The Influence of Furfuryl Resin Type—Classical and Designed for Sand 3D Printing—On Cast Iron Casting Microstructure and Surface Roughness
Abstract
1. Introduction
2. Materials and Methods
2.1. Materials
- Furfuryl resin, with the presence of free formaldehyde in the range of 0.12–0.14%; the amount of furfuryl alcohol was 75% (classic furfuryl resin).
- Hardener—an aqueous solution of paratoluenesulfonic acid (classic hardener).
- Furfuryl resin designed for 3D printing, with furfuryl alcohol content between 70 and 90%.
- A hardener designed for 3D printing, sulfuric acid solution paratoluenesulfonic acid (containing a maximum of 5% H2SO4).
2.2. Methods
- X Print speed: 0.3 m/s;
- Y Print speed: 0.3 m/s;
- Printhead clean after: 4 layers;
- Recoater speed: 100 mm/s;
- Sanding time: 0.6 s;
- Sanding layers: 5;
- Recoater vibration/Blade rotation: 4600 rpm;
- Resolution: 0.06 mm;
- Layer thickness: 0.32 mm.
3. Results
3.1. Simulation of the Cooling and Solidification Process of Castings
3.1.1. Simulation of Temperature Distribution During the Casting Process
3.1.2. Simulation of Liquid Metal Flow Velocity During the Pouring Process
3.1.3. Simulation of Solidification and Crystallization—Temperature
3.1.4. Solidification and Crystallization—Probability of Porosity Formation
3.2. The Microscopic Observations of Casting Microstructures
3.3. The Surface Roughness of Castings
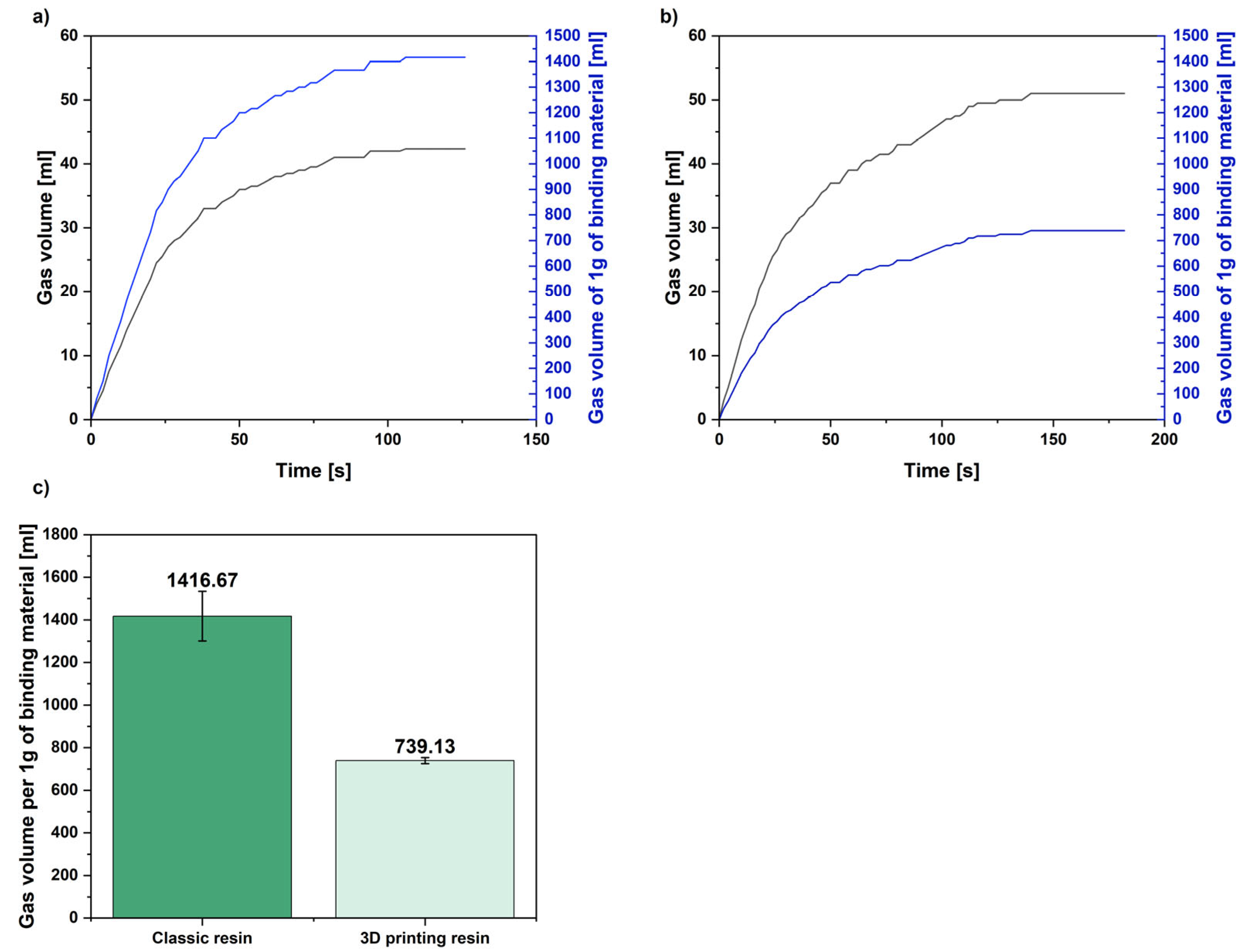
3.4. Gases Emission Results
4. Discussion
5. Conclusions
- Numerical simulations confirmed the correctness of the design of the pouring system and the casting mold, allowing for uniform heating and smooth metal flow in the mold.
- The thickness of the casting wall affects both the microstructure and the surface roughness, while the type of resin does not significantly affect the matrix (perlite/ferrite), SDAS, or Lmax; a difference in NA is observed.
- The type of resin used affects the surface quality of castings, as was confirmed by surface topography images and roughness parameter results, Ra and Rz.
- Gas emission tests have shown that a greater amount of gas is emitted from molds made using conventional technology. This affects the surface quality of the produced casting.
- The next research step would be the elaboration of molding materials for the 3D printing of molds with the use of inorganic binders, including the possibility of using aluminosilicates. We also plan to test the mechanical properties and corrosion resistance of cast iron castings in future research.
Author Contributions
Funding
Institutional Review Board Statement
Data Availability Statement
Conflicts of Interest
References
- Lewandowski, J.L. Tworzywa na Formy Odlewnicze (Molding Materials); Wydawnictwo Akapit: Kraków, Poland, 1997. (In Polish) [Google Scholar]
- Major-Gabryś, K. Environmentally Friendly Foundry Molding and Core Sand; Odlewnicze Masy Formierskie i Rdzeniowe Przyjazne dla Środowiska; Wydawnictwo Archives of Foundry Engineering: Katowice-Gliwice, Poland, 2016. (In Polish) [Google Scholar]
- Major-Gabryś, K.; Stachurek, I.; Hosadyna-Kondracka, M.; Homa, M. The influence of polycaprolactone on structural changes of dusts from molding sands with resin-based binder before and after the biodegradation process. Polymers 2022, 14, 2605. [Google Scholar] [CrossRef] [PubMed]
- Benz, N.; Fourberg, C. Przyjazne dla środowiska żywice furanowe z zawartością wolnego alkoholu furfurylowego mniejszą niż 25 procent (Environmentally friendly furan resins with a free furfuryl alcohol content of less than 25 percent). In III Konferencja Materiały Formierskie i Rdzeniarskie—Teoria i Praktyka; Hüttenes-Albertus: Zakopane, Polska, 2012; pp. 129–137. (In Polish) [Google Scholar]
- Hosadyna, M. Dobór Mas Formierskich dla Ograniczenia Niekorzystnego Wpływu Wybranych Pierwiastków na Strukturę Odlewów Żeliwnych (Selection of Molding Compounds to Limit the Adverse Effect of Selected Elements on the Structure of Sand Castings). Ph.D. Thesis, AGH University, Krakow, Poland, 2012. (In Polish). [Google Scholar]
- Halejcio, D.; Major-Gabryś, K. The Comparison of Chosen—Bonded with the Use of Classical and Dedicated for 3D Printing Furfuryl Binder—Molding Sands’ Properties as a Basis for Development a New Inorganic System. Arch. Foundry Eng. 2024, 2024, 49–55. [Google Scholar] [CrossRef]
- Bobrowski, A.; Kaczmarska, K.; Drożyński, D.; Woźniak, F.; Dereń, M.; Grabowska, B.; Żymankowska-Kumon, S.; Szucki, M. 3D printed (binder jetting) furan molding and core sands—Thermal deformation, mechanical and technological properties. Materials 2023, 16, 3339. [Google Scholar] [CrossRef] [PubMed]
- Jandyal, A.; Chaturvedi, I.; Wazir, I.; Raina, A.; Ul Haq, M.I. 3D printing—A review of processes, materials and applications in industry 4.0. Sustain. Oper. Comput. 2022, 3, 33–42. [Google Scholar] [CrossRef]
- Upadyay, M.; Sivarupan, T.; El Monsori, M. 3D printing for rapid sand casting—A review. J. Manuf. Process. 2017, 29, 211–220. [Google Scholar] [CrossRef]
- Shangguan, H.; Kang, J.; Deng, C.; Hu, Y.; Huang, T. 3D-printed shell-truss sand mold for aluminium casting. J. Mater. Process. Technol. 2017, 250, 247–253. [Google Scholar] [CrossRef]
- Halejcio, D.; Major-Gabryś, K. The use of 3D printing sand molds and cores in the casting production. Arch. Foundry Eng. 2024, 2024, 32–39. [Google Scholar] [CrossRef]
- Deng, C.; Kang, J.; Shangguan, H.; Huang, T.; Zhang, X.; Hu, Y.; Huang, T. Insulation effect of air cavity in sand mold using 3D printing technology. China Foundry 2018, 15, 37–43. [Google Scholar] [CrossRef]
- Shangguan, H.; Kang, J.; Yi, J.; Zhang, X.; Wang, X.; Wang, H.; Huang, T. The design of 3D-printed lattice-reinforced thickness-varying shell molds for castings. Materials 2018, 11, 535. [Google Scholar] [CrossRef] [PubMed]
- Wei, X.; Wan, Y.; Liang, X. Effect of hollow core on cooling temperature in 3D printing. J. Phys. Conf. Ser. Inst. Phys. 2022, 2396, 012037. [Google Scholar] [CrossRef]
- Hawaldar, N.; Zhang, J. A comparative study of fabrication of sand casting mold using additive manufacturing and conventional process. Int. J. Adv. Manuf. Technol. 2018, 97, 1037–1045. [Google Scholar] [CrossRef]
- Zhang, Z.; Wang, L.; Zhang, L.; Ma, P.; Lu, B.; Du, C. Binder jetting 3D printing process optimization for rapid casting of green parts with high tensile strength. China Foundry 2021, 18, 335–343. [Google Scholar] [CrossRef]
- Gawronová, M.; Lichý, P.; Kroupová, I.; Obzina, T.; Beňo, J.; Nguyenová, I.; Merta, V.; Jezierski, J.; Radkovský, F. Evaluation of additive manufacturing of sand cores in terms of the resulting surface roughness. Heliyon 2022, 8, e10751. [Google Scholar] [CrossRef] [PubMed]
- Thiel, J.; Ravi, S.; Bryant, N. Advancements in materials for three-dimensional printing of mold and cores. Int. J. Met. 2016, 11, 3–13. [Google Scholar] [CrossRef]
- Snelling, D.; Blount, H.; Forman, C.; Ramsburg, K.; Wentzel, A.; Williams, C.; Druschitz, A. The effect of 3D printed molds on metal casting. In 2014 International Solid Freeform Fabrication Symposium; University of Texas at Austin: Austin, TX, USA, 2014. [Google Scholar]
- Almaghariz, E.; Conner, P.; Lenner, L.; Gullapalli, R.; Monogharan, G.; Lamoncha, B.; Fang, M. Quantifying the role of part design complexity in using 3D sand printing for molds and cores. Int. J. Met. 2016, 10, 240–252. [Google Scholar] [CrossRef]
- Sama, S.R.; Monogharam, G.; Badano, T. Case studies on integrating 3D sand-printing technology into the production portfolio of a sand-casting foundry. Int. J. Met. 2019, 14, 12–24. [Google Scholar] [CrossRef]
- Pearce, J.; Nusen, S.; Valun-Araya, N.; Chantararasukkasem, O. Case studies experience in using 3D sand printing to produce molds for new and replacement cast components. Int. J. Met. 2025, 19, 1271–1280. [Google Scholar] [CrossRef]
- Erhard, P.; Reddersen, C.; van den Bosch, L.; Nakachima, P.M.; Pereira, A.L.; Johnson, S.M.; Ferreira, L.L.H.C.; Günther, D. Use of Sintered Bauxite Sand in Binder Jetting of Casting Cores. Int. J. Met. 2025. [Google Scholar] [CrossRef]
- Saada, M.B.; El Mansori, M. Assessment of the effect of 3D printed sand mold thickness on solidification process of AlSi13 casting alloy. Int. J. Adv. Manuf. Technol. 2021, 2022, 114. [Google Scholar] [CrossRef]
- Hsien-Chi, S.; Long-Sun, C. An Investigation into the Effective Heat Transfer Coefficient in the Casting of Aluminum in a Green-Sand Mold. Mater. Trans. 2009, 50, 1396–1403. [Google Scholar] [CrossRef]
- BN-76/4024-05; Odlewnicze materiały i masy formierskie—Oznaczenia wydzielonych gazów (Foundry Materials and Molding Compounds—Designation of Gases Released). Wydawnictwa Normalizacyjne (Standardization Publications): Warsaw, Poland, 1977. (In Polish)
- EN ISO 945-1:2008; Part 1: Graphite Classification by Visual Analysis. ISO: Geneva, Switzerland, 2008.
- Zych, J. Analiza Wad Odlewów (Analysis of Casting Defects); AGH Press: Kraków, Poland, 2015. (In Polish) [Google Scholar]
















| Molding Sand | Molding Sand’s Composition |
|---|---|
| Classic | Quartz sand, 100 p.p.w. Classic furfuryl resin, 1.0 p.p.w. Classic hardener, 0.5 p.p.w. |
| For 3D printing | Quartz sand, 100 p.p.w. Furfuryl resin designed for 3D printing, 1.0 p.p.w. Hardener designed for 3D printing, 0.5 p.p.w. |
| Feature | Classic Furfuryl Resin | Furfuryl Resin Designed for 3D Printing |
|---|---|---|
| Density (20 °C), g/cm3 | 1.175–1.185 | 1.1–1.2 |
| Viscosity (20 °C), mPa·s | 30–45 | 2–6 |
| Furfuryl alcohol, % | 75 ± 1 | 70–90 |
| Free formaldehyde, % | 0.12–0.14 | - |
| Nitrogen, % | 3.5 ± 0.5 | - |
| Feature | Classic Furfuryl Resin | Furfuryl Resin Designed for 3D Printing |
|---|---|---|
| Density (20 °C), g/cm3 | 1.225 ± 0.01 | 1.2–1.3 |
| Viscosity (20 °C), mPa·s | 15 | 10–30 |
| Acid content, g/g of KOH | 0.225 ± 0.01 | - |
| Color | Yellowish, clear | Yellowish-brown, clear |
| Element | Content, % wt. |
|---|---|
| C | 3.26 |
| Si | 1.57 |
| Mn | 0.65 |
| P | 0.03 |
| S | 0.04 |
| Fe | Balance |
| Resin | Wall Thickness, mm | Type of Graphite, % | Lmax, mm | SDAS, mm | NA, cm−2 | Ferrite Fraction, % |
|---|---|---|---|---|---|---|
| Classic resin | 5 | 100%D | 28.5 | 22.8 | 2388 | ~3 |
| 10 | 20%B 30%D 50%E | 60.1 | 26.3 | 1846 | ~3 | |
| 15 | 10%A 20%D 70%E | 127.5 | 40.2 | 503 | ~3 | |
| 25 | 40%A 30%D 30%E | 192.2 | 49.1 | 334 | ~3 | |
| 3D printing resin | 5 | 100%D | 43.5 | 18.6 | 1490 | ~3 |
| 10 | 10%B 90%D | 74.5 | 27.9 | 1208 | ~3 | |
| 15 | 10%E 10%D 10%B 70%A | 244.8 | 45.8 | 336 | ~3 | |
| 25 | 30%B 20%D 20%E 30%A | 223.4 | 54.6 | 312 | ~3 |
Disclaimer/Publisher’s Note: The statements, opinions and data contained in all publications are solely those of the individual author(s) and contributor(s) and not of MDPI and/or the editor(s). MDPI and/or the editor(s) disclaim responsibility for any injury to people or property resulting from any ideas, methods, instructions or products referred to in the content. |
© 2025 by the authors. Licensee MDPI, Basel, Switzerland. This article is an open access article distributed under the terms and conditions of the Creative Commons Attribution (CC BY) license (https://creativecommons.org/licenses/by/4.0/).
Share and Cite
Major-Gabryś, K.; Halejcio, D.; Fijołek, A.; Marosz, J.; Górny, M. The Influence of Furfuryl Resin Type—Classical and Designed for Sand 3D Printing—On Cast Iron Casting Microstructure and Surface Roughness. Polymers 2025, 17, 2920. https://doi.org/10.3390/polym17212920
Major-Gabryś K, Halejcio D, Fijołek A, Marosz J, Górny M. The Influence of Furfuryl Resin Type—Classical and Designed for Sand 3D Printing—On Cast Iron Casting Microstructure and Surface Roughness. Polymers. 2025; 17(21):2920. https://doi.org/10.3390/polym17212920
Chicago/Turabian StyleMajor-Gabryś, Katarzyna, Dawid Halejcio, Andrzej Fijołek, Jan Marosz, and Marcin Górny. 2025. "The Influence of Furfuryl Resin Type—Classical and Designed for Sand 3D Printing—On Cast Iron Casting Microstructure and Surface Roughness" Polymers 17, no. 21: 2920. https://doi.org/10.3390/polym17212920
APA StyleMajor-Gabryś, K., Halejcio, D., Fijołek, A., Marosz, J., & Górny, M. (2025). The Influence of Furfuryl Resin Type—Classical and Designed for Sand 3D Printing—On Cast Iron Casting Microstructure and Surface Roughness. Polymers, 17(21), 2920. https://doi.org/10.3390/polym17212920

