Effect of AF Surface Nanostructure on AFRP Interface Properties Under Temperature: A MD Simulation Study
Abstract
1. Introduction
2. Materials and Methods
- Water molecules open the EP groups at both ends of the EP to generate hydroxyl groups.
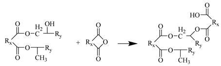
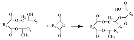
- The anhydride group reacts with the hydroxyl group in the EP to generate an ester group and a carboxyl group.
- The carboxyl group reacts with the EP group to generate a new ester group.
- In an acidic environment, EP groups and hydroxyl groups undergo etherification reactions.





3. Results and Discussion
3.1. Interface Adhesion Ability
3.1.1. Interface Binding Energy
3.1.2. Wettability
3.1.3. Evolution of Interfacial Free Volume Under Stress State
3.2. Interface Thermal Conductivity
3.3. Interface Electrical Properties
3.3.1. Electrostatic Potential and Mulliken Charge
3.3.2. Molecular Orbitals
4. Conclusions
Author Contributions
Funding
Institutional Review Board Statement
Data Availability Statement
Conflicts of Interest
References
- Song, J.X.; Lv, F.C.; Ruan, H.O.; Wang, S.H.; Li, Z.W.; Zhu, M.Y.; Xie, Q. Effect and Mechanism Analysis of Plasma Treatment on Electrical and Mechanical Properties of AF–EP Interface. IEEE Trans. Plasma Sci. 2023, 51, 3655–3666. [Google Scholar] [CrossRef]
- Xie, J.; Hu, C.M.; Xia, G.W.; Zhang, Y.Z.; Qiao, L.Y.; Xu, B.B.; Shi, X.Y.; Xie, Q. Effect characteristics of ANFs/SiO2 layer self-assembly on the insulation properties of AFRP composites. J. Phys. D Appl. Phys. 2024, 57, 475301. [Google Scholar] [CrossRef]
- Du, X.; Kong, H.J.; Xu, Q.; Li, B.; Yu, M.H.; Li, Z.W. Effects of aramid nanofibers on the mechanical properties of epoxy resin and improved adhesion with aramid fiber. Polym. Compos. 2022, 43, 2103–2114. [Google Scholar] [CrossRef]
- Tian, J.; An, L.Z.; Tan, Y.F.; Xu, T.; Li, X.T.; Chen, G.X. Graphene Oxide-Modified Aramid Fibers for Reinforcing Epoxy Resin Matrixes. ACS Appl. Nano Mater. 2021, 4, 9595–9605. [Google Scholar] [CrossRef]
- Dharmavarapu, P.; Reddy, M.B.S.S. Mechanical, Low Velocity Impact, Fatigue and Tribology Behaviour of Silane Grafted AF Fibre and Nano-silica Toughened EP Composite. Silicon 2021, 13, 1741–1750. [Google Scholar] [CrossRef]
- Xu, G.X.; Jin, Y.H.; Song, J.H. Improvement of the Mechanical Properties by Surface Modification of ZnCl2 and Polydopamine in Aramid Fiber Composites. Appl. Sci. 2022, 12, 3119. [Google Scholar] [CrossRef]
- Kong, X.X.; Hou, C.Y.; Yun, C.; Wang, Y.F.; Xue, R.D.; Du, B.X. Analysis of Influence of Various Defects on the Electric Field and Mechanical Stress Distribution of Insulation Rod. In Proceeding of the 2023 International Symposium on Electrical Insulating Materials (ISEIM), Shimane, Japan, 24–28 September 2023; pp. 332–335. [Google Scholar]
- Hu, R.; Cui, B.; Chen, Y.; Wang, H.; Wu, Z.; Lu, Y.; Liao, W.; Liu, P.; Peng, Z. Study on mechanical properties of insulation pull rod for UHV AC GIS circuit breaker. In Proceeding of the 16th IET International Conference on AC and DC Power Transmission (ACDC 2020), Online Conference, 2–3 July 2020; pp. 920–925. [Google Scholar]
- Wang, L.; Du, B.X.; Wang, Y.F.; Chen, Y.; Kong, X.X. Electrical Tree Growth in Fiber Reinforced Epoxy Composites for GIS Insulation Rod. IEEE Trans. Dielectr. Electr. Insul. 2024, 32, 1802–1809. [Google Scholar] [CrossRef]
- Kartamyshev, A.I.; Lipnitskii, A.G.; Boev, A.O.; Nelasov, I.V.; Maksimenko, V.N.; Aksyonov, D.A.; Nguyen, T.K. Angular dependent interatomic potential for Ti–V system for molecular dynamics simulations. Model. Simul. Mater. Sci. Eng. 2020, 28, 55010. [Google Scholar] [CrossRef]
- Xie, J.; Qiao, L.Y.; Liu, Z.Q.; Shi, X.Y.; Huang, P. Temperature effects on the sheath-core bar interface of composite insulators: A MD and DFT study. Model. Simul. Mater. Sci. Eng. 2024, 32, 65027. [Google Scholar] [CrossRef]
- Hsissou, R. Review on EP polymers and its composites as a potential anticorrosive coatings for carbon steel in 3.5% NaCl solution: Computational approaches. J. Mol. Liq. 2021, 336, 116307. [Google Scholar] [CrossRef]
- Yang, M.Y.; Sheng, Q.; Zhang, H.; Tang, G.H. Water molecular bridge undermines thermal insulation of Nano-porous silica aerogels. J. Mol. Liq. 2022, 349, 118176. [Google Scholar] [CrossRef]
- Tam, L.; Zhou, A.; Wu, C. Nanomechanical behavior of carbon fiber/EP interface in hygrothermal conditioning: A MD study. Mater. Today Commun. 2019, 19, 495–505. [Google Scholar] [CrossRef]
- Wang, X.Q.; Chow, C.L.; Lau, D. A review on modeling techniques of cementitious materials under different length scales: Development and future prospects. Adv. Theory Simul. 2019, 2, 1900047. [Google Scholar] [CrossRef]
- Lou, W.; Xie, C.; Guan, X. Molecular dynamic study of radiation-moisture aging effects on the interface properties of nano-silica/silicone rubber composites. npj Mater. Degrad. 2023, 7, 13–32. [Google Scholar] [CrossRef]
- Tam, L.; Jiang, J.Q.; Yu, Z.C.; Orr, J.; Wu, C. Molecular dynamics investigation on the interfacial shear creep between carbon fiber and epoxy matrix. Appl. Surf. Sci. 2021, 537, 148013. [Google Scholar] [CrossRef]
- Li, W.; Chai, W.L.; Zhang, L.; Guo, Y.M.; Wang, W.; Chen, S.G. Atomic insight into the influences of moisture ingress on the structures and dynamics of graphene-EP interfaces. Compos. Sci. Technol. 2022, 219, 109222. [Google Scholar] [CrossRef]
- Pan, L.; Zhong, L.; Guo, H.X.; Wang, M.L.; Xue, P.B. Atomistic simulations of functionalization of AF-EP nanocomposite. J. Appl. Polym. Sci. 2021, 138, 50171. [Google Scholar] [CrossRef]
- Chaudhary, N.; Dikshit, M.K.; Kumar, C.L.; Sonia, P.; Pathak, V.K.; Saxena, K.K.; Hamid, S.S.; Salmaan, N.U. Sustainable mechanical properties evaluation for graphene reinforced EP/Kevlar fiber using MD simulations. J. Exp. Nanosci. 2023, 18, 2246662. [Google Scholar] [CrossRef]
- Yan, S.M.; Guo, N.S.; Chu, Z.Y.; Jin, X.; Fang, C.Z.; Yan, S.T. A study of molecular dynamic simulation and experimental performance of the eucommia ulmoides gum-modified asphalt. Materials 2023, 16, 5700. [Google Scholar] [CrossRef]
- Liu, Z.; Gu, X.Y.; Dong, X.Y.; Cui, B.Y.; Hu, D.L. Mechanism and performance of graphene modified asphalt: An experimental approach combined with molecular dynamic simulations. Case Stud. Constr. Mater. 2023, 18, e01749. [Google Scholar] [CrossRef]
- Tack, J.L.; Ford, D.M. Thermodynamic and mechanical properties of epoxy resin DGEBF crosslinked with DETDA by molecular dynamics. J. Mol. Graph. Model. 2008, 26, 1269–1275. [Google Scholar] [CrossRef] [PubMed]
- Zhu, L.; Chen, X.; Shi, R.R.; Zhang, H.; Han, R.; Cheng, X.; Zhou, C.J. Tetraphenylphenyl-modified damping additives for silicone rubber: Experimental and molecular simulation investigation. Mater. Des. 2021, 202, 109551. [Google Scholar] [CrossRef]
- Guo, F.C.; Zhang, J.P.; Pei, J.Z.; Ma, W.S.; Hu, Z.; Guan, Y.S. Evaluation of the compatibility between rubber and asphalt based on MD simulation. Front. Struct. Civ. Eng. 2020, 14, 435–445. [Google Scholar] [CrossRef]
- Sindt, O.; Perez, J.; Gerard, J.F. Molecular architecture-mechanical behaviour relationships in EP networks. Polymer 1996, 37, 2989–2997. [Google Scholar] [CrossRef]
- Liu, K.; Peng, Z.X.; Wang, S.; Zhang, S.; Li, R.H.; Chen, X. Study on GIS Temperature Rise Characteristics and the Related Influencing Factors under Internal Overheating Defect. In Proceeding of the 2020 IEEE International Conference on High Voltage Engineering and Application (ICHVE), Beijing, China, 6–10 September 2020; pp. 1–4. [Google Scholar]
- Xie, J.; Liu, Z.Q.; Tian, H.N.; Zhou, Z.; Xie, Q.; Lv, F.C.; Cheng, L. Influence of water penetration on glass fiber-epoxy resin interface under electric field: A DFT and molecular dynamics study. J. Mol. Liq. 2023, 385, 122346. [Google Scholar] [CrossRef]
- Tkatchenko, A. Current Understanding of Van der Waals Effects in Realistic Materials. Adv. Funct. Mater. 2015, 25, 2054–2061. [Google Scholar] [CrossRef]
- Chen, Y.; Zhang, P.F.; Cui, B.Y.; Wang, N.H.; Wu, Y.Y.; Liu, Y. Application status of insulation pull rod for 1100 kV GIS circuit breaker. High Volt. Eng. 2019, 45, 2699–2706. [Google Scholar]
- Li, J.; Zhao, R.Y.; Chen, Y.; Li, T.H.; Du, B.X. Effects of moisture contents on electrical treeing process in glass fiber reinforced epoxy resin. Trans. China Electrotech. Soc. 2023, 38, 1166–1176, 1189. [Google Scholar]
- Chen, Y.; Han, X.C.; Li, J.; Zhao, R.Y.; Cui, B.Y.; Teng, Y.; Hao, L.C.; Du, B.X. Electrical treeing degradation characteristics of GFRP composites for insulated pull rods under alternating mechanical loads. In Proceedings of the CSEE, London, UK, 14–16 April 2024; Volume 44, pp. 2475–2484. [Google Scholar]
- Khosravani, S.; Sadr, M.H.; Carrera, E.; Pagani, A.; Masia, R. Multi-scale analysis of thermal conductivity of graphene foam/PDMS composites. Mech. Adv. Mater. Struct. 2024, 31, 8343–8355. [Google Scholar] [CrossRef]
- Yang, X.M.; Wan, Y.; Wang, X.; Fu, Y.; Huang, Z.Y.; Xie, Q. Molecular dynamics studies of the mechanical behaviors and thermal conductivity of the DGEBA/MTHPA/CNB composites. Compos. Part B Eng. 2019, 164, 659–666. [Google Scholar] [CrossRef]
- Zhang, M.M.; Lussetti, E.; de Souza, L.E.S.; Muller-Plathe, F. Thermal Conductivities of Molecular Liquids by Reverse Nonequilibrium Molecular Dynamics. J. Phys. Chem. B 2005, 109, 15060–15067. [Google Scholar] [CrossRef] [PubMed]
- Li, M.R.; Shang, K.; Zhao, J.H.; Jiang, L.H.; Sun, J.P.; Wang, X.; Niu, H.; Feng, Y.; An, Z.L.; Li, S.T. Constructing Fluorine Hybrid Epoxy Polymers with Excellent Breakdown Strength by Surface Fluorination. ACS Appl. Polym. Mater. 2023, 5, 10226–10233. [Google Scholar] [CrossRef]
- Yang, K.R.; Chen, W.J.; Zhao, Y.S.; He, Y.; Chen, X.; Du, B.; Yang, W.; Zhang, S.; Fu, Y.F. Enhancing Dielectric Strength of Epoxy Polymers by Constructing Interface Charge Traps. ACS Appl. Mater. Interfaces 2021, 13, 25850–25857. [Google Scholar] [CrossRef]
- Yuan, H.; Zhou, Y.; Zhu, Y.J.; Hu, S.X.; Yuan, C.; Song, W.B.; Shao, Q.; Zhang, Q.; Hu, J.; Li, Q.; et al. Origins and effects of deep traps in functional group grafted polymeric dielectric materials. J. Phys. D Appl. Phys. 2020, 53, 475301. [Google Scholar] [CrossRef]
- Pauling, L. The nature of the chemical bond. IV. The energy of single bonds and the relative electronegativity of atoms. J. Am. Chem. Soc. 1932, 54, 3570–3582. [Google Scholar] [CrossRef]























Disclaimer/Publisher’s Note: The statements, opinions and data contained in all publications are solely those of the individual author(s) and contributor(s) and not of MDPI and/or the editor(s). MDPI and/or the editor(s) disclaim responsibility for any injury to people or property resulting from any ideas, methods, instructions or products referred to in the content. |
© 2025 by the authors. Licensee MDPI, Basel, Switzerland. This article is an open access article distributed under the terms and conditions of the Creative Commons Attribution (CC BY) license (https://creativecommons.org/licenses/by/4.0/).
Share and Cite
Zhang, Z.; Xia, G.; Qiao, C.; Qiao, L.; Gao, F.; Xie, Q.; Xie, J. Effect of AF Surface Nanostructure on AFRP Interface Properties Under Temperature: A MD Simulation Study. Polymers 2025, 17, 2024. https://doi.org/10.3390/polym17152024
Zhang Z, Xia G, Qiao C, Qiao L, Gao F, Xie Q, Xie J. Effect of AF Surface Nanostructure on AFRP Interface Properties Under Temperature: A MD Simulation Study. Polymers. 2025; 17(15):2024. https://doi.org/10.3390/polym17152024
Chicago/Turabian StyleZhang, Zhaohua, Guowei Xia, Chunying Qiao, Longyin Qiao, Fei Gao, Qing Xie, and Jun Xie. 2025. "Effect of AF Surface Nanostructure on AFRP Interface Properties Under Temperature: A MD Simulation Study" Polymers 17, no. 15: 2024. https://doi.org/10.3390/polym17152024
APA StyleZhang, Z., Xia, G., Qiao, C., Qiao, L., Gao, F., Xie, Q., & Xie, J. (2025). Effect of AF Surface Nanostructure on AFRP Interface Properties Under Temperature: A MD Simulation Study. Polymers, 17(15), 2024. https://doi.org/10.3390/polym17152024

