Biocompatible Natural Polymer-Based Amorphous Solid Dispersion System Improving Drug Physicochemical Properties, Stability, and Efficacy
Abstract
1. Introduction
2. Methodology
3. Natural Polymers
3.1. Types of Natural Polymer Sources
3.2. Biodegradable and Biocompatible Properties of Natural Polymers
3.3. Advantages of Natural Polymers Compared to Synthetic Polymers
4. Amorphous Solid Dispersions
4.1. Basic Concept of ASDs
4.2. Advanced Development of ASD Systems
4.3. Preparation Technique of ASDs
5. Characterization and Evaluation of ASDs
5.1. Thermal Analysis Techniques
5.1.1. Differential Scanning Calorimetry (DSC) and Modulated DSC (MDSC)
5.1.2. Thermo-Rheological Techniques
5.2. Microscopic and Morphological Techniques
5.2.1. Polarized Light Microscopy (PLM)
5.2.2. Powder X-Ray Diffraction (PXRD)
5.2.3. Scanning Electron Microscopy (SEM)
5.2.4. Atomic Force Microscopy (AFM)
5.3. Spectroscopic Techniques
5.3.1. Solid-State Nuclear Magnetic Resonance (ssNMR)
5.3.2. Infrared Spectroscopy and Raman Spectroscopy
6. Development of Natural Polymer-Based ASD Systems
7. Solubility and Dissolution Studies of Natural Polymers
8. Drug Effectivity Studies of Natural Polymers
9. Stability Studies of Natural Polymers
10. Critical Evaluation and Mechanistic Insights
11. Challenges and Limitations of Natural Polymer-Based Amorphous Solid Dispersions (NP-ASDs)
11.1. Variability and Inconsistency of Natural Polymers
11.2. Complexity in Predicting Drug–Polymer Interactions
11.3. Formulation and Processing Constraints
11.4. Limited Shelf-Life and Stability Under Stress Conditions
11.5. Immunogenicity and Allergenicity Risks
11.6. Analytical and Regulatory Limitations
12. Conclusions and Future Perspectives
12.1. Conclusions
12.2. Future Perspectives
Author Contributions
Funding
Institutional Review Board Statement
Data Availability Statement
Acknowledgments
Conflicts of Interest
Abbreviations
| ASD | Amorphous solid dispersion |
| API | Active pharmaceutical ingredient |
| PVP | Polyvinylpyrrolidone |
| HPMC | Hydroxypropyl methylcellulose |
| NP-ASDs | Natural polymer–based ASDs |
| PEG | Polyethylene glycol |
| DNA | Deoxyribonucleic acid |
| RNA | Ribonucleic acid |
| HME | Hot melt extrusion |
| DMA | Dynamic mechanical analysis |
| DSC | Differential scanning calorimetry |
| PLM | Polarized light microscopy |
| PXRD | Powder X-ray diffraction |
| SEM | Scanning electron microscopy |
| AFM | Atomic force microscopy |
| ssNMR | Solid-state nuclear magnetic resonance |
| AUC | Area under the curve |
References
- Tambe, S.; Jain, D.; Meruva, S.K.; Rongala, G.; Juluri, A.; Nihalani, G.; Mamidi, H.K.; Nukala, P.K.; Bolla, P.K. Recent Advances in Amorphous Solid Dispersions: Preformulation, Formulation Strategies, Technological Advancements and Characterization. Pharmaceutics 2022, 14, 2203. [Google Scholar] [CrossRef] [PubMed]
- Budiman, A.; Megantara, S.; Apriliani, A. Solid Dosage Form Development of Glibenclamide-Aspartame Cocrystal Using the Solvent Evaporation Method to Increase the Solubility of Glibenclamide. Int. J. Appl. Pharm. 2019, 11, 150–154. [Google Scholar] [CrossRef]
- Budiman, A.; Husni, P.; Shafira; Alfauziah, T.Q. The Development of Glibenclamide-Saccharin Cocrystal Tablet Formulations to Increase the Dissolution Rate of the Drug. Int. J. Appl. Pharm. 2019, 11, 359–364. [Google Scholar] [CrossRef]
- Schittny, A.; Huwyler, J.; Puchkov, M. Mechanisms of Increased Bioavailability through Amorphous Solid Dispersions: A Review. Drug Deliv. 2020, 27, 110–127. [Google Scholar] [CrossRef]
- Khadka, P.; Ro, J.; Kim, H.; Kim, I.; Kim, J.T.; Kim, H.; Cho, J.M.; Yun, G.; Lee, J. Pharmaceutical Particle Technologies: An Approach to Improve Drug Solubility, Dissolution and Bioavailability. Asian J. Pharm. Sci. 2014, 9, 304–316. [Google Scholar] [CrossRef]
- Almotairy, A.; Almutairi, M.; Althobaiti, A.; Alyahya, M.; Sarabu, S.; Alzahrani, A.; Zhang, F.; Bandari, S.; Repka, M.A. Effect of PH Modifiers on the Solubility, Dissolution Rate, and Stability of Telmisartan Solid Dispersions Produced by Hot-Melt Extrusion Technology. J. Drug Deliv. Sci. Technol. 2021, 65, 102674. [Google Scholar] [CrossRef]
- Gupta, D.; Bhatia, D.; Dave, V.; Sutariya, V.; Varghese Gupta, S. Salts of Therapeutic Agents: Chemical, Physicochemical, and Biological Considerations. Molecules 2018, 23, 1719. [Google Scholar] [CrossRef]
- Vidhyalakshmi, R.; Kowsika, M.; Pratheeba, G.; Blessy Flarance, T.; Punithavalli, S.; Rajaganapathy, K.; Srinivasan, R. Exploring the Use of Lipid-Based Formulations for Improved Solubility of Hydrophobic Drugs. Int. J. Pharm. Sci. 2025, 3, 1. [Google Scholar]
- Nicolaescu, O.E.; Belu, I.; Mocanu, A.G.; Manda, V.C.; Rău, G.; Pîrvu, A.S.; Ionescu, C.; Ciulu-Costinescu, F.; Popescu, M.; Ciocîlteu, M.V. Cyclodextrins: Enhancing Drug Delivery, Solubility and Bioavailability for Modern Therapeutics. Pharmaceutics 2025, 17, 288. [Google Scholar] [CrossRef]
- Malkawi, R.; Malkawi, W.I.; Al-Mahmoud, Y.; Tawalbeh, J. Current Trends on Solid Dispersions: Past, Present, and Future. Adv. Pharmacol. Pharm. Sci. 2022, 2022, 5916013. [Google Scholar] [CrossRef]
- Nguyen, H.T.; Van Duong, T.; Taylor, L.S. Impact of Gastric PH Variations on the Release of Amorphous Solid Dispersion Formulations Containing a Weakly Basic Drug and Enteric Polymers. Mol. Pharm. 2023, 20, 1681–1695. [Google Scholar] [CrossRef]
- Saraf, I.; Roskar, R.; Modhave, D.; Brunsteiner, M.; Karn, A.; Neshchadin, D.; Gescheidt, G.; Paudel, A. Forced Solid-State Oxidation Studies of Nifedipine-PVP Amorphous Solid Dispersion. Mol. Pharm. 2022, 19, 568–583. [Google Scholar] [CrossRef]
- Fatmi, S.; Bournine, L.; Iguer-Ouada, M.; Lahiani-Skiba, M.; Bouchal, F.; Skiba, M. Amorphous Solid Dispersion Studies of Camptothecin-Cyclodextrin Inclusion Complexes in PEG 6000. Acta Pol. Pharm. 2015, 72, 179–192. [Google Scholar] [PubMed]
- Zhang, J.; Shi, X.; Tao, W. Curcumin Amorphous Solid Dispersions Benefit from Hydroxypropyl Methylcellulose E50 to Perform Enhanced Anti-Inflammatory Effects. Int. J. Biol. Macromol. 2023, 252, 126507. [Google Scholar] [CrossRef] [PubMed]
- Satchanska, G.; Davidova, S.; Petrov, P.D. Natural and Synthetic Polymers for Biomedical and Environmental Applications. Polymers 2024, 16, 1159. [Google Scholar] [CrossRef] [PubMed]
- Desai, N.; Rana, D.; Salave, S.; Gupta, R.; Patel, P.; Karunakaran, B.; Sharma, A.; Giri, J.; Benival, D.; Kommineni, N. Chitosan: A Potential Biopolymer in Drug Delivery and Biomedical Applications. Pharmaceutics 2023, 15, 1313. [Google Scholar] [CrossRef]
- Kothale, D.; Verma, U.; Dewangan, N.; Jana, P.; Jain, A.; Jain, D. Alginate as Promising Natural Polymer for Pharmaceutical, Food, and Biomedical Applications. Curr. Drug Deliv. 2020, 17, 755–775. [Google Scholar] [CrossRef]
- Shingel, K.I.; Selyanin, M.; Filion, M.C.; Polyak, F. Solid Dispersions of Drugs in Hyaluronan Matrix: The Role of the Biopolymer in Modulating Drug Activity in Vivo. J. Drug Deliv. Sci. Technol. 2017, 39, 140–146. [Google Scholar] [CrossRef]
- Martau, G.A.; Mihai, M.; Vodnar, D.C. The Use of Chitosan, Alginate, and Pectin in the Biomedical and Food Sector-Biocompatibility, Bioadhesiveness, and Biodegradability. Polymers 2019, 11, 1837. [Google Scholar] [CrossRef]
- Li, Y.; Wei, Q.; Su, J.; Zhang, H.; Fan, Z.; Ding, Z.; Wen, M.; Liu, M.; Zhao, Y. Encapsulation of Astaxanthin in OSA-Starch Based Amorphous Solid Dispersions with HPMCAS-HF/Soluplus® as Effective Recrystallization Inhibitor. Int. J. Biol. Macromol. 2024, 279, 135421. [Google Scholar] [CrossRef]
- Jawadi, Z.; Yang, C.; Haidar, Z.S.; Santa Maria, P.L.; Massa, S. Bio-Inspired Muco-Adhesive Polymers for Drug Delivery Applications. Polymers 2022, 14, 5459. [Google Scholar] [CrossRef]
- Topuz, F.; Uyar, T. Advances in the Development of Cyclodextrin-Based Nanogels/Microgels for Biomedical Applications: Drug Delivery and Beyond. Carbohydr. Polym. 2022, 297, 120033. [Google Scholar] [CrossRef]
- Seftian, M.; Laksitorini, M.D.; Sulaiman, T.N.S. Drug Solubility Enhancement Strategies Using Amorphous Solid Dispersion: Examination on Type and The Amount of the Polymer. Indones. J. Pharm. Sci. Technol. 2024, 11, 186–195. [Google Scholar] [CrossRef]
- Huang, R.; Han, J.; Wang, R.; Zhao, X.; Qiao, H.; Chen, L.; Li, W.; Di, L.; Zhang, W.; Li, J. Surfactant-Free Solid Dispersion of BCS Class IV Drug in an Amorphous Chitosan Oligosaccharide Matrix for Concomitant Dissolution in vitro—Permeability Increase. Eur. J. Pharm. Sci. 2019, 130, 147–155. [Google Scholar] [CrossRef] [PubMed]
- Guan, J.; Liu, Q.; Zhang, X.; Zhang, Y.; Chokshi, R.; Wu, H.; Mao, S. Alginate as a Potential Diphase Solid Dispersion Carrier with Enhanced Drug Dissolution and Improved Storage Stability. Eur. J. Pharm. Sci. 2018, 114, 346–355. [Google Scholar] [CrossRef] [PubMed]
- MISRA, S.K.; BOCCACCINI, A.R. Biodegradable and Bioactive Polymer/Ceramic Composite Scaffolds. In Tissue Engineering Using Ceramics and Polymers; Elsevier: Amsterdam, The Netherlands, 2007; pp. 72–92. [Google Scholar]
- Silva, A.C.Q.; Silvestre, A.J.D.; Vilela, C.; Freire, C.S.R. Natural Polymers-Based Materials: A Contribution to a Greener Future. Molecules 2021, 27, 94. [Google Scholar] [CrossRef] [PubMed]
- Larsen, M.T.; Kuhlmann, M.; Hvam, M.L.; Howard, K.A. Albumin-Based Drug Delivery: Harnessing Nature to Cure Disease. Mol. Cell Ther. 2016, 4, 3. [Google Scholar] [CrossRef]
- Berardi, A.; Bauhuber, S.; Sawafta, O.; Warnke, G. Alginates as Tablet Disintegrants: Understanding Disintegration Mechanisms and Defining Ranges of Applications. Int. J. Pharm. 2021, 601, 120512. [Google Scholar] [CrossRef]
- Yohana Chaerunisaa, A.; Sriwidodo, S.; Abdassah, M. Microcrystalline Cellulose as Pharmaceutical Excipient. In Pharmaceutical Formulation Design—Recent Practices; IntechOpen: Rijeka, Croatia, 2020. [Google Scholar]
- Badwan, A.; Rashid, I.; Omari, M.; Darras, F. Chitin and Chitosan as Direct Compression Excipients in Pharmaceutical Applications. Mar. Drugs 2015, 13, 1519–1547. [Google Scholar] [CrossRef]
- Chellathurai, M.S.; Chung, L.Y.; Hilles, A.R.; Sofian, Z.M.; Singha, S.; Ghosal, K.; Mahmood, S. Pharmaceutical Chitosan Hydrogels: A Review on Its Design and Applications. Int. J. Biol. Macromol. 2024, 280, 135775. [Google Scholar] [CrossRef]
- Conceição, J.; Adeoye, O.; Cabral-Marques, H.M.; Lobo, J.M.S. Cyclodextrins as Excipients in Tablet Formulations. Drug Discov. Today 2018, 23, 1274–1284. [Google Scholar] [CrossRef] [PubMed]
- Kandar, C.C.; Hasnain, M.S.; Nayak, A.K. Natural Polymers as Useful Pharmaceutical Excipients. In Advances and Challenges in Pharmaceutical Technology; Elsevier: Amsterdam, The Netherlands, 2021; pp. 1–44. [Google Scholar]
- George, A.; Shah, P.A.; Shrivastav, P.S. Guar Gum: Versatile Natural Polymer for Drug Delivery Applications. Eur. Polym. J. 2019, 112, 722–735. [Google Scholar] [CrossRef]
- Mudgil, D.; Mudgil, S. Acacia Gum: Chemistry, Properties & Food Applications. Food Humanit. 2024, 2, 100264. [Google Scholar] [CrossRef]
- Zhu, Y.; Pang, Z. Hyaluronic Acid in Drug Delivery Applications. In Natural Polysaccharides in Drug Delivery and Biomedical Applications; Elsevier: Amsterdam, The Netherlands, 2019; pp. 307–325. [Google Scholar]
- Li, L.; Ni, R.; Shao, Y.; Mao, S. Carrageenan and Its Applications in Drug Delivery. Carbohydr. Polym. 2014, 103, 1–11. [Google Scholar] [CrossRef]
- Verma, A.; Tiwari, A.; Panda, P.K.; Saraf, S.; Jain, A.; Jain, S.K. Locust Bean Gum in Drug Delivery Application. In Natural Polysaccharides in Drug Delivery and Biomedical Applications; Elsevier: Amsterdam, The Netherlands, 2019; pp. 203–222. [Google Scholar]
- Meng, Y.; Wang, S.; Guo, Z.; Cheng, M.; Li, J.; Li, D. Design and Preparation of Quaternized Pectin-Montmorillonite Hybrid Film for Sustained Drug Release. Int. J. Biol. Macromol. 2020, 154, 413–420. [Google Scholar] [CrossRef]
- Sivamaruthi, B.S.; Nallasamy, P.k.; Suganthy, N.; Kesika, P.; Chaiyasut, C. Pharmaceutical and Biomedical Applications of Starch-Based Drug Delivery System: A Review. J. Drug Deliv. Sci. Technol. 2022, 77, 103890. [Google Scholar] [CrossRef]
- Ng, J.Y.; Obuobi, S.; Chua, M.L.; Zhang, C.; Hong, S.; Kumar, Y.; Gokhale, R.; Ee, P.L.R. Biomimicry of Microbial Polysaccharide Hydrogels for Tissue Engineering and Regenerative Medicine—A Review. Carbohydr. Polym. 2020, 241, 116345. [Google Scholar] [CrossRef]
- Piqué, N.; Gómez-Guillén, M.; Montero, M. Xyloglucan, a Plant Polymer with Barrier Protective Properties over the Mucous Membranes: An Overview. Int. J. Mol. Sci. 2018, 19, 673. [Google Scholar] [CrossRef]
- Shagdarova, B.; Konovalova, M.; Varlamov, V.; Svirshchevskaya, E. Anti-Obesity Effects of Chitosan and Its Derivatives. Polymers 2023, 15, 3967. [Google Scholar] [CrossRef]
- Asghari, F.; Samiei, M.; Adibkia, K.; Akbarzadeh, A.; Davaran, S. Biodegradable and Biocompatible Polymers for Tissue Engineering Application: A Review. Artif. Cells Nanomed. Biotechnol. 2017, 45, 185–192. [Google Scholar] [CrossRef]
- Idrees, H.; Zaidi, S.Z.J.; Sabir, A.; Khan, R.U.; Zhang, X.; Hassan, S. A Review of Biodegradable Natural Polymer-Based Nanoparticles for Drug Delivery Applications. Nanomaterials 2020, 10, 1970. [Google Scholar] [CrossRef]
- Bhatia, S. Natural Polymers vs Synthetic Polymer. In Natural Polymer Drug Delivery Systems; Springer International Publishing: Cham, Switzerland, 2016; pp. 95–118. [Google Scholar]
- Yadav, H.; Malviya, R.; Kaushik, N. Chitosan in Biomedicine: A Comprehensive Review of Recent Developments. Carbohydr. Polym. Technol. Appl. 2024, 8, 100551. [Google Scholar] [CrossRef]
- Nair, B. Final Report on the Safety Assessment of Polyvinylpyrrolidone (PVP). Int. J. Toxicol. 1998, 17, 95–130. [Google Scholar] [CrossRef]
- Mawazi, S.M.; Kumar, M.; Ahmad, N.; Ge, Y.; Mahmood, S. Recent Applications of Chitosan and Its Derivatives in Antibacterial, Anticancer, Wound Healing, and Tissue Engineering Fields. Polymers 2024, 16, 1351. [Google Scholar] [CrossRef] [PubMed]
- Tuesta, T.; Castillo-Barzola, A.; Linares, H.; Ruiz-Pacco, G.; Baena-Moncada, A.M.; Valderrama-Negrón, A.C. Chitosan-Based Materials for Food Preservation: Enhancing Shelf Life and Safety through Sustainable Nanoparticles and Films. Food Chem. 2025, 486, 144589. [Google Scholar] [CrossRef]
- Kaewkroek, K.; Petchsomrit, A.; Wira Septama, A.; Wiwattanapatapee, R. Development of Starch/Chitosan Expandable Films as a Gastroretentive Carrier for Ginger Extract-Loaded Solid Dispersion. Saudi Pharm. J. 2022, 30, 120–131. [Google Scholar] [CrossRef]
- Flórez, M.; Guerra-Rodríguez, E.; Cazón, P.; Vázquez, M. Chitosan for Food Packaging: Recent Advances in Active and Intelligent Films. Food Hydrocoll. 2022, 124, 107328. [Google Scholar] [CrossRef]
- Germershaus, O.; Lühmann, T.; Rybak, J.-C.; Ritzer, J.; Meinel, L. Application of Natural and Semi-Synthetic Polymers for the Delivery of Sensitive Drugs. Int. Mater. Rev. 2015, 60, 101–131. [Google Scholar] [CrossRef]
- Thakur, M.; Sharma, A.; Chandel, M.; Pathania, D. Modern Applications and Current Status of Green Nanotechnology in Environmental Industry. In Green Functionalized Nanomaterials for Environmental Applications; Elsevier: Amsterdam, The Netherlands, 2022; pp. 259–281. [Google Scholar]
- Vasconcelos, T.; Marques, S.; das Neves, J.; Sarmento, B. Amorphous Solid Dispersions: Rational Selection of a Manufacturing Process. Adv. Drug Deliv. Rev. 2016, 100, 85–101. [Google Scholar] [CrossRef]
- Budiman, A.; Kalina, K.; Aristawidya, L.; Shofwan, A.A.A.; Rusdin, A.; Aulifa, D.L. Characterizing the Impact of Chitosan on the Nucleation and Crystal Growth of Ritonavir from Supersaturated Solutions. Polymers 2023, 15, 1282. [Google Scholar] [CrossRef]
- He, Y.; Ho, C. Amorphous Solid Dispersions: Utilization and Challenges in Drug Discovery and Development. J. Pharm. Sci. 2015, 104, 3237–3258. [Google Scholar] [CrossRef]
- Aulifa, D.L.; Al Shofwan, A.A.; Megantara, S.; Fakih, T.M.; Budiman, A. Elucidation of Molecular Interactions Between Drug–Polymer in Amorphous Solid Dispersion by a Computational Approach Using Molecular Dynamics Simulations. Adv. Appl. Bioinform. Chem. 2024, 17, 1–19. [Google Scholar] [CrossRef]
- Pandi, P.; Bulusu, R.; Kommineni, N.; Khan, W.; Singh, M. Amorphous Solid Dispersions: An Update for Preparation, Characterization, Mechanism on Bioavailability, Stability, Regulatory Considerations and Marketed Products. Int. J. Pharm. 2020, 586, 119560. [Google Scholar] [CrossRef]
- Budiman, A.; Handini, A.L.; Muslimah, M.N.; Nurani, N.V.; Laelasari, E.; Kurniawansyah, I.S.; Aulifa, D.L. Amorphous Solid Dispersion as Drug Delivery Vehicles in Cancer. Polymers 2023, 15, 3380. [Google Scholar] [CrossRef]
- Saberi, A.; Kouhjani, M.; Yari, D.; Jahani, A.; Asare-Addo, K.; Kamali, H.; Nokhodchi, A. Development, Recent Advances, and Updates in Binary, Ternary Co-Amorphous Systems, and Ternary Solid Dispersions. J. Drug Deliv. Sci. Technol. 2023, 86, 104746. [Google Scholar] [CrossRef]
- Budiman, A.; Aulifa, D.L. Characterization of Drugs with Good Glass Formers in Loaded-Mesoporous Silica and Its Theoretical Value Relevance with Mesopores Surface and Pore-Filling Capacity. Pharmaceuticals 2022, 15, 93. [Google Scholar] [CrossRef] [PubMed]
- Zhang, J.; Guo, M.; Luo, M.; Cai, T. Advances in the Development of Amorphous Solid Dispersions: The Role of Polymeric Carriers. Asian J. Pharm. Sci. 2023, 18, 100834. [Google Scholar] [CrossRef] [PubMed]
- Iyer, R.; Petrovska Jovanovska, V.; Berginc, K.; Jaklič, M.; Fabiani, F.; Harlacher, C.; Huzjak, T.; Sanchez-Felix, M.V. Amorphous Solid Dispersions (ASDs): The Influence of Material Properties, Manufacturing Processes and Analytical Technologies in Drug Product Development. Pharmaceutics 2021, 13, 1682. [Google Scholar] [CrossRef]
- Zhang, W.; Noland, R.; Chin, S.; Petkovic, M.; Zuniga, R.; Santarra, B.; Conklin, B.; Hou, H.H.; Nagapudi, K.; Gruenhagen, J.A.; et al. Impact of Polymer Type, ASD Loading and Polymer-Drug Ratio on ASD Tablet Disintegration and Drug Release. Int. J. Pharm. 2021, 592, 120087. [Google Scholar] [CrossRef]
- Sahoo, N.G.; Kakran, M.; Li, L.; Judeh, Z.; Müller, R.H. Dissolution Enhancement of a Poorly Water-Soluble Antimalarial Drug by Means of a Modified Multi-Fluid Nozzle Pilot Spray Drier. Mater. Sci. Eng. C 2011, 31, 391–399. [Google Scholar] [CrossRef]
- Bhardwaj, V.; Trasi, N.S.; Zemlyanov, D.Y.; Taylor, L.S. Surface Area Normalized Dissolution to Study Differences in Itraconazole-Copovidone Solid Dispersions Prepared by Spray-Drying and Hot Melt Extrusion. Int. J. Pharm. 2018, 540, 106–119. [Google Scholar] [CrossRef]
- Del Pinto, R.; Desideri, G.; Ferri, C.; Agabiti Rosei, E. Real-World Antihypertensive Treatment Patterns, Treatment Adherence, and Blood Pressure Control in the Elderly: An Italian Awareness-Raising Campaign on Hypertension by Senior Italia FederAnziani, the Italian Society of Hypertension and the Italian Federa. High Blood Press. Cardiovasc. Prev. 2021, 28, 457–466. [Google Scholar] [CrossRef]
- Qi, J.; Wang, B.; Ding, S.; Daintree, L.S.; Ledger, D.M.; Zhao, W.; Wu, W.; Yin, X. Itraconazole Solid Dispersion Prepared by a Supercritical Fluid Technique: Preparation, in vitro Characterization, and Bioavailability in Beagle Dogs. Drug Des. Devel Ther. 2015, 2801, 2801–2810. [Google Scholar] [CrossRef] [PubMed]
- Wostry, M.; Plappert, H.; Grohganz, H. Preparation of Co-Amorphous Systems by Freeze-Drying. Pharmaceutics 2020, 12, 941. [Google Scholar] [CrossRef] [PubMed]
- Ma, X.; Williams, R.O. Characterization of Amorphous Solid Dispersions: An Update. J. Drug Deliv. Sci. Technol. 2019, 50, 113–124. [Google Scholar] [CrossRef]
- Baird, J.A.; Taylor, L.S. Evaluation of Amorphous Solid Dispersion Properties Using Thermal Analysis Techniques. Adv. Drug Deliv. Rev. 2012, 64, 396–421. [Google Scholar] [CrossRef] [PubMed]
- Mehenni, L.; Lahiani-Skiba, M.; Ladam, G.; Hallouard, F.; Skiba, M. Preparation and Characterization of Spherical Amorphous Solid Dispersion with Amphotericin B. Pharmaceutics 2018, 10, 235. [Google Scholar] [CrossRef]
- Popy, F.A.; Dewan, I.; Parvin, M.N.; Islam, S.M.A. Evaluation of in vitro Equivalence for Tablets Containing the Poorly WaterSoluble Compound Atorvastatin. Dissolut Technol. 2012, 19, 30–33. [Google Scholar] [CrossRef]
- Panghal, D.; Nagpal, M.; Thakur, G.S.; Arora, S. Dissolution Improvement of Atorvastatin Calcium Using Modified Locust Bean Gum by the Solid Dispersion Technique. Sci. Pharm. 2014, 82, 177–191. [Google Scholar] [CrossRef]
- Huynh, D.T.M.; Hai, H.T.; Hau, N.M.; Lan, H.K.; Vinh, T.P.; Tran, V.D.; Pham, D.T. Preparations and Characterizations of Effervescent Granules Containing Azithromycin Solid Dispersion for Children and Elder: Solubility Enhancement, Taste-Masking, and Digestive Acidic Protection. Heliyon 2023, 9, e16592. [Google Scholar] [CrossRef]
- Mardiyanto, M.; Untari, B.; Mara, A.; Ferdiansyah, D.F. Formation of Hydroxyl-Amide Solid Dispersion Involving Azithromycin and Chitosan-Alginate Biopolymer to Increase the Dissolution Rate of Azithromycin. Sci. Technol. Indones. 2023, 8, 647–653. [Google Scholar] [CrossRef]
- Singh, L.; Kaur, L.; Singh, G.; Dhawan, R.K.; Kaur, M.; Kaur, N.; Singh, P. Determination of Alteration in Micromeritic Properties of a Solid Dispersion: Brunauer-Emmett-Teller Based Adsorption and Other Structured Approaches. AAPS PharmSciTech 2022, 23, 209. [Google Scholar] [CrossRef]
- Rodríguez-Ruiz, C.; Montes-Tolentino, P.; Domínguez-Chávez, J.G.; Morales-Rojas, H.; Höpfl, H.; Herrera-Ruiz, D. Tailoring Chlorthalidone Aqueous Solubility by Cocrystallization: Stability and Dissolution Behavior of a Novel Chlorthalidone-Caffeine Cocrystal. Pharmaceutics 2022, 14, 334. [Google Scholar] [CrossRef]
- França, M.T.; O’Reilly Beringhs, A.; Nicolay Pereira, R.; Martins Marcos, T.; Bazzo, G.C.; Stulzer, H.K. The Role of Sodium Alginate on the Supersaturation State of the Poorly Soluble Drug Chlorthalidone. Carbohydr. Polym. 2019, 209, 207–214. [Google Scholar] [CrossRef]
- Sapkal, S.B.; Adhao, V.S.; Thenge, R.R.; Darakhe, R.A.; Shinde, S.A.; Shrikhande, V.N. Formulation and Characterization of Solid Dispersions of Etoricoxib Using Natural Polymers. Turk. J. Pharm. Sci. 2020, 17, 7–19. [Google Scholar] [CrossRef]
- Saady, M.; Shoman, N.A.; Teaima, M.; Abdelmonem, R.; El-Nabarawi, M.A.; Elhabal, S.F. Fabrication of Gastro-Floating Sustained-Release Etoricoxib and Famotidine Tablets: Design, Optimization, in-Vitro, and in-Vivo Evaluation. Pharm. Dev. Technol. 2024, 29, 429–444. [Google Scholar] [CrossRef] [PubMed]
- Matsuda, H.; Matsumoto, S.; Kaguragi, K.; Kurihara, K.; Tochigi, K.; Tomono, K. Determination and Correlation of Solubilities of Famotidine in Water+co-Solvent Mixed Solvents. Fluid. Phase Equilib. 2011, 302, 115–122. [Google Scholar] [CrossRef]
- Alkufi, H.K.; Rashid, A.M. Enhancement of the Solubility of Famotidine Solid Dispersion Using Natural Polymer by Solvent Evaporation. Int. J. Appl. Pharm. 2021, 13, 193–198. [Google Scholar] [CrossRef]
- Majumdar, S.; Srirangam, R. Solubility, Stability, Physicochemical Characteristics and in vitro Ocular Tissue Permeability of Hesperidin: A Natural Bioflavonoid. Pharm. Res. 2009, 26, 1217–1225. [Google Scholar] [CrossRef]
- Rosiak, N.; Wdowiak, K.; Tykarska, E.; Cielecka-Piontek, J. Amorphous Solid Dispersion of Hesperidin with Polymer Excipients for Enhanced Apparent Solubility as a More Effective Approach to the Treatment of Civilization Diseases. Int. J. Mol. Sci. 2022, 23, 15198. [Google Scholar] [CrossRef]
- Sapkal, S.; Sapkal, S.B.; Shrikhande, V.N.; Pal, A.; Bedi, B.S. Dissolution and Solubility Enhancement of Ibuprofen Using Solid Dispersion. Int. J. Res. Anal. Rev. 2018, 5, 2. [Google Scholar]
- Shakeel, F.; Alanazi, F.K.; Alsarra, I.A.; Haq, N. Solubility Prediction of Indomethacin in PEG 400+water Mixtures at Various Temperatures. J. Mol. Liq. 2013, 188, 28–32. [Google Scholar] [CrossRef]
- Li, W.Y.; Koda, R.T. Stability of Irinotecan Hydrochloride in Aqueous Solutions. Am. J. Health-Syst. Pharm. 2002, 59, 539–544. [Google Scholar] [CrossRef]
- Yi, Y.; Xu, Y.; Wei, M.; Li, Z.; Wang, Y.; Liu, X.; Zhang, L.; Yuan, H.; Lu, J. Solubility of Letrozole in Eight Pure and Five Mixed Solvents: Measurement, Thermodynamic and Molecular Simulation Analysis. J. Chem. Thermodyn. 2025, 201, 107409. [Google Scholar] [CrossRef]
- Sahoo, A.C.; Kanungo, S.K.; Dinda, S.C.; Dash, S.; Pani, S. Formulation Development of Immediate Release Solid Dispersion Tablets of Lovastatin with Enhanced Dissolution. Res. J. Pharm. Technol. 2019, 12, 4963. [Google Scholar] [CrossRef]
- Mura, P.; Zerrouk, N.; Mennini, N.; Maestrelli, F.; Chemtob, C. Development and Characterization of Naproxen–Chitosan Solid Systems with Improved Drug Dissolution Properties. Eur. J. Pharm. Sci. 2003, 19, 67–75. [Google Scholar] [CrossRef] [PubMed]
- Yang, W.; de Villiers, M.M. The Solubilization of the Poorly Water Soluble Drug Nifedipine by Water Soluble 4-Sulphonic Calix[n]Arenes. Eur. J. Pharm. Biopharm. 2004, 58, 629–636. [Google Scholar] [CrossRef] [PubMed]
- Taokaew, S.; Ofuchi, M.; Kobayashi, T. Chitin Biomass-Nifedipine Amorphous Solid Dispersion for Enhancement of Hydrophobic Drug Dissolution in Aqueous Media. Sustain. Chem. Pharm. 2020, 17, 100284. [Google Scholar] [CrossRef]
- Liu, Y.; Chen, L.; Zhou, C.; Yang, J.; Hou, Y.; Wang, W. Development and Evaluation of Alginate-Chitosan Gastric Floating Beads Loading with Oxymatrine Solid Dispersion. Drug Dev. Ind. Pharm. 2016, 42, 456–463. [Google Scholar] [CrossRef]
- Toehwé, L.H.; Prado, L.D.; Rocha, H.V.A. Prednisone Raw Material Characterization and Formulation Development. Braz. J. Pharm. Sci. 2018, 53, e00088. [Google Scholar] [CrossRef]
- Khoder, M.; Abdelkader, H.; ElShaer, A.; Karam, A.; Najlah, M.; Alany, R.G. The Use of Albumin Solid Dispersion to Enhance the Solubility of Unionizable Drugs. Pharm. Dev. Technol. 2018, 23, 732–738. [Google Scholar] [CrossRef] [PubMed]
- Kundu, S.; Kumari, N.; Soni, S.R.; Ranjan, S.; Kumar, R.; Sharon, A.; Ghosh, A. Enhanced Solubility of Telmisartan Phthalic Acid Cocrystals within the PH Range of a Systemic Absorption Site. ACS Omega 2018, 3, 15380–15388. [Google Scholar] [CrossRef] [PubMed]
- Borba, P.A.A.; Pinotti, M.; de Campos, C.E.M.; Pezzini, B.R.; Stulzer, H.K. Sodium Alginate as a Potential Carrier in Solid Dispersion Formulations to Enhance Dissolution Rate and Apparent Water Solubility of BCS II Drugs. Carbohydr. Polym. 2016, 137, 350–359. [Google Scholar] [CrossRef] [PubMed]
- Uthumansha, U.; Prabahar, K.; Gajapathy, D.B.; El-Sherbiny, M.; Elsherbiny, N.; Qushawy, M. Optimization and in vitro Characterization of Telmisartan Loaded Sodium Alginate Beads and Its in vivo Efficacy Investigation in Hypertensive Induced Animal Model. Pharmaceutics 2023, 15, 709. [Google Scholar] [CrossRef]
- Singh, S.; Shankar, R.; Singh, G.P. Prevalence and Associated Risk Factors of Hypertension: A Cross-Sectional Study in Urban Varanasi. Int. J. Hypertens. 2017, 2017, 5491838. [Google Scholar] [CrossRef]
- Mikušová, V.; Mikuš, P. Advances in Chitosan-Based Nanoparticles for Drug Delivery. Int. J. Mol. Sci. 2021, 22, 9652. [Google Scholar] [CrossRef]
- Bhalani, D.V.; Nutan, B.; Kumar, A.; Singh Chandel, A.K. Bioavailability Enhancement Techniques for Poorly Aqueous Soluble Drugs and Therapeutics. Biomedicines 2022, 10, 2055. [Google Scholar] [CrossRef]
- Butarbutar, M.E.T.; Wathoni, N.; Wardhana, Y.W. Characterization Methods of Amorphous Form Stability in Solid Dispersion: A Review. Indones. J. Pharm. 2020, 2, 55. [Google Scholar] [CrossRef]
- Pinaeva, L.G.; Noskov, A.S. Biodegradable Biopolymers: Real Impact to Environment Pollution. Sci. Total Environ. 2024, 947, 174445. [Google Scholar] [CrossRef]



| No | Natural Polymer | Structure (Monomer) | Sources | Function | Ref. |
|---|---|---|---|---|---|
| 1. | Albumin | ![]() | Human serum, plants (such as peanuts, sunflowers, passion fruit, etc.), and animals (such as cows, chickens, salmon, etc.) | Albumin acts as a drug reservoir that can improve the bioavailability and biodistribution of drugs. | [28] |
| 2. | Alginate | ![]() | Brown seaweed | Alginate has been used as tablet disintegrants, both in the more hydrophobic tablet formulations and in difficult hard tablets with a binder; calcium alginate could offer mediocre disintegration performance. | [29] |
| 3. | Cellulose | ![]() | Cell walls of plants | Cellulose acts as a binder and diluent in formulations for oral tablets and capsules that use both direct compression and wet granulation techniques. Additionally, it has certain disintegrant and lubricating qualities that are helpful for direct tableting. | [30] |
| 4. | Chitin | ![]() | Exoskeletons of shellfish and insects (crustacean shells) | Chitin’s great water absorption capacity and ability to increase porosity have made it widely recognized as an effective tablet disintegrant. | [31] |
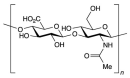
| 5. | Chitosan | ![]() | Deacetylation of chitin | Chitosan serves in prolonging the duration of preprogrammed drug delivery, enabling stimuli-responsive smart delivery to target sites, protecting encapsulated drugs within the mesh network from adverse environments, and facilitating mucoadhesion and penetration through cell membranes. | [32] |
| 6. | Cyclodextrin | ![]() | Potatoes, corn, maize, and cassava starches | Cyclodextrin functions to reduce or eliminate unpleasant taste and smell, improving the aqueous solubility, dissolution, and bioavailability of drugs, minimizing adverse drug reactions like gastrointestinal and ocular irritation, and turning liquid drugs into microcrystalline or amorphous powders. | [33] |
| 7. | Gelatin | ![]() | Hydrolysis of collagen, which is extracted from the skin, connective tissues, and bones of animals | Gelatin is utilized as a thickening agent, stabilizer, and emulsifier. It has been found in drug delivery due to its ability to produce hydrogels. | [34] |
| 8. | Guar gum | ![]() | Seeds of Cyamopsis tetragonolobus of the Leguminosae family | Guar gum is feasible to create forms like films and gels, as well as high-viscosity solutions with a high ability to retain water, used as a stabilizer, thickening, emulsifying agent, suspending agent, and viscosity enhancer. | [35] |
| 9. | Gum acacia | ![]() | Exudate gum obtained from Acacia senegal | Acacia gum acts as a thickening, stabilizing, emulsifying, and microencapsulating agent. | [36] |
| 10. | Hyaluronic acid | ![]() | Animal tissues | Hyaluronic acid is utilized as a sustained-release drug carrier, which has a long-acting impact and can delay drug release. | [37] |
| 11. | Kappa- carrageenan | ![]() | Red edible seaweeds | Carrageenan is an innovative extrusion aid for pellet production. It is also employed as a gelling agent and a viscosity enhancer to achieve controlled drug release and extended retention. | [38] |
| 12. | Locust bean gum | ![]() | Grinding the endosperm of beans or brown pods. | Locust bean gum functions as a matrix-forming material in tablets. | [39] |
| 13. | Pectin | ![]() | Cell walls of terrestrial plants | Pectin functions as a binder and disintegrant in pharmaceutical tablets to ensure proper drug absorption and effectiveness. | [40] |
| 14. | Starch | ![]() | Grains, cereals, and potatoes | Starch functions as a carrier, effectively modulating the release of active substances, and enhances the innate physiological activity of different active components. | [41] |
| 15. | Xanthan gum | ![]() | Microorganism Xanthomonas campestris of the Xanthomonadaceae family | Xanthan gum plays an important role in food and pharmaceutical applications as binder, thickener, and emulsion stabilizer. | [42] |
| 16. | Xyloglucan | ![]() | Plant cell walls | Xyloglucan acts as a stabilizer, solubilizer, thickener, gelling agent, and binder in the food and pharmaceutical industries. | [43] |
| No | Aspect | Natural Polymers | Synthetic Polymers | Ref. |
|---|---|---|---|---|
| 1. | Source | Derived from plants, animals, and microorganisms (e.g., chitosan from shrimp shells, gelatin from animal collagen, alginate from seaweed). | Derived from petrochemical products or synthesized in laboratories. | [15,55] |
| 2 | Biodegradability | Generally biodegradable and eco-friendly. | Often non-biodegradable and environmentally persistent. | [44,48,54] |
| 3 | Biocompatibility and Safety | Safer, low toxicity, and rarely cause allergic or toxic reactions. | May cause adverse effects (e.g., PVP linked to tumor formation in implants). | [15,48,49] |
| 4 | Biological Activity | Naturally bioactive, supporting cell interaction and tissue regeneration. | Typically inert unless chemically modified. | [21,22,48,52] |
| 5 | Safe Degradation Products | Degrade without leaving harmful residues. | May produce toxic byproducts or environmental pollutants. | [44,53,54] |
| 6 | Sustainability and Availability | Abundant and renewable, especially from marine sources. | Limited by petrochemical availability. | [27,54] |
| 7 | Mechanical and Functional Properties | Often possess properties such as mucoadhesion, prolonged drug release, high water absorption, and enhanced bioavailability. | Generally superior in mechanical strength and stability, but not always multifunctional. | [22,48,52] |
| Drug | Pure Drug Solubility | Natural Polymer (Class) | Bond Reaction Mechanism | ASD System Solubility, Dissolution Rate, and Release Behavior | In Vitro and In Vivo Results | Stability | Ref. |
|---|---|---|---|---|---|---|---|
| Amphotericin | 1 µg/mL in water | Cyclodextrin | The ASD formulations of Amphotericin B (AmB) involve hydrogen bonding with cyclodextrin polymers, van der Waals and dipole–dipole interactions, and host–guest inclusion complexation with cyclodextrin cavities. | The solubility of pure AmB in water is about 1 µg/mL, but when formulated as ASD using poly-γ-CD, it increased by a factor of 127, reaching 761 µg/mL. Additionally, dissolution tests showed that only 60% of pure AmB dissolved in 45 min at pH 7.4 | - | The ASD formulation maintains its amorphous state due to strong interactions between amphotericin B (AmB) and cyclodextrin polymers, preventing crystallization. Additionally, the thermal analysis confirms that the ASD remains stable at elevated temperatures. | [74] |
| Atovarstatin | Aqueous solution at pH 2.1 is about 0.0204 mg/mL [75] | Sodium alginate | The analysis suggests a possible hydrogen bond interaction between the drug (hydroxyl (-OH), amine (-NH)) and sodium alginate (SA) (carboxylate (-COO−)) in the ASD system. | The ASD formulation enhanced drug dissolution and supersaturation maintenance, with an AUC0–480 of 226.8 ± 10.3 mg·min/mL, compared to 109.2 ± 1.4 mg·min/mL for crystalline CTD under non-sink conditions. | - | - | [76] |
| Azithromycin | Poor aqueous solubility (~0.1 mg/mL) [77] | Chitosan, alginate | The analysis suggests hydrogen bond formation between the carboxyl (COOH) and amine (-NH2) groups of azithromycin and the amide (-CONH2) or ester (-COO) groups of the polymer. | Azithromycin combined with chitosan and alginate increased the rate of azithromycin dissolution when compared to the pure azithromycin; after 5 min, the drug release from the solid dispersion was 95%, but only 10% of pure azithromycin was released. | - | - | [78] |
| Bexarotene | Poor fluid solvency, very poor solubility of 0.00018 ± 0.0002 mg/mL in distilled water. | Modified Locust Bean Gum (MLBG) | The major change occurred in the peak of BEX-MLBG solid dispersion at a wavelength of 3302 cm−1 for -OH stretching, which might be due to inter- and intramolecular hydrogen bonding of MLBG. | The drug exhibited extremely poor solubility in water (0.00018 mg/mL), its but after ASD preparation, solubility increased to 0.00340 mg/mL (bexarotene–Modified Locust Bean Gum 1:4), showing an approximately 18–19-fold enhancement. | - | The Modified Locust Bean Gum dispersions exhibited good thermal stability and maintained their amorphous nature over 180 days of accelerated stability testing. | [79] |
| Chlortalidone | A low aqueous solubility of 0.191 mg/mL in water [80] | Sodium alginate | The analysis suggests a possible hydrogen bond interaction between the drug (hydroxyl (-OH), amine (-NH)) and sodium alginate (SA) (carboxylate (-COO−)) in the ASD system. | The ASD formulation enhanced drug dissolution and supersaturation maintenance, with an AUC0–480 of 226.8 ± 10.3 mg·min/mL, compared to 109.2 ± 1.4 mg·min/mL for crystalline CTD under non-sink conditions. | - | - | [81] |
| Curcumin (CUR) | Poor water solubility (0.6 µg/mL in water) | Chitosan oligosaccharide (COS) | FTIR analysis showed the disappearance of the O–H stretching peak of curcumin at 3514 cm−1 and a reduction in the C=O stretching of chitosan oligosaccharide at 1608 cm−1, indicating hydrogen bond formation between the hydroxyl groups of curcumin and functional groups of chitosan oligosaccharide. | The dissolution of pure curcumin (60.62 μg/mL) significantly improved after forming an ASD with chitosan oligosaccharide, reaching 97.85–101.21 μg/mL and maintaining supersaturation for 24 h. | - | The curcumin–chitosan oligosaccharide ASD showed at least six months of physical stability in the XRPD patterns. The results show that a stable amorphous form of curcumin is produced by the co-milling process with chitosan oligosaccharide as the matrix. | [24] |
| Etoricoxib | 24.49 µg/mL pure etoricoxib in distilled water [82] | Xanthan gum, guar gum, and gum acacia | - | Increased solubility, as evidenced by an amorphous content of 98.2 ± 1.3%, which was markedly higher compared to other formulations. | - | - | [83] |
| Famotidine | 0.1% (w/v) at 293 K [84] | Xyloglucan | - | Enhanced the solubility of the drug with the optimal drug/xyloglucan ratio (1:1), with a solubility value of 10.436 ± 0.045 mg/mL mg/mL, compared to the much lower solubility of pure famotidine (0.405 ± 0.002 mg/mL). | - | - | [85] |
| Hesperidin | 4.95 µg·mL−1 [86] | Sodium alginate (Soluplus) | - | Enhanced, wherein Hes/Sol 1:5 w/w has the best solubility (about 300-fold in each medium), with a maximum of 2.710 ± 0.004 mg·mL−1 for the Hes/Sol system. | - | Stability studies indicate that the strength of these bonds is insufficient to maintain the amorphous state of Hes under stress conditions (25 °C and 60 °C 76.4% RH). | [87] |
| Ibuprofen | 21 µg/mL of pure ibuprofen was soluble in distilled water | Xanthan gum, guar gum, and gum acacia | - | Pure ibuprofen had a solubility of 21 µg/mL in distilled water, whereas the optimized ASD formulation (IB11) increased solubility to 115 µg/mL, approximately 5.5 times higher. Similarly, dissolution tests revealed that while the pure drug had a limited release over 90 min, the ASD formulation achieved 97.2% drug release in the same period. | - | - | [88] |
| Indomethacin | Very poor aqueous solubility (0.937 μg/mL) [89] | Alginate | The analysis suggests an interaction between the tertiary ammonium (-NR3+) of indomethacin and the carboxyl (-COO−) group of alginates. | Alginate considerably increased the rate of indomethacin dissolution when compared to the pure drug; after five minutes, the drug release from the solid dispersion was nearly total, but only 5.3% of indomethacin was released from the pure drug. | - | Alginate-based solid dispersion presented good stability under accelerated conditions after 10 days when examined at 60 °C and 92.5% humidity. | [25] |
| Irinotecan | Poorly water-soluble, 20 micrograms/mL [90] | Hyaluronic acid | - | HA–irinotecan and pure drug were administered as suspensions in corn oil. HA–irinotecan and pure drug were suspended in corn oil to give the drug concentration of 13.3 mg/mL (133 mg/mL of HA–irinotecan). | Irinotecan and its active metabolite, SN-38, were eliminated from rat plasma within 48 h after administration. The area under the curve (AUC) and maximum plasma concentration (Cmax) of irinotecan were higher when administered in pure form compared to the HA–irinotecan formulation at a dose of 50 mg/kg. | The process of preparing HA–drug complexes through solvent evaporation and 10–20 cycles of extrusion did not affect the contents or purity of the drug components in the solid dispersions. The purity of the drugs in the HA–drug formulations remained high (irinotecan: 98.6%). | [18] |
| Letrozole | Poorly water-soluble, 0.02–0.05 mg/mL [91] | Hyaluronic acid | - | Pure letrozole was suspended in water and administered as aqueous drug suspensions with drug concentrations of 2.5 mg/mL and 0.3 mg/mL. | Combination of letrozole with HA showed significantly higher plasma drug concentrations compared to the pure drug. The area under the curve (AUC) for letrozole increased by approximately 3-fold and 2.5-fold, respectively, with HA–drug formulations compared to the pure drug. | The process of preparing HA–drug complexes through solvent evaporation and 10–20 cycles of extrusion did not affect the content or purity of the drug components in the solid dispersions. The purity of the drugs in the HA–drug formulations remained high (letrozole: >99.0%). | [18] |
| Lovastatin | The solubility of lovastatin in water at 25 °C is 0.84 mg/mL [92] | Alginate | - | Alginate considerably increased the rate of lovastatin dissolution when compared to the pure drug; after 30 min, the drug release from the solid dispersion was 79.9%, but under 30% of lovastatin was released from the pure drug. | - | Alginate-based solid dispersion presented good stability under accelerated conditions after 10 days when examined at 60 °C and 92.5% humidity. | [25] |
| Naproxen | Very poor water solubility (0.025 mg/mL at 25 °C) | Chitosan | - | When chitosan was particularly synthesized through co-grinding at a 1:9 drug-to-polymer ratio, markedly enhanced solubility (up to 17-fold) and accelerated dissolution rate (exceeding 10 times) were observed, leading to expedited and more comprehensive drug release. | - | - | [93] |
| Nifedipine | Insoluble in water, 4–5 μg·mL−1 [94] | Chitin | The analysis suggests an interaction between the amide (NH) of chitin and the carbonyl (C=O) of nifedipine, as evidenced by the observed peak shifts. | The dissolution of nifedipine was improved by solid dispersions containing chitin, as opposed to the pure drug. The drug could release at roughly 90%, which was higher than the release in the neutral-pH medium (60%) over six hours. | - | The ASD of nifedipine showed stability at 30 °C and 75% relative humidity (RH). After two and four weeks of storage, the X-ray diffraction (XRD) patterns of pure nifedipine revealed no changes, indicating that its crystalline structure remained intact. | [95] |
| Oxymatrine | Highly water-soluble (~100 g/L) | Alginate–chitosan floating beads | - | Pure oxymatrine (OM) in alginate–chitosan beads showed poor encapsulation (38.92%) and rapid release (1.5 h), while its solid dispersion with ethyl cellulose improved encapsulation (67.07%) and sustained release (12 h), enhancing solubility and control. | - | - | [96] |
| Prednisolone | Poorly soluble in water: 0.133 mg/mL at 25 °C [97] | Albumin | - | Formulating PRD in BSA solid dispersions allowed an instant dissolution, with almost 90% dissolved within the first 10 min. PRD release rates from BSA complex were comparable to those obtained from PRD aqueous solution (p > 0.05), with approximately 50% of PRD diffused to the receptor compartment after 6 h. | - | Bovine serum albumin (BSA) has been widely used in numerous pharmaceutical and medical applications thanks to its stability, biocompatibility and low immunogenicity. The two drying techniques used to form the solid dispersions had no impact on BSA stability. | [98] |
| Telmisartan | Poorly water-soluble drugs, practically insoluble at pH 3–7 (0.09 μg/mL in water) [99] | Sodium alginate | The analysis suggests intermolecular hydrogen bond interactions between the carbonyl (-C=O) group of telmisartan (TEL) and the hydroxyl (-OH) group of sodium alginate (SA) | The SD of telmisartan achieved improvements ranging from 12.6- to 16.7-fold in the TEL’s apparent aqueous 252 solubility (0.5 µg/mL at 25 °C). | - | According to the 39 physical stability investigations, SD utilizing sodium alginate as a carrier stayed constant over 90 days at room temperature, indicating that sodium alginate functions as an effective anti-plasticizer agent that inhibits drug recrystallization. | [100] |
| Sodium alginate beads | - | Oil-entrapped beads had a prolonged drug release over 12 h in the simulated gastric fluid, and the cumulative release was 92.68 ± 3.09%. | In vivo experiments demonstrate that the gastro-retentive properties of alginate beads effectively regulate, enhance, and prolong the systemic absorption of telmisartan (TEL). The results confirm that TEL maintains its antihypertensive activity and significantly improves therapeutic efficacy. | - | [101] |
| Challenge Category | Specific Limitations | Implications/Consequences |
|---|---|---|
| Physicochemical Variability | - Batch-to-batch inconsistency; variable molecular weight, purity, and composition | - Unpredictable performance; difficult formulation reproducibility |
| Interaction Complexity | - Uncertain hydrogen bonding; difficult to model drug–polymer affinity | - Low miscibility; risk of phase separation or recrystallization |
| Processing Limitations | - Low thermal stability; solvent incompatibility; high viscosity | - Incompatible with HME or spray-drying; formulation instability |
| Stability Challenges | - Moisture uptake; low Tg of natural polymers; plasticization risk | - Crystallization during storage; reduced shelf-life and dissolution performance |
| Immunogenicity Risks | - Source from animal/marine origin; residual proteins/endotoxins | - Allergenicity; regulatory limitations for sensitive populations |
| Analytical Difficulties | - Overlapping FTIR/NMR signals; amorphous heterogeneity | - Complex characterization; delayed formulation optimization |
| Regulatory Barriers | - Lack of pharmacopeial standards; safety/toxicity profile incomplete | - Hurdles for global approval; need for extensive safety documentation |
Disclaimer/Publisher’s Note: The statements, opinions and data contained in all publications are solely those of the individual author(s) and contributor(s) and not of MDPI and/or the editor(s). MDPI and/or the editor(s) disclaim responsibility for any injury to people or property resulting from any ideas, methods, instructions or products referred to in the content. |
© 2025 by the authors. Licensee MDPI, Basel, Switzerland. This article is an open access article distributed under the terms and conditions of the Creative Commons Attribution (CC BY) license (https://creativecommons.org/licenses/by/4.0/).
Share and Cite
Budiman, A.; Ivana, H.; Huang, K.A.; Huang, S.A.; Nadhira, M.S.; Rusdin, A.; Aulifa, D.L. Biocompatible Natural Polymer-Based Amorphous Solid Dispersion System Improving Drug Physicochemical Properties, Stability, and Efficacy. Polymers 2025, 17, 2059. https://doi.org/10.3390/polym17152059
Budiman A, Ivana H, Huang KA, Huang SA, Nadhira MS, Rusdin A, Aulifa DL. Biocompatible Natural Polymer-Based Amorphous Solid Dispersion System Improving Drug Physicochemical Properties, Stability, and Efficacy. Polymers. 2025; 17(15):2059. https://doi.org/10.3390/polym17152059
Chicago/Turabian StyleBudiman, Arif, Helen Ivana, Kelly Angeline Huang, Stella Aurelia Huang, Mazaya Salwa Nadhira, Agus Rusdin, and Diah Lia Aulifa. 2025. "Biocompatible Natural Polymer-Based Amorphous Solid Dispersion System Improving Drug Physicochemical Properties, Stability, and Efficacy" Polymers 17, no. 15: 2059. https://doi.org/10.3390/polym17152059
APA StyleBudiman, A., Ivana, H., Huang, K. A., Huang, S. A., Nadhira, M. S., Rusdin, A., & Aulifa, D. L. (2025). Biocompatible Natural Polymer-Based Amorphous Solid Dispersion System Improving Drug Physicochemical Properties, Stability, and Efficacy. Polymers, 17(15), 2059. https://doi.org/10.3390/polym17152059

















