Bio-Based Silica-Reinforced Chitosan/Collagen Thermogels: Synthesis, Structure, and Rheological Behavior
Abstract
1. Introduction
2. Materials and Methods
2.1. Preparation of Rice Husk Ash Silica (RHA-Si)
2.2. Preparation of Thermosensitive Chitosan/Collagen Hydrogels
2.3. Chemical Characterization of Thermogels by Fourier-Transform Infrared (FTIR) Spectroscopy
2.4. Morphological and Porosity Analysis of Thermogels Using Micro-CT
2.5. Rheological Measurements
2.6. Mechanical Test
2.7. Statistical Analysis
3. Results and Discussions
3.1. Chemical Composition and Structure of Rice Husk Ash Silica RHA-Si
3.2. Preparation and Chemical Characterization of Thermosensitive Chitosan/Collagen Hydrogels
3.3. Morphological and Porosity of Thermosensitive Chitosan/Collagen Hydrogels
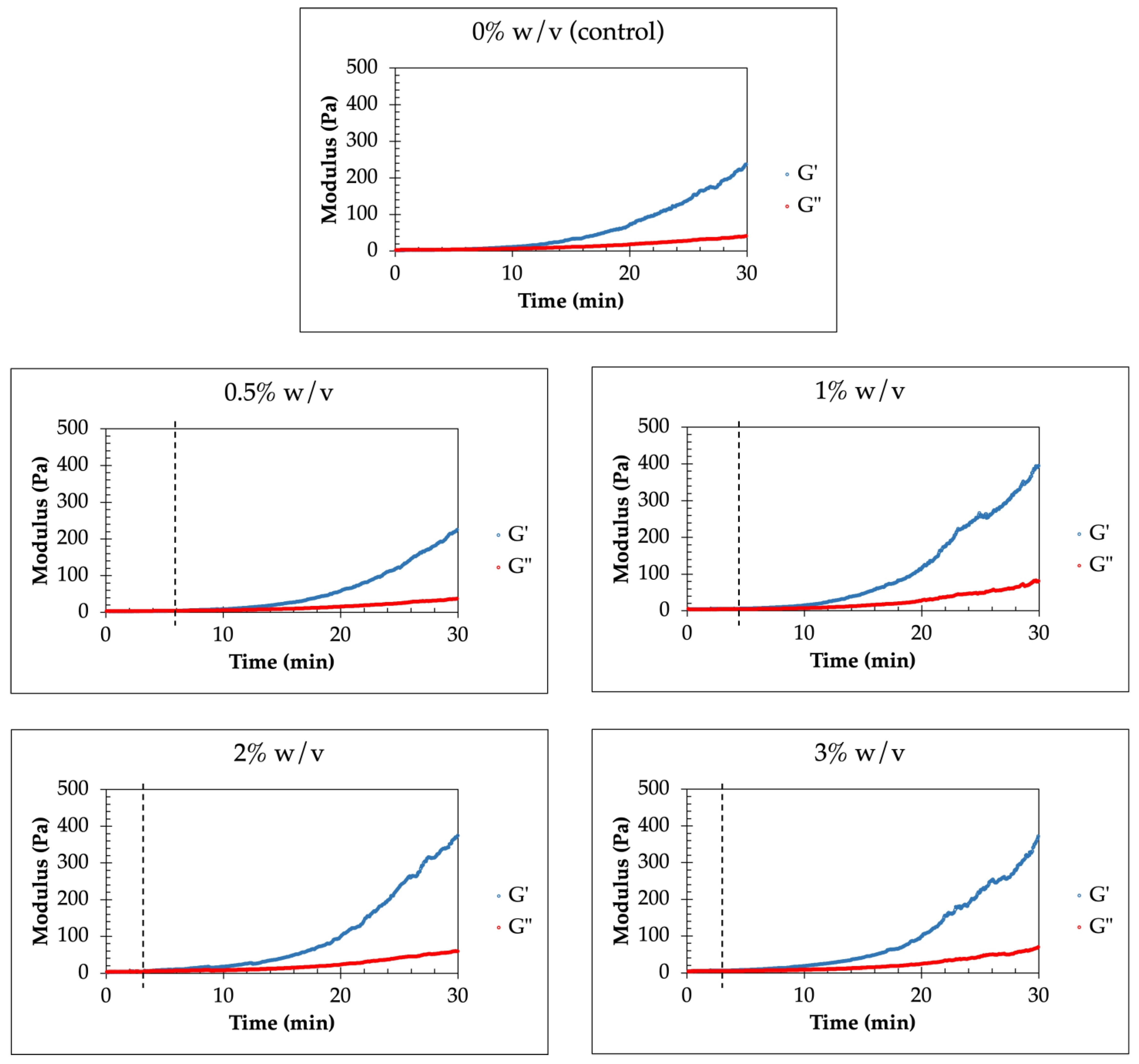
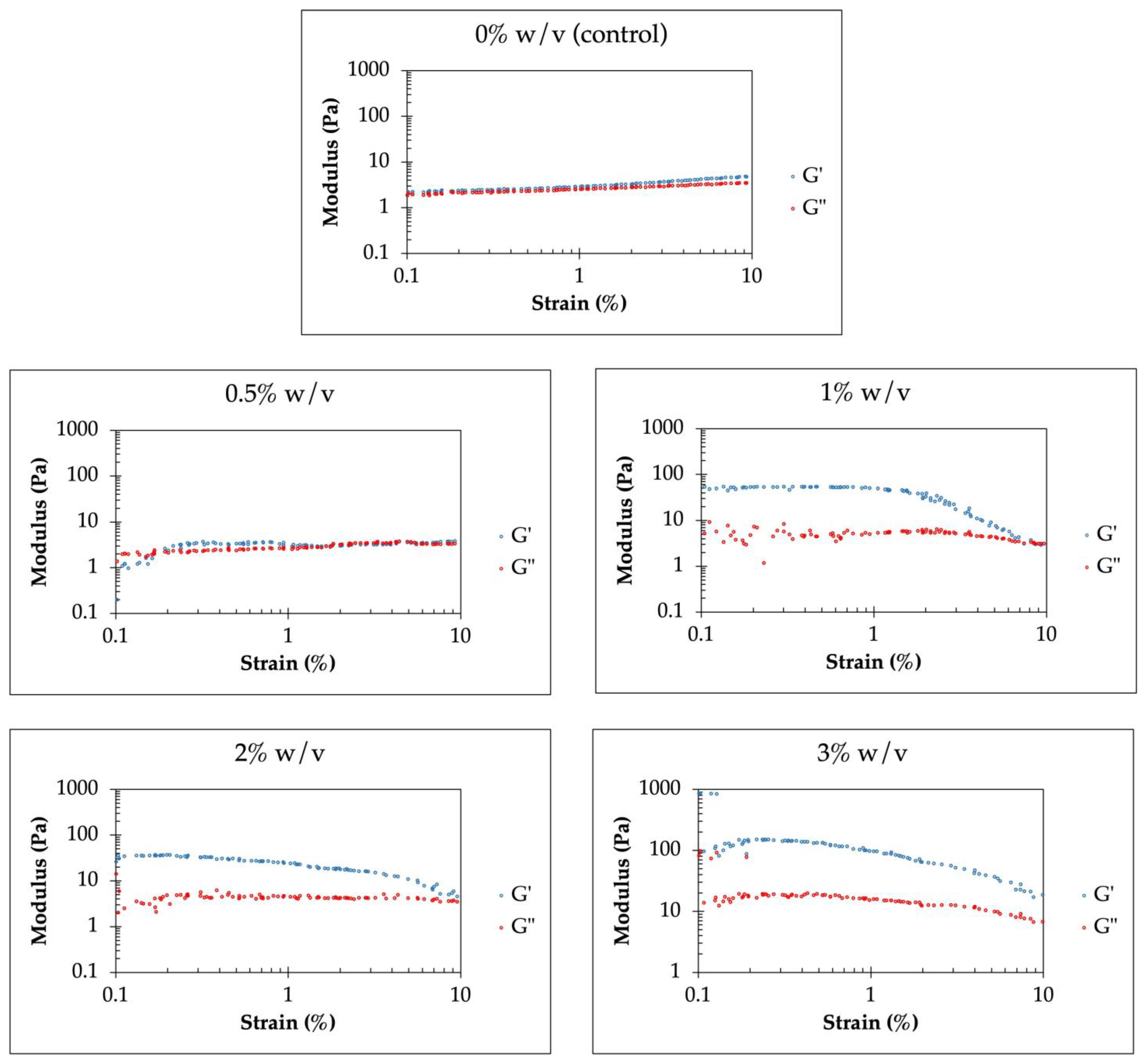
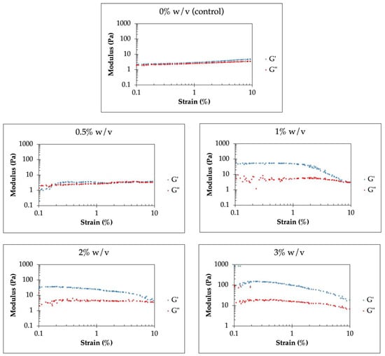
3.4. Rheological Behavior of Thermosensitive Chitosan/Collagen Hydrogels
3.5. Mechanical Properties
4. Conclusions
Author Contributions
Funding
Institutional Review Board Statement
Data Availability Statement
Acknowledgments
Conflicts of Interest
References
- Drury, J.L.; Mooney, D.J. Hydrogels for tissue engineering: Scaffold design variables and applications. Biomaterials 2003, 24, 4337–4351. [Google Scholar] [CrossRef]
- Dreifke, M.B.; Ebraheim, N.A.; Jayasuriya, A.C. Investigation of potential injectable polymeric biomaterials for bone regeneration. J. Biomed. Mater. Res. A 2013, 101A, 2436–2447. [Google Scholar] [CrossRef]
- Zhao, L.; Zhou, Y.; Zhang, J.; Liang, H.; Chen, X.; Tan, H. Natural Polymer-Based Hydrogels: From Polymer to Biomedical Applications. Pharmaceutics 2023, 15, 2514. [Google Scholar] [CrossRef]
- Del Valle, L.J.; Díaz, A.; Puiggalí, J. Hydrogels for Biomedical Applications: Cellulose, Chitosan, and Protein/Peptide Derivatives. Gels 2017, 3, 27. [Google Scholar] [CrossRef] [PubMed]
- Wanniarachchi, P.C.; Paranagama, I.T.; Idangodage, P.A.; Nallaperuma, B.; Samarasinghe, T.T.; Jayathilake, C. Natural polymer-based hydrogels: Types, functionality, food applications, environmental significance and future perspectives: An updated review. Food Biomacromolecules 2025, 2, 84–105. [Google Scholar] [CrossRef]
- Thang, N.H.; Chien, T.B.; Cuong, D.X. Polymer-Based Hydrogels Applied in Drug Delivery: An Overview. Gels 2023, 9, 523. [Google Scholar] [CrossRef] [PubMed]
- Kasiński, A.; Zielińska-Pisklak, M.; Oledzka, E.; Sobczak, M. Smart Hydrogels—Synthetic Stimuli-Responsive Antitumor Drug Release Systems. Int. J. Nanomed. 2020, 15, 4541–4572. [Google Scholar] [CrossRef]
- Ho, T.C.; Chang, C.C.; Chan, H.P.; Chung, T.W.; Shu, C.W.; Chuang, K.P.; Duh, T.H.; Yang, M.H.; Tyan, Y.C. Hydrogels: Properties and applications in biomedicine. Molecules 2022, 27, 2902. [Google Scholar] [CrossRef]
- Tan, H.; Chu, C.R.; Payne, K.A.; Marra, K.G. Injectable in situ forming biodegradable chitosan–hyaluronic acid based hydrogels for cartilage tissue engineering. Biomaterials 2009, 30, 2499–2506. [Google Scholar] [CrossRef]
- McBane, J.E.; Vulesevic, B.; Padavan, D.T.; McEwan, K.A.; Korbutt, G.S.; Suuronen, E.J. Evaluation of a collagen-chitosan hydrogel for potential use as a pro-angiogenic site for islet transplantation. PLoS ONE 2013, 8, e77538. [Google Scholar] [CrossRef]
- Wang, Q.; Wang, X.; Feng, Y. Chitosan Hydrogel as Tissue Engineering Scaffolds for Vascular Regeneration Applications. Gels 2023, 9, 373. [Google Scholar] [CrossRef]
- Sun, L.; Xu, Y.; Han, Y.; Cui, J.; Jing, Z.; Li, D.; Liu, J.; Xiao, C.; Li, D.; Cai, B. Collagen-Based Hydrogels for Cartilage Regeneration. Orthop. Surg. 2023, 15, 3026–3045. [Google Scholar] [CrossRef]
- Guillén-Carvajal, K.; Valdez-Salas, B.; Beltrán-Partida, E.; Salomón-Carlos, J.; Cheng, N. Chitosan, Gelatin, and Collagen Hydrogels for Bone Regeneration. Polymers 2023, 15, 2762. [Google Scholar] [CrossRef]
- Haraguchi, K.; Takehisa, T. Nanocomposite Hydrogels: A Unique Organic–Inorganic Network Structure with Extraordinary Mechanical, Optical, and Swelling/De-swelling Properties. Adv. Mater. 2002, 14, 1120–1124. [Google Scholar] [CrossRef]
- Creton, C. 50th Anniversary Perspective: Networks and Gels: Soft but Dynamic and Tough. Macromolecules 2017, 50, 8297–8316. [Google Scholar] [CrossRef]
- Yoon, J.; Lee, K.J.; Lahann, J. Multifunctional polymer particles with distinct compartments. J. Mater. Chem. 2011, 21, 8502–8510. [Google Scholar] [CrossRef]
- Kato, M.; Shoda, N.; Yamamoto, T.; Shiratori, R.; Toyo’oka, T. Development of a silica-based double-network hydrogel for high-throughput screening of encapsulated enzymes. Analyst 2009, 134, 577–581. [Google Scholar] [CrossRef]
- Cai, J.; Liu, S.; Feng, J.; Kimura, S.; Wada, M.; Kuga, S.; Zhang, L. Cellulose–Silica Nanocomposite Aerogels by In Situ Formation of Silica in Cellulose Gel. Angew. Chem. Int. Ed. 2012, 51, 2076–2079. [Google Scholar] [CrossRef]
- Yang, J.; Deng, L.-H.; Han, C.-R.; Duan, J.-F.; Ma, M.-G.; Zhang, X.-M.; Xu, F.; Sun, R.-C. Synthetic and viscoelastic behaviors of silica nanoparticle reinforced poly(acrylamide) core–shell nanocomposite hydrogels. Soft Matter 2013, 9, 1220–1230. [Google Scholar] [CrossRef]
- Wu, C.J.; Wilker, J.J.; Schmidt, G. Robust and Adhesive Hydrogels from Cross-Linked Poly(ethylene glycol) and Silicate for Biomedical Use. Macromol. Biosci. 2013, 13, 59–66. [Google Scholar] [CrossRef] [PubMed]
- Brambila, C.; Boyd, P.; Keegan, A.; Sharma, P.; Vetter, C.; Ponnusamy, E.; Patwardhan, S.V. A Comparison of Environmental Impact of Various Silicas Using a Green Chemistry Evaluator. ACS Sustain. Chem. Eng. 2022, 10, 5288–5298. [Google Scholar] [CrossRef]
- Satbaev, B.; Yefremova, S.; Zharmenov, A.; Kablanbekov, A.; Yermishin, S.; Shalabaev, N.; Satbaev, A.; Khen, V. Rice Husk Research: From Environmental Pollutant to a Promising Source of Organo-Mineral Raw Materials. Materials 2021, 14, 4199. [Google Scholar] [CrossRef]
- Nzereogu, P.U.; Omah, A.D.; Ezema, F.I.; Iwuoha, E.I.; Nwanya, A.C. Silica extraction from rice husk: Comprehensive review and applications. Hybrid Adv. 2023, 4, 100111. [Google Scholar] [CrossRef]
- Real, C.; Alcalá, M.D.; Criado, J.M. Preparation of Silica from Rice Husks. J. Am. Ceram. Soc. 1996, 79, 2012–2016. [Google Scholar] [CrossRef]
- Fernandes, I.J.; Santos, R.V.; Santos, E.C.A.d.; Rocha, T.L.A.C.; Domingues Junior, N.S.; Moraes, C.A.M. Replacement of Commercial Silica by Rice Husk Ash in Epoxy Composites: A Comparative Analysis. Mat. Res. 2018, 21, e20160562. [Google Scholar] [CrossRef]
- Pongdong, W.; Kummerlöwe, C.; Vennemann, N.; Thitithammawong, A.; Nakason, C. A comparative study of rice husk ash and siliceous earth as reinforcing fillers in epoxidized natural rubber composites. Polym. Compos. 2018, 39, 414–426. [Google Scholar] [CrossRef]
- Fuad, M.Y.A.; Jamaludin, M.; Ishak, Z.A.M.; Omar, A.K.M. Rice Husk Ash as Fillers in Polypropylene: A Preliminary Study. Int. J. Polym. Mater. Polym. Biomater. 1993, 19, 75–92. [Google Scholar] [CrossRef]
- Siriwardena, S.; Ismail, H.; Ishiaku, U.S. A comparison of white rice husk ash and silica as fillers in ethylene–propylene–diene terpolymer vulcanizates. Polym. Int. 2001, 50, 707–713. [Google Scholar] [CrossRef]
- Saowapark, T.; Amphaiphan, U.; Chaichana, E.; Wongwitthayakool, P. Enhancing Properties of Deproteinized Natural Rubber with Rice Husk Ash Silica for Use as a Dental Material. Key Eng. Mater. 2016, 675–676, 564–568. [Google Scholar] [CrossRef]
- Wongwitthayakool, P.; Sintunon, T.; Tanagetanasombat, W.; Soonthornchai, P.; Abbas, A.A. Flexural Strength and Dynamic Mechanical Behavior of Rice Husk Ash Silica Filled Acrylic Resin Denture Base Material. Key Eng. Mater. 2019, 824, 94–99. [Google Scholar] [CrossRef]
- Klouda, L.; Mikos, A.G. Thermoresponsive hydrogels in biomedical applications. Eur. J. Pharm. Biopharm. 2008, 68, 34–45. [Google Scholar] [CrossRef]
- García-Couce, J.; Schomann, T.; Chung, C.K.; Que, I.; Jorquera-Cordero, C.; Fuentes, G.; Almirall, A.; Chan, A.; Cruz, L.J. Thermosensitive Injectable Hydrogels for Intra-Articular Delivery of Etanercept for the Treatment of Osteoarthritis. Gels 2022, 8, 488. [Google Scholar] [CrossRef] [PubMed]
- Fan, R.; Cheng, Y.; Wang, R.; Zhang, T.; Zhang, H.; Li, J.; Song, S.; Zheng, A. Thermosensitive Hydrogels and Advances in Their Application in Disease Therapy. Polymers 2022, 14, 2379. [Google Scholar] [CrossRef] [PubMed]
- Zhang, K.; Xue, K.; Loh, X.J. Thermo-Responsive Hydrogels: From Recent Progress to Biomedical Applications. Gels 2021, 7, 77. [Google Scholar] [CrossRef]
- Haider, M.S.; Ahmad, T.; Yang, M.; Hu, C.; Hahn, L.; Stahlhut, P.; Groll, J.; Luxenhofer, R. Tuning the Thermogelation and Rheology of Poly(2-Oxazoline)/Poly(2-Oxazine)s Based Thermosensitive Hydrogels for 3D Bioprinting. Gels 2021, 7, 78. [Google Scholar] [CrossRef] [PubMed]
- Rahmanian-Devin, P.; Baradaran Rahimi, V.; Askari, V.R. Thermosensitive Chitosan-β-Glycerophosphate Hydrogels as Targeted Drug Delivery Systems: An Overview on Preparation and Their Applications. Adv. Pharmacol. Pharm. Sci. 2021, 2021, 6640893. [Google Scholar] [CrossRef]
- Santana Costa, J.A.; Paranhos, C.M. Systematic evaluation of amorphous silica production from rice husk ashes. J. Clean. Prod. 2018, 192, 688–697. [Google Scholar] [CrossRef]
- El-Barghouthi, M.; Eftaiha, A.A.; Rashid, I.; Al-Remawi, M.; Badwan, A. A Novel Superdisintegrating Agent Made from Physically Modified Chitosan with Silicon Dioxide. Drug Dev. Ind. Pharm. 2008, 34, 373–383. [Google Scholar] [CrossRef]
- Minisha, S.; Gopinath, A.; Mukherjee, S.; Srinivasan, P.; Madhan, B.; Shanmugam, G. Impact of SiO2 nanoparticles on the structure and property of type I collagen in three different forms. Spectrochim. Acta A Mol. Biomol. Spectrosc. 2024, 305, 123520. [Google Scholar] [CrossRef]
- Liu, Y.; Cai, Z.; Sheng, L.; Ma, M.; Xu, Q. Influence of nanosilica on inner structure and performance of chitosan based films. Carbohydr. Polym. 2019, 212, 421–429. [Google Scholar] [CrossRef] [PubMed]
- Perumal, S.; Ramadass, S.K.; Gopinath, A.; Madhan, B.; Shanmugam, G.; Rajadas, J.; Mandal, A.B. Altering the concentration of silica tunes the functional properties of collagen–silica composite scaffolds to suit various clinical requirements. J. Mech. Behav. Biomed. Mater. 2015, 52, 131–138. [Google Scholar] [CrossRef]
- Adamski, R.; Siuta, D. Mechanical, Structural, and Biological Properties of Chitosan/Hydroxyapatite/Silica Composites for Bone Tissue Engineering. Molecules 2021, 26, 1976. [Google Scholar] [CrossRef] [PubMed]
- Zhang, J.; Zhou, A.; Deng, A.; Yang, Y.; Gao, L.; Zhong, Z.; Yang, S. Pore architecture and cell viability on freeze dried 3D recombinant human collagen-peptide (RHC)–chitosan scaffolds. Mater. Sci. Eng. C 2015, 49, 174–182. [Google Scholar] [CrossRef]
- Chik, N.; Shaari, N.; Ramlee, N.; Manaf, M. Extraction of Silica from Rice Husk Ash and Its Effect on the Properties of the Integral Membrane. ASM Sci. J. 2022, 17, 1–13. [Google Scholar] [CrossRef]
- Hübner, C.; Vadalà, M.; Voges, K.; Lupascu, D.C. Poly(vinyl alcohol) freeze casts with nano-additives as potential thermal insulators. Sci. Rep. 2023, 13, 1020. [Google Scholar] [CrossRef] [PubMed]
- Song, X.; Philpott, M.A.; Best, S.M.; Cameron, R.E. Controlling the Architecture of Freeze-Dried Collagen Scaffolds with Ultrasound-Induced Nucleation. Polymers 2024, 16, 213. [Google Scholar] [CrossRef]
- Mesa, M.; Becerra, N.Y. Silica/Protein and Silica/Polysaccharide Interactions and Their Contributions to the Functional Properties of Derived Hybrid Wound Dressing Hydrogels. Int. J. Biomater. 2021, 2021, 6857204. [Google Scholar] [CrossRef]
- Cassagnau, P. Payne effect and shear elasticity of silica-filled polymers in concentrated solutions and in molten state. Polymers 2003, 44, 2455–2462. [Google Scholar] [CrossRef]
- Rose, S.; Marcellan, A.; Narita, T.; Boué, F.; Cousin, F.; Hourdet, D. Structure investigation of nanohybrid PDMA/silica hydrogels at rest and under uniaxial deformation. Soft Matter 2015, 11, 5905–5917. [Google Scholar] [CrossRef]
- Wu, L.; Zeng, L.; Chen, H.; Zhang, C. Effects of silica sol content on the properties of poly(acrylamide)/silica composite hydrogel. Polym. Bull. 2012, 68, 309–316. [Google Scholar] [CrossRef]
- Zhang, G.; Wang, G.; Jiang, Y.; Wang, S.; Zhang, Y. Preparation and properties of rice husk ash silica filled natural rubber. Polym. Compos. 2024, 45, 438–447. [Google Scholar] [CrossRef]
- Seangyen, W.; Prapainainar, P.; Sae-oui, P.; Loykulnant, S.; Dittanet, P. Natural Rubber Reinforced with Silica Nanoparticles Extracted from Jasmine and Riceberry Rice Husk Ashes. Mater. Sci. Forum. 2018, 936, 31–36. [Google Scholar] [CrossRef]
- Ismail, H.; Hong, H.B.; Ping, C.Y.; Khalil, H.P.S.A. The Effects of a Compatibilizer on the Properties of Polypropylene/Silica/White Rice Husk Ash Hybrid Composites. J. Reinf. Plast. Compos. 2002, 21, 1685–1696. [Google Scholar] [CrossRef]







| Element | Amount (% w/w) |
|---|---|
| Si | 96.91 ± 0.09 |
| Ca | 1.56 ± 0.06 |
| P | 0.321 ± 0.016 |
| S | 0.230 ± 0.011 |
| Fe | 0.220 ± 0.011 |
| Mg | 0.026 ± 0.010 |
| K | 0.183 ± 0.0091 |
| Na | 0.156 ± 0.0078 |
| Mn | 0.0709 ± 0.0035 |
| Al | 0.0443 ± 0.0062 |
| Zn | 0.0323 ± 0.0016 |
| Ti | 0.0270 ± 0.0014 |
| Cr | 0.0246± 0.0013 |
| Cu | 0.0085 ± 0.0010 |
| Sr | 0.0065 ± 0.0011 |
| RHA-Si Concentration (% w/v) | Maximum Mid-Pore Size Range (mm) | SDSt.Sp (mm) |
|---|---|---|
| 0 | 0.07 | 0.04 |
| 0.5 | 0.13 | 0.07 |
| 1 | 0.20 | 0.15 |
| 2 | 0.12 | 0.20 |
| 3 | 0.20 | 0.11 |
| RHA-Si Concentrations (% w/v) | Porosity (%) | Connectivity Density (1/mm3) |
|---|---|---|
| 0 | 39.41 | 590.64 |
| 0.5 | 64.81 | 280.52 |
| 1 | 74.22 | 144.80 |
| 2 | 69.47 | 203.03 |
| 3 | 70.68 | 175.34 |
Disclaimer/Publisher’s Note: The statements, opinions and data contained in all publications are solely those of the individual author(s) and contributor(s) and not of MDPI and/or the editor(s). MDPI and/or the editor(s) disclaim responsibility for any injury to people or property resulting from any ideas, methods, instructions or products referred to in the content. |
© 2025 by the authors. Licensee MDPI, Basel, Switzerland. This article is an open access article distributed under the terms and conditions of the Creative Commons Attribution (CC BY) license (https://creativecommons.org/licenses/by/4.0/).
Share and Cite
Poommoon, A.; Nookong, P.; Pengoubol, S.; Wongwithayakool, P. Bio-Based Silica-Reinforced Chitosan/Collagen Thermogels: Synthesis, Structure, and Rheological Behavior. Polymers 2025, 17, 2476. https://doi.org/10.3390/polym17182476
Poommoon A, Nookong P, Pengoubol S, Wongwithayakool P. Bio-Based Silica-Reinforced Chitosan/Collagen Thermogels: Synthesis, Structure, and Rheological Behavior. Polymers. 2025; 17(18):2476. https://doi.org/10.3390/polym17182476
Chicago/Turabian StylePoommoon, Amakorn, Piyanut Nookong, Santamon Pengoubol, and Panjaporn Wongwithayakool. 2025. "Bio-Based Silica-Reinforced Chitosan/Collagen Thermogels: Synthesis, Structure, and Rheological Behavior" Polymers 17, no. 18: 2476. https://doi.org/10.3390/polym17182476
APA StylePoommoon, A., Nookong, P., Pengoubol, S., & Wongwithayakool, P. (2025). Bio-Based Silica-Reinforced Chitosan/Collagen Thermogels: Synthesis, Structure, and Rheological Behavior. Polymers, 17(18), 2476. https://doi.org/10.3390/polym17182476

