3D Porous Polycaprolactone with Chitosan-Graft-PCL Modified Surface for In Situ Tissue Engineering
Abstract
1. Introduction
2. Materials and Methods
2.1. Materials
2.1.1. Fabrication of Interconnected 3D-Porous Poly(ε-caprolactone)
2.1.2. CS-g-PCLx Synthesis
2.1.3. Surface Modification of Interconnected 3D-Porous Poly(ε-caprolactone)
2.2. Methods
2.2.1. Scanning Electron Microscopy (SEM)
2.2.2. Mercury Intrusion Porosimetry
2.2.3. X-Ray Microscopy (XRM)
2.2.4. Gel Permeation Chromatography (GPC)
2.2.5. Differential Scanning Calorimetry (DSC)
2.2.6. Proton Nuclear Magnetic Resonance (1H-NMR)
2.2.7. Confocal Laser Scanning Microscopy (CLSM)
2.2.8. Surface Potential
2.2.9. Loading and Release of TGF-β3
2.2.10. Enzyme-Linked Immunosorbent Assay (ELISA)
2.2.11. Sterilization
2.2.12. Cultivation of Human Mesenchymal Stromal Cells
2.2.13. Actin Cytoskeleton and DNA Staining
2.2.14. Vitality Assay
3. Results
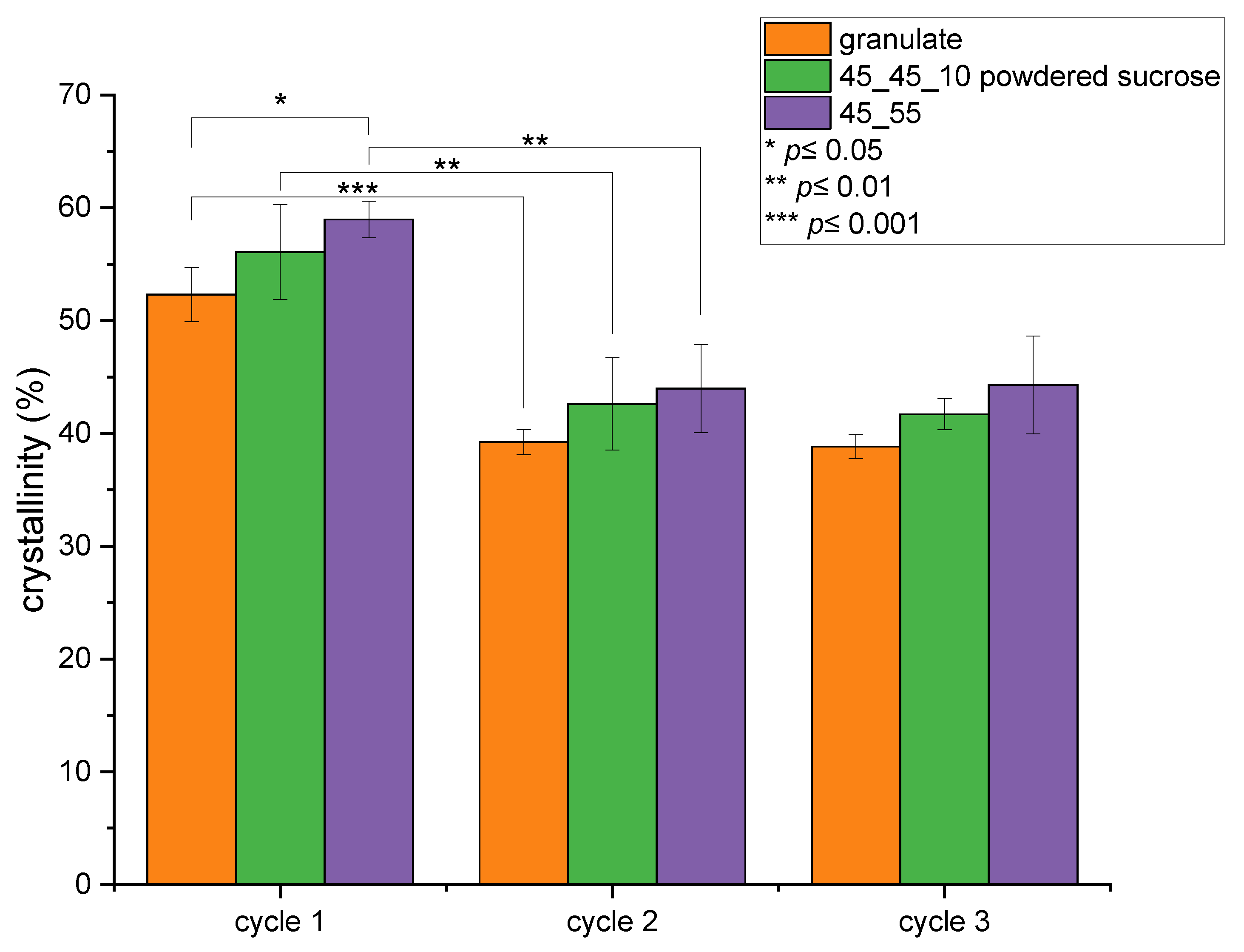
3.1. Interconnected 3D Porous Poly(ε-caprolactone)
3.2. Synthesis of CS-g-PCLx
3.3. Surface Modification via Self-Induced Crystallization
3.4. Surface Potential Analysis
3.5. TGF-β3 Release Monitoring of via ELISA
3.6. Cell Culture Vitality Assay
4. Discussion
5. Conclusions
Supplementary Materials
Author Contributions
Funding
Institutional Review Board Statement
Data Availability Statement
Acknowledgments
Conflicts of Interest
References
- GBD 2017 Disease and Injury Incidence and Prevalence Collaborators. Global, regional, and national incidence, prevalence, and years lived with disability for 354 diseases and injuries for 195 countries and territories, 1990-2017: A systematic analysis for the Global Burden of Disease Study 2017. Lancet 2018, 392, 1789–1858. [Google Scholar] [CrossRef] [PubMed]
- AlAbbasi, K.K.; AlRawi, M.; Elmaraghy, A. Repair of an Isolated Sternal Head Tear of the Myotendinous Junction of the Pectoralis Major Using Knotless Suture Anchors: Case Report and Literature Review. Cureus 2024, 16, e65806. [Google Scholar] [CrossRef] [PubMed]
- Weeks, K.D.; Dines, J.S.; Rodeo, S.A.; Bedi, A. The basic science behind biologic augmentation of tendon-bone healing: A scientific review. Instr. Course Lect. 2014, 63, 443–450. [Google Scholar] [PubMed]
- Shimozono, Y.; Hoberman, A.; Kennedy, J.G.; Takao, M. Arthroscopic Anterior Talofibular Ligament Repair with Use of a 2-Portal Technique. JBJS Essent. Surg. Tech. 2019, 9, e45. [Google Scholar] [CrossRef]
- Bougioukli, S.; Evans, C.H.; Alluri, R.K.; Ghivizzani, S.C.; Lieberman, J.R. Gene Therapy to Enhance Bone and Cartilage Repair in Orthopaedic Surgery. Curr. Gene Ther. 2018, 18, 154–170. [Google Scholar] [CrossRef]
- Baldino, L.; Cardea, S.; Maffulli, N.; Reverchon, E. Regeneration techniques for bone-to-tendon and muscle-to-tendon interfaces reconstruction. Br. Med. Bull. 2016, 117, 25–37. [Google Scholar] [CrossRef]
- Daly, W.; Yao, L.; Zeugolis, D.; Windebank, A.; Pandit, A. A biomaterials approach to peripheral nerve regeneration: Bridging the peripheral nerve gap and enhancing functional recovery. J. R. Soc. Interface 2012, 9, 202–221. [Google Scholar] [CrossRef]
- Engebretson, B.; Mussett, Z.; Williams, C.; Simmons, A.; Sikavitsas, V. Tendon Tissue Engineering. In Tendon Regeneration; Elsevier: Amsterdam, The Netherlands, 2015; pp. 321–347. ISBN 9780128015902. [Google Scholar]
- Holland, I.; Logan, J.; Shi, J.; McCormick, C.; Liu, D.; Shu, W. 3D biofabrication for tubular tissue engineering. Biodes. Manuf. 2018, 1, 89–100. [Google Scholar] [CrossRef]
- Laurent, C.P.; Ganghoffer, J.-F.; Babin, J.; Six, J.-L.; Wang, X.; Rahouadj, R. Morphological characterization of a novel scaffold for anterior cruciate ligament tissue engineering. J. Biomech. Eng. 2011, 133, 65001. [Google Scholar] [CrossRef]
- Sensini, A.; Massafra, G.; Gotti, C.; Zucchelli, A.; Cristofolini, L. Tissue Engineering for the Insertions of Tendons and Ligaments: An Overview of Electrospun Biomaterials and Structures. Front. Bioeng. Biotechnol. 2021, 9, 645544. [Google Scholar] [CrossRef]
- Song, R.; Murphy, M.; Li, C.; Ting, K.; Soo, C.; Zheng, Z. Current development of biodegradable polymeric materials for biomedical applications. Drug Des. Devel. Ther. 2018, 12, 3117–3145. [Google Scholar] [CrossRef] [PubMed]
- Peña, J.; Corrales, T.; Izquierdo-Barba, I.; Doadrio, A.L.; Vallet-Regí, M. Long term degradation of poly(ε-caprolactone) films in biologically related fluids. Polym. Degrad. Stab. 2006, 91, 1424–1432. [Google Scholar] [CrossRef]
- Sun, H.; Mei, L.; Song, C.; Cui, X.; Wang, P. The in vivo degradation, absorption and excretion of PCL-based implant. Biomaterials 2006, 27, 1735–1740. [Google Scholar] [CrossRef] [PubMed]
- Hahn, J.; Breier, A.; Brünig, H.; Heinrich, G. Long-term hydrolytic degradation study on polymer-based embroidered scaffolds for ligament tissue engineering. J. Ind. Text. 2018, 47, 1305–1320. [Google Scholar] [CrossRef]
- Fuoco, T.; Mathisen, T.; Finne-Wistrand, A. Minimizing the time gap between service lifetime and complete resorption of degradable melt-spun multifilament fibers. Polym. Degrad. Stab. 2019, 163, 43–51. [Google Scholar] [CrossRef]
- Emonts, C.; Bauer, B.; Pitts, J.; Roger, Y.; Hoffmann, A.; Menzel, H.; Gries, T. Mechanical, Biological and In Vitro Degradation Investigation of Braided Scaffolds for Tendon and Ligament Tissue Engineering Based on Different Polycaprolactone Materials with Chitosan-Graft-PCL Surface Modification. Polymers 2024, 16, 2349. [Google Scholar] [CrossRef]
- Lu, H.H.; Cooper, J.A.; Manuel, S.; Freeman, J.W.; Attawia, M.A.; Ko, F.K.; Laurencin, C.T. Anterior cruciate ligament regeneration using braided biodegradable scaffolds: In vitro optimization studies. Biomaterials 2005, 26, 4805–4816. [Google Scholar] [CrossRef]
- Laschke, M.W.; Harder, Y.; Amon, M.; Martin, I.; Farhadi, J.; Ring, A.; Torio-Padron, N.; Schramm, R.; Rücker, M.; Junker, D.; et al. Angiogenesis in tissue engineering: Breathing life into constructed tissue substitutes. Tissue Eng. 2006, 12, 2093–2104. [Google Scholar] [CrossRef]
- Archer, C.; Ralphs, J. Regenerative Medicine and Biomaterials for the Repair of Connective Tissues; Woodhead Publishing Limited: Sawston, UK, 2010; ISBN 978-1-84569-417-3. [Google Scholar]
- Pien, N.; van Vlierberghe, S.; Dubruel, P.; Mantovani, D. Hydrogel Processing Techniques and Vascular Tissue Engineering. In Injectable Hydrogels for 3D Bioprinting; Royal Society of Chemistry: London, UK, 2021; pp. 207–237. [Google Scholar]
- Woodruff, M.A.; Hutmacher, D.W. The return of a forgotten polymer—Polycaprolactone in the 21st century. Prog. Polym. Sci. 2010, 35, 1217–1256. [Google Scholar] [CrossRef]
- Darney, P.D.; Monroe, S.E.; Klaisle, C.M.; Alvarado, A. Clinical evaluation of the Capronor contraceptive implant: Preliminary report. Am. J. Obstet. Gynecol. 1989, 160, 1292–1295. [Google Scholar] [CrossRef]
- Ghavidel Mehr, N.; Hoemann, C.D.; Favis, B.D. Chitosan surface modification of fully interconnected 3D porous poly(ε-caprolactone) by the LbL approach. Polymer 2015, 64, 112–121. [Google Scholar] [CrossRef]
- Ghavidel Mehr, N.; Li, X.; Ariganello, M.B.; Hoemann, C.D.; Favis, B.D. Poly(ε-caprolactone) scaffolds of highly controlled porosity and interconnectivity derived from co-continuous polymer blends: Model bead and cell infiltration behavior. J. Mater. Sci. Mater. Med. 2014, 25, 2083–2093. [Google Scholar] [CrossRef] [PubMed]
- Jing, X.; Mi, H.-Y.; Cordie, T.; Salick, M.; Peng, X.-F.; Turng, L.-S. Fabrication of Porous Poly(ε-caprolactone) Scaffolds Containing Chitosan Nanofibers by Combining Extrusion Foaming, Leaching, and Freeze-Drying Methods. Ind. Eng. Chem. Res. 2014, 53, 17909–17918. [Google Scholar] [CrossRef]
- Huang, A.; Jiang, Y.; Napiwocki, B.; Mi, H.; Peng, X.; Turng, L.-S. Fabrication of poly(ε-caprolactone) tissue engineering scaffolds with fibrillated and interconnected pores utilizing microcellular injection molding and polymer leaching. RSC Adv. 2017, 7, 43432–43444. [Google Scholar] [CrossRef]
- Liu, D.; Nie, W.; Li, D.; Wang, W.; Zheng, L.; Zhang, J.; Zhang, J.; Peng, C.; Mo, X.; He, C. 3D printed PCL/SrHA scaffold for enhanced bone regeneration. Chem. Eng. J. 2019, 362, 269–279. [Google Scholar] [CrossRef]
- Bauer, B.; Emonts, C.; Pitts, J.; Buhl, E.M.; Eschweiler, J.; Hänsch, R.; Betsch, M.; Gries, T.; Menzel, H. Topographically and Chemically Enhanced Textile Polycaprolactone Scaffolds for Tendon and Ligament Tissue Engineering. Polymers 2024, 16, 488. [Google Scholar] [CrossRef]
- Hutmacher, D.W. Scaffolds in tissue engineering bone and cartilage. Biomaterials 2000, 21, 2529–2543. [Google Scholar] [CrossRef]
- Venugopal, J.; Ma, L.L.; Yong, T.; Ramakrishna, S. In vitro study of smooth muscle cells on polycaprolactone and collagen nanofibrous matrices. Cell Biol. Int. 2005, 29, 861–867. [Google Scholar] [CrossRef]
- Tallawi, M.; Rosellini, E.; Barbani, N.; Cascone, M.G.; Rai, R.; Saint-Pierre, G.; Boccaccini, A.R. Strategies for the chemical and biological functionalization of scaffolds for cardiac tissue engineering: A review. J. R. Soc. Interface 2015, 12, 20150254. [Google Scholar] [CrossRef]
- De Cassan, D.; Sydow, S.; Schmidt, N.; Behrens, P.; Roger, Y.; Hoffmann, A.; Hoheisel, A.L.; Glasmacher, B.; Hansch, R.; Menzel, H. Attachment of nanoparticulate drug-release systems on poly(epsilon-caprolactone) nanofibers via a graftpolymer as interlayer. Colloids Surf. B Biointerfaces 2018, 163, 309–320. [Google Scholar] [CrossRef]
- Sydow, S.; de Cassan, D.; Hänsch, R.; Gengenbach, T.R.; Easton, C.D.; Thissen, H.; Menzel, H. Layer-by-layer deposition of chitosan nanoparticles as drug-release coatings for PCL nanofibers. Biomater. Sci. 2018, 7, 233–246. [Google Scholar] [CrossRef] [PubMed]
- Cassan, D.; Becker, A.; Glasmacher, B.; Roger, Y.; Hoffmann, A.; Gengenbach, T.R.; Easton, C.D.; Hänsch, R.; Menzel, H. Blending chitosan-g-poly(caprolactone) with poly(caprolactone) by electrospinning to produce functional fiber mats for tissue engineering applications. J. Appl. Polym. Sci. 2020, 137, 48650. [Google Scholar] [CrossRef]
- Simpson, B.K.; Gagne, N.; Simpson, M.V. Bioprocessing of chitin and chitosan. In Fisheries Processing; Martin, A.M., Ed.; Springer US: Boston, MA, USA, 1994; pp. 155–173. ISBN 978-1-4613-7420-6. [Google Scholar]
- Minke, R.; Blackwell, J. The structure of alpha-chitin. J. Mol. Biol. 1978, 120, 167–181. [Google Scholar] [CrossRef] [PubMed]
- Lazaridou, M.; Moroni, S.; Klonos, P.; Kyritsis, A.; Bikiaris, D.N.; Lamprou, D.A. 3D-printed hydrogels based on amphiphilic chitosan derivative loaded with levofloxacin for wound healing applications. Int. J. Polym. Mater. 2025, 74, 67–84. [Google Scholar] [CrossRef]
- HPS, A.K.; Saurabh, C.K.; AS, A.; Nurul Fazita, M.R.; Syakir, M.I.; Davoudpour, Y.; Rafatullah, M.; Abdullah, C.K.; M Haafiz, M.K.; Dungani, R. A review on chitosan-cellulose blends and nanocellulose reinforced chitosan biocomposites: Properties and their applications. Carbohydr. Polym. 2016, 150, 216–226. [Google Scholar] [CrossRef]
- Kaş, H.S. Chitosan: Properties, preparations and application to microparticulate systems. J. Microencapsul. 1997, 14, 689–711. [Google Scholar] [CrossRef]
- Muxika, A.; Etxabide, A.; Uranga, J.; Guerrero, P.; De La Caba, K. Chitosan as a bioactive polymer: Processing, properties and applications. Int. J. Biol. Macromol. 2017, 105, 1358–1368. [Google Scholar] [CrossRef]
- Jayakumar, R.; Prabaharan, M.; Sudheesh Kumar, P.T.; Nair, S.V.; Tamura, H. Biomaterials based on chitin and chitosan in wound dressing applications. Biotechnol. Adv. 2011, 29, 322–337. [Google Scholar] [CrossRef]
- Li, J.; Cai, C.; Li, J.; Li, J.; Li, J.; Sun, T.; Wang, L.; Wu, H.; Yu, G. Chitosan-Based Nanomaterials for Drug Delivery. Molecules 2018, 23. [Google Scholar] [CrossRef]
- Li, C.; Yang, Y.; Zhang, R.; Wang, J.; Zhong, S.; Cui, X. Chitosan-gelatin composite hydrogel antibacterial film for food packaging. Int. J. Biol. Macromol. 2024, 285, 138330. [Google Scholar] [CrossRef]
- Prabaharan, M.; Rodriguez-Perez, M.A.; de Saja, J.A.; Mano, J.F. Preparation and characterization of poly(L-lactic acid)-chitosan hybrid scaffolds with drug release capability. J. Biomed. Mater. Res. Part B Appl. Biomater. 2007, 81, 427–434. [Google Scholar] [CrossRef] [PubMed]
- Nettles, D.L.; Elder, S.H.; Gilbert, J.A. Potential use of chitosan as a cell scaffold material for cartilage tissue engineering. Tissue Eng. 2002, 8, 1009–1016. [Google Scholar] [CrossRef] [PubMed]
- Levengood, S.L.; Zhang, M. Chitosan-based scaffolds for bone tissue engineering. J. Mater. Chem. B 2014, 2, 3161–3184. [Google Scholar] [CrossRef] [PubMed]
- Jing, X.; Mi, H.-Y.; Wang, X.-C.; Peng, X.-F.; Turng, L.-S. Shish-kebab-structured poly(ε-caprolactone) nanofibers hierarchically decorated with chitosan-poly(ε-caprolactone) copolymers for bone tissue engineering. ACS Appl. Mater. Interfaces 2015, 7, 6955–6965. [Google Scholar] [CrossRef]
- Sundermann, J.; Sydow, S.; Burmeister, L.; Hoffmann, A.; Menzel, H.; Bunjes, H. Spatially and Temporally Controllable BMP-2 and TGF-β3 Double Release from Polycaprolactone Fiber Scaffolds via Chitosan-Based Polyelectrolyte Coatings. ACS Biomater. Sci. Eng. 2022. [Google Scholar] [CrossRef]
- Mofazzal Jahromi, M.A.; Al-Musawi, S.; Pirestani, M.; Fasihi Ramandi, M.; Ahmadi, K.; Rajayi, H.; Mohammad Hassan, Z.; Kamali, M.; Mirnejad, R. Curcumin-loaded Chitosan Tripolyphosphate Nanoparticles as a safe, natural and effective antibiotic inhibits the infection of Staphylococcusaureus and Pseudomonas aeruginosa in vivo. Iran. J. Biotech. 2014, 12, 1–8. [Google Scholar] [CrossRef]
- Gaspar, V.M.; Sousa, F.; Queiroz, J.A.; Correia, I.J. Formulation of chitosan-TPP-pDNA nanocapsules for gene therapy applications. Nanotechnology 2011, 22, 15101. [Google Scholar] [CrossRef]
- Gan, Q.; Wang, T. Chitosan nanoparticle as protein delivery carrier--systematic examination of fabrication conditions for efficient loading and release. Colloids Surf. B Biointerfaces 2007, 59, 24–34. [Google Scholar] [CrossRef]
- Roger, Y.; Sydow, S.; Burmeister, L.; Menzel, H.; Hoffmann, A. Sustained release of TGF-β3 from polysaccharide nanoparticles induces chondrogenic differentiation of human mesenchymal stromal cells. Colloids Surf. B Biointerfaces 2020, 189, 110843. [Google Scholar] [CrossRef]
- Berten-Schunk, L.; Roger, Y.; Bunjes, H.; Hoffmann, A. Release of TGF-β3 from Surface-Modified PCL Fiber Mats Triggers a Dose-Dependent Chondrogenic Differentiation of Human Mesenchymal Stromal Cells. Pharmaceutics 2023, 15. [Google Scholar] [CrossRef]
- de Cassan, D.; Hoheisel, A.L.; Glasmacher, B.; Menzel, H. Impact of sterilization by electron beam, gamma radiation and X-rays on electrospun poly-(ε-caprolactone) fiber mats. J. Mater. Sci. Mater. Med. 2019, 30, 42. [Google Scholar] [CrossRef] [PubMed]
- Tiwari, A.; Raj, B. Reactions and Mechanisms in Thermal Analysis of Advanced Materials; John Wiley & Sons:: Hoboken, NJ, USA; Scrivener Publishing:: Hoboken, NJ, USA; Salem, MA, USA, 2015; ISBN 1119117690. [Google Scholar]
- Wojciechowski, K.; Klodzinska, E. Zeta potential study of biodegradable antimicrobial polymers. Colloids Surf. A: Physicochem. Eng. Asp. 2015, 483, 204–208. [Google Scholar] [CrossRef]
- Metwally, S.; Ferraris, S.; Spriano, S.; Krysiak, Z.J.; Kaniuk, Ł.; Marzec, M.M.; Kim, S.K.; Szewczyk, P.K.; Gruszczyński, A.; Wytrwal-Sarna, M.; et al. Surface potential and roughness controlled cell adhesion and collagen formation in electrospun PCL fibers for bone regeneration. Mater. Des. 2020, 194, 108915. [Google Scholar] [CrossRef]
- Paul, D.R. Polymer Blends Volume 1; Elsevier Science: Saint Louis, MI, USA, 2014; ISBN 9780323138895. [Google Scholar]
- Szentivanyi, A.L.; Zernetsch, H.; Menzel, H.; Glasmacher, B. A review of developments in electrospinning technology: New opportunities for the design of artificial tissue structures. Int. J. Artif. Organs 2011, 34, 986–997. [Google Scholar] [CrossRef]
- Luyt, A.S.; Gasmi, S. Influence of blending and blend morphology on the thermal properties and crystallization behaviour of PLA and PCL in PLA/PCL blends. J. Mater. Sci. 2016, 51, 4670–4681. [Google Scholar] [CrossRef]
- Barry, F.; Boynton, R.E.; Liu, B.; Murphy, J.M. Chondrogenic differentiation of mesenchymal stem cells from bone marrow: Differentiation-dependent gene expression of matrix components. Exp. Cell Res. 2001, 268, 189–200. [Google Scholar] [CrossRef]
- Mueller, M.B.; Fischer, M.; Zellner, J.; Berner, A.; Dienstknecht, T.; Prantl, L.; Kujat, R.; Nerlich, M.; Tuan, R.S.; Angele, P. Hypertrophy in mesenchymal stem cell chondrogenesis: Effect of TGF-beta isoforms and chondrogenic conditioning. Cells Tissues Organs 2010, 192, 158–166. [Google Scholar] [CrossRef]
- Meier, N.; Menzel, H. Multifunctional use of casein as release system and blocking layer for implant coatings. In Proceedings of the SPhERe Proceedings: 4th International Symposium on Pharmaceutical Engineering Research, Braunschweig, Germany, 15–17 September 2021. [Google Scholar] [CrossRef]











| No. | PCL | PEO | CS-g-PCL56 | Fine Sucrose (F) | Powdered Sucrose (P) | NaCl | Temperature [°C] | Processability |
|---|---|---|---|---|---|---|---|---|
| 1 | 45 | 55 | / | / | / | / | 100 | Very good |
| 2 | 50 | 50 | / | / | / | / | 100 | Very good |
| 3 | 55 | 45 | / | / | / | / | 100 | Very good |
| 4 | 40 | 55 | 5 | / | / | / | 100 | Decent (granulose) |
| 5 | 35 | 55 | 10 | / | / | / | 100 | Decent (granulose) |
| 6 | 25 | 55 | 20 | / | / | / | 100 | Decent (granulose) |
| 7 | 35 | / | / | 65 | / | / | 175 | Very good |
| 8 | 45 | / | / | 55 | / | / | 175 | Very good |
| 9 | 55 | / | / | 45 | / | / | 175 | Very good |
| 10 | 45 | 50 | / | 5 | / | / | 100 | Very good |
| 11 | 45 | 45 | / | 10 | / | / | 100 | Very good |
| 12 | 45 | 25 | / | 30 | / | / | 100 | Not processible |
| 13 | 45 | / | / | / | 55 | / | 175 | Very good |
| 14 | 45 | 45 | / | / | 10 | / | 100 | Very good |
| 15 | 45 | 50 | / | / | / | 5 | 100 | Good (slightly granulose) |
| 16 | 45 | 45 | / | / | / | 10 | 100 | Good (slightly granulose) |
| 17 | 35 | 45 | / | / | / | 20 | 100 | Decent (granulose) |
| 18 | 45 | 25 | / | / | / | 30 | 100 | Not processible |
| No. | CS [mg] | ε-Caprolactone [mL] | Yield [g] | Theoretical x in CS-g-PCLx | Calculated x in CS-g-PCLx via 1H-NMR [48] |
|---|---|---|---|---|---|
| 1 | 350 | 5.3 | 4.80 | 24 | 29 |
| 2 | 350 | 15.9 | 12.07 | 72 | 56 |
| Processing Step | Mn [kDa] | Mw [kDa] |
|---|---|---|
| granulate | 104 ± 2 | 173 ± 4 |
| 45_55 scaffold | 97 ± 2 | 175 ±4 |
| 45_55 scaffold sterile | 103 ± 3 | 178 ± 2 |
Disclaimer/Publisher’s Note: The statements, opinions and data contained in all publications are solely those of the individual author(s) and contributor(s) and not of MDPI and/or the editor(s). MDPI and/or the editor(s) disclaim responsibility for any injury to people or property resulting from any ideas, methods, instructions or products referred to in the content. |
© 2025 by the authors. Licensee MDPI, Basel, Switzerland. This article is an open access article distributed under the terms and conditions of the Creative Commons Attribution (CC BY) license (https://creativecommons.org/licenses/by/4.0/).
Share and Cite
Pitts, J.; Hänsch, R.; Roger, Y.; Hoffmann, A.; Menzel, H. 3D Porous Polycaprolactone with Chitosan-Graft-PCL Modified Surface for In Situ Tissue Engineering. Polymers 2025, 17, 383. https://doi.org/10.3390/polym17030383
Pitts J, Hänsch R, Roger Y, Hoffmann A, Menzel H. 3D Porous Polycaprolactone with Chitosan-Graft-PCL Modified Surface for In Situ Tissue Engineering. Polymers. 2025; 17(3):383. https://doi.org/10.3390/polym17030383
Chicago/Turabian StylePitts, Johannes, Robert Hänsch, Yvonne Roger, Andrea Hoffmann, and Henning Menzel. 2025. "3D Porous Polycaprolactone with Chitosan-Graft-PCL Modified Surface for In Situ Tissue Engineering" Polymers 17, no. 3: 383. https://doi.org/10.3390/polym17030383
APA StylePitts, J., Hänsch, R., Roger, Y., Hoffmann, A., & Menzel, H. (2025). 3D Porous Polycaprolactone with Chitosan-Graft-PCL Modified Surface for In Situ Tissue Engineering. Polymers, 17(3), 383. https://doi.org/10.3390/polym17030383

