Substituting Fossil-Based into Bio-Based Isocyanates for Resin and Dispersion Polyurethane Coatings: Evaluation of Thermal, Mechanical, and Chemical Performance
Abstract
1. Introduction
2. Materials and Methods
2.1. Materials
2.2. Coating Formulation
2.3. Characterization Methods
3. Results
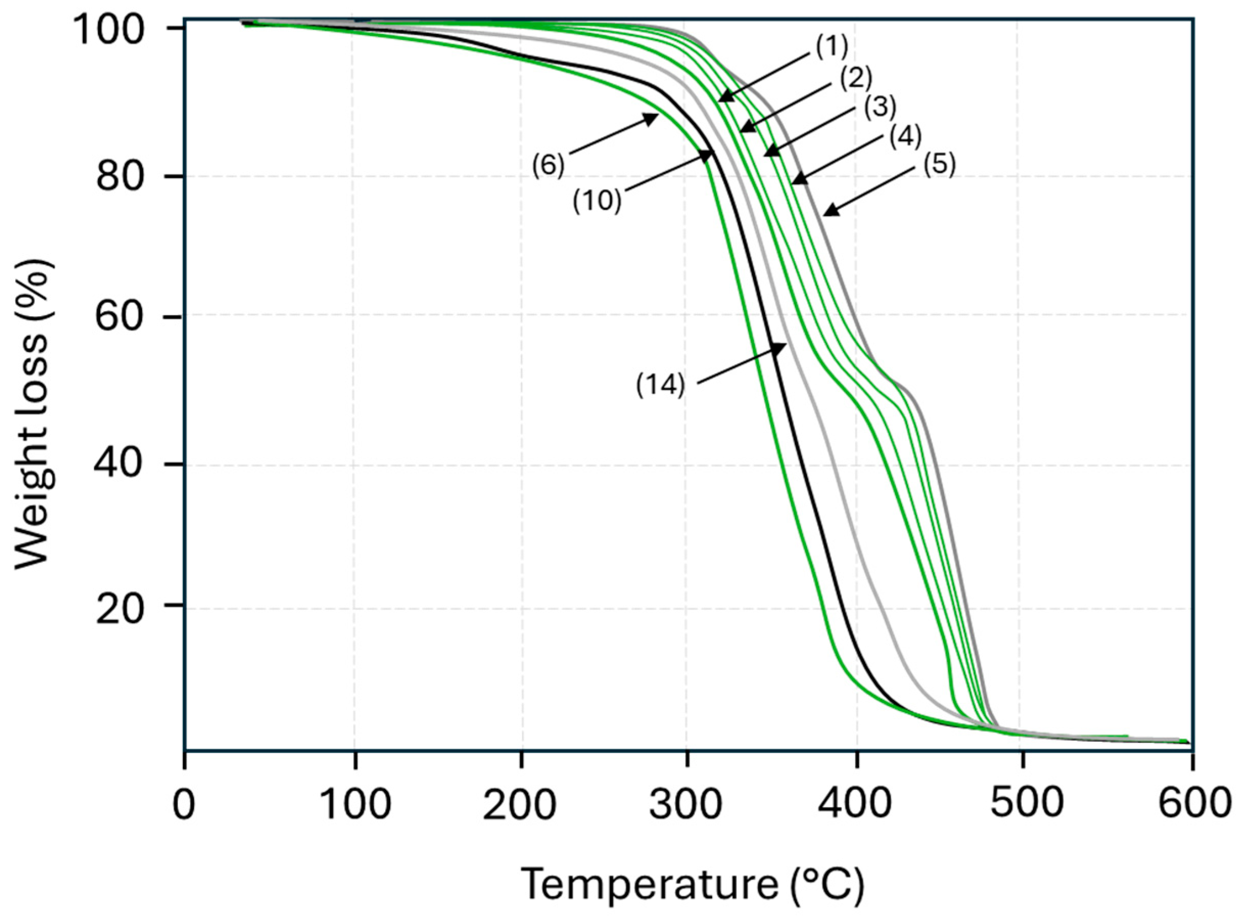
3.1. Thermal Evaluation
3.2. Mechanical Evaluation
3.3. Optical Evaluation
3.4. Hydrophobic Evaluation
3.5. FTIR Spectroscopy
4. Conclusions
Supplementary Materials
Author Contributions
Funding
Institutional Review Board Statement
Data Availability Statement
Acknowledgments
Conflicts of Interest
References
- Golling, F.E.; Pires, R.; Hecking, A.; Weikard, J.; Richter, F.; Danielmeier, K.; Dijkstra, D. Polyurethanes for coatings and adhesives—Chemistry and applications. Polym. Int. 2018, 68, 848–855. [Google Scholar] [CrossRef]
- Chattopadhyay, D.K.; Raju, K.V.S.N. Structural engineering of polyurethane coatings for high performance applications. Prog. Polym. Sci. 2007, 32, 352–418. [Google Scholar] [CrossRef]
- Noreen, A.; Zia, K.M.; Zuber, M.; Tabasum, S.; Zahoor, A.F. Bio-based polyurethane: An efficient and environment friendly coating system: A Review. Prog. Org. Coat. 2016, 91, 25–32. [Google Scholar] [CrossRef]
- Hai, T.A.P.; Tessman, M.; Neelakantan, N.; Samoylov, A.A.; Ito, Y.; Rajput, B.S.; Pourahmady, N.; Burkart, M.D. Renewable Polyurethanes from Sustainable Biological Precursors. Biomacromolecules 2021, 22, 1770–1794. [Google Scholar] [CrossRef] [PubMed]
- Llevot, A.; Meier, M. Perspective: Green polyurethane synthesis for coating applications. Polym. Int. 2018, 68, 826–831. [Google Scholar] [CrossRef]
- Gao, J.; Li, H.; Zhang, Y.; Fei, W. Non-phosgene synthesis of isocyanates based on CO2: Synthesis of methyl N-phenyl carbamate through coupling route with lead compound catalysts. Catal. Today 2009, 148, 378–382. [Google Scholar] [CrossRef]
- Niesiobedzka, J.; Datta, J. Challenges and recent advances in bio-based isocyanate production. Green Chem. 2023, 25, 2482–2504. [Google Scholar] [CrossRef]
- Vargas, J.A.; Mandrekar, K.S.; Echemendia, R.; Burtoloso, A.C.B. Innovations in isocyanate synthesis for a sustainable future. Org. Biomol. Chem. 2025, 23, 487–505. [Google Scholar] [CrossRef]
- Gao, J.; Li, H.; Zhang, Y.; Fei, W. Bio-based polyurethane coatings: Pioneering efficient and eco-friendly solutions for sustainable applications. J. Res. Technol. Eng. 2024, 5, 103–127. [Google Scholar]
- Mucci, V.; Hormaiztegui, V.; Amalvy, J.I.; Aranguren, M.I. Formulation, structure and properties of waterborne polyurethane coatings: A brief review. J. Adhes. Sci. Technol. 2023, 38, 489–516. [Google Scholar] [CrossRef]
- Santamaria-Echart, A.; Fernandes, I.; Barreiro, F.; Corcuera, M.A.; Eceiza, A. Advances in waterborne polyurethane and polyurethane-urea dispersions and their eco-friendly derivatives: A review. Polymers 2021, 13, 409. [Google Scholar] [CrossRef]
- Jayalath, P.; Ananthakrishnan, K.; Jeong, S.; Shibu, R.P.; Zhang, M.; Kumar, D.; Yoo, C.G.; Shamshina, J.L.; Therasme, O. Bio-based polyurethane materials: Technical, environmental, and economic insights. Processes 2025, 13, 1591. [Google Scholar] [CrossRef]
- Wray, H.E.; Luzzi, S.; D’Arrigo, P.; Griffini, G. Life cycle environmental impact considerations in the design of novel biobased polyurethane coatings. ACS Sustain. Chem. Eng. 2023, 11, 8065–8074. [Google Scholar] [CrossRef]
- Li, W.; Li, H.; Wu, C.; Han, B.; Ouyang, P.; Chen, K. An effective synthesis of bio-based pentamethylene diisocyanate in a jet loop reactor. Chem. Eng. J. 2021, 425, 131527. [Google Scholar] [CrossRef]
- He, F.; Tang, Y.; Lu, Z.; Hu, Q.; Yang, Y.; Li, G.; Li, H.; Chen, K. An effective purification of double-effect distillation for bio-based pentamethylene diisocyanate. RSC Adv. 2023, 13, 31518–31527. [Google Scholar] [CrossRef]
- Yang, Y.; Hiu, Q.; He, F.; Ma, P.; Li, G.; Li, H.; Chen, K. Reducing high-molecular-weight oligomers in biobased pentamethylene diisocyanate trimers. Ind. Eng. Chem. Res. 2024, 63, 10482–10491. [Google Scholar] [CrossRef]
- Konieczny, J.; Loos, K. Green polyurethanes from renewable isocyanates and biobased white dextrins. Polymers 2019, 11, 256. [Google Scholar] [CrossRef] [PubMed]
- Morales-Cerrada, R.; Tavernier, R.; Caillol, S. Fully bio-based thermosetting polyurethanes from bio-based polyols and isocyanates. Polymers 2021, 13, 1255. [Google Scholar] [CrossRef] [PubMed]
- Zeng, J.; Yang, Y.; Tang, Y.; Xu, X.; Chen, X.; Li, G.; Chen, K.; Li, H.; Ouyang, P.; Tan, W.; et al. Synthesis, monomer removal, modification, and coating performances of biobased pentamethylene diisocyanate isocyanurate Trimer. Ind. Eng. Chem. Res. 2022, 61, 2403–2416. [Google Scholar] [CrossRef]
- Feng, J.; Lu, Q.; Tan, W.; Chen, K.; Ouyang, P. The influence of the NCO/OH ratio and the 1,6-hexanediol/dimethylol propionic acid molar ratio on the properties of waterborne polyurethane dispersions based on 1,5-pentamethylene diisocyanate. Front. Chem. Sci. Eng. 2019, 13, 80–89. [Google Scholar] [CrossRef]
- Abrahamsen, G.M.; Lequeux, Z.A.B.; Kemp, L.K.; Wedgeworth, D.N.; Rawlins, J.W.; Newman, J.K.; Morgan, S.E. Morphology control in waterborne polyurethane dispersion nanocomposites through tailored structure, formulation, and processing. Langmuir 2025, 41, 10383–10393. [Google Scholar] [CrossRef]
- Pandya, H.; Mahanwar, P. Fundamental insight into anionic aqueous polyurethane dispersions. Adv. Ind. Eng. Polym. Res. 2020, 3, 102–110. [Google Scholar] [CrossRef]
- ASTM D4060-10; Standard Test Method for Abrasion Testing of Organic Coatings by the Taber Abraser. ASTM International: West Conshohocken, PA, USA, 2015.
- ASTM D2240-15; Standard Test Method for Rubber Property—Durometer Hardness. ASTM International: West Conshohocken, PA, USA, 2017.
- ISO 4586-2; High-Pressure Decorative Laminates (HPL, HPDL)—Sheets Based on Thermosetting Resins (Usually Called Laminates). Part 2: Determination of Properties. International Standards Organization: Geneva, Switzerland, 2015.
- ISO 2813; Paints and Varnishes—Determination of Gloss Value at 20°, 60° and 85°. International Standards Organization: Geneva, Switzerland, 2014.
- ISO 19403-2; Paints and Varnishes—Wettability. Part 2: Determination of the Surface Free Energy of Solid Surfaces by Measuring the Contact Angle. International Standards Organization: Geneva, Switzerland, 2024.
- Tramontano, V.J.; Blank, W.J. Crosslinking of waterborne polyurethane dispersions. J. Coat. Technol. 1995, 67, 89–99. [Google Scholar]
- Tennebroek, R.; van der Hoeven, I.; Swaans, R.; van der Slot, S.; Stals, P.J.M.; Tuijtelaars, B.; Koning, K. Water-based polyurethane dispersions. Polym. Int. 2018, 68, 832–842. [Google Scholar] [CrossRef]
- Ristić, I.; Cakić, S.; Vukić, N.; Teofilović, V.; Tanasić, J.; Pilić, B. The influence of soft segment structure on the properties of polyurethanes. Polymers 2023, 15, 3755. [Google Scholar] [CrossRef] [PubMed]
- Zhang, C.; Zhang, M.; Li, B.G. Effect of soft segment structure on properties of polyurethane elastomers. CIESC J. 2019, 70, 4043–4051. [Google Scholar]
- Becker, R.; Scholz, P.; Jung, C.; Weidner, S. Thermal desorption gas chromatography-mass spectrometry for investigating the thermal degradation of polyurethanes. Anal. Methods 2023, 15, 1979–1984. [Google Scholar] [CrossRef]
- Ketata, N.; Sanglar, C.; Waton, H.; Alamercery, S.; Delolme, F.; Raffin, G.; Grenier-Loustalot, M.F. Thermal degradation of polyurethane bicomponent systems in controlled atmospheres. Polym. Polym. Comp. 2005, 13, 1–26. [Google Scholar] [CrossRef]
- Fu, H.; Liu, K.; Yan, C.; Chen, W.; Wang, Y. Phase morphology and mechanical properties of aliphatic waterborne polyurethane-ureas: Effect of 1,6-hexamethylene diisocyanate (HDI)/isophorone diisocyanate (IPDI) ratio. Polym. Polym. Comp. 2015, 23, 157–166. [Google Scholar] [CrossRef]
- Oprea, S. Effect of structure on the thermal stability of curable polyester urethane urea acrylates. Polym. Degrad. Stab. 2002, 75, 9–15. [Google Scholar] [CrossRef]
- Woodard, L.N.; Grunlan, M.A. Hydrolytic Degradation and Erosion of Polyester Biomaterials. ACS Macro Lett. 2018, 7, 976–982. [Google Scholar] [CrossRef] [PubMed]
- Vargas-Suárez, M.; Fernández-Cruz, V.; Loza-Tavera, H. Biodegradation of polyacrylic and polyester polyurethane coatings by enriched microbial communities. Appl. Microbiol. Biotechnol. 2019, 103, 3225–3236. [Google Scholar] [CrossRef]
- Patti, A.; Acierno, D. Structure-property relationships of waterborne polyurethane (WPU) in aqueous formulations. J. Vinyl Add. Technol. 2023, 29, 589–606. [Google Scholar] [CrossRef]
- Urban, M.W.; Allison, C.L.; Finch, C.C.; Tatro, B.A. Interfacial studies of crosslinked urethanes: Part III. Structure-property relationships in polyester waterborne polyurethanes. J. Coat. Technol. 1999, 71, 75–85. [Google Scholar] [CrossRef]
- Korley, L.T.J.; Pate, B.D.; Thomas, E.L.; Hammond, P.T. Effect of the degree of soft and hard segment ordering on the morphology and mechanical behavior of semicrystalline segmented polyurethanes. Polymer 2006, 47, 3073–3082. [Google Scholar] [CrossRef]
- Zhang, Z.; Ni, N.; Xu, Y. Effects of different polyols with functions on the properties of polyester polyol-based polyurethane coatings. Coatings 2025, 15, 61. [Google Scholar] [CrossRef]
- Romero-Sabat, G.; Granda, L.A.; Medel, S. Synthesis of UV-curable polyurethane-acrylate hybrids with tuneable hardness and viscoelastic properties. Mater. Adv. 2022, 3, 5118–5130. [Google Scholar] [CrossRef]
- Chatterjee, S.; Peng, H.S. Advanced polymeric materials-based on waterborne polyurethane-acrylic hybrids. Int. J. Res. Eng. Sci. 2025, 13, 47–56. [Google Scholar]
- Ryntz, R.A.; Abell, B.D.; Pollano, G.M.; Nguyen, L.H.; Shen, W.C. Scratch resistance behavior of model coating systems. J. Coat. Technol. 2000, 72, 47–53. [Google Scholar] [CrossRef]
- Barletta, M.; Pezzola, S.; Vesco, S.; Tagliaferri, V.; Trovalusci, F. Experimental evaluation of plowing and scratch hardness of aqueous two-component polyurethane (2K-PUR) coatings on glass and polycarbonate. Prog. Org. Coat. 2014, 77, 636–645. [Google Scholar] [CrossRef]
- Gomez, I.J.; Wu, J.; Roper, J.; Beckham, H.; Meredith, J.C. High throughput screening of mechanical properties and scratch resistance of tricomponent polyurethane coatings. ACS Appl. Polym. Mater. 2019, 1, 3064–3073. [Google Scholar] [CrossRef]
- Skaja, A.; Fernando, D.; Croll, S. Mechanical property changes and degradation during accelerated weathering of polyester-urethane coatings. J. Coat. Technol. Res. 2006, 3, 41–51. [Google Scholar] [CrossRef]
- Ziolkowska, J. Polyurethane coatings and methods of examination of their properties. In Proceedings of the 23rd International Conference Engineering Mechanics, Svratka, Czech Republic, 15–18 May 2017. [Google Scholar]
- Sokolska, J.; Ptak, A. Abrasive and erosive wear behavior of elastomeric polyurethane coatings: Effect of grain size. Coatings 2024, 14, 1611. [Google Scholar] [CrossRef]
- Curtzwiler, G.; Early, M.; Gottschalk, D.; Konecki, C.; Peterson, R.; Wand, S.; Rawlins, J.W. But which one? Part I: Understanding glass transition temperature in coatings. J. Coat. Technol. 2014, 11, 28–38. [Google Scholar]
- Pugar, J.A.; Childs, C.M.; Huang, C.; Haider, K.W.; Washburn, N.R. Elucidating the physicochemical basis of the glass transition temperature in linear polyurethane elastomers with machine learning. J. Phys. Chem. B 2020, 124, 9722–9733. [Google Scholar] [CrossRef]
- Qiu, F.; Zhang, J.; Wu, D.; Zhang, Q.; Yang, D. Preparation, characterisation and mechanical properties of environmentally friendly waterborne polyurethane and polyurethane-acrylate. Polym. Polym. Comp. 2009, 17, 521–527. [Google Scholar] [CrossRef]
- Liu, X.; Xu, K.; Liu, H.; Cai, H.; Su, J.; Fu, Z.; Guo, Y.; Chen, M. Preparation and properties of waterborne polyurethanes with natural dimer fatty acids based polyester polyol as soft segment. Prog. Org. Coat. 2011, 72, 612–620. [Google Scholar] [CrossRef]
- Song, L.; Zhu, T.; Yuan, L.; Zhou, J.; Zhang, Y.; Wang, Z.; Tang, C. Ultra-strong long-chain polyamide elastomers with programmable supramolecular interactions and oriented crystalline microstructures. Nat. Commun. 2019, 10, 1315. [Google Scholar] [CrossRef]
- Kojio, K.; Nozaki, S.; Takahara, A.; Yamasaki, S. Influence of chemical structure of hard segments on physical properties of polyurethane elastomers: A review. J. Polym. Res. 2020, 27, 140. [Google Scholar] [CrossRef]
- Hepburn, C. Property-structure relationships in polyurethanes. In Polyurethane Elastomers; Hepburn, C., Ed.; Springer: Berlin/Heidelberg, Germany, 1992; pp. 51–106. [Google Scholar]
- Pierozan, G.; Bianchi, O. Assessing the miscibility of synthetic and natural polyols through Hansen solubility parameters for polyurethane formulations. Polym. Eng. Sci. 2025, 65, 4990–5006. [Google Scholar] [CrossRef]
- Brozska, J.; Datta, J.; Konefal, R.; Pokorny, V.; Benes, H. The influence of bio-based monomers on the structure and thermal properties of polyurethanes. Sci. Rep. 2024, 14, 29042. [Google Scholar] [CrossRef]
- Ghobashy, M.M.; Abdeen, Z.I. Radiation crosslinking of polyurethanes: Characterization by FTIR, TGA, SEM, XRD, and Raman spectroscopy. J. Polym. 2016, 1, 9802514. [Google Scholar] [CrossRef]
- Elidrissi, A.; Krim, O.; Ouslimane, S.; Berrabeh, M.; Touzani, R. Synthesis, characterisation, and chemical degradation of segmented polyurethanes with butylamine for chemical recycling. J. Appl. Polym. Sci. 2007, 105, 1623–1631. [Google Scholar] [CrossRef]
- Palle, I.; Lodin, V.; Mohd Yunus, A.A.; Lee, S.H.; Md Tahir, P.; Hori, N.; Antov, P.; Takemura, A. Effects of NCO/OH ratios on bio-based polyurethane film properties made from acacia mangium liquefied wood. Polymers 2023, 15, 1154. [Google Scholar] [CrossRef]
- Smith, B.C. Infrared spectroscopy of polymers XIII: Polyurethanes. Spectroscopy 2023, 38, 14–16. [Google Scholar] [CrossRef]
- Brzeska, J.; Elert, A.M.; Morawska, M.; Sikorska, W.; Kowalczuk, M.; Rutkowska, M. Branched polyurethanes based on synthetic polyhydroxybutyrate with tunable structure and properties. Polymers 2018, 10, 826. [Google Scholar] [CrossRef]
- Bandekar, J.; Klima, S. FT-IR spectroscopic studies of polyurethanes Part I. Bonding between urethane C-O-C groups and the NH Groups. J. Molec. Struct. 1991, 263, 45–57. [Google Scholar] [CrossRef]
- Mayer-Trzaskowska, P.; Ferraris, M.; Perero, S.; Robakowska, M. The influence of the addition of rubber waste on the properties of polyurethane coatings subjected to aging processes. Coatings 2025, 15, 677. [Google Scholar] [CrossRef]
- Rossi, S.; Fedel, M.; Petrolli, S.; Deflorian, F. Accelerated weathering and chemical resistance of polyurethane powder coatings. J. Coat. Technol. Res. 2016, 13, 427–437. [Google Scholar] [CrossRef]












| Sample | Polyurethane Resin Coatings (PU) | Polyurethane Dispersion Coatings (PUD) | |||||
|---|---|---|---|---|---|---|---|
| PDI-1 | HDI-1 | Polyester Polyol A | PDI-2 | HDI-2 | HDI-3 | Polyacrylate Polyol B | |
| 1 | 1.00 | - | 1 | ||||
| 2 | 0.75 | 0.25 | 1 | ||||
| 3 | 0.50 | 0.50 | 1 | ||||
| 4 | 0.25 | 0.75 | 1 | ||||
| 5 | - | 1.00 | 1 | ||||
| 6 | 1.00 | - | 1 | ||||
| 7 | 0.75 | 0.25 | 1 | ||||
| 8 | 0.50 | 0.50 | 1 | ||||
| 9 | 0.25 | 0.75 | 1 | ||||
| 10 | - | 1.00 | 1 | ||||
| 6′ (a) | 1.00 | - | 1 | ||||
| 11 | 0.75 | 0.25 | 1 | ||||
| 12 | 0.50 | 0.50 | 1 | ||||
| 13 | 0.25 | 0.75 | 1 | ||||
| 14 | - | 1.00 | 1 | ||||
| Sample | Average Surface Roughness Sa (µm) | Crack Density (Number of Regions) | Sample | Average Surface Roughness Sa (µm) | Crack Density (Number of Regions) |
|---|---|---|---|---|---|
| 1 | 0.283 | 205 | 6 | 0.30 | 281 |
| 2 | 0.337 | 354 | 7 | 0.34 | 435 |
| 3 | 0.358 | 368 | 8 | 0.43 | 463 |
| 4 | 0.378 | 380 | 9 | 0.56 | 500 |
| 5 | 0.419 | 398 | 10 | 0.79 | 508 |
| 11 | 0.67 | 392 | |||
| 12 | 0.75 | 402 | |||
| 13 | 0.88 | 451 | |||
| 14 | 0.93 | 464 | |||
Disclaimer/Publisher’s Note: The statements, opinions and data contained in all publications are solely those of the individual author(s) and contributor(s) and not of MDPI and/or the editor(s). MDPI and/or the editor(s) disclaim responsibility for any injury to people or property resulting from any ideas, methods, instructions or products referred to in the content. |
© 2025 by the authors. Licensee MDPI, Basel, Switzerland. This article is an open access article distributed under the terms and conditions of the Creative Commons Attribution (CC BY) license (https://creativecommons.org/licenses/by/4.0/).
Share and Cite
Samyn, P.; Cosemans, P. Substituting Fossil-Based into Bio-Based Isocyanates for Resin and Dispersion Polyurethane Coatings: Evaluation of Thermal, Mechanical, and Chemical Performance. Polymers 2025, 17, 3301. https://doi.org/10.3390/polym17243301
Samyn P, Cosemans P. Substituting Fossil-Based into Bio-Based Isocyanates for Resin and Dispersion Polyurethane Coatings: Evaluation of Thermal, Mechanical, and Chemical Performance. Polymers. 2025; 17(24):3301. https://doi.org/10.3390/polym17243301
Chicago/Turabian StyleSamyn, Pieter, and Patrick Cosemans. 2025. "Substituting Fossil-Based into Bio-Based Isocyanates for Resin and Dispersion Polyurethane Coatings: Evaluation of Thermal, Mechanical, and Chemical Performance" Polymers 17, no. 24: 3301. https://doi.org/10.3390/polym17243301
APA StyleSamyn, P., & Cosemans, P. (2025). Substituting Fossil-Based into Bio-Based Isocyanates for Resin and Dispersion Polyurethane Coatings: Evaluation of Thermal, Mechanical, and Chemical Performance. Polymers, 17(24), 3301. https://doi.org/10.3390/polym17243301

