Critical Role of Rubber Functionalities on the Mechanical and Electrical Responses of Carbon Nanotube-Based Electroactive Rubber Composites
Abstract
1. Introduction
2. Materials and Methods
2.1. Materials
2.2. Fabrication of CNT-Based Rubber Nanocomposites
2.3. Compressive and Tensile Mechanical Analyses
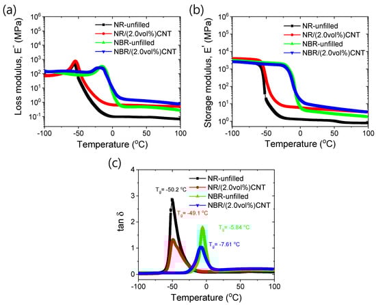
2.4. Dynamic Mechanical Studies
2.5. X-Ray Diffraction Studies of Rubber Composites
2.6. Scanning Electron Microscopic Studies
2.7. Thermogravimetric Analyses
2.8. Swelling and Thermodynamic Studies
2.9. Strain Sensing and Electromechanical Actuation Studies
3. Results and Discussion
3.1. Mechanical and Physical Properties
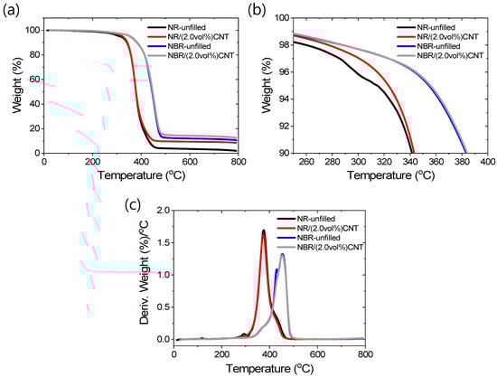
3.2. Thermal Degradation Behaviors
3.3. Swelling and Thermodynamic Properties
3.4. Electrical Responses of Rubber Nanocomposites
4. Conclusions
Author Contributions
Funding
Institutional Review Board Statement
Data Availability Statement
Conflicts of Interest
References
- Thomas, S.; Stephen, R. (Eds.) Rubber Nanocomposites: Preparation, Properties, and Applications; John Wiley & Sons (Asia) Pte Ltd.: Singapore, 2010. [Google Scholar]
- Wibowo, A.F.; Han, J.W.; Kim, J.H.; Prameswati, A.; Entifar, S.A.N.; Park, J.; Lee, J.; Kim, S.; Lim, D.C.; Moon, M.W.; et al. Highly Stretchable and Robust Transparent Conductive Polymer Composites for Multifunctional Healthcare Monitoring. Sci. Technol. Adv. Mater. 2022, 23, 332–340. [Google Scholar] [CrossRef]
- Lorenz, H.; Fritzsche, J.; Das, A.; Stöckelhuber, K.W.; Jurk, R.; Heinrich, G.; Klüppel, M. Advanced Elastomer Nanocomposites Based on CNT-Hybrid Filler Systems. Compos. Sci. Technol. 2009, 69, 2135–2143. [Google Scholar] [CrossRef]
- Kitamura, M.; Hata, Y.; Yasuoka, H.; Kurotsu, T.; Asano, A. Strain-Induced 13C Chemical Shift Change of Natural Rubber. Polym. J. 2012, 44, 778–785. [Google Scholar] [CrossRef]
- Edwards, D.C. Polymer-Filler Interactions in Rubber Reinforcement. J. Mater. Sci. 1990, 25, 4175–4185. [Google Scholar] [CrossRef]
- Abdul Salim, Z.A.S.; Hassan, A.; Ismail, H. A Review on Hybrid Fillers in Rubber Composites. Polym.-Plast. Technol. Eng. 2018, 57, 523–539. [Google Scholar] [CrossRef]
- Tikhonova, S.A.; Evdokimov, P.V.; Filippov, Y.Y.; Safronova, T.V.; Garshev, A.V.; Shcherbakov, I.M.; Dubrov, V.E.; Put-lyaev, V.I. Electro- and Magnetoactive Materials in Medicine: A Review of Existing and Potential Areas of Application. Inorg. Mater. 2020, 56, 1319–1337. [Google Scholar] [CrossRef]
- Alam, M.N.; Kumar, V.; Jo, C.R.; Ryu, S.R.; Lee, D.J.; Park, S.S. Mechanical and Magneto-Mechanical Properties of Styrene-Butadiene-Rubber-Based Magnetorheological Elastomers Conferred by Novel Filler-Polymer Interactions. Compos. Sci. Technol. 2022, 229, 109669. [Google Scholar] [CrossRef]
- Damampai, K.; Pichaiyut, S.; Dasa, A.; Nakason, C. Internal Polymerization of Epoxy Group of Epoxidized Natural Rubber by Ferric Chloride Filled with Carbon Nanotubes: Mechanical, Morphological, Thermal and Electrical Properties of Rubber Vulcanizates. Express Polym. Lett. 2022, 16, 812–826. [Google Scholar] [CrossRef]
- Utrera-Barrios, S.; Perera, R.; León, N.; Santana, M.H.; Martínez, N. Reinforcement of Natural Rubber Using a Novel Combination of Conventional and In Situ Generated Fillers. Compos. Part C Open Access 2021, 5, 100133. [Google Scholar] [CrossRef]
- Shui, Y.; Huang, L.; Wei, C.; Sun, G.; Chen, J.; Lu, A.; Sun, L.; Liu, D. How the Silica Determines Properties of Filled Silicone Rubber by the Formation of Filler Networking and Bound Rubber. Compos. Sci. Technol. 2021, 215, 109024. [Google Scholar] [CrossRef]
- Roy, K.; Debnath, S.C.; Potiyaraj, P. A Critical Review on the Utilization of Various Reinforcement Modifiers in Filled Rubber Composites. J. Elastomers Plast. 2020, 52, 167–193. [Google Scholar] [CrossRef]
- Robertson, C.G.; Hardman, N.J. Nature of Carbon Black Reinforcement of Rubber: Perspective on the Original Polymer Nanocomposite. Polymers 2021, 13, 538. [Google Scholar] [CrossRef] [PubMed]
- Hong, C.K.; Kim, H.; Ryu, C.; Nah, C.; Huh, Y.I.; Kaang, S. Effects of Particle Size and Structure of Carbon Blacks on the Abrasion of Filled Elastomer Compounds. J. Mater. Sci. 2007, 42, 8391–8399. [Google Scholar] [CrossRef]
- Alam, M.N.; Kumar, V.; Potiyaraj, P.; Lee, D.J.; Choi, J. Mutual Dispersion of Graphite-Silica Binary Fillers and Its Effects on Curing, Mechanical, and Aging Properties of Natural Rubber Composites. Polym. Bull. 2022, 79, 2707–2724. [Google Scholar] [CrossRef]
- Sadasivuni, K.K.; Ponnamma, D.; Thomas, S.; Grohens, Y. Evolution from Graphite to Graphene Elastomer Composites. Prog. Polym. Sci. 2014, 39, 749–780. [Google Scholar] [CrossRef]
- Ebbesen, T.W.; Lezec, H.J.; Hiura, H.; Bennett, J.W.; Ghaemi, H.F.; Thio, T. Electrical Conductivity of Individual Carbon Nanotubes. Nature 1996, 382, 54–56. [Google Scholar] [CrossRef]
- Kim, P.; Shi, L.; Majumdar, A.; McEuen, P.L. Thermal Transport Measurements of Individual Multiwalled Nanotubes. Phys. Rev. Lett. 2001, 87, 215502. [Google Scholar] [CrossRef] [PubMed]
- Yang, H.; Yao, X.; Yuan, L.; Gong, L.; Liu, Y. Strain-Sensitive Electrical Conductivity of Carbon Nanotube-Graphene-Filled Rubber Composites under Cyclic Loading. Nanoscale 2019, 11, 578–586. [Google Scholar] [CrossRef]
- O’Neill, J.; Lu, J.; Dockter, R.; Kowalewski, T. Stretchable, Flexible, Scalable Smart Skin Sensors for Robotic Position and Force Estimation. Sensors 2018, 18, 953. [Google Scholar] [CrossRef] [PubMed]
- Kim, S.H.; Haines, C.S.; Li, N.; Kim, K.J.; Mun, T.J.; Choi, C.; Di, J.; Oh, Y.J.; Oviedo, J.P.; Bykova, J.; et al. Harvesting Electrical Energy from Carbon Nanotube Yarn Twist. Science 2017, 357, 773–778. [Google Scholar] [CrossRef]
- Zhan, Y.; Oliviero, M.; Wang, J.; Sorrentino, A.; Buonocore, G.G.; Sorrentino, L.; Lavorgna, M.; Xia, H.; Iannace, S. Enhancing the EMI Shielding of Natural Rubber-Based Supercritical CO₂ Foams by Exploiting Their Porous Morphology and CNT Segregated Networks. Nanoscale 2019, 11, 1011–1020. [Google Scholar] [CrossRef] [PubMed]
- Qian, H.; Greenhalgh, E.S.; Shaffer, M.S.; Bismarck, A. Carbon Nanotube-Based Hierarchical Composites: A Review. J. Mater. Chem. 2010, 20, 4751–4762. [Google Scholar] [CrossRef]
- Lee, S.J.; Yoon, S.J.; Jeon, I.Y. Graphene/Polymer Nanocomposites: Preparation, Mechanical Properties, and Application. Polymers 2022, 14, 4733. [Google Scholar] [CrossRef] [PubMed]
- Donchak, V.; Stetsyshyn, Y.; Bratychak, M.; Broza, G.; Harhay, K.; Stepina, N.; Kostenko, M.; Voronov, S. Nanoarchitectonics at Surfaces Using Multifunctional Initiators of Surface-Initiated Radical Polymerization for Fabrication of Nanocomposites. Appl. Surf. Sci. Adv. 2021, 5, 100104. [Google Scholar] [CrossRef]
- Xu, Y.; Xu, Z.D.; Guo, Y.Q.; Jia, H.; Huang, X.; Wen, Y. Mathematical Modeling and Test Verification of Viscoelastic Materials Considering Microstructures and Ambient Temperature Influence. Mech. Adv. Mater. Struct. 2022, 29, 7063–7074. [Google Scholar] [CrossRef]
- Medupin, R.O.; Abubakre, O.K.; Abdulkareem, A.S.; Muriana, R.A.; Abdulrahman, A.S. Carbon Nanotube Reinforced Natural Rubber Nanocomposite for Anthropomorphic Prosthetic Foot Purpose. Sci. Rep. 2019, 9, 20146. [Google Scholar] [CrossRef]
- Costa, P.; Silva, J.; Ansón-Casaos, A.; Martínez, M.T.; Abad, M.J.; Viana, J.; Lanceros-Méndez, S. Effect of Carbon Nanotube Type and Functionalization on the Electrical, Thermal, Mechanical and Electromechanical Properties of Carbon Nanotube/Styrene-Butadiene-Styrene Composites for Large Strain Sensor Applications. Compos. Part B Eng. 2014, 61, 136–146. [Google Scholar] [CrossRef]
- Nair, K.P.; Thomas, P.; Joseph, R. Latex Stage Blending of Multiwalled Carbon Nanotube in Carboxylated Acrylonitrile Butadiene Rubber: Mechanical and Electrical Properties. Mater. Des. 2012, 41, 23–30. [Google Scholar] [CrossRef]
- Song, P.; Song, J.; Zhang, Y. Stretchable Conductor Based on Carbon Nanotube/Carbon Black Silicone Rubber Nanocomposites with Highly Mechanical, Electrical Properties and Strain Sensitivity. Compos. Part B Eng. 2020, 191, 107979. [Google Scholar] [CrossRef]
- Georgopoulou, A.; Clemens, F. Piezoresistive Elastomer-Based Composite Strain Sensors and Their Applications. ACS Appl. Electron. Mater. 2020, 2, 1826–1842. [Google Scholar] [CrossRef]
- Alam, M.N.; Kumar, V.; Lee, D.J.; Choi, J. Synergistically Toughened Silicone Rubber Nanocomposites Using Carbon Nanotubes and Molybdenum Disulfide for Stretchable Strain Sensors. Compos. Part B Eng. 2023, 259, 110759. [Google Scholar] [CrossRef]
- Alam, M.N.; Kumar, V.; Lee, D.J.; Park, S.S. Styrene-Butadiene Rubber-Based Nanocomposites Toughened by Carbon Nanotubes for Wide and Linear Electromechanical Sensing Applications. Polym. Compos. 2024, 45, 2485–2499. [Google Scholar] [CrossRef]
- Liu, H.; Gao, H.; Hu, G. Highly Sensitive Natural Rubber/Pristine Graphene Strain Sensor Prepared by a Simple Method. Compos. Part B Eng. 2019, 171, 138–145. [Google Scholar] [CrossRef]
- Qu, M.; Qin, Y.; Sun, Y.; Xu, H.; Schubert, D.W.; Zheng, K.; Xu, W.; Nilsson, F. Biocompatible, Flexible Strain Sensor Fabricated with Polydopamine-Coated Nanocomposites of Nitrile Rubber and Carbon Black. ACS Appl. Mater. Interfaces 2020, 12, 42140–42152. [Google Scholar] [CrossRef]
- He, S.; Wu, J.; Liu, S.; Wei, Q.; Liu, S.; Su, B.; Wang, Y. A Fully Integrated Multifunctional Flexible Sensor Based on Nitrile Rubber/Carbon Nanotubes/Graphene Composites for Smart Tire. Chem. Eng. J. 2024, 486, 150104. [Google Scholar] [CrossRef]
- Souri, H.; Banerjee, H.; Jusufi, A.; Radacsi, N.; Stokes, A.A.; Park, I.; Sitti, M.; Amjadi, M. Wearable and Stretchable Strain Sensors: Materials, Sensing Mechanisms, and Applications. Adv. Intell. Syst. 2020, 2, 2000039. [Google Scholar] [CrossRef]
- Dang, Z.M.; Wu, J.P.; Xu, H.P.; Yao, S.H.; Jiang, M.J.; Bai, J. Dielectric Properties of Upright Carbon Fiber Filled Poly (Vinylidene Fluoride) Composite with Low Percolation Threshold and Weak Temperature Dependence. Appl. Phys. Lett. 2007, 91, 073507. [Google Scholar] [CrossRef]
- Panda, M.; Srinivas, V.; Thakur, A.K. On the Question of Percolation Threshold in Polyvinylidene Fluoride/Nanocrystalline Nickel Composites. Appl. Phys. Lett. 2008, 92, 133506. [Google Scholar] [CrossRef]
- Huang, X.; Jiang, P.; Xie, L. Ferroelectric Polymer/Silver Nanocomposites with High Dielectric Constant and High Thermal Conductivity. Appl. Phys. Lett. 2009, 95, 242905. [Google Scholar] [CrossRef]
- He, F.; Lau, S.; Chan, H.L.; Fan, J. High Dielectric Permittivity and Low Percolation Threshold in Nanocomposites Based on Poly (Vinylidene Fluoride) and Exfoliated Graphite Nanoplates. Adv. Mater. 2009, 21, 710–715. [Google Scholar] [CrossRef]
- Ghamarpoor, R.; Jamshidi, M. Preparation of Superhydrophobic/Superoleophilic Nitrile Rubber (NBR) Nanocomposites Containing Silanized Nano Silica for Efficient Oil/Water Separation. Sep. Purif. Technol. 2022, 291, 120854. [Google Scholar] [CrossRef]
- Liu, G.; Wang, H.; Ren, T.; Chen, Y.; Liu, S. Systematic Investigation of the Degradation Properties of Nitrile-Butadiene Rubber/Polyamide Elastomer/Single-Walled Carbon Nanotube Composites in Thermo-Oxidative and Hot Oil Environments. Polymers 2024, 16, 226. [Google Scholar] [CrossRef] [PubMed]
- Shi, M.; Yeatman, E.M. A Comparative Review of Artificial Muscles for Microsystems Applications. Microsyst. Nanoeng. 2021, 7, 95. [Google Scholar] [CrossRef]
- Kalita, B.; Leonessa, A.; Dwivedy, S.K. A Review on the Development of Pneumatic Artificial Muscle Actuators: Force Model and Application. Actuators 2022, 11, 288. [Google Scholar] [CrossRef]
- Alam, M.N.; Kumar, V.; Park, S.S. Advances in Rubber Compounds Using ZnO and MgO as Co-Cure Activators. Polymers 2022, 14, 5289. [Google Scholar] [CrossRef] [PubMed]
- Alam, M.N.; Choi, J. Highly Reinforced Magneto-Sensitive Natural-Rubber Nanocomposite Using Iron Oxide/Multilayer Graphene as Hybrid Filler. Compos. Commun. 2022, 32, 101169. [Google Scholar] [CrossRef]
- Pumera, M.; Ambrosi, A.; Chng, E.L.K. Impurities in Graphenes and Carbon Nanotubes and Their Influence on the Redox Properties. Chem. Sci. 2012, 3, 3347–3355. [Google Scholar] [CrossRef]
- Alam, M.N.; Kumar, V.; Ryu, S.R.; Ko, T.J.; Lee, D.J.; Choi, J. Synergistic Magnetorheological NR-NBR Elastomer Blend with Electrolytic Iron Particles. Rubber Chem. Technol. 2021, 94, 642–656. [Google Scholar] [CrossRef]
- El-Sabbagh, S.A.; Yehia, A.A. Detection of Crosslink Density by Different Methods for Natural Rubber Blended with SBR and NBR. Egypt. J. Solids 2007, 30, 157–173. [Google Scholar]
- Usuki, A.; Kojima, Y.; Kawasumi, M.; Okada, A.; Fukushima, Y.; Kurauchi, T.; Kamigaito, O. Synthesis of Nylon 6-Clay Hybrid. J. Mater. Res. 1993, 8, 1179–1184. [Google Scholar] [CrossRef]
- Bristow, G.M.; Watson, W.F. Viscosity-Equilibrium Swelling Correlations for Natural Rubber. Trans. Faraday Soc. 1958, 54, 1567–1573. [Google Scholar] [CrossRef]
- Campos, G.N.; Coimbra, A.C.R.; Silva, A.A.D.; Rocha, E.B.D.D.; Linhares, F.N.; Furtado, C.R.G.; Sousa, A.M.F.D. Cross-Link Density Measurement of Nitrile Rubber Vulcanizates Using Dynamic Shear Test. Polímeros 2022, 32, e2022011. [Google Scholar] [CrossRef]
- Kumar, V.; Lee, G.; Choi, J.; Lee, D.J. Studies on Composites Based on HTV and RTV Silicone Rubber and Carbon Nanotubes for Sensors and Actuators. Polymers 2020, 190, 122221. [Google Scholar] [CrossRef]
- Kumar, V.; Alam, M.N.; Manikkavel, A.; Park, S.S. Efficacy of Graphitic Allotrope’s Surface Area in Silicone Rubber Based Composites for Reverse Piezoelectric Actuation: Nano Effect. Sens. Actuators A Phys. 2022, 336, 113411. [Google Scholar] [CrossRef]
- Al-Hartomy, O.; Al-Ghamdi, A.; Dishovsky, N.; Shtarkova, R.; Iliev, V.; Mutlay, I.; El-Tantawy, F. Dielectric and Microwave Properties of Natural Rubber Based Nanocomposites Containing Graphene. Mater. Sci. Appl. 2012, 3, 453–459. [Google Scholar] [CrossRef]
- Morsi, R.M.M.; Ismail, M.; Yehia, A.A. Conductivity Studies of Acrylonitrile Butadiene Rubber Composites Loaded with Different Types of Carbon Blacks. J. Text. Color. Polym. Sci. 2010, 14, 113–126. [Google Scholar] [CrossRef]
- Fröhlich, J.; Niedermeier, W.; Luginsland, H.D. The Effect of Filler-Filler and Filler-Elastomer Interaction on Rubber Reinforcement. Compos. Part A Appl. Sci. Manuf. 2005, 36, 449–460. [Google Scholar] [CrossRef]
- Bokobza, L. Elastomer Nanocomposites: Effect of Filler-Matrix and Filler-Filler Interactions. Polymers 2023, 15, 2900. [Google Scholar] [CrossRef]
- Bashir, M.A. Use of Dynamic Mechanical Analysis (DMA) for Characterizing Interfacial Interactions in Filled Polymers. Solids 2021, 2, 108–120. [Google Scholar] [CrossRef]
- Farida, E.; Bukit, N.; Ginting, E.M.; Bukit, B.F. The Effect of Carbon Black Composition in Natural Rubber Compound. Case Stud. Therm. Eng. 2019, 16, 100566. [Google Scholar] [CrossRef]
- Brandrup, J.; Immergut, E.H.; McDowell, W. Polymer Handbook, 2nd ed.; Wiley: New York, NY, USA, 1975. [Google Scholar]
- Mathew, A.P.; Packirisamy, S.; Thomas, S. Studies on the Thermal Stability of Natural Rubber/Polystyrene Interpenetrating Polymer Networks: Thermogravimetric Analysis. Polym. Degrad. Stab. 2001, 72, 423–439. [Google Scholar] [CrossRef]
- Hiltz, J.A. Pyrolysis Gas Chromatography/Mass Spectrometry Identification of Poly(Butadiene-Acrylonitrile) Rubbers. J. Anal. Appl. Pyrolysis 2000, 55, 135–150. [Google Scholar] [CrossRef]
- Pappa, A.; Mikedi, K.; Agapiou, A.; Karma, S.; Pallis, G.C.; Statheropoulos, M.; Burke, M. TG–MS Analysis of Nitrile Butadiene Rubber Blends (NBR/PVC). J. Anal. Appl. Pyrolysis 2011, 92, 106–110. [Google Scholar] [CrossRef]
- Akiba, M.; Hashim, A.S. Vulcanization and Crosslinking in Elastomers. Prog. Polym. Sci. 1997, 22, 475–521. [Google Scholar] [CrossRef]
- Metze, F.K.; Sant, S.; Meng, Z.; Klok, H.A.; Kaur, K. Swelling-Activated, Soft Mechanochemistry in Polymer Materials. Langmuir 2023, 39, 3546–3557. [Google Scholar] [CrossRef] [PubMed]
- Li, S.; Gou, R.; Zhang, C. n-π Stacking in Energetic Crystals. Cryst. Growth Des. 2022, 22, 1991–2000. [Google Scholar] [CrossRef]
- Wang, X.; Li, J.; Song, H.; Huang, H.; Gou, J. Highly Stretchable and Wearable Strain Sensor Based on Printable Carbon Nanotube Layers/Polydimethylsiloxane Composites with Adjustable Sensitivity. ACS Appl. Mater. Interfaces 2018, 10, 7371–7380. [Google Scholar] [CrossRef]
- Li, S.; Liu, G.; Li, R.; Li, Q.; Zhao, Y.; Huang, M.; Zhang, M.; Yin, S.; Zhou, Y.; Tang, H.; et al. Contact-Resistance-Free Stretchable Strain Sensors with High Repeatability and Linearity. ACS Nano 2021, 16, 541–553. [Google Scholar] [CrossRef]
- Nag-Chowdhury, S.; Bellegou, H.; Pillin, I.; Castro, M.; Longrais, P.; Feller, J.F. Non-Intrusive Health Monitoring of Infused Composites with Embedded Carbon Quantum Piezo-Resistive Sensors. Compos. Sci. Technol. 2016, 123, 286–294. [Google Scholar] [CrossRef]
- Ning, N.; Wang, S.; Zhang, L.; Lu, Y.; Tian, M.; Chan, T.W. Synchronously Tailoring Strain Sensitivity and Electrical Stability of Silicone Elastomer Composites by the Synergistic Effect of a Dual Conductive Network. Polymers 2016, 8, 100. [Google Scholar] [CrossRef]
- Bao, W.S.; Meguid, S.A.; Zhu, Z.H.; Weng, G.J. Tunneling Resistance and Its Effect on the Electrical Conductivity of Carbon Nanotube Nanocomposites. J. Appl. Phys. 2012, 111, 093726. [Google Scholar] [CrossRef]
- Yin, L.J.; Zhao, Y.; Zhu, J.; Yang, M.; Zhao, H.; Pei, J.Y.; Zhong, S.L.; Dang, Z.M. Soft, Tough, and Fast Polyacrylate Dielectric Elastomer for Non-Magnetic Motor. Nat. Commun. 2021, 12, 4517. [Google Scholar] [CrossRef]
- Suresh, J.N.; Arief, I.; Naskar, K.; Heinrich, G.; Tahir, M.; Wießner, S.; Das, A. The Role of Chemical Microstructures and Compositions on the Actuation Performance of Dielectric Elastomers: A Materials Research Perspective. Nano Select 2023, 4, 289–315. [Google Scholar] [CrossRef]
- Suresh, J.N.; Liebscher, H.; Komber, H.; Tahir, M.; Gerlach, G.; Wießner, S. Network Formation, Properties, and Actuation Performance of Functionalized Liquid Isoprene Rubber. ACS Omega 2024, 9, 4754–4761. [Google Scholar] [CrossRef]












| Formulation | Masterbatch (g) | Amount of CNT in vol% |
|---|---|---|
| NR-unfilled | 100 | - |
| NR/(0.5 vol%)CNT | 100 | 0.5 * |
| NR/(1.0 vol%)CNT | 100 | 1 |
| NR/(1.5 vol%)CNT | 100 | 1.5 |
| NR/(2.0 vol%)CNT | 100 | 2 |
| NR/(2.5 vol%)CNT | 100 | 2.5 |
| NBR-unfilled | 100 | - |
| NBR/(0.5 vol%)CNT | 100 | 0.5 |
| NBR/(1.0 vol%)CNT | 100 | 1 |
| NBR/(1.5 vol%)CNT | 100 | 1.5 |
| NBR/(2.0 vol%)CNT | 100 | 2 |
| NBR/(2.5 vol%)CNT | 100 | 2.5 |
| Composites | Fillers | Gauge Factor | Working Strain | Preparation Method | References |
|---|---|---|---|---|---|
| Epoxy resin/CNT | CNT | 6 | 0.6–14% | Solvent casting with sonication and drying | [71] |
| PMVS/CNT/CB | CNT/CB | 10 | 0–60% | Dry mixing in two-roll mill and vulcanized at 170 °C | [72] |
| RTV-SR/CNT/MoS2 | CNT/MoS2 | 25.95 | 100–155% | Solution blending and vulcanization at ~25 °C (room temperature) | [32] |
| SBR/CNT | CNT | 58.79 | 100–150% | Solvent blending and vulcanization at 150 °C | [33] |
| NR/CNT | CNT | 1572 | 400–505 | Solvent blending and vulcanization at 150 °C | Present work |
| NBR/CNT | CNT | 39,125 | 1000–1220% | Solvent blending and vulcanization at 15 0°C | Present work |
| Formulation | Capacitance (F/cm3) |
|---|---|
| NR-unfilled | 0.0095 × 10−9 |
| NR/(0.5 vol%)CNT | 0.1338 × 10−9 |
| NR/(1.0 vol%)CNT | 15.9235 × 10−9 |
| NR/(1.5 vol%)CNT | 9.6306 × 10−6 |
| NR/(2.0 vol%)CNT | 6.5159 × 10−6 |
| NR/(2.5 vol%)CNT | - |
| NBR-unfilled | 0.0095 × 10−9 |
| NBR/(0.5 vol%)CNT | 1.3949 × 10−6 |
| NBR/(1.0 vol%)CNT | - |
| NBR/(1.5 vol%)CNT | - |
| NBR/(2.0 vol%)CNT | - |
| NBR/(2.5 vol%)CNT | - |
Disclaimer/Publisher’s Note: The statements, opinions and data contained in all publications are solely those of the individual author(s) and contributor(s) and not of MDPI and/or the editor(s). MDPI and/or the editor(s) disclaim responsibility for any injury to people or property resulting from any ideas, methods, instructions or products referred to in the content. |
© 2025 by the authors. Licensee MDPI, Basel, Switzerland. This article is an open access article distributed under the terms and conditions of the Creative Commons Attribution (CC BY) license (https://creativecommons.org/licenses/by/4.0/).
Share and Cite
Alam, M.N.; Azam, S.; Yun, J.; Park, S.-S. Critical Role of Rubber Functionalities on the Mechanical and Electrical Responses of Carbon Nanotube-Based Electroactive Rubber Composites. Polymers 2025, 17, 127. https://doi.org/10.3390/polym17020127
Alam MN, Azam S, Yun J, Park S-S. Critical Role of Rubber Functionalities on the Mechanical and Electrical Responses of Carbon Nanotube-Based Electroactive Rubber Composites. Polymers. 2025; 17(2):127. https://doi.org/10.3390/polym17020127
Chicago/Turabian StyleAlam, Md Najib, Siraj Azam, Jongwan Yun, and Sang-Shin Park. 2025. "Critical Role of Rubber Functionalities on the Mechanical and Electrical Responses of Carbon Nanotube-Based Electroactive Rubber Composites" Polymers 17, no. 2: 127. https://doi.org/10.3390/polym17020127
APA StyleAlam, M. N., Azam, S., Yun, J., & Park, S.-S. (2025). Critical Role of Rubber Functionalities on the Mechanical and Electrical Responses of Carbon Nanotube-Based Electroactive Rubber Composites. Polymers, 17(2), 127. https://doi.org/10.3390/polym17020127

