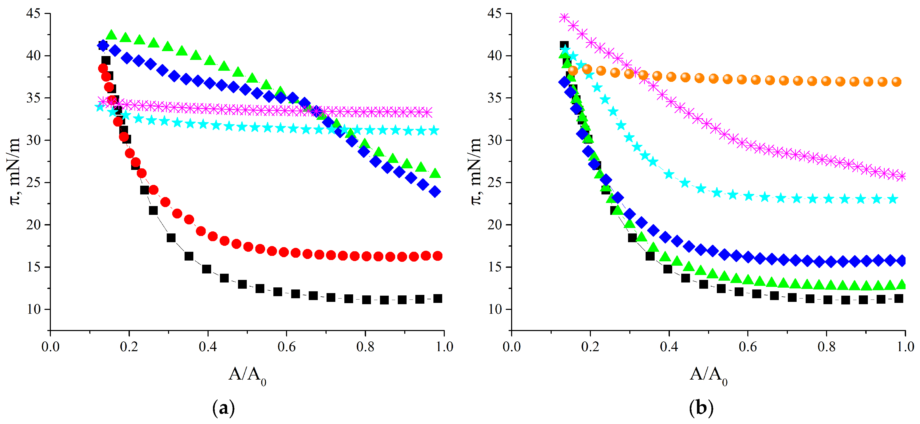
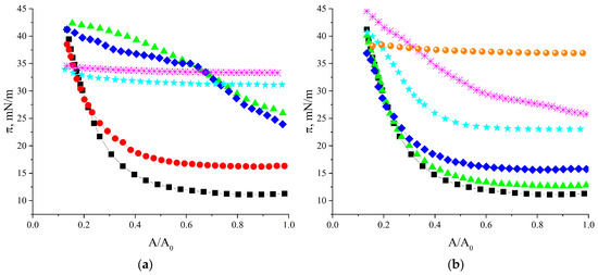
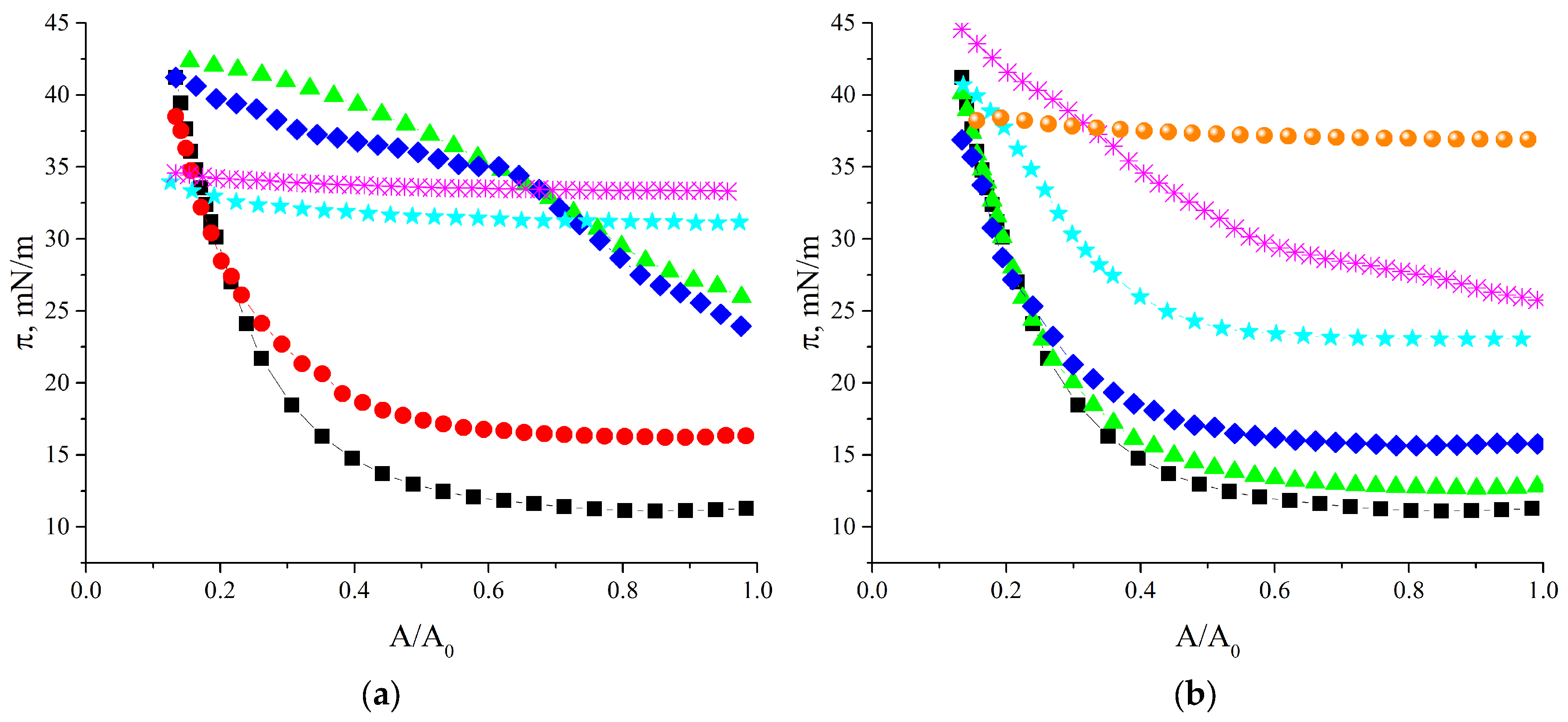
3.2. Compression Isotherms
3.3. Ellipsometry
3.4. Atomic Force Microscopy
4. Discussion
5. Conclusions
Author Contributions
Funding
Institutional Review Board Statement
Informed Consent Statement
Data Availability Statement
Acknowledgments
Conflicts of Interest
References
- Du, J.; You, Y.; Reis, R.L.; Kundu, S.C.; Li, J. Manipulating Supramolecular Gels with Surfactants: Interfacial and Non-Interfacial Mechanisms. Adv. Colloid Interface Sci. 2023, 318, 102950. [Google Scholar] [CrossRef] [PubMed]
- Chen, K.; Li, Y.; Li, Y.; Pan, W.; Tan, G. Silk Fibroin Combined with Electrospinning as a Promising Strategy for Tissue Regeneration. Macromol. Biosci. 2023, 23, 2200380. [Google Scholar] [CrossRef] [PubMed]
- Cui, C.; Fu, Q.; Meng, L.; Hao, S.; Dai, R.; Yang, J. Recent Progress in Natural Biopolymers Conductive Hydrogels for Flexible Wearable Sensors and Energy Devices: Materials, Structures, and Performance. ACS Appl. Bio Mater. 2021, 4, 85–121. [Google Scholar] [CrossRef] [PubMed]
- Guo, C.; Li, C.; Mu, X.; Kaplan, D.L. Engineering Silk Materials: From Natural Spinning to Artificial Processing. Appl. Phys. Rev. 2020, 7, 011313. [Google Scholar] [CrossRef]
- Farokhi, M.; Aleemardani, M.; Solouk, A.; Mirzadeh, H.; Teuschl, A.H.; Redl, H. Crosslinking Strategies for Silk Fibroin Hydrogels: Promising Biomedical Materials. Biomed. Mater. 2021, 16, 022004. [Google Scholar] [CrossRef] [PubMed]
- Koh, L.D.; Cheng, Y.; Teng, C.P.; Khin, Y.W.; Loh, X.J.; Tee, S.Y.; Low, M.; Ye, E.; Yu, H.D.; Zhang, Y.W.; et al. Structures, Mechanical Properties and Applications of Silk Fibroin Materials. Prog. Polym. Sci. 2015, 46, 86–110. [Google Scholar] [CrossRef]
- Xu, H.; Yang, Y. 3D Electrospun Fibrous Structures from Biopolymers. ACS Symp. Ser. 2014, 1175, 103–126. [Google Scholar] [CrossRef]
- Kundu, B.; Rajkhowa, R.; Kundu, S.C.; Wang, X. Silk Fibroin Biomaterials for Tissue Regenerations. Adv. Drug Deliv. Rev. 2013, 65, 457. [Google Scholar] [CrossRef]
- Jain, A.; Singh, S.K.; Arya, S.K.; Kundu, S.C.; Kapoor, S. Protein Nanoparticles: Promising Platforms for Drug Delivery Applications. ACS Biomater. Sci. Eng. 2018, 4, 3939–3961. [Google Scholar] [CrossRef]
- Song, W.; Muthana, M.; Mukherjee, J.; Falconer, R.J.; Biggs, C.A.; Zhao, X. Magnetic-Silk Core-Shell Nanoparticles as Potential Carriers for Targeted Delivery of Curcumin into Human Breast Cancer Cells. ACS Biomater. Sci. Eng. 2017, 3, 1027–1038. [Google Scholar] [CrossRef]
- Wang, S.; Xu, T.; Yang, Y.; Shao, Z. Colloidal Stability of Silk Fibroin Nanoparticles Coated with Cationic Polymer for Effective Drug Delivery. ACS Appl. Mater. Interfaces 2015, 7, 21254–21262. [Google Scholar] [CrossRef] [PubMed]
- Guo, L.; Liang, Z.; Yang, L.; Du, W.; Yu, T.; Tang, H.; Li, C.; Qiu, H. The Role of Natural Polymers in Bone Tissue Engineering. J. Control. Release 2021, 338, 571–582. [Google Scholar] [CrossRef] [PubMed]
- Borkner, C.B.; Elsner, M.B.; Scheibel, T. Coatings and Films Made of Silk Proteins. ACS Appl. Mater. Interfaces 2014, 6, 15611–15625. [Google Scholar] [CrossRef] [PubMed]
- Fan, L.; Li, J.L.; Cai, Z.; Wang, X. Bioactive Hierarchical Silk Fibers Created by Bioinspired Self-Assembly. Nat. Commun. 2021, 12, 2375. [Google Scholar] [CrossRef]
- Shi, P.; Goh, J.C.H. Self-Assembled Silk Fibroin Particles: Tunable Size and Appearance. Powder Technol. 2012, 215–216, 85–90. [Google Scholar] [CrossRef]
- Bai, S.; Liu, S.; Zhang, C.; Xu, W.; Lu, Q.; Han, H.; Kaplan, D.L.; Zhu, H. Controllable Transition of Silk Fibroin Nanostructures: An Insight into in Vitro Silk Self-Assembly Process. Acta Biomater. 2013, 9, 7806–7813. [Google Scholar] [CrossRef]
- Qi, Y.; Wang, H.; Wei, K.; Yang, Y.; Zheng, R.Y.; Kim, I.S.; Zhang, K.Q. A Review of Structure Construction of Silk Fibroin Biomaterials from Single Structures to Multi-Level Structures. Int. J. Mol. Sci. 2017, 18, 237. [Google Scholar] [CrossRef]
- Dubey, P.; Murab, S.; Karmakar, S.; Chowdhury, P.K.; Ghosh, S. Modulation of Self-Assembly Process of Fibroin: An Insight for Regulating the Conformation of Silk Biomaterials. Biomacromolecules 2015, 16, 3936–3944. [Google Scholar] [CrossRef]
- Callone, E.; Dirè, S.; Hu, X.; Motta, A. Processing Influence on Molecular Assembling and Structural Conformations in Silk Fibroin: Elucidation by Solid-State NMR. ACS Biomater. Sci. Eng. 2016, 2, 758–767. [Google Scholar] [CrossRef]
- Valluzzi, R.; Gido, S.P.; Muller, W.; Kaplan, D.L. Orientation of Silk III at the Air-Water Interface. Int. J. Biol. Macromol. 1999, 24, 237–242. [Google Scholar] [CrossRef]
- Valluzzi, R.; Gido, S.P. The Crystal Structure of Bombyx Mori Silk Fibroin at the Air-Water Interface. Biopolym.-Nucleic Acid Sci. Sect. 1997, 42, 705–717. [Google Scholar] [CrossRef]
- Park, J.H.; Kim, M.H.; Jeong, L.; Cho, D.; Kwon, O.H.; Park, W.H. Effect of Surfactants on Sol-Gel Transition of Silk Fibroin. J. Sol-Gel Sci. Technol. 2014, 71, 364–371. [Google Scholar] [CrossRef]
- Wu, X.; Hou, J.; Li, M.; Wang, J.; Kaplan, D.L.; Lu, S. Sodium Dodecyl Sulfate-Induced Rapid Gelation of Silk Fibroin. Acta Biomater. 2012, 8, 2185–2192. [Google Scholar] [CrossRef] [PubMed]
- Li, Z.; Zheng, Z.; Yang, Y.; Fang, G.; Yao, J.; Shao, Z.; Chen, X. Robust Protein Hydrogels from Silkworm Silk. ACS Sustain. Chem. Eng. 2016, 4, 1500–1506. [Google Scholar] [CrossRef]
- Chantong, N.; Damrongsakkul, S.; Ratanavaraporn, J. Gelation Process and Physicochemical Properties of Thai Silk Fibroin Hydrogels Induced by Various Anionic Surfactants for Controlled Release of Curcumin. J. Surfactants Deterg. 2019, 22, 1395–1407. [Google Scholar] [CrossRef]
- Hirlekar, S.; Ray, D.; Aswal, V.K.; Prabhune, A.A.; Nisal, A. Lauric Acid Sophorolipid: Accelerating the Gelation of Silk Fibroin. ACS Omega 2020, 5, 28571–28578. [Google Scholar] [CrossRef]
- Hirlekar, S.; Ray, D.; Aswal, V.K.; Prabhune, A.; Nisal, A.; Ravindranathan, S. Silk Fibroin-Sodium Dodecyl Sulfate Gelation: Molecular, Structural, and Rheological Insights. Langmuir 2019, 35, 14870–14878. [Google Scholar] [CrossRef]
- Dubey, P.; Kumar, S.; Aswal, V.K.; Ravindranathan, S.; Rajamohanan, P.R.; Prabhune, A.; Nisal, A. Silk Fibroin-Sophorolipid Gelation: Deciphering the Underlying Mechanism. Biomacromolecules 2016, 17, 3318–3327. [Google Scholar] [CrossRef]
- Lu, S.; Sun, S.; Zhang, F.; Li, J.; Tieling, X.; Jian, J. Cationic Surfactant-Induced Instantaneous Gelation of Silk Fibroin Solution. Asian J. Chem. 2014, 26, 70–73. [Google Scholar] [CrossRef]
- Bian, X.; Cui, C.; Qi, Y.; Sun, Y.; Zhang, Z.; Liu, W. Amino Acid Surfactant-Induced Superfast Gelation of Silk Fibroin for Treating Noncompressible Hemorrhage. Adv. Funct. Mater. 2022, 32, 2207349. [Google Scholar] [CrossRef]
- Dubey, P.; Kumar, S.; Ravindranathan, S.; Vasudevan, S.; Aswal, V.K.; Rajamohanan, P.R.; Nisal, A.; Prabhune, A. PH Dependent Sophorolipid Assemblies and Their Influence on Gelation of Silk Fibroin Protein. Mater. Chem. Phys. 2018, 203, 9–16. [Google Scholar] [CrossRef]
- Onder, O.C.; Batool, S.R.; Nazeer, M.A. Self-Assembled Silk Fibroin Hydrogels: From Preparation to Biomedical Applications. Mater. Adv. 2022, 3, 6920–6949. [Google Scholar] [CrossRef]
- Lassenberger, A.; Martel, A.; Porcar, L.; Baccile, N. Interpenetrated Biosurfactant-Silk Fibroin Networks—A SANS Study. Soft Matter 2021, 17, 2302–2314. [Google Scholar] [CrossRef] [PubMed]
- Maxwell, R.; Costache, M.C.; Giarrosso, A.; Bosques, C.; Amin, S. Optimizing Interactions between Soluble Silk Fibroin and Capryl Glucoside for Design of a Natural and High-Performance Co-Surfactant System. Int. J. Cosmet. Sci. 2021, 43, 68–77. [Google Scholar] [CrossRef]
- Li, Y.; Guo, Y.; Jiang, H.; Zhang, Q.; Liu, J. Antimicrobial Activity, Foaming Properties, and Interacting Mechanism of Rhamnolipids in Presence of Silk Fibroin through Spectroscopy, Molecular Docking, and Microbiological Experiments. Spectrochim. Acta-Part A Mol. Biomol. Spectrosc. 2024, 323, 124899. [Google Scholar] [CrossRef]
- Biswal, B.; Dan, A.K.; Aamna, B.; Behari, M.; Das, M.; Das, D. Self-Assembled Micellar Saponin from Sapindus laurifolia Vahl.: Investigations on the Surfactant Activity on the Extraction of Fibroin from Silk Cocoons. J. Polym. Environ. 2023, 31, 3803–3813. [Google Scholar] [CrossRef]
- Biswal, B.; Dan, A.K.; Sengupta, A.; Das, M.; Bindhani, B.K.; Das, D.; Parhi, P.K. Extraction of Silk Fibroin with Several Sericin Removal Processes and Its Importance in Tissue Engineering: A Review. J. Polym. Environ. 2022, 30, 2222–2253. [Google Scholar] [CrossRef]
- Mandal, B.B.; Kundu, S.C. A Novel Method for Dissolution and Stabilization of Non-Mulberry Silk Gland Protein Fibroin Using Anionic Surfactant Sodium Dodecyl Sulfate. Biotechnol. Bioeng. 2008, 99, 1482–1489. [Google Scholar] [CrossRef]
- Wang, F.; Cao, T.T.; Zhang, Y.Q. Effect of Silk Protein Surfactant on Silk Degumming and Its Properties. Mater. Sci. Eng. C 2015, 55, 131–136. [Google Scholar] [CrossRef]
- Myung, S.J.; Kim, H.S.; Kim, Y.; Chen, P.; Jin, H.J. Fluorescent Silk Fibroin Nanoparticles Prepared Using a Reverse Microemulsion. Macromol. Res. 2008, 16, 604–608. [Google Scholar] [CrossRef]
- Luo, J.; Zhao, L.; Yang, Y.; Song, G.; Liu, Y.; Chen, L.; Tang, G. Emulsifying Ability and Cross-Linking of Silk Fibroin Microcapsules Containing Phase Change Materials. Sol. Energy Mater. Sol. Cells 2016, 147, 144–149. [Google Scholar] [CrossRef]
- Fang, T.; Zhu, J.; Xu, S.; Jia, L.; Ma, Y. Highly Stretchable, Self-Healing and Conductive Silk Fibroin-Based Double Network Gels via a Sonication-Induced and Self-Emulsifying Green Procedure. RSC Adv. 2022, 12, 11574–11582. [Google Scholar] [CrossRef] [PubMed]
- Agostinacchio, F.; Biada, E.; Gambari, L.; Grassi, F.; Bucciarelli, A.; Motta, A. Surfactant-Assisted Photo-Crosslinked Silk Fibroin Sponges: A Versatile Platform for the Design of Bone Scaffolds. Biomater. Adv. 2024, 161, 213887. [Google Scholar] [CrossRef] [PubMed]
- Yang, L.; Zhang, Y.; Xiao, Z.; Zhang, W.; Li, L.; Fan, Y. Electrospun Polymeric Fibers Decorated with Silk Microcapsules via Encapsulation and Surface Immobilization for Drug Delivery. Macromol. Biosci. 2023, 23, 2300190. [Google Scholar] [CrossRef]
- Kim, T.; Kim, B.J.; Bonacchini, G.E.; Ostrovsky-Snider, N.A.; Omenetto, F.G. Silk Fibroin as a Surfactant for Water-Based Nanofabrication. Nat. Nanotechnol. 2024, 19, 1514–1520. [Google Scholar] [CrossRef] [PubMed]
- Meng, L.; Shao, C.; Cui, C.; Xu, F.; Lei, J.; Yang, J. Autonomous Self-Healing Silk Fibroin Injectable Hydrogels Formed via Surfactant-Free Hydrophobic Association. ACS Appl. Mater. Interfaces 2020, 12, 1628–1639. [Google Scholar] [CrossRef]
- Jayawardane, D.; Pan, F.; Lu, J.R.; Zhao, X. Interfacial Adsorption of Silk Fibroin Peptides and Their Interaction with Surfactants at the Solid-Water Interface. Langmuir 2016, 32, 8202–8211. [Google Scholar] [CrossRef]
- Qiao, X.; Miller, R.; Sun, K. Interfacial Adsorption, Viscoelasticity and Recovery of Silk Fibroin Layers at Different Oil/Water Interface. Colloids Surfaces A Physicochem. Eng. Asp. 2017, 519, 179–186. [Google Scholar] [CrossRef]
- Qiao, X.; Miller, R.; Schneck, E.; Sun, K. Influence of PH on the Surface and Foaming Properties of Aqueous Silk Fibroin Solutions. Soft Matter 2020, 16, 3695–3704. [Google Scholar] [CrossRef]
- Qiao, X.; Miller, R.; Schneck, E.; Sun, K. Influence of Surfactant Charge and Concentration on the Surface and Foaming Properties of Biocompatible Silk Fibroin. Mater. Chem. Phys. 2022, 281, 125920. [Google Scholar] [CrossRef]
- Milyaeva, O.Y.; Akentiev, A.V.; Bykov, A.G.; Miller, R.; Rafikova, A.R.; Rotanova, K.Y.; Noskov, B.A. Silk Fibroin Self-Assembly at the Air—Water Interface. Colloids Interfaces 2024, 8, 35. [Google Scholar] [CrossRef]
- Qiao, X.; Miller, R.; Schneck, E.; Sun, K. Foaming Properties and the Dynamics of Adsorption and Surface Rheology of Silk Fibroin at the Air/Water Interface. Colloids Surfaces A Physicochem. Eng. Asp. 2020, 591, 124553. [Google Scholar] [CrossRef]
- Qiao, X.; Miller, R.; Schneck, E.; Sun, K. Influence of Salt Addition on the Surface and Foaming Properties of Silk Fibroin. Colloids Surfaces A Physicochem. Eng. Asp. 2021, 609, 125621. [Google Scholar] [CrossRef]
- Chen, P.; Kim, H.S.; Park, C.Y.; Kim, H.S.; Chin, I.J.; Jin, H.J. PH-Triggered Transition of Silk Fibroin from Spherical Micelles to Nanofibrils in Water. Macromol. Res. 2008, 16, 539–543. [Google Scholar] [CrossRef]
- Bykov, A.G.; Panaeva, M.A.; Milyaeva, O.Y.; Michailov, A.V.; Rafikova, A.R.; Guzman, E.; Rubio, R.; Miller, R.; Noskov, B.A. Structural Changes in Layers of Lipid Mixtures at Low Surface Tensions. Chem. Phys. Lipids 2024, 258, 105365. [Google Scholar] [CrossRef]
- Yang, Y.; Dicko, C.; Bain, C.D.; Gong, Z.; Jacobs, R.M.J.; Shao, Z.; Terry, A.E.; Vollrath, F. Behavior of Silk Protein at the Air-Water Interface. Soft Matter 2012, 8, 9705–9712. [Google Scholar] [CrossRef]
- Noskov, B.A.; Krycki, M.M. Formation of Protein / Surfactant Adsorption Layer as Studied by Dilational Surface Rheology. Adv. Colloid Interface Sci. 2017, 247, 81–99. [Google Scholar] [CrossRef]
- Noskov, B.; Mikhailovskaya, A. Adsorption Kinetics of Globular Proteins and Protein/Surfactant Complexes at the Liquid-Gas Interface. Soft Matter 2013, 9, 9392–9402. [Google Scholar] [CrossRef]
- Qiao, X.; Miller, R.; Schneck, E.; Sun, K. Effect of Surfactants on the Interfacial Viscoelasticity and Stability of Silk Fibroin at Different Oil–Water Interfaces. J. Sci. Food Agric. 2024, 104, 2928–2936. [Google Scholar] [CrossRef]
- Georgieva, D.; Cagna, A.; Langevin, D. Link between Surface Elasticity and Foam Stability. Soft Matter 2009, 5, 2063. [Google Scholar] [CrossRef]
- Langevin, D. Influence of Interfacial Rheology on Foam and Emulsion Properties. Adv. Colloid Interface Sci. 2000, 88, 209–222. [Google Scholar] [CrossRef] [PubMed]
- Qiao, X.; Wang, L.; Shao, Z.; Sun, K.; Miller, R. Stability and Rheological Behaviors of Different Oil/Water Emulsions Stabilized by Natural Silk Fibroin. Colloids Surfaces A Physicochem. Eng. Asp. 2015, 475, 84–93. [Google Scholar] [CrossRef]
- Liu, J.; Huang, R.; Li, G.; Kaplan, D.L.; Zheng, Z.; Wang, X. Generation of Nano-Pores in Silk Fibroin Films Using Silk Nanoparticles for Full-Thickness Wound Healing. Biomacromolecules 2021, 22, 546–556. [Google Scholar] [CrossRef]
- Wang, X.; Kim, H.J.; Xu, P.; Matsumoto, A.; Kaplan, D.L. Biomaterial Coatings by Stepwise Deposition of Silk Fibroin. Langmuir 2005, 21, 11335–11341. [Google Scholar] [CrossRef]
- Srihanam, P.; Srisuwan, Y.; Imsombut, T.; Baimark, Y. Silk Fibroin Microspheres Prepared by the Water-in-Oil Emulsion Solvent Diffusion Method for Protein Delivery. Korean J. Chem. Eng. 2011, 28, 293–297. [Google Scholar] [CrossRef]
- Noskov, B.A. Protein Conformational Transitions at the Liquid-Gas Interface as Studied by Dilational Surface Rheology. Adv. Colloid Interface Sci. 2014, 206, 222–238. [Google Scholar] [CrossRef]
- Milyaeva, O.; Bykov, A.; Miller, R. Characterization of Liquid Adsorption Layers Formed from Aqueous Polymer–Surfactant Solutions—Significant Contributions by Boris A. Noskov. Colloids Interfaces 2023, 7, 55. [Google Scholar] [CrossRef]
- Rockwood, D.N.; Preda, R.C.; Yücel, T.; Wang, X.; Lovett, M.L.; Kaplan, D.L. Materials Fabrication from Bombyx Mori Silk Fibroin. Nat. Protoc. 2011, 6, 1612–1631. [Google Scholar] [CrossRef]
- Mikhailovskaya, A.A.; Noskov, B.A.; Lin, S.-Y.; Loglio, G.; Miller, R. Formation of Protein/Surfactant Adsorption Layer at the Air/Water Interface as Studied by Dilational Surface Rheology. J. Phys. Chem. B 2011, 115, 9971–9979. [Google Scholar] [CrossRef]
- Ducharme, D.; Tessier, A.; Leblanc, R.M.R.M. Null Ellipsometer for the Studies of Thin Films at Gas-Water Interface. Rev. Sci. Instrum. 1987, 58, 571–578. [Google Scholar] [CrossRef]
- Motschmann, H.; Teppner, R. Ellipsometry in Interface Science. Stud. Interface Sci. 2001, 11, 1–42. [Google Scholar] [CrossRef]
- Kim, U.-J.; Park, J.; Li, C.; Jin, H.-J.; Valluzzi, R.; Kaplan, D.L. Structure and Properties of Silk Hydrogels. Biomacromolecules 2004, 5, 786–792. [Google Scholar] [CrossRef] [PubMed]
- Chirkov, N.S.; Campbell, R.A.; Michailov, A.V.; Vlasov, P.S.; Noskov, B.A. DNA Interaction with a Polyelectrolyte Monolayer at Solution—Air Interface. Polymers 2021, 13, 2820. [Google Scholar] [CrossRef]
- Campbell, R.A.; Tummino, A.; Varga, I.; Milyaeva, O.Y.; Krycki, M.M.; Lin, S.Y.; Laux, V.; Haertlein, M.; Forsyth, V.T.; Noskov, B.A. Adsorption of Denaturated Lysozyme at the Air-Water Interface: Structure and Morphology. Langmuir 2018, 34, 5020–5029. [Google Scholar] [CrossRef] [PubMed]
- Noskov, B.A.; Bykov, A.G. Dilational Rheology of Monolayers of Nano- and Micropaticles at the Liquid-Fluid Interfaces. Curr. Opin. Colloid Interface Sci. 2018, 37, 1–12. [Google Scholar] [CrossRef]






Disclaimer/Publisher’s Note: The statements, opinions and data contained in all publications are solely those of the individual author(s) and contributor(s) and not of MDPI and/or the editor(s). MDPI and/or the editor(s) disclaim responsibility for any injury to people or property resulting from any ideas, methods, instructions or products referred to in the content. |
© 2025 by the authors. Licensee MDPI, Basel, Switzerland. This article is an open access article distributed under the terms and conditions of the Creative Commons Attribution (CC BY) license (https://creativecommons.org/licenses/by/4.0/).
Share and Cite
Milyaeva, O.Y.; Miller, R.; Loglio, G.; Rafikova, A.R.; Wan, Z.; Noskov, B.A. Impact of Surfactants on Silk Fibroin Self-Assembly at the Air–Water Interface. Polymers 2025, 17, 529. https://doi.org/10.3390/polym17040529
Milyaeva OY, Miller R, Loglio G, Rafikova AR, Wan Z, Noskov BA. Impact of Surfactants on Silk Fibroin Self-Assembly at the Air–Water Interface. Polymers. 2025; 17(4):529. https://doi.org/10.3390/polym17040529
Chicago/Turabian StyleMilyaeva, O. Yu., R. Miller, G. Loglio, A. R. Rafikova, Z. Wan, and B. A. Noskov. 2025. "Impact of Surfactants on Silk Fibroin Self-Assembly at the Air–Water Interface" Polymers 17, no. 4: 529. https://doi.org/10.3390/polym17040529
APA StyleMilyaeva, O. Y., Miller, R., Loglio, G., Rafikova, A. R., Wan, Z., & Noskov, B. A. (2025). Impact of Surfactants on Silk Fibroin Self-Assembly at the Air–Water Interface. Polymers, 17(4), 529. https://doi.org/10.3390/polym17040529

