Abstract
Fire-resistant coatings have emerged as crucial materials for reducing fire hazards in various industries, including construction, textiles, electronics, and aerospace. This review provides a comprehensive account of recent advances in fire-resistant coatings, emphasizing environmentally friendly and high-performance systems. Beginning with a classification of traditional halogenated and non-halogenated flame retardants (FRs), this article progresses to cover nitrogen-, phosphorus-, and hybrid-based systems. The synthesis methods, structure–property relationships, and fire suppression mechanisms are critically discussed. A particular focus is placed on bio-based and waterborne formulations that align with green chemistry principles, such as tannic acid (TA), phytic acid (PA), lignin, and deep eutectic solvents (DESs). Furthermore, the integration of nanomaterials and smart functionalities into fire-resistant coatings has demonstrated promising improvements in thermal stability, char formation, and smoke suppression. Applications in real-world contexts, ranging from wood and textiles to electronics and automotive interiors, highlight the commercial relevance of these developments. This review also addresses current challenges such as long-term durability, environmental impacts, and the standardization of performance testing. Ultimately, this article offers a roadmap for developing safer, sustainable, and multifunctional fire-resistant coatings for future materials engineering.
1. Introduction
In recent decades, fire safety has become a critical consideration across various industries, including aerospace, automotive, textiles, and construction [1,2,3,4,5]. Polymers, extensively used in these sectors due to their versatility and lightweight nature, inherently suffer from high flammability. During combustion, they can release significant heat and toxic gases, posing severe risks to both human life and property. To address these challenges, integrating FR measures into polymeric systems has emerged as a key safety strategy. Among the various approaches, the application of fire-resistant coatings has proven to be one of the most effective methods for achieving this goal. These coatings act as a surface-level barrier against thermal degradation, ignition, and flame propagation. By focusing protection at the surface, the most vulnerable ignition zone, without compromising the bulk properties of the underlying material, fire-resistant coatings offer a high-performance and material-efficient solution [6]. Historically, halogenated FRs, particularly polybrominated diphenyl ethers (PBDEs), gained popularity due to their high efficacy in disrupting combustion in the gas phase. However, the increasing evidence of their environmental persistence, bioaccumulation, and toxic emissions, such as dioxins released upon burning, has prompted global regulatory restrictions and outright bans in many regions [7]. This shift has spurred intense research into halogen-free alternatives, primarily based on phosphorus, nitrogen, silicon, and other inorganic compounds. These new systems not only offer environmental and health benefits but also present opportunities for multifunctionality, enabling simultaneous improvements in thermal stability, mechanical performance, and environmental compatibility [8]. Fire-resistant coatings are especially valuable because they reduce fire hazards without significantly compromising the weight, flexibility, or esthetics of the host material. Unlike bulk additives, which often require high loadings that can compromise mechanical properties, surface-applied coatings localize the flame resistance at the ignition interface, resulting in improved efficiency and reduced material usage [9]. Additionally, these coatings are compatible with a broad range of substrates, including textiles, foams, metals like steel, wood, and various plastics, which underscores their versatility in diverse industrial applications [10]. Fire-resistant coating systems can generally be categorized into four main types: intumescent, non-intumescent, ultraviolet (UV)-curable, and hybrid technologies. Among these, intumescent coatings are the most widely used due to their dynamic protective mechanism. Upon an exposure to heat, these coatings expand to form a thick, multicellular char layer that thermally insulates the underlying substrate. The formulation of such coatings typically involves an acid source, such as ammonium polyphosphate (APP), a carbon source, such as pentaerythritol (PER), and a blowing agent, like melamine (MA), which together facilitate the intumescence and robust char formation process [11]. In contrast, non-intumescent coatings rely on different mechanisms, such as the release of inert gases or the formation of glass, and protective layers. These systems commonly include mineral fillers, such as aluminum hydroxide (Al(OH)3) or magnesium hydroxide (Mg(OH)2). These compounds absorb substantial heat during decomposition and release water vapor, which dilutes the concentration of flammable gases and acts as a fire suppressant [12]. UV-curable fire-resistant coatings have also gained attention, particularly in applications that require fast, solvent-free processing, such as electronics, textiles, and architectural elements. These systems often utilize phosphorus-containing monomers and demonstrate excellent adhesion, minimal volatile organic compound (VOC) emissions, and a rapid curing under UV exposure [13]. Another innovative class includes layer-by-layer (LbL) assembled coatings, which offer nanoscale control over the FR architecture. These coatings typically consist of alternating layers of organic and inorganic components, such as chitosan (CS), graphene oxide (GO), and layered double hydroxides (LDHs), that synergistically enhance the flame resistance, barrier properties, and mechanical performance [10]. Understanding the fire hazards associated with different materials is essential for tailoring fire-resistant coatings. Thermoplastics, such as polyethene and polypropylene, are prone to melting and dripping during combustion, which can facilitate flame spread and secondary ignition. On the other hand, thermosets tend to emit high-energy volatile compounds that can intensify fire conditions. Consequently, fire-resistant coatings must be customized according to the specific thermal degradation behaviors of target materials, striking a balance between ignition resistance, stable char formation, and smoke suppression [14]. This review aims to present a comprehensive and up-to-date examination of the recent advances in fire-resistant coatings, focusing on key aspects, including the chemical composition, structural design, underlying mechanisms, and commercial viability. The primary objectives of this review are to present a holistic understanding of fire-resistant coatings by combining scientific fundamentals with practical advancements. To begin with, this review provides a thorough overview of fire chemistry and flame propagation mechanisms as they relate to protective coating systems. This foundation is crucial for understanding the role of various fire-resistant strategies and assessing their relative effectiveness. This review then delves into the core mechanisms of flame retardancy, namely gas-phase inhibition, condensed-phase protection, endothermic cooling, and char formation, which are instrumental in mitigating flammability and suppressing the fire spread. Furthermore, it examines recent innovations in synergistic systems that leverage nanomaterials and bio-based additives to enhance flame retardancy through multifunctional and sustainable approaches. In light of growing environmental and regulatory concerns, this review places a particular emphasis on eco-friendly FRs, evaluating their potential for industrial scalability and compliance with evolving safety standards. Finally, application-specific coating systems are discussed in terms of the fire hazards they aim to mitigate, as well as their performance requirements, thereby bridging the gap between scientific research and real-world implementation. Through these objectives, this review serves as a valuable resource for materials scientists, chemical engineers, fire protection specialists, and policymakers alike. Moreover, by consolidating recent research developments and aligning them with practical fire safety requirements, this review aims to guide the development of next-generation fire-resistant coatings that are not only effective and scalable but also environmentally and economically sustainable.
2. Fire-Resistant Polymers
2.1. Fundamentals of Flame Retardancy
The combustion of polymers is a multifaceted process that unfolds in several stages, including thermal degradation (pyrolysis), vapor-phase ignition, flame propagation, and the heat feedback to the substrate. Initially, the application of heat leads to the breakdown of polymer chains into VOCs. These volatiles mix with atmospheric oxygen and combust, releasing significant amounts of heat, smoke, and toxic gases [15]. The fire tetrahedron model provides a framework for understanding this process by identifying the four essential components required for sustaining a fire: fuel, oxygen, heat, and free radicals. Among these, free radicals such as hydrogen (H•) and hydroxyl (OH•) play a pivotal role in accelerating the combustion chain reactions. At the same time, the heat generated is fed back into the system to perpetuate further pyrolysis. FRs exert their protective effect by disrupting one or more of these elements through mechanisms like radical scavenging, cooling, or the formation of protective barriers [6]. Gas-phase inhibition is one of the primary strategies employed by FRs to disrupt the radical chain reactions responsible for sustaining flames. Phosphorus-containing compounds are particularly effective in this regard; upon thermal decomposition, they produce PO• radicals that capture and neutralize the highly reactive H• and OH• radicals, thus reducing the flame propagation and intensity. While halogenated FRs have historically been effective in inhibiting gas-phase fires, they are increasingly being phased out due to concerns over environmental persistence and toxicity [16]. In the condensed phase, the FR action typically involves the formation of a stable char layer on the surface of the substrate. This char acts as a thermal and physical barrier, restricting both the heat and mass transfer and thereby limiting the availability of fuel and oxygen required to sustain combustion. Additives such as APP and PER are widely used in intumescent systems to facilitate efficient char formation [17]. Another important mechanism is endothermic dilution, achieved using additives like Mg(OH)2 and Al(OH)3. These substances undergo endothermic decomposition, absorbing heat from the burning substrate and releasing water vapor. The released vapor cools the burning surface and dilutes the local concentration of flammable volatiles, thus retarding the combustion process [18]. Char formation and intumescence often act in synergy to provide enhanced fire protection. Intumescent coatings, which typically incorporate a tripartite formulation of APP, PER, and MA, rely on a coordinated sequence of actions: the acid-catalyzed dehydration of the carbon source, blowing agent-induced foaming, and the stabilization of the resulting char layer. This sequence results in a swollen, foamed char that effectively isolates the substrate from flames and heat [11]. The inclusion of synergistic additives further amplifies the effectiveness of FR systems. For example, nano-LDHs used in conjunction with APP/PER-based intumescent formulations can significantly enhance char cohesion and thermal stability [18]. Additionally, nanomaterials such as GO, silica (SiO2) nanoparticles, and iron oxides have been shown to promote a better dispersion of active ingredients, increase barrier properties, and catalyze the formation of a more robust char layer [19]. Among the various classes of halogen-free FR systems, intumescent coatings remain the most prominent and effective. Their functionality is derived from a complex yet well-coordinated mechanism involving acid catalysis, thermal expansion through blowing agents, and char layer stabilization. The performance of these coatings can be further improved by using catalysts such as titanium dioxide (TiO2) and iron oxide, which contribute to the compactness of the char residue and its barrier effectiveness [20]. Overall, a thorough understanding of these fundamental FR mechanisms, including gas-phase inhibition, condensed-phase protection, endothermic dilution, char formation, and synergistic enhancement, provides critical insights for the design and development of next-generation coatings. These advanced systems are expected to offer not only superior fire protection but also environmental sustainability and industrial scalability, aligning with current regulatory and performance standards.
2.2. Classification of Flame Retardants
FRs in coatings can be classified into several categories based on their chemical composition, mechanism of action, and functionality within the coating matrix. As polymer-based materials continue to dominate in construction, electronics, textiles, and transportation, the demand for highly efficient, environmentally benign fire-resistant coatings has surged. Modern coatings integrate FRs not only to delay ignition but also to suppress smoke generation, inhibit the flame spread, and reduce the release of toxic gases during combustion. The effectiveness of these FRs depends heavily on their structural chemistry, thermal degradation behavior, and interaction with polymer matrices. From traditional halogenated compounds to advanced synergistic systems, FRs have evolved to meet stringent fire safety regulations and environmental expectations [21].
2.2.1. Halogenated Flame Retardants
Halogenated flame retardants (HFRs) are a class of chemicals that contain bromine or chlorine, commonly incorporated into materials to inhibit or delay combustion. Since the 1970s, these additives, particularly brominated flame retardants (BFRs), have been extensively used to comply with fire safety standards such as California’s Technical Bulletin 117. HFRs have been integrated into consumer products, such as polyurethane (PU) foam used in furniture and commercial textiles, to mitigate fire risks. While BFRs have played a crucial role in fire prevention and life safety, growing concerns regarding their environmental persistence and potential health hazards have sparked scrutiny about their widespread use and long-term effects [22]. Figure 1 shows chemical structures of halogen-based FRs [22,23,24,25].
Figure 1.
Halogen-based FRs.
HFRs are valued for their gas-phase FR action, cost-effectiveness, and high efficiency and were among the first additives used in fire-resistant PU systems [26]. During combustion, PU releases highly reactive free radicals such as •OH and •H that propagate the flame. HFRs thermally decompose to produce hydrogen halides (hydrogen bromide (HBr) and hydrogen chloride (HCl)), which react with these radicals to form less reactive species, interrupting the chain reaction and extinguishing the flame. Brominated compounds further enhance the flame retardancy in the condensed phase by promoting char formation, which acts as a physical barrier against heat and oxygen diffusion. BFRs, such as tetrabromobisphenol A (TBBPA) and hexabromocyclododecanes (HBCDs), are the most used due to their superior radical-trapping efficiency at relatively low decomposition temperatures. TBBPA undergoes complex degradation pathways involving isopropylidene bond cleavage and C–Br bond scission, releasing brominated phenols and HBr while generating a protective carbonaceous char layer. The release of HBr enables effective gas-phase inhibition by terminating chain-propagating radicals, and kinetic studies have shown that these reactions can significantly slow down flame propagation. HBCDs follow a similar pathway, degrading through autocatalytic radical processes that lead to the release of multiple brominated cyclic species and char. Despite their effectiveness, TBBPA and HBCDs are under regulatory scrutiny due to their potential for bioaccumulation and environmental persistence. This has led to the development of next-generation BFRs with a lower toxicity, such as decabromodiphenyl ethane and bis(2-ethylhexyl)tetrabromophthalate. Although chlorinated flame retardants (CFRs) are generally less efficient than BFRs, they still contribute significantly to PU flame retardancy. Their mechanism involves the thermal degradation to HCl, which similarly reacts with flame radicals. Compounds such as chlorinated paraffins (CPs), chlorendic anhydride, and tris(2-chloroethyl) phosphate are common CFRs used as either additives or reactive FRs. CPs undergo dehydrochlorination during combustion, releasing HCl and forming conjugated double bonds that facilitate the creation of crosslinked char. However, the stronger C–Cl bonds require higher activation energy for cleavage, limiting their efficiency in the gas phase compared to BFRs. Additionally, the environmental persistence and potential carcinogenicity of certain CFRs, particularly short-chain CPs and chlorinated organophosphates, have prompted regulatory restrictions and a growing shift toward safer alternatives. In conclusion, while halogenated FRs remain highly effective for enhancing fire resistance in PU materials, their associated environmental and health risks necessitate responsible use and continuous innovation. The ongoing research focuses on designing halogenated compounds with a reduced migration potential and toxicity, as well as utilizing synergistic agents such as metal oxides or phosphorus-containing additives to enhance performance further. Nonetheless, due to their potent flame-inhibiting action and low required concentrations, HFRs continue to serve as critical components in commercial fire safety systems, particularly in high-risk applications requiring stringent regulatory compliance [27].
2.2.2. Inorganic Additives as Flame Retardants
Inorganic metal hydroxides, particularly Al(OH)3 and Mg(OH)2, are among the most widely used FRs in plastics, cables, construction materials, and transportation due to their non-toxic nature and cost-effectiveness. These materials function by undergoing endothermic decomposition upon heating, releasing water vapor that dilutes flammable gases and cools the material. Simultaneously, the formation of residual metal oxides (Al2O3 and MgO) contributes to a protective barrier that inhibits flame spread and lowers the surface temperature of the polymer. Al(OH)3 decomposes at 190–230 °C, making it suitable for polymers processed at temperatures below this range. In contrast, Mg(OH)2 possesses a higher decomposition temperature (~300 °C), making it more appropriate for high-temperature applications, including thermoplastics and thermosets. Although these hydroxides effectively reduce the heat release and toxic fume generation, they generally require high loading levels and processing at relatively low temperatures (around 120 °C) to achieve an optimal performance [28]. A recent study by Scionti et al. demonstrated that surface-modified magnesium hydroxide (Mg(OH)2-S) outperformed other fillers in acrylic-based fire-resistant coatings. Mg(OH)2-S exhibited the lowest backside temperature during flame exposure and produced the smallest fire-damaged area among all tested materials. This enhanced performance is attributed to Mg(OH)2-S’s higher heat absorption during decomposition (1389 J/g compared to 1050 J/g for Al(OH)3) and its higher decomposition onset (~332 °C), which aligns more closely with typical fire conditions. Consequently, Mg(OH)2-S acts as a more effective thermal barrier, prolonging the structural integrity of the coating under direct flame exposure. These properties make Mg(OH)2-S a particularly attractive FR for demanding applications, such as naval or industrial coatings, where high fire resistance and thermal insulation are critical [29]. Figure 2 displays examples of inorganic fillers that can be used as FRs [30,31,32,33,34,35,36].
Figure 2.
Inorganic fillers as FRs.
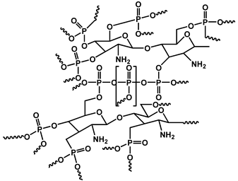
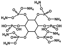
2.2.3. Phosphorus-Based Systems
Phosphorus-containing FRs have emerged as environmentally friendly alternatives to toxic halogenated systems. Among them, organophosphorus compounds based on 9,10-dihydro-9-oxa-10-phosphaphenanthrene-10-oxide (DOPO) have been extensively studied due to their high FR efficiency and thermal stability. Numerous synthetic routes have yielded a variety of DOPO derivatives (Figure 3), offering tailored structures for specific polymer applications. These phosphorus-based FRs often benefit from synergistic effects when combined with nitrogen-containing compounds, further enhancing the flame inhibition. One key advantage of non-halogenated phosphorus systems, such as DOPO derivatives, is their reduced environmental and toxicological impact. During combustion, phosphorus is retained within the char matrix, thereby limiting the formation of toxic gases and smoke [37]. Aromatic phosphonate FRs derived from DOPO exhibit excellent thermal stability, with decomposition temperatures typically exceeding 250 °C. This makes them suitable for use in high-temperature processable polymers, such as polyester and polyamides. Moreover, DOPO-based compounds often incorporate P–C bonds, contributing to their structural rigidity and thermal endurance. Although a broad array of phosphorus-containing FRs have been developed, further research is necessary to address key challenges that hinder large-scale commercialization. These include the need for cost-effective synthetic strategies, the comprehensive evaluation of mechanical properties, compatibility with polymer matrices, long-term durability, and a thorough understanding of their toxicological and environmental profiles [38]. Figure 4 shows phosphorus-based FRs [25,39].
Figure 3.
Some derivatives of DOPO (1), synthesized via Michael-type additions: (i) (aVinyltri methoxysilane (benzene, 80 °C) and Azobisisobutyronitrile (benzene, 80 °C; 12 h). (ii) Maleic acid (xylene: tetrahydrofuran (THF) (1:1), 80 °C; 20 h). (iii) Dicyandiamide (DICY) (130 °C). (iv) Toluene (s) (100 °C); Tetra [(acryloyl-oxy)ethyl] pentaerythrit (toluene, 100 °C; 2 h); and 200 °C (10 mbar; 6 h). (v) Maleic anhydride (THF; reflux) or using xylene (80 °C; 24 h). (vi) 4-aminophenol, 4 hydroxybenzaldehyde (methanol, 50 °C; 5 h), the product from was then used for the next step (THF, 60 °C; 12 h). (vii) 1,4-naphthoquinone (inert solvent, dielectric constant ≤10) [37]. Copyright 2014 Elsevier.
Figure 4.
Phosphorus-based FRs.
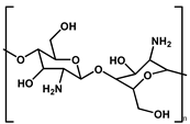
2.2.4. Nitrogen-Based Systems
Nitrogen-based FRs are known for their ability to release inert gases during decomposition, thereby diluting flammable volatiles and suppressing combustion in the gas phase. Among these, MA and DICY are widely studied due to their high nitrogen content and char-forming capabilities. The examples of nitrogen-based FRs are illustrated in Figure 5 [40,41,42].
Figure 5.
Nitrogen-based FRs.
In a study by Xu et al., a novel ternary FR system was developed by coating zeolitic imidazolate framework-8 (ZIF-8) with MA (forming ZIF-8@MA) and subsequently bonding it with diatomite to generate a Si–N–Zn composite structure. The resulting material (ZMD) was incorporated into a rigid PU foam, significantly enhancing its fire safety. MA contributed by releasing non-combustible gases during thermal degradation, which helped lower the combustion temperature and dilute flammable gases. The synergistic effect of ZMD was evident in the reduction in critical fire parameters: the peak heat release rate (PHRR), total heat release (THR), smoke production rate (SPR), and total smoke production (TSP) were reduced by 50.1%, 61.8%, 70.6%, and 76.1%, respectively. Furthermore, the limiting oxygen index (LOI) increased from 19.4% to 25.4%. These improvements were attributed to the gas-phase action of MA, the catalytic char formation by zinc oxide (ZnO) and SiO2, and the physical barrier effect of diatomite [43]. DICY is another nitrogen-rich FR that enhances fire resistance by releasing inert gases such as ammonia and nitrogen during decomposition while simultaneously promoting carbonaceous char formation. When combined with aluminum hypophosphite (AHP) in a 4:1 weight ratio within polyethene composites, DICY demonstrated excellent flame retardancy. The LOI increased from 18.8% to 26.3%, a UL-94 V-0 rating was achieved, the PHRR dropped by 48%, and the char residue increased to 23.2%. These results indicate a strong synergistic effect between DICY and AHP, improving both the thermal stability and flame suppression efficiency [44].
In a broader context, Gilbertson and Ng evaluated alternatives to traditional BFRs, such as decabromodiphenyl ether and TBBPA, in electrical and electronic equipment using a comprehensive alternatives assessment framework. This study compared non-halogenated candidates, including organophosphorus compounds (e.g., DOPO and MA polyphosphate), mineral fillers (e.g., montmorillonite (MMT)), and nanomaterials (e.g., carbon nanotubes (CNTs)). TBBPA was identified as the most hazardous among the evaluated substances. While DOPO and melamine polyphosphate (MPP) exhibited a lower toxicity, the absence of complete hazard and exposure data constrained their evaluation. Nanomaterials demonstrated a promising performance but raised concerns regarding long-term safety and regulatory gaps. The authors emphasized the importance of integrating green chemistry principles into future assessment frameworks to guide the development of safer, sustainable FR alternatives [45].
2.2.5. Silicone-Based Flame Retardants
Silicone-based FRs are an emerging class of environmentally friendly additives that provide an excellent thermal stability, char formation, and surface protection. Their FR mechanism involves the creation of thermally stable silicon-containing residues, such as SiO2 or Si–O/Si–N ceramics, which function as insulating layers, reducing the heat and oxygen transfer during combustion. These systems are non-halogenated and often multifunctional, contributing not only to flame resistance but also to the hydrophobicity, weatherability, and mechanical enhancement of the coating or polymer system. Figure 6 represents examples of silicone-based FRs [46,47,48,49,50].
Figure 6.
Silicone-based FRs.
In a study by Patel et al., diphenylsilanediol (DPSD) served as a reactive FR in biobased PU coatings. Rich in silicon, DPSD enhances flame retardancy by promoting the formation of a SiO2-like char barrier upon thermal exposure, which slows the heat and mass transfer during combustion. The incorporation of DPSD significantly delayed the ignition time, reduced the burning duration, and minimized weight loss, indicating an improved thermal stability. Its two hydroxyl groups facilitated covalent bonding with isocyanate groups in the PU matrix, resulting in a highly crosslinked network with an enhanced mechanical hardness, solvent resistance, and durability. Furthermore, the presence of hydrophobic phenyl groups and a siloxane backbone imparted low surface energy, creating a coating with hydrophobic and anti-smudge properties, including a high water contact angle and easy ink removal. Importantly, DPSD is fluorine-free and compatible with renewable feedstocks, such as soybean oil-based polyols, making it a sustainable alternative to conventional HFRs. Figure 7 shows the reaction scheme of the PU coating with DPSD [47].
Figure 7.
The reaction scheme of the PU coating material [47]. Copyright 2024 American Chemical Society.
In another study, Chatterjee et al. investigated the use of polysilazane (PSZ) as a silicon-based FR and curing agent in wood acrylic coatings. PSZ features a Si–N backbone that transforms into ceramic-like Si–O or Si–N structures upon thermal degradation, creating effective barriers to heat and oxygen. When used in combination with 3 wt% SiO2, PSZ imparted a synergistic effect that raised the LOI to 26% and achieved a UL-94 V-0 rating. Furthermore, PSZ enhanced the thermal stability, char formation, and hydrophobicity of the coating while maintaining mechanical robustness and long-term weather resistance. Notably, the system avoided toxic isocyanate crosslinkers, aligning with the principles of green chemistry and sustainable materials design [51].
2.3. Hybrid and Synergistic Flame Retardants
Hybrid and synergistic FR systems combine two or more additives to achieve superior flame retardancy through complementary mechanisms. These systems often enhance the thermal stability, char formation, and mechanical performance while reducing additive loading and preserving material properties.
In a study by Paszkiewicz et al., a hybrid FR system comprising halloysite nanotubes (HNTs) and silane-treated alumina trihydrate (ATH-sil) was developed for ethylene–vinyl acetate/copolymer/low-density polyethylene composites used in cable insulation. Both additives are halogen-free and environmentally friendly. The optimal formulation (8 wt% HNT + 4 wt% ATH-sil) significantly increased the LOI to over 28%, achieving self-extinguishing behavior. It also raised the 50% degradation temperature from 467 °C to 520 °C. ATH-sil improved the filler dispersion and interfacial bonding, while HNTs acted as thermal barriers. Together, they contributed to an enhanced mechanical strength, reduced water absorption, and improved processability (Figure 8). The hybrid FR system is based on HNTs and ATH-sil [52]. Furthermore, the EVA/AGM composite comprising Al(OH)3, molybdenum disulphide (MoS2), and graphene nanoplatelets (GNPs) was identified as the most effective FR system in the same study. This formulation (36 wt% Al(OH)3, 2 wt% MoS2, and 2 wt% GNPs) achieved a UL-94 V-0 rating with the lowest Al(OH)3 loading reported. The superior performance was attributed to the synergistic action of MoS2 and GNPs: GNPs promoted char formation and acted as physical barriers, while MoS2 enhanced the thermal stability and facilitated the formation of a protective layer. This synergy significantly reduced the heat release and improved both thermal and mechanical properties, making EVA/AGM a promising candidate for high-performance fire-resistant cable sheathing [53]. Despite the promising FR performance and mechanical enhancement offered by hybrid systems, several challenges remain that can limit their practical implementation. One key issue is the interfacial compatibility between inorganic fillers and the polymer matrix, which can lead to poor dispersion or weak filler–matrix interactions, ultimately affecting the long-term mechanical integrity of the composite. For instance, achieving the uniform dispersion of nanofillers like MoS2 or GNPs requires surface modifications or compatibilizers, which may introduce additional processing steps. Moreover, processing challenges such as an increased melt viscosity, filler agglomeration, and poor extrusion flow behavior can hinder scalability in industrial settings. The presence of multiple fillers can also complicate the optimization of processing parameters like the mixing time, temperature, and shear rates. Therefore, while hybrid and synergistic FR systems offer clear benefits, addressing these material compatibilities and processability issues remains critical for their widespread application in commercial polymer systems [54,55,56,57]. Table 1 displays some literature data from previously reported work on FRs.
Figure 8.
Hybrid FR system based on HNTs and silane-modified ATH [52]. Copyright 2021 MDPI. Licensed under CC BY. https://creativecommons.org/licenses/by/4.0/ (accessed on 28 June 2025).
Table 1.
Various FRs and their properties.
3. Coating Matrix Systems and Compatibility
3.1. Epoxy-Based Coatings
Epoxy resin is a highly versatile thermosetting polymer that forms a robust three-dimensional network through inter- and intramolecular crosslinking. Due to its adaptable chemistry and processability, epoxy is used across a wide range of applications, including adhesives, protective and decorative coatings, and surface treatments for materials such as wood, fabric, glass, and metal. Its widespread use in household, structural, electronic, and construction products often necessitates compliance with stringent flame safety standards [94]. Epoxy-based PU coatings, which integrate the mechanical strength of epoxy with the flexibility and UV resistance of PU, provide durable and protective finishes for various substrates.
Laoutid et al. investigated the use of epoxy resin as a matrix for transparent fire-resistant coatings by incorporating hydroxyapatite nanoparticles. The epoxy system was based on the diglycidyl ether of bisphenol A (DGEBA, EPIKOTE Resin 828), cured with EPIKURE F205. This thermoset exhibited an excellent chemical resistance, strong substrate adhesion to PLA, and effective dispersion of nanofillers. AHP nanoparticles (≤60 nm) were incorporated through a two-step wet milling process, followed by sonication and mechanical stirring. At an optimal loading of 15 wt% AHP, the resulting epoxy–AHP nanocomposite significantly reduced the PHRR of PLA while maintaining an optical transparency. The matrix not only served as a binder but also aided the char formation during decomposition, emphasizing the importance of additive compatibility in epoxy FR systems [95].
In another study, Price et al. utilized Epon 828 epoxy resin as a FR matrix due to its excellent thermal stability and char-forming ability. The formulation incorporated intumescent additives, including APP, MA, and PAA. The epoxy matrix successfully confined these components, resulting in thermally stable, expanding coatings. Notably, this method provided a boric acid-free alternative with a superior char integrity and reduced flammability, functioning through an effective condensed-phase FR mechanism [60]. Guo et al. developed a bio-based epoxy fire-resistant coating using DY-E44 epoxy resin, cured with hexa-(4-carboxyl-2-methoxy-phenoxy)-cyclotriphosphazene (HCPVC) and synthesized from vanillin and hexachlorocyclotriphosphazene -. HCPVC acted both as a curing agent and an FR, displaying an excellent compatibility with the epoxy matrix. Differential scanning calorimetry revealed a high activation energy of 71.59 kJ/mol, indicating good reactivity. The cured coatings demonstrated a strong mechanical performance, including a 4H hardness, 5B adhesion, and resistance to water and solvents. A scanning electron microscopy (SEM) analysis confirmed the formation of compact char layers after combustion. The system cured efficiently between 80 and 120 °C and provided a superior flame retardancy, as well as comparable or better physical properties than conventional agents, such as diamino diphenylmethane and maleic anhydride. These results position HCPVC-based epoxy coatings as a sustainable, multifunctional solution for eco-friendly wood protection. The reaction scheme of the biobased epoxy coating using HCPVC is presented in Figure 9 [96].
Figure 9.
Synthesis of bio-based FR for wood surface coating [96]. Copyright 2019 American Chemical Society.
3.2. Polyurethane and Polyurea Coatings
PU and polyurea coatings have emerged as prominent materials in protective applications due to their exceptional mechanical strength, chemical resistance, and environmental durability. These thermosetting systems can be engineered for flexibility or rigidity and are commonly utilized in industrial flooring, automotive parts, and construction. Incorporating FR additives or reactive FR monomers into PU and polyurea matrices facilitates the development of multifunctional coatings that provide both thermal protection and fire resistance, thereby expanding their utility in fire-critical applications.
In a study by Cabo et al., a bio-based additive system using a maleated epoxidized corn oil/epoxy resin (MEPECO) was introduced into a vinyl ester (VE) resin matrix to enhance its mechanical and FR properties. The VE matrix, a thermoset derived from a blend of an epoxy and unsaturated polyester, was modified with 0–7 wt% in situ-synthesized MEPECO (Figure 10). The effective dispersion via 3-roll milling and enhanced interfacial bonding, facilitated by maleic anhydride groups, resulted in strong chemical crosslinking between MEPECO and the VE network. At an optimal 5 wt% loading, MEPECO improved the thermal stability, reduced the HRR by 17.07%, and enhanced the mechanical integrity. Fourier transform infrared spectroscopy confirmed successful chemical bonding and an adequate defect coverage, validating MEPECO as a multifunctional and sustainable additive [97].
Figure 10.
The schematic of the experimental procedures of the synthesis of vinyl ester resins through MEPECO additives [97]. Copyright 2024 American Chemical Society, licensed under CC-BY 4.0. https://creativecommons.org/licenses/by/4.0/ (accessed on 25 June 2025).
Ding et al. developed a reactive fire-resistant PU foam by chemically integrating a phosphorus–nitrogen-containing molecule, 2-((bis(2-hydroxyethyl)amino)methyl)-5,5-dimethyl-1,3,2-dioxaphosphinane 2-oxide (HAMPP), into the PU matrix. The dihydroxy-functionalized HAMPP reacted covalently with isocyanate groups during the polymer formation, ensuring an excellent compatibility without phase separation or migration. The system demonstrated significant improvements in flame retardancy, with the LOI increasing to 23.7%, the heat release capacity decreasing by 31%, and char production rising by 42%. Furthermore, incorporating 10 wt% HAMPP enhanced the thermal stability and mechanical performance, affirming its potential as a green, matrix-integrated FR for flexible PU foams [98].
3.3. Acrylic- and Silicone-Based Coatings
Acrylic- and silicone-based coatings have garnered increasing attention as advanced fire protection systems due to their intrinsic thermal stability, mechanical robustness, weather resistance, and formulation versatility. Acrylics provide excellent adhesion and transparency, while silicones offer heat and UV resistance. The incorporation of functional additives and hybrid organic–inorganic architectures further enhances their FR properties. These coatings are now being customized for sustainable, halogen-free formulations with a low toxicity, minimal smoke release, and superior char formation.
A recent study by Chatterjee et al. introduced a high-performance fire-resistant acrylic coating using PSZ as a crosslinker and SiO2 nanoparticles as reinforcing fillers. PSZ exhibited an excellent compatibility with hydroxy-functionalized acrylic resins, forming robust Si–O–C bonds that facilitated efficient ambient-temperature curing and an enhanced coating strength. The inclusion of SiO2 provided a synergistic enhancement, significantly increasing the flame retardancy, hydrophobicity, and char formation. The optimized formulation (acryl-PSZ-20) achieved a UL-94 V-0 rating and an LOI of 26%, alongside excellent durability and environmental resistance. This isocyanate-free, eco-friendly system demonstrates substantial potential in wood protection and sustainable FR technologies [99].
Lai et al. developed a novel FR system based on a silicone–acrylic emulsion (SAE) matrix incorporating two innovative additives: DOPO-modified sodium lignosulfonate (DAL) and carboxymethyl CS-pretreated MPP (CMCS@MPP) (Figure 11). The SAE matrix provided a stable hybrid organic–inorganic network with excellent adhesion, thermal resistance, and weatherability. Hydrogen bonding and ion exchange mechanisms between the additives and matrix enhanced the interfacial compatibility, leading to uniform dispersion and an improved mechanical performance. At an optimal DAL loading of 1.5 wt%, the composite coating demonstrated strong flame retardancy, enhanced adhesion, and the formation of a protective Si–P–C char layer during combustion [100].
Figure 11.
Preparation of phosphorus-modified sodium lignosulfonate intermediates and their integration into Si–P–C silicone–acrylic emulsion coatings for fire-resistant plywood [100]. Copyright 2024 American Chemical Society.
In another study, Wang et al. engineered an intumescent fire-resistant coating using a waterborne acrylic matrix integrated with sodium silicate hydrate and melamine cyanurate (MCA). While sodium silicate provides thermal stability and environmental safety, it is often plagued by its poor dispersion and crystallization in organic matrices. The addition of MCA, a nitrogen-rich FR, addressed these challenges by forming hydrogen bonds with sodium silicate. This interaction inhibited sodium silicate polymerization and aggregation, thus enhancing the dispersion and matrix compatibility. The resultant composite coating exhibited an improved flame resistance and thermal stability and maintained its mechanical integrity, demonstrating the advantages of synergistic modifiers in waterborne acrylic systems [101].
3.4. Waterborne and Solvent-Based Systems
Waterborne and solvent-based fire-resistant coating systems embody two significant technological approaches, each with unique benefits and constraints. Waterborne coatings, which utilize water as the main carrier, offer reduced VOC emissions, a lower toxicity, and greater environmental safety. However, they may display slower drying times and slightly lower durability. In contrast, solvent-based systems deliver superior adhesion, chemical resistance, and quick curing; however, their reliance on organic solvents leads to higher VOC emissions and potential fire and health risks. Specific performance requirements, environmental regulations, and substrate compatibility typically guide the selection between the two systems.
Yin et al. developed a high-performance waterborne PU (WPU) coating system by incorporating PA and APTES into a phosphorus-rich PU matrix (Figure 12). This bio-based and eco-friendly formulation created a densely crosslinked network through hydrogen bonding and covalent interactions among PA, APTES, and the WPU backbone. The resulting PA-APTES solution (PAS)-WPU coating demonstrated a remarkable FR performance, achieving an LOI of 34.1%, suppressing melt dripping, and enhancing mechanical integrity. Furthermore, the coating proved to be effective on polyester textiles, bolstering both the fire resistance and tensile strength. This study highlights the viability of waterborne systems for sustainable fire-resistant coatings with excellent multifunctionality [102].
Figure 12.
The schematic of the preparation of the (a) PAS and (b) blended film [102]. Copyright 2025 American Chemical Society.
Wang et al. synthesized a nanocomposite coating based on lignin-containing waterborne PU by utilizing low-molecular-weight lignin (LMWL) as a bio-based polyol, combined with dialyzed alkali lignin (DAL) nanoparticles. The strong interfacial hydrogen bonding between lignin and PU segments enabled an excellent dispersion and avoided phase separation. LMWL served as a reactive compatibilizer, chemically integrating into the polymer backbone and enhancing the overall matrix homogeneity. This structure significantly improved the thermal stability, photothermal conversion efficiency, and char production. While the primary aim was photothermal energy generation, the resulting system demonstrated a promising FR potential, particularly in environmentally friendly and bio-derived coatings [103].
In another study, Guidugli et al. introduced a solvent-based FR approach by utilizing DESs composed of PA (as the hydrogen bond donor) and various hydrogen bond acceptors, such as choline chloride, ethylene glycol, and glycerol. These DESs were directly applied to cotton fabrics through a straightforward dip-coating process, serving both as the solvent medium and FR agents. Among the tested systems, the ChCl: PA (1:5) composition demonstrated superior fire resistance, low smoke production, and high char formation. The TGA confirmed a high thermal stability, while virtual models for the property evaluation of chemicals within a global architecture-based environmental and toxicological assessments indicated a low toxicity. This solvent-only strategy offers a sustainable and efficient alternative for the FR treatment of cellulose-based materials [104].
3.5. Nanocomposite for Flame Retardancy
Nanocomposite-based FR systems have emerged as a potent strategy to enhance the thermal stability, fire resistance, and multifunctionality of polymer coatings. By integrating nanostructured additives, such as clays, metal oxides, graphene derivatives, or hybrid organic–inorganic fillers, into polymer matrices, these systems benefit from an increased surface area, improved dispersion, and synergistic interactions that enhance both the barrier performance and mechanical integrity. These materials not only suppress the heat and flame propagation but also minimize smoke generation, enhance char formation, and sometimes impart additional features like corrosion resistance or conductivity.
In a study conducted by Murtaza et al., an epoxy-based nanocomposite was developed that incorporated a novel hybrid nanofiller made from a 8-hydroxyquinoline (8-HQ)-intercalated CaAl-layered double hydroxide (CaAl-8HQ-LDH) anchored onto reduced graphene oxide (rGO). This multifunctional filler demonstrated an excellent compatibility with the epoxy matrix, ensuring uniform dispersion and strong interfacial adhesion. The resulting coating achieved a UL-94 V-0 flame retardancy rating and exhibited long-term durability in saline conditions, due to the synergistic effect of rGO’s physical barrier function and 8-HQ’s corrosion-inhibiting capabilities. These findings emphasize the dual benefits of fire protection and an anticorrosive performance through nanostructure engineering [105]. The study by Panda et al. presents a high-performance FR and an electromagnetic interference (EMI) shielding system based on carbon nanomaterials. The coating formulation incorporates carbon nanodots, CNTs, and graphene nanosheets within a sodium metasilicate–gypsum matrix. When applied to wooden substrates, the carbon composite coatings exhibit an exceptional flame resistance, effectively minimizing flame propagation and charring during fire exposure at 1050 °C. A thermogravimetric analysis confirms its high thermal stability, with substantial char residue retained at 800 °C, indicating strong thermal insulation. In addition to fire protection, the coating demonstrates significant electromagnetic shielding capabilities, reducing electric and magnetic fields by approximately 50% and 44%, respectively. This EMI performance is attributed to the synergistic effect of carbon nanomaterials, which enhance the conductivity, dielectric loss, and electromagnetic wave absorption. Overall, the study highlights the potential of carbon-based nanocomposites as multifunctional coatings for advanced construction applications, combining a superior flame retardancy with efficient EMI shielding [106]. Moreover, the study has been extended by Panda et al., where a novel FR and EMI shielding coating system was developed using a hybrid nanocomposite approach. The system consists of two-dimensional (2D) hexagonal boron nitride (h-BN) sheets and zero-dimensional (0D) ZnO nanoparticles, integrated into a sodium metasilicate and gypsum matrix. When applied to wooden and wallpaper substrates, these nanocomposite coatings exhibited enhanced flame retardancy, evidenced by the reduced flame spread and carbonization at high temperatures (1050 °C), and excellent thermal stability, with 83.5% of the char residue retained at 800 °C. The coatings also demonstrated effective EMI shielding, particularly at an h-BN:ZnO ratio of 3:1, due to improved resistance and dielectric loss characteristics. Overall, the architectural synergy between h-BN and ZnO contributes significantly to thermal insulation and electromagnetic absorption, making this nanocomposite system highly promising for contemporary building applications [107].
In another recent study, Lee et al. synthesized a trilayer (TL) nanocomposite-based fire-resistant coating comprising TiO2, PAA, and MMT, which was fabricated via an LbL self-assembly process (Figure 13). The interposition of PAA between the inorganic TiO2 and MMT layers provided excellent interfacial compatibility through its carboxylic acid groups, facilitating strong hydrogen bonding and electrostatic interactions. This architecture yielded a highly uniform, thick, and well-integrated nano brick wall structure. The coatings exhibited exceptional thermal insulation and fire retardancy by inhibiting heat flow and promoting dense char formation. The system proved to be highly effective as a protective coating for flammable substrates, offering an eco-friendly, halogen-free alternative for advanced fire safety applications [108]. While nanocomposite-based FRs demonstrate an excellent performance in thermal stability, char retention, and multifunctionality, several trade-offs must be critically considered for real-world applications. The cost remains a major barrier, particularly with carbon nanomaterials such as CNTs, GO, and rGO, which involve complex synthesis processes and high raw material expenses. In terms of scalability, the uniform dispersion of nano-additives at a large scale remains challenging due to agglomeration tendencies and high surface energy, often requiring additional surface treatments or compatibilizers that can complicate manufacturing. Furthermore, the environmental and health impacts of nanomaterials, including concerns related to bioaccumulation, inhalation risks during handling, and long-term degradation, are still under investigation, requiring more extensive regulatory evaluation. Thus, although these materials offer an excellent multifunctional performance, their widespread industrial adoption depends on overcoming cost, processability, and sustainability challenges [109,110].
Figure 13.
A schematic representation of the LbL assembly, consisting of TiO2 nanoparticles, PAA, and MMT, along with chemical structures used [108]. Copyright 2024 American Chemical Society.
4. Bio-Based and Eco-Friendly Flame Retardants
Bio-based FRs offer a sustainable alternative to traditional halogenated systems by employing renewable raw materials, omitting toxic additives, and adhering to the principles of green chemistry. These systems frequently exhibit excellent flame retardancy while providing enhanced biodegradability, a lower toxicity, and a diminished environmental impact. Various natural compounds, such as TA, PA, lignin, and bio-derived polyphenols, are incorporated into coating matrices for a range of substrates like textiles, wood, and polymers.
Kulkarni et al. developed a green fire-resistant coating for nylon–cotton fabric through a two-step surface functionalization using TA and PA. TA formed hydrogen bonds with nylon, while PA covalently bonded to cotton, creating a synergistic FR effect without requiring synthetic intermediates. The coating adhered to green chemistry guidelines by employing biodegradable resources, omitting halogenated components, and using water-based processing. Although effective in minimizing the heat release and smoke during combustion, its diminished durability after washing and sensitivity to water hardness remain limitations [111].
Kim et al. synthesized a fire-resistant epoxy resin using TA as a multifunctional biobased hardener, directly reacting with DGEBA. The system achieved flame retardancy through radical quenching and char formation, without the use of halogenated additives. Ethanol served as a low-toxicity solvent, reinforcing the eco-friendly approach. The resulting resin exhibited a higher LOI and lower THR due to its thermally stable carbonaceous structure, highlighting the environmental and functional advantages of TA-based systems [112]. Deniz et al. synthesized a partially bio-based FR by combining hexachlorocyclophosphazene (HCCP) with TA through precipitation polycondensation (Figure 14). The resulting TA/HCCP colloids displayed an excellent thermal stability, strong char-forming ability, and good adhesion to cotton fibers. The coatings achieved LOI values of up to 35 and passed vertical flammability tests. The process employed an aqueous, solvent-free synthesis at room temperature and featured a chlorine content reduction to just 0.08 wt%, underscoring its green chemistry credentials [113].
Figure 14.
Synthesis route to bio-based (TA/HCCP) colloidal particles [113]. Copyright 2020 American Chemical Society.
Weldemhret et al. created a phosphorus-doped mesoporous carbon (PMC) coating from saccharose and PA, using KIT-6 SiO2 as a templating agent (Figure 15). This bio-derived, halogen-free material was integrated onto PU foam through an LbL technique that employed alginate and CS as dispersants. With just three bilayers, the coating diminished the PHRR by 56% and reduced carbon monoxide (CO) and carbon dioxide (CO2) emissions by 35%. It also demonstrated durability under mechanical stress and adhered to green chemistry principles by utilizing a low energy input, biodegradability, and biomass-sourced feedstocks [114].
Figure 15.
(a) The synthesis procedure for PMC and (b) the schematic of the LbL assembly approach [114]. Copyright 2022 American Chemical Society.
Zhao et al. designed a bio-based hydrogel fire-resistant coating using polyvinyl alcohol (PVA) and PA, which was applied to wood via a freeze–thaw process in water. The halogen-free, solvent-free formulation relied on hydrogen bonding and char formation to provide fire resistance. The coating increased the time to ignition from 63 s to 130 s and reduced the THR by over 50%. It exhibited strong thermal insulation and a long service life, offering a safe and environmentally sustainable solution for wood protection [115]. Figure 16 represents some lignin-derived FRs modified by phosphorus and nitrogen. Table 2 presents a list of bio-based FRs.
Figure 16.
Lignin-derived modified FRs [116]. Copyright 2020 Royal Society of Chemistry.
Table 2.
Bio-based FRs.
5. Functional and Smart Flame-Retardant Coatings
5.1. Self-Healing Flame-Retardant Coatings
There are two types of self-healing polymer materials based on their mechanisms, namely extrinsic and intrinsic [133]. Extrinsic self-healing polymers require external agents, typically stored in tiny containers like microcapsules within the material. When a crack forms, the healing liquid is released, initiating the repair process. On the other hand, intrinsic self-healing polymers can heal themselves through their own chemical bonds, without any external agent; their structure can be activated by temperature changes, UV light, moisture, or air to start the self-healing process [134]. Luo et al. developed a special poly(urethane–urea) elastomer named PNPU-2%Zn that cleverly combines both self-healing and FR capabilities. Its self-healing occurs through reversible metal–ligand bonds formed between zinc ions (Zn2+) and 2,6-diaminopyridine (DAP). These bonds can break and reform when gently heated (around 80 °C), allowing the material to heal itself with an approximately 98% efficiency and no need for high-pressure or complex conditions. To enhance the material’s fire resistance, the researchers incorporated a phosphinate-based chain extender, 2,2-Bis(hydroxymethyl)butyl Diphenylphosphinate. This aids in two ways: in the gas phase, it releases PO• radicals that trap flame-spreading radicals, while in the solid phase, it contributes to the formation of a stable char layer with the assistance of Zn2+, preventing the material from burning. Moreover, the nitrogen in DAP produces NH3 gas, which does not burn and further aids in stopping flames. Thanks to these combined effects, the material achieves an LOI of 26.5%, passes the UL-94 V-2 flame test, and reduces the heat release by 10%. With excellent strength (20.9 MPa), self-healing properties, and fire resistance, PNPU-2%Zn shows great potential for coatings in flexible and wearable electronics. Figure 17 illustrates the design evolution of self-healing fire-resistant PUs through supramolecular and coordination crosslinks. The incorporation of phosphorus-containing FRs and metal–ligand interactions enhances the flame resistance, mechanical strength, and reprocessability [135].
Figure 17.
Self-healing poly(urethane–urea) elastomer with good flame retardancy [135]. Copyright 2024 American Chemical Society.
Meng et al. used a polyelectrolyte complex consisting of PEI and APP combined with GO to create a self-healing fire-resistant coating. They then employed a straightforward dip-nip method to apply the coating to a flexible PU foam. The coating also demonstrated remarkable self-healing behavior: after being damaged, it was able to fully recover within 3 days in air at 50% humidity. As the coating remained soft at room temperature (Tg = 16.5 °C), this healing was facilitated by hydrogen bonding and the flexibility of the polymer chains. Additionally, the foam’s mechanical strength increased significantly, showing an excellent performance even after 200 compression cycles and a 175% increase in compressive strength. All things considered, this environmentally friendly coating provides PU foams used in practical applications with durability and fire safety [136]. Sun et al. synthesized a self-healing waterborne plywood coating resistant to fire. Using the semi-interpenetrating network process, they produced the coating by mixing PVA, APP, sodium silicate, and SFS. APP served as the acid and gas source for the flame retardancy, while PVA functioned as the self-healing agent and binder. A denser inorganic silicate network, formed with the assistance of sodium silicate and SFS, enhanced the thermal stability. The PVA/SSA3 formula coating exhibited an excellent fire performance; the fire resistance time improved by 85%, increasing from 114 s (for pure plywood) to 200 s. The char residue at 600 °C also rose to 45.1%, compared to 0% for plain PVA. This robust char layer, formed by APP and the silicate network, helped block heat and oxygen. The coating also demonstrated an excellent self-healing ability when scratched, with marks completely vanishing after a few minutes in water vapor and 30 min at room temperature. This is made possible by PVA chain hydrogen bonding and the water softening effect, which allows polymer chains to move and re-bond. This cost-effective and environmentally friendly coating procedure provides a practical solution for wood protection against both fire and surface damage [137].
5.2. Coatings with Dual Functions
Coatings that are resistant to both fire and bacteria are particularly useful in settings where safety and cleanliness are crucial, such as public spaces or hospitals. In addition to being highly effective, these coatings are also safer for both people and the environment because they utilize natural ingredients like CS and ammonium phytate (AP). An environmentally friendly coating made from CS and AP was recently developed by Li et al. to impart both antimicrobial and FR properties to viscose fabric. Using an LbL deposition method, a protective intumescent film was formed on the fabric’s surface. During flame tests, the coated fabric self-extinguished and reached an LOI of 29%, largely due to the CS/AP system forming a char layer that blocked the heat and oxygen transfer. It also released significantly less heat and smoke, with a PHRR of 70 kW/m2 and a TSP of just 0.3 m2. Besides its ability to withstand fire, the coating demonstrated potent antibacterial properties, reducing S. aureus and E. coli by 99.99%. CS, which attaches to the negatively charged bacterial cell and surfaces and disrupts their membranes, is responsible for this strong antibacterial action. All things considered, this straightforward and environmentally friendly coating has numerous advantages and is a wise option for safer, cleaner textiles [138]. Flame resistance, UV protection, and water repellency are highly sought-after properties for technical textiles used in outdoor gear, industrial safety, and aerospace. Polyimide (PI)-coated fabrics have demonstrated exceptional multifunctionality in meeting these demands. In the study by Hicyilmaz et al., polyamic acid was synthesized and applied to woven cotton and polyester fabrics using a straightforward padding technique, followed by low-temperature iridization to produce PI coatings. In flame tests based on the modified UL-94 standard, PI-coated samples formed a stable ~12 cm char layer that protected the fabric structure and prevented ignition or dripping, whereas uncoated fabrics burned completely and even ignited adjacent materials. Notably, PI-coated polyester did not melt or ignite the cotton indicator, demonstrating outstanding flame resistance. This performance was attributed to the formation of an insulating char barrier by the PI layer, which effectively blocked the heat and oxygen transfer during combustion. Beyond fire resistance, PI coatings provided a robust UV-A protection, reducing the light transmittance from approximately 29% to just 2% at 400 nm. The hydrophobicity also improved significantly, with contact angles reaching 111.43° for cotton and 113.40° for polyester, making the fabrics strongly water-repellent. Young’s modulus of the PI-coated polyester increased fourfold, from 98.85 MPa to 396.49 MPa, indicating an enhanced stiffness and mechanical strength. Overall, this scalable and efficient coating method converted low-cost textiles into high-performance materials suitable for use in demanding, multi-hazard environments [139]. Table 3 shows some examples of FRs used in smart coatings.
Table 3.
FRs that are used in smart coatings.
6. Processing and Application Techniques
6.1. Layer-by-Layer Assembly
The LbL assembly is a simple, yet powerful technique used to build thin, multilayered films by alternately depositing positively and negatively charged materials, such as polymers, nanoparticles, or biomolecules, onto a surface. The process mainly relies on electrostatic interactions, but other forces like hydrogen bonding or even covalent bonding can also be involved in the materials use [10,161]. One study performed by Carosio et al. developed an ultra-fast LbL technique to apply fire-resistant coatings onto flexible PU foams in just 2.5 s, which is significantly faster than traditional LbL methods. In their process, CS and poly (phosphoric acid) (PPA) are applied alternately using a padder system. The foam is dipped into each solution for only 0.5 s and then immediately compressed between rollers to remove the excess liquid. This quick squeezing step replaces the need for rinses or drying, making the coating process much more efficient. Despite the rapid processing, the method ensures consistent coverage throughout the foam’s complex porous structure. With just two bilayers, the coated foam achieved a 33% reduction in the PHRR, showing an excellent FR performance using a minimal amount of material. By overcoming the usual challenges of long processing times and water retention, this approach provides a practical and scalable solution for improving fire safety in flexible and porous materials. This coating process is displayed in Figure 18 [162].
Figure 18.
The fast LbL deposition on flexible PU foams: (a) the schematization of the process and phenomena occurring during the LbL assembly on flexible PU foam, (b) the schematization of 2 bilayers’ dried coating and field emission SEM pictures of 2 bilayer-treated foam, (c) a comparison between overall treatment times reported in the scientific literature for the LbL method on PU foams [162]. Copyright 2016 American Chemical Society.
Yan et al. developed a simple and effective fire-resistant coating for wood using an LbL process. In this method, the wood is repeatedly dipped into two water-based solutions, one containing CS and GO and the other containing APP. These oppositely charged materials bond LbL, creating a protective coating on the wood surface. After applying 15 bilayers, the wood shows a significant improvement in fire resistance. The LOI, which measures the minimum oxygen concentration required to sustain combustion, increased from 22% for untreated wood to 42% for coated wood. Since normal air only contains about 21% oxygen, the coated wood became significantly harder to ignite. In flame tests, the treated wood nearly self-extinguished after 60 s. Cone calorimeter tests indicated a reduction in the PHRR from 207.2 to 162.9 kW/m2, and the THR from 62.4 to 34.3 MJ/m2. This strong FR effect arises from the combined actions of APP (which releases acid and gas to promote char formation), CS (which strengthens the char), and GO (which serves as a heat and oxygen barrier). Even after 24 h in hot water, acid, or acetone, the coating remained durable and effective, demonstrating its capability in real-world conditions [163].
6.2. Sol–Gel Coating Technique
The sol–gel process is a versatile technique employed to create thin coatings with unique surface properties by forming an organic–inorganic network. It commences with liquid precursors, typically metal alkoxides, which undergo hydrolysis and condensation reactions, gradually transforming into a solid gel-like structure [164]. Jiang et al. discovered an ingenious method to utilize a unique coating produced via the sol–gel approach to enhance the fire resistance of polyester fabric significantly. They initiated the process by combining specific chemicals to form a soft silicone gel, which they subsequently applied to the fabric in three layers: a layer of silicone (also known as polysiloxane), followed by a layer of PA, and finally another layer of silicone. The silicone layer acted as a barrier that excluded heat and air, while PA aided in extinguishing the fire by trapping the burning particles. The results were remarkable. The coated fabric ceased burning autonomously and did not drip during fire tests, whereas the untreated fabric ignited rapidly and melted. The fabric also became more resistant to ignition: the LOI value increased from 21.6% to 31.4%, and the burning rate decreased from 1.19 mm/s to 0.32 mm/s. In another test, the heat released during combustion reduced by 65% (from 236.6 to 82.1 kW/m2), and smoke was diminished by 72%. Even after washing the fabric 45 times, the coating retained its effectiveness. This demonstrates that employing the sol–gel process alongside PA can render fabrics significantly more fire-resistant, durable, and suitable for practical applications [165].
Lin et al. employed a one-step sol–gel method to render cotton fabric both waterproof and fire-resistant (Figure 19). They initially treated the fabric with oxygen plasma and subsequently soaked it in a solution containing tetraethoxysilane, hydroxyl-terminated PDMS, and APP. APP adhered to the cotton fibers through hydrogen bonding, and a sol–gel reaction formed a distinctive PDMS–silica coating on the surface. This produced a rough, micro-, and nano-sized layer that endowed the fabric with excellent water repellency, achieving a water contact angle of 162°, signifying that water rolled off effortlessly. In fire tests, the coated fabric demonstrated remarkable flame resistance, forming a thick protective char layer that inhibited heat and oxygen penetration. When compared to untreated cotton, the coated fabric left significantly more solid residue after combustion, increasing from just 1.4% to 24%, thereby illustrating the efficacy of the coating in protecting the fabric. The peak heat released during combustion decreased by 71%, from 278.8 W/g to 80.6 W/g, while the THR also diminished by 67%, from 9.5 to 3.1 kJ/g. This indicates that the fabric burned less intensely and for a shorter duration. Even following the fire exposure, the coated fabric remained largely intact. Thanks to the synergistic action of the APP (which releases flame-suppressing gases) and PDMS–silica (which forms a heat shield), this coating provides a robust, long-lasting solution for enhancing the safety and durability of cotton fabric in practical applications [166].
Figure 19.
The one-pot fabrication process of the superhydrophobic and fire-resistant (SFR) coating on the cotton fabric [166]. Copyright 2018 Elsevier.
6.3. Spray, Dip, and Spin Coating Methods
Spray coating methods
Spray coating is an easy and practical method for adding protective layers to fabrics. Liang and colleagues employed this technique to apply a special water-repellent layer made of ZIF-67 nanoparticles mixed with PDMS onto cotton that had been treated to resist fire (Figure 20). They sprayed this mixture onto both sides of the fabric from approximately 15–25 cm and subsequently heated it at 80 °C for 2 h to ensure a strong adhesion. This process resulted in a bumpy micro–nano surface, resembling the texture of a lotus leaf, which helped prevent water from soaking in. Consequently, the coated fabric (CTF3-PHB2) exhibited excellent water repellency, with a water contact angle of 159.3°, and a strong flame resistance, with an LOI of 32%. Even after subjecting the surface to 30 rubs in abrasion tests, the fabric maintained a contact angle above 150°, demonstrating the durability of the coating. This method proved effective without compromising the fabric’s softness or flexibility, making it a smart choice for producing fire-safe, waterproof, and self-cleaning textiles [167].
Figure 20.
Synthetic routes of the (a) PPA–polyhedral oligomeric silsesquioxane (POSS) and (b) ZIF-67@PDMS prepolymer; (c) a schematic illustration of fabricating the FR and hydrophobic coatings on a cotton fabric [167]. Copyright 2022 American Chemical Society.
Dip-coating method
Dip-coating is a straightforward and effective technique for applying FR materials to fabrics. In the study by Nie et al., the cotton fabric (10 × 10 cm, ~1.80 g) was first cleaned ultrasonically with ethanol and deionized water, then dried in a vacuum oven at 70 °C for 24 h. After that, the cotton was immersed in a Ti3C2Tx dispersion (2 mg/mL) with ultrasonic stirring for 1 h, followed by drying at 60 °C. This dipping process was repeated up to three times, and the samples were designated as MC1, MC2, and MC3 according to the number of coating cycles. With each additional coating, the MXene layer on the cotton surface became thicker and more uniform. SEM images clearly demonstrated that the gaps between cotton fibers were progressively filled with each dip, and after the third coating, the MXene coverage was nearly complete (Figure 21). The TGA in Argon revealed that the char residue increased from 10.36 wt% in pure cotton to 15.62 wt.% in MC3, confirming that the MXene coating enhanced the thermal stability. This dip-coating process enabled easy control over the thickness of the FR layer while maintaining the flexibility of the cotton [168].
Figure 21.
A schematic of the fabrication of the cotton/thermoplastic PU hierarchical composites [168]. Copyright 2023 American Chemical Society.
Liu et al. developed a fire-resistant coating for PU foam using a straightforward dip-nip process, where the foam was immersed and squeezed in a water-based mixture of APP, MMT, and APTES. After drying, this treatment formed a uniform, compact coating on the foam’s surface. The results were impressive: the LOI increased by 50.8%, rising from 18.2% to 27.3%; the PHRR decreased by 80.28%, from 374.56 to 73.86 kW/m2; and the TSP was reduced by 66.7%, from 0.66 to 0.22 m2. These significant improvements arose from the combined functions of the three components: APP released acid and non-combustible gases, MMT reinforced the coating structure, and APTES contributed to the formation of a robust Si–O–Si network, all working together to create a thick, stable silicon–phosphorus–carbon char layer during combustion. This protective layer impeded heat, reduced oxygen access, and slowed the release of flammable gases, resulting in a foam that is significantly more resistant to fire and smoke [169].
Spin coating method
Spin coating is a straightforward, yet effective technique widely employed to deposit thin films onto planar substrates. In this process, a small volume of coating liquid is placed at the center of the substrate, which is then spun rapidly, distributing the liquid evenly due to centrifugal force. The spin rate and duration must be meticulously controlled, as even minor variations (±50 RPM) can significantly affect the final film thickness. During spinning, solvent evaporation occurs continuously, leading to the solidification of the coating. The thickness and uniformity of the resulting film are heavily influenced by the solution viscosity, spin speed, and drying conditions, rendering spin coating highly versatile for precise thin film applications [170]. Figure 22 displays the process of spin coating.
Figure 22.
Spin coating process.
Spin coating is a straightforward and efficient method used to create thin and uniform polymer films on surfaces. In this research, the authors employed spin coating to prepare FR nanocomposite films made from PDMS, oxidized multi-walled carbon nanotubes (MWCNT–COOH), and a surfactant. The mixture was spin-coated at 640 rpm and subsequently heat-treated at 120 °C to form solid films. This process facilitated the uniform dispersion of the CNTs throughout the PDMS matrix, resulting in a robust and stable network. The final film, named PDMS/surfactant/MWCNT–COOH (PSM), demonstrated an excellent FR performance. In cone calorimeter tests, the PHRR was reduced by 42%, the SPR decreased by 47%, the TSR was lowered by 18%, CO production fell by 28%, and CO2 emissions diminished by 47% compared to the control PDMS. Furthermore, the LOI of PSM was 31.5%, which is significantly higher than the 25.3% of the plain PDMS, indicating that it is more resistant to ignition. These enhancements are attributable to the dense char layer and physical barrier formed by the well-dispersed CNTs, which slow combustion and decrease the smoke and toxic gas release. Spin coating, therefore, proved to be an effective technique for producing high-performance FRs [49].
7. Industrial and Real-World Applications
FRs play a crucial role in enhancing fire safety across a wide range of industries. By slowing or preventing the spread of fire, these materials contribute significantly to reducing property damage and saving lives. Their applications span diverse sectors, reflecting their importance in modern safety designs.
7.1. Flame-Retardant Coatings in Construction Materials
The construction industry is a pillar of modern society, and the fire resistance of building materials is critical for safeguarding lives and property. Developing polymer products with excellent FR properties for use in structural and interior applications is essential. Commonly used polymers include polyethylene, polypropylene, polystyrene, poly vinyl chloride, phenolic resin, urea–formaldehyde, PU, and epoxy, which are widely applied in walls, ceilings, floors, and cables. However, many of these materials are flammable and fail to meet standard fire safety requirements. To address this, flame retardancy must be improved without compromising the mechanical performance. Ideal materials should offer a strong fire resistance, good thermal insulation, and long-term durability, along with features such as low thermal conductivity and high adhesion. Additionally, an easy application, water resistance, and a faster installation can reduce construction costs while ensuring compliance with national quality standards [171]. Vakhitova et al. developed a high-performance intumescent fire-resistant coating to protect steel structural elements in buildings. The coating operates on an intumescent mechanism, where an exposure to fire causes it to expand and form a dense char layer that insulates the surface, slows heat transfer, and preserves the mechanical integrity of the steel. It was formulated using a reactive system consisting of APP, MA, and PER, combined with carefully selected polymer binders. Among these, vinyl acetate–ethylene–vinyl versatile copolymers (e.g., EZ 3112) demonstrated the highest efficiency, producing a char with an expansion volume of 45 cm3/g and maintaining structural protection for up to 62 min at a dry film thickness of 1. 1.5 mm. In comparison, solvent-borne styrene acrylate systems (e.g., AC 80) showed a lower FR performance, with their fire resistance reduced to 32 min under the same conditions. Optimizing the APP:MA:PE ratio to approximately 3.5:1:1.5 resulted in a more compact char structure and enhanced protection. To further improve the flame resistance and mechanical strength, nano-clay additives such as Garamite 7305 were incorporated at 0. 0.3–0.6%, increasing the fire rating by 10–12 min and minimizing the degradation after 300 days in humid conditions. Glass and mineral fiber reinforcements were also employed to stabilize thicker coatings, preventing char detachment during extended fire exposure. Through this combined formulation strategy, the final coatings achieved fire protection durations of up to 120 min, demonstrating their effectiveness and scalability for passive FR applications in steel-based construction systems [172].
7.2. Automotive and Aerospace Coating Applications
Fire-resistant coatings play a critical role in enhancing fire safety in transportation sectors, such as automotive and aerospace industries, where high-performance polymers are widely used due to their mechanical strength, lightweight nature, and design flexibility. However, many of these materials, such as polyamide 6 (PA6), are inherently flammable and exhibit melt-dripping behavior during combustion, posing serious fire hazards. Developing environmentally friendly, high-efficiency fire-resistant coatings is therefore essential for improving the safety of these materials without compromising their mechanical integrity or adding toxic components.
In this regard, Liu et al. introduced a fully bio-based fire-resistant coating composed of TA and TN, which was applied to PA6 fabric using a scalable and industry-relevant dip-nip technique. PA6, commonly used in automobile interiors, military textiles, and aircraft seating, was rendered significantly safer with this coating. The enhancements in flame retardancy were remarkable: the LOI increased from 19.4% to 26.8%, and the fabric achieved the highest UL-94 V-0 rating, exhibiting no dripping and a reduced burn length of 4.5 cm. An advanced cone calorimeter analysis further confirmed the coating’s efficacy. The PHRR dropped by 20% (from 502 to 402 kW/m2), the THR decreased by 31.3%, and the smoke production was reduced by an impressive 66.7%. Mechanistically, the bio-coating provided dual-action protection: TA facilitated the formation of a char layer, serving as a barrier to heat and oxygen, while TN released non-flammable sulfur dioxide gas, effectively suppressing flame propagation and smoke. This innovative and eco-friendly coating system not only complies with green chemistry principles by using renewable, non-toxic, and biodegradable ingredients, but also offers practical fire protection for synthetic fabrics in critical applications. It holds strong potential for integration into next-generation fire safety protocols across the automotive, defense, and aerospace industries [132].
7.3. Textile and Paper Coatings
Textile and paper-based materials are inherently flammable due to their high cellulose content, rendering them particularly susceptible to ignition and flame propagation. As these materials are extensively utilized in household, industrial, and commercial settings, developing effective fire-resistant coatings is essential to enhance their fire safety. Applying functional surface coatings provides a direct and practical approach to delaying ignition, suppressing heat release, and reducing the flame spread without significantly altering the material’s inherent mechanical or esthetic properties.
In a recent study, Deniz et al. engineered a bio-based fire-resistant coating using colloidal particles composed of TA, a naturally occurring polyphenol, and HCCP, a phosphorus–nitrogen-rich FR. These TA/HCCP colloids were applied to cotton fabrics using a water-based dispersion method, consistent with green processing principles. The coated fabrics exhibited remarkable fire resistance, with the LOI reaching 35 and the char residue improving to 36% under a nitrogen atmosphere. In vertical flame tests, uncoated cotton ignited rapidly, displaying an after-flame time of 32.3 s and an after-glow time of 57.7 s. In contrast, the coated fabric self-extinguished immediately, with no glowing and a minimal char length of just 2–2.5 cm. This superior performance was attributed to the synergistic phosphorus–nitrogen FR mechanism, where HCCP facilitates phosphorus-driven char formation, and TA contributes intumescent behavior and thermal shielding [113]. In another study, Zope et al. developed a spray-applied fire-resistant coating using para-phenylenediamine and tetrakis(hydroxymethyl)phosphonium chloride. These components swiftly formed a polymeric phosphate–nitrogen-rich protective layer on the fabric surface. The treated cotton exhibited after-flame times reduced to just 2–3 s and the complete elimination of after-glow, in stark contrast to the prolonged burning of untreated cotton. Additionally, the char residue increased from 11.5% to 28.6%, and the THR was reduced by approximately 45%, highlighting the coating’s ability to limit the combustion intensity. The fabric maintained its structural integrity even after the flame exposure, without disintegration or dripping. The success of this system lies in the synergistic interaction of phosphorus and nitrogen, which catalyzes the char formation and creates a stable insulating layer during combustion. These advanced fire-resistant coatings not only offer high fire resistance but also align with environmental safety and practical applicability. They hold immense potential for high-risk textile applications, such as firefighter uniforms, military clothing, laboratory coats, and racing gear, where fire protection is essential without compromising flexibility and wearability [173].
7.4. Electronic and Cable Coatings
In modern electronics, fire safety and thermal management are critical concerns due to the increasing integration of compact and high-energy components, such as lithium-ion batteries and flexible circuits. Cables, connectors, and devices must be protected against overheating, short circuits, and potential flame hazards, particularly in confined spaces like consumer electronics, electric vehicles, and data centers. Advanced fire-resistant coatings not only serve as thermal insulators but also suppress combustion, delay heat propagation, and improve the overall device safety without compromising the electrical performance or flexibility.
Yu et al. engineered an innovative foamy aerogel coating composed of a melamine–formaldehyde resin integrated with SiO2 aerogel particles, specifically designed for electronic insulation and thermal shielding. The coating demonstrates an ultralow thermal conductivity, as low as 0. 027 W·m−1·K−1; a high porosity; and an LOI of 33%, significantly surpassing traditional polymer insulators like PU and polystyrene. Its unique hierarchical porous structure prevents resin intrusion while maintaining superior insulation. Critically, in lithium battery needle penetration tests, the coating reduced the surface temperature by over 200 °C, showcasing its ability to suppress thermal runaway events. Additionally, it exhibits strong adhesion and water resistance, and is compatible with air-spray applications, making it scalable for industrial use. This study establishes the aerogel system as a cost-effective and high-performance material for fire-safe and thermally managed electronic applications, particularly in energy storage devices and battery modules [174]. In another development, Zhang et al. designed a biomimetic nanoporous transparent fire-resistant coating using a one-pot sol–gel synthesis approach. The precursor system combined phosphorous acid (H3PO3), N-[3-(trimethoxysilyl)propyl]ethylenediamine (KH-792), and dimethoxydimethylsilane to yield a P/n/si-based hybrid polysiloxane network. The resulting coating achieved a high optical transparency (>97%), a superior adhesion to various substrates, and an LOI of 33.5%. Notably, the PHRR and THR were reduced by 59.8% and 48.4%, respectively, confirming their excellent flame retardancy. Its flexibility, breathability, and mechanical robustness make it ideal for flexible and wearable electronics, such as smart textiles, medical sensors, and soft robotics. During combustion, the coating forms a dense, graphitized char layer that serves as a thermal barrier, effectively suppressing flammable gas emissions and blocking oxygen diffusion, which collectively prevent fire propagation. Together, these coatings represent a new class of high-efficiency, multifunctional FR materials that combine the thermal insulation, fire suppression, and mechanical resilience essential for next-generation electronic packaging, power storage, and smart wearable systems [175].
8. Challenges and Future Perspectives
8.1. Durability, Weatherability, and Aging of Fire-Resistant Coatings
One of the most pressing challenges in the practical implementation of fire-resistant coatings is ensuring their long-term durability, particularly under harsh environmental conditions. These coatings must consistently retain their FR efficacy despite their exposure to mechanical stress, humidity, UV radiation, and fluctuating temperatures. While bio-based FR systems offer significant environmental advantages, they often exhibit hydrolytic instability and a reduced performance when subjected to external stressors, such as washing or prolonged weathering. For example, coatings formulated with natural compounds like PA or TA demonstrate a good initial fire resistance but degrade rapidly upon exposures to moisture and laundering cycles, compromising their long-term protective function [111]. This issue is particularly pronounced in textile applications, where repeated washing and mechanical abrasion can deteriorate both the char-forming agents and the adhesion between the coating and substrate. The result is a gradual decline in fire resistance, limiting the effectiveness of the coating over time. Similarly, silicone-based coatings, such as those made from PSZs, exhibit an excellent initial flame retardancy due to the inherent stability of their silicon backbones. However, their long-term weatherability is contingent upon the stability of Si–O and Si–N bonds and their interfacial compatibility with the substrate, which may weaken under environmental stress [51]. To overcome these limitations, advanced hybrid FR systems have been developed that incorporate inorganic components like SiO2 or TiO2 into organic polymer matrices, including acrylics and PUs. These hybrid structures offer an improved thermal stability and resistance to UV degradation, while also enhancing the adhesion and char integrity. Nevertheless, challenges remain in preserving key performance metrics, such as transparency, mechanical flexibility, and structural cohesion, after prolonged aging or environmental exposure [105]. Addressing these durability concerns is essential for translating lab-scale FR technologies into robust, real-world applications.
8.2. Toxicity and Regulatory Issues
The toxicological profile of FRs remains a significant focus of regulatory attention due to their potential adverse effects on human health and the environment. HFRs, particularly PBDEs and TBBPA, have been linked to serious health risks, including endocrine disruption, developmental toxicity, and bioaccumulation. These concerns have led to stringent regulatory actions. For example, the European Union’s Registration, Evaluation, Authorisation and Restriction of Chemicals regulation, along with the Restriction of Hazardous Substances Directive, has imposed significant restrictions or outright bans on the use of these compounds in consumer products [7]. As a result of these regulatory pressures, there has been a strong push within the industry to replace halogenated FRs with safer, halogen-free alternatives. Among the most promising substitutes are phosphorus-based compounds, such as DOPO derivatives, as well as nanomaterials like CNTs and GO. These materials have demonstrated a reduced toxicity in short-term toxicity studies and are regarded as more environmentally benign compared to traditional halogenated systems. However, their long-term environmental behavior and safety profiles remain insufficiently characterized, raising concerns about their potential cumulative impacts [45]. Moreover, even FRs marketed as “green” or sustainable are not without issues. Their degradation products, formed during their service life or combustion, can sometimes be equally toxic or persistent, thereby introducing new regulatory challenges. These concerns highlight the necessity of adopting a more holistic approach to FR development—one that is grounded in the principles of green chemistry and includes comprehensive life cycle analyses and toxicity evaluations. Only through such rigorous assessments can FRs be deemed truly safe and sustainable for widespread commercial use.
8.3. Toward Halogen-Free and Sustainable Alternatives
The global shift towards halogen-free and environmentally sustainable FRs has gained significant momentum, driven by the increasing awareness of ecological risks and human health concerns associated with traditional halogenated compounds. In this evolving landscape, phosphorus-, nitrogen-, and silicon-based FRs have emerged as leading alternatives, providing effective fire protection while minimizing the environmental impact. Among these, intumescent systems incorporating APP and MA are particularly noteworthy for their high efficiency in both gas-phase inhibition and condensed-phase char formation, all without the use of halogenated species [11]. Phosphorus-containing monomers, such as DOPO and its derivatives, are increasingly being utilized in UV-curable and reactive polymer matrices. These compounds contribute to multifunctional performances by enhancing flame retardancy while simultaneously reducing smoke production and the release of toxic gases during combustion [37]. In parallel, bio-based materials, like lignin, TA, and PA, are gaining popularity for their inherent low toxicity, renewable origin, and excellent char-forming capabilities, making them attractive candidates for sustainable FR formulations [176]. Despite these advancements, several challenges still hinder the widespread adoption of halogen-free FRs. Scalability and cost remain significant barriers, particularly for bio-based systems, which often require complex processing or chemical modification. Furthermore, performance limitations, especially under high-temperature or long-duration fire exposure, continue to pose a hurdle. To address these issues, researchers are actively exploring hybrid systems that integrate bio-based char formers with inorganic reinforcements, such as SiO2 or LDHs. These hybrid structures aim to balance environmental compatibility with a robust thermal stability and fire resistance, thereby bridging the gap between ecological safety and high-performance requirements [20].
8.4. Research Gaps and Emerging Technologies
Despite significant advancements in fire-resistant coating technologies, several critical research gaps persist, hindering their widespread and effective application. Although numerous studies demonstrate an enhanced fire resistance through standardized laboratory-scale evaluations, such as the LOI and UL-94 vertical burn tests, far fewer investigations assess performances under real-world conditions. These conditions include mechanical abrasion, prolonged UV exposure, and multi-hazard scenarios that simultaneously involve fire, moisture, and physical stress. Such factors can significantly affect the protective performance of coatings, yet they remain largely unaddressed in the current literature [135]. The integration of intelligent functionalities into fire-resistant coatings, such as self-healing behavior, thermochromic responses, or electrical conductivity for early fire detection, also remains underdeveloped, particularly in commercialized systems. While these features offer potential for multifunctional fire safety solutions, they have not yet achieved widespread adoption, partly due to challenges in material compatibility, long-term stability, and processing complexity [177]. Advanced fabrication techniques, such as LbL assembly and sol–gel processes, have shown promising results in producing transparent and highly effective fire-resistant coatings. These methods enable the precise control over the coating architecture and allow for the incorporation of both organic and inorganic FR agents. However, their industrial scalability is constrained by factors like slow processing times, water retention in the coating layers, and limited compatibility with diverse substrates [10]. Emerging technologies in additive manufacturing and 3D-printable coatings present an exciting frontier for developing structure-responsive FR systems. These approaches facilitate the direct incorporation of fire-resistant features into digital designs, allowing for the spatial control over FR properties and the creation of multifunctional parts in a single fabrication step. Nonetheless, these innovations remain in their infancy and require further research to optimize material formulations, printing parameters, and functional performances [178]. Moreover, there is a growing consensus within the research community regarding the need for standardized evaluation protocols that extend beyond traditional thermal performance metrics. Future assessment frameworks should encompass parameters such as the aging behavior, recyclability, environmental footprint, and end-of-life impacts. Such comprehensive evaluation criteria are essential for validating the long-term sustainability, safety, and functionality of next-generation fire-resistant coatings, thereby ensuring their successful transition from laboratory development to real-world implementation.
9. Conclusions
In recent years, fire-resistant polymer research has increasingly focused on developing advanced and sustainable approaches to fire safety. HFRs, once ubiquitous for their effectiveness, are now being replaced by safer alternatives such as phosphorus-, nitrogen-, and mineral-based systems due to heightened environmental and health concerns. Simultaneously, the field has embraced nanocomposites and hybrid formulations that combine multiple FR mechanisms at different scales, yielding synergistic improvements in flame suppression, thermal stability, and even mechanical integrity. This evolution reflects a broad trend toward FR materials that achieve a high performance without sacrificing material properties or sustainability goals. These advancements have significant implications for materials design and sustainability. With more efficient and synergistic FR additives, engineers can design polymer systems that meet stringent fire safety standards without compromising on their weight or mechanical performance. The integration of nanoscale reinforcements (such as layered silicates, graphene, or metal oxides) not only enhances flame retardancy but can also improve a polymer’s strength and thermal stability, reducing the trade-offs typically associated with adding FRs. Equally important, the rise of bio-based FRs which are derived from renewable resources, like plant polyphenols, phosphorus-rich biomolecules, and other biomass derivatives, ensures that fire-safe materials are also environmentally responsible, minimizing toxic smoke and persistent pollutants. This alignment of fire safety with eco-friendly design is increasingly critical as industries seek materials that protect both people and the planet. Looking ahead, fire-resistant polymer research is poised to advance further through innovative nanocomposites, hybrid systems, and bio-based strategies. Future FR designs will likely exploit the complementary strengths of multiple additives, for example, combining char-forming biopolymers with inorganic nanofillers to achieve superior protection with a minimal additive load. There is also a growing push toward imparting additional functionality to FR materials, such as self-healing capabilities, thermochromic (temperature-indicating) responses, or even integrated electrical conductivity for smart fire response systems. Realizing these multifunctional fire-resistant polymers will require interdisciplinary collaboration and a careful attention to remaining challenges like scalability, costs, and long-term durability. Addressing these factors will be crucial to ensure that lab-scale breakthroughs translate into reliable, real-world solutions. Ultimately, the future of fire-resistant polymers lies in creating materials that are not only highly fire-resistant but also sustainable and multifaceted in performance. By harnessing nanoscale innovations, synergistic additive combinations, and renewable feedstocks, the next generation of fire-resistant polymer systems will align with ever-stricter safety regulations and global environmental standards. These advancements promise to enable safer buildings, textiles, electronics, and transportation systems. This broader impact positions fire-resistant polymer technology as a key contributor to public safety and sustainable development in the years to come.
Funding
This research received no external funding.
Conflicts of Interest
The authors declare no conflict of interest.
References
- Chaudhary, M.L.; Patel, R.; Chaudhari, S.; Gupta, R.K. Impact of Diverse Diols and Diisocyanates on Thermosetting Bio-Based Polyurethane Films. Next Mater. 2025, 8, 100609. [Google Scholar] [CrossRef]
- Chaudhary, M.L.; Patel, R.; Gupta, R.K. Beyond Isocyanates: Advances in Non-Isocyanate Polyurethane Chemistry and Applications. Polymer 2025, 332, 128553. [Google Scholar] [CrossRef]
- Patel, R.; Chaudhary, M.L.; Chaudhary, S.; Gupta, R.K. Effect of Distinct Molecular Structure of Diols on the Properties of Bio-Based Wood Adhesive. Int. J. Adhes. Adhes. 2025, 138, 103936. [Google Scholar] [CrossRef]
- Chaudhary, M.L.; Patel, R.; Gupta, R.K. Advances in Self-Healable and 3D Printable Biobased Elastomers. Polymer 2025, 319, 128020. [Google Scholar] [CrossRef]
- Patel, R.; Chaudhary, M.L.; Chaudhary, S.; Gupta, R.K. Comparative Analysis of Aliphatic and Aromatic Isocyanates on Soy-Based Polyurethane Films Modified with Schiff Base Diol. J. Polym. Environ. 2025, 33, 415–430. [Google Scholar] [CrossRef]
- Lazar, S.T.; Kolibaba, T.J.; Grunlan, J.C. Flame-Retardant Surface Treatments. Nat. Rev. Mater. 2020, 5, 259–275. [Google Scholar] [CrossRef]
- Morgan, A.B.; Gilman, J.W. An Overview of Flame Retardancy of Polymeric Materials: Application, Technology, and Future Directions. Fire Mater. 2013, 37, 259–279. [Google Scholar] [CrossRef]
- Wang, M.; Yin, G.-Z.; Yang, Y.; Fu, W.; Díaz Palencia, J.L.; Zhao, J.; Wang, N.; Jiang, Y.; Wang, D.-Y. Bio-Based Flame Retardants to Polymers: A Review. Adv. Ind. Eng. Polym. Res. 2023, 6, 132–155. [Google Scholar] [CrossRef]
- Bourbigot, S.; Duquesne, S. Fire Retardant Polymers: Recent Developments and Opportunities. J. Mater. Chem. 2007, 17, 2283–2300. [Google Scholar] [CrossRef]
- Qiu, X.; Li, Z.; Li, X.; Zhang, Z. Flame Retardant Coatings Prepared Using Layer by Layer Assembly: A Review. Chem. Eng. J. 2018, 334, 108–122. [Google Scholar] [CrossRef]
- Yew, M.C.; Ramli Sulong, N.H.; Yew, M.K.; Amalina, M.A.; Johan, M.R. Influences of Flame-Retardant Fillers on Fire Protection and Mechanical Properties of Intumescent Coatings. Prog. Org. Coat. 2015, 78, 59–66. [Google Scholar] [CrossRef]
- Chou, C.-S.; Lin, S.-H.; Wang, C.-I. Preparation and Characterization of the Intumescent Fire Retardant Coating with a New Flame Retardant. Adv. Powder Technol. 2009, 20, 169–176. [Google Scholar] [CrossRef]
- Luangtriratana, P.; Kandola, B.K.; Ebdon, J.R. UV-Polymerisable, Phosphorus-Containing, Flame-Retardant Surface Coatings for Glass Fibre-Reinforced Epoxy Composites. Prog. Org. Coat. 2015, 78, 73–82. [Google Scholar] [CrossRef]
- Özer, M.S.; Gaan, S. Recent Developments in Phosphorus Based Flame Retardant Coatings for Textiles: Synthesis, Applications and Performance. Prog. Org. Coat. 2022, 171, 107027. [Google Scholar] [CrossRef]
- Chen, X.; Hu, Y.; Jiao, C.; Song, L. Preparation and Thermal Properties of a Novel Flame-Retardant Coating. Polym. Degrad. Stab. 2007, 92, 1141–1150. [Google Scholar] [CrossRef]
- Yeoh, G.H.; De Cachinho Cordeiro, I.M.; Wang, W.; Wang, C.; Yuen, A.C.Y.; Chen, T.B.Y.; Vargas, J.B.; Mao, G.; Garbe, U.; Chua, H.T. Carbon-Based Flame Retardants for Polymers: A Bottom-up Review. Adv. Mater. 2024, 36, 2403835. [Google Scholar] [CrossRef]
- Gu, J.; Zhang, G.; Dong, S.; Zhang, Q.; Kong, J. Study on Preparation and Fire-Retardant Mechanism Analysis of Intumescent Flame-Retardant Coatings. Surf. Coat. Technol. 2007, 201, 7835–7841. [Google Scholar] [CrossRef]
- Wang, Z.; Han, E.; Ke, W. Influence of Nano-LDHs on Char Formation and Fire-Resistant Properties of Flame-Retardant Coating. Prog. Org. Coat. 2005, 53, 29–37. [Google Scholar] [CrossRef]
- Lu, H.; Song, L.; Hu, Y. A Review on Flame Retardant Technology in China. Part II: Flame Retardant Polymeric Nanocomposites and Coatings. Polym. Adv. Technol. 2011, 22, 379–394. [Google Scholar] [CrossRef]
- Wu, Q.; Zhang, Q.; Zhao, L.; Li, S.-N.; Wu, L.-B.; Jiang, J.-X.; Tang, L.-C. A Novel and Facile Strategy for Highly Flame Retardant Polymer Foam Composite Materials: Transforming Silicone Resin Coating into Silica Self-Extinguishing Layer. J. Hazard. Mater. 2017, 336, 222–231. [Google Scholar] [CrossRef]
- Wang, Y.; Liu, J.; Pan, X.; Zhao, M.; Zhang, J. Rapid Preparation of Flame-Retardant Coatings Using Polyurethane Emulsion Mixed with Inorganic Fillers. Polymers 2023, 15, 754. [Google Scholar] [CrossRef] [PubMed]
- Venier, M.; Salamova, A.; Hites, R.A. Halogenated Flame Retardants in the Great Lakes Environment. Acc. Chem. Res. 2015, 48, 1853–1861. [Google Scholar] [CrossRef] [PubMed]
- Zhang, R.; Li, J.; Wang, Y.; Jiang, G. Distribution and Exposure Risk Assessment of Chlorinated Paraffins and Novel Brominated Flame Retardants in Toys. J. Hazard. Mater. 2023, 447, 130789. [Google Scholar] [CrossRef] [PubMed]
- Li, H.; Song, A.; Liu, H.; Li, Y.; Liu, M.; Sheng, G.; Peng, P.; Ying, G. Occurrence of Dechlorane Series Flame Retardants in Sediments from the Pearl River Delta, South China. Environ. Pollut. 2021, 279, 116902. [Google Scholar] [CrossRef]
- Mu, X.; Ding, H.; Wu, Y.; Hu, H.; Yu, B. Nonflammable Liquid Electrolytes for Safe Lithium Batteries. Small Struct. 2023, 4, 2300179. [Google Scholar] [CrossRef]
- Lu, S.; Feng, Y.; Zhang, P.; Hong, W.; Chen, Y.; Fan, H.; Yu, D.; Chen, X. Preparation of Flame-Retardant Polyurethane and Its Applications in the Leather Industry. Polymers 2021, 13, 1730. [Google Scholar] [CrossRef]
- Silva, N.G.S.; Zanini, N.C.; de Souza, A.G.; Barbosa, R.F.S.; Rosa, D.S.; Mulinari, D.R. Halogen-Based Flame Retardants in Polyurethanes. In Materials and Chemistry of Flame-Retardant Polyurethanes Volume 1: A Fundamental Approach; ACS Symposium Series; American Chemical Society: Washington, WA, USA, 2021; Volume 1399, pp. 141–171. ISBN 9780841298026. [Google Scholar]
- Dukarski, W.; Rykowska, I.; Krzyżanowski, P.; Gonsior, M. Flame Retardant Additives Used for Polyurea-Based Elastomers—A Review. Fire 2024, 7, 50. [Google Scholar] [CrossRef]
- Scionti, G.; Piperopoulos, E.; Atria, M.; Calabrese, L.; Proverbio, E. Effect of Magnesium Hydroxide and Aluminum Hydroxide as Thermal Barriers on the Flame-Retardant Behavior of Acrylic-Based Coating. Coatings 2023, 13, 1517. [Google Scholar] [CrossRef]
- Yin, S.; Ren, X.; Lian, P.; Zhu, Y.; Mei, Y. Synergistic Effects of Black Phosphorus/Boron Nitride Nanosheets on Enhancing the Flame-Retardant Properties of Waterborne Polyurethane and Its Flame-Retardant Mechanism. Polymers 2020, 12, 1487. [Google Scholar] [CrossRef]
- Soni, D.B.; Bhatt, G. A Review on Flame Retardants Used in Polyurethane Foam. ECS Trans. 2022, 107, 1153. [Google Scholar] [CrossRef]
- Xu, B.; Zhao, S.; Shan, H.; Qian, L.; Wang, J.; Xin, F. Effect of Two Boron Compounds on Smoke-Suppression and Flame-Retardant Properties for Rigid Polyurethane Foams. Polym. Int. 2022, 71, 1210–1219. [Google Scholar] [CrossRef]
- Liu, Y.; He, J.; Yang, R. Effects of Dimethyl Methylphosphonate, Aluminum Hydroxide, Ammonium Polyphosphate, and Expandable Graphite on the Flame Retardancy and Thermal Properties of Polyisocyanurate–Polyurethane Foams. Ind. Eng. Chem. Res. 2015, 54, 5876–5884. [Google Scholar] [CrossRef]
- Zhao, B.; Chen, L.; Long, J.-W.; Jian, R.-K.; Wang, Y.-Z. Synergistic Effect between Aluminum Hypophosphite and Alkyl-Substituted Phosphinate in Flame-Retarded Polyamide 6. Ind. Eng. Chem. Res. 2013, 52, 17162–17170. [Google Scholar] [CrossRef]
- Wang, X.; Pang, H.; Chen, W.; Lin, Y.; Zong, L.; Ning, G. Controllable Fabrication of Zinc Borate Hierarchical Nanostructure on Brucite Surface for Enhanced Mechanical Properties and Flame Retardant Behaviors. ACS Appl. Mater. Interfaces 2014, 6, 7223–7235. [Google Scholar] [CrossRef]
- Ai, L.; Chen, S.; Zeng, J.; Yang, L.; Liu, P. Synergistic Flame Retardant Effect of an Intumescent Flame Retardant Containing Boron and Magnesium Hydroxide. ACS Omega 2019, 4, 3314–3321. [Google Scholar] [CrossRef]
- Salmeia, K.A.; Gaan, S. An Overview of Some Recent Advances in DOPO-Derivatives: Chemistry and Flame Retardant Applications. Polym. Degrad. Stab. 2015, 113, 119–134. [Google Scholar] [CrossRef]
- Wendels, S.; Chavez, T.; Bonnet, M.; Salmeia, K.A.; Gaan, S. Recent Developments in Organophosphorus Flame Retardants Containing P-C Bond and Their Applications. Materials 2017, 10, 784. [Google Scholar] [CrossRef]
- Waaijers, S.L.; Bleyenberg, T.E.; Dits, A.; Schoorl, M.; Schütt, J.; Kools, S.A.E.; de Voogt, P.; Admiraal, W.; Parsons, J.R.; Kraak, M.H.S. Daphnid Life Cycle Responses to New Generation Flame Retardants. Environ. Sci. Technol. 2013, 47, 13798–13803. [Google Scholar] [CrossRef]
- Lu, S.; Chen, S.; Luo, L.; Yang, Y.; Wang, J.; Chen, Y.; Yang, Y.; Yuan, Z.; Chen, X. Molecules Featuring the Azaheterocycle Moiety toward the Application of Flame-Retardant Polymers. ACS Chem. Heal. Saf. 2023, 30, 343–361. [Google Scholar] [CrossRef]
- Shan, H.; Yan, L.; Xu, B.; Wang, D.; Wu, M. Polyphosphamide Containing Triazine and Melamine Cyanurate for Flame-Retardant PA6. ACS Appl. Polym. Mater. 2023, 5, 5322–5333. [Google Scholar] [CrossRef]
- Zhu, H.; Xu, S. Preparation of Flame-Retardant Rigid Polyurethane Foams by Combining Modified Melamine–Formaldehyde Resin and Phosphorus Flame Retardants. ACS Omega 2020, 5, 9658–9667. [Google Scholar] [CrossRef] [PubMed]
- Xu, W.; Wang, G.; Xu, J.; Liu, Y.; Chen, R.; Yan, H. Modification of Diatomite with Melamine Coated Zeolitic Imidazolate Framework-8 as an Effective Flame Retardant to Enhance Flame Retardancy and Smoke Suppression of Rigid Polyurethane Foam. J. Hazard. Mater. 2019, 379, 120819. [Google Scholar] [CrossRef] [PubMed]
- Yang, W.; Zhang, W.; Xie, D.; Wang, Y.; Sun, X.; Zhou, R.; Jiang, J. A Flame Retardant Containing Dicyandiamide and Aluminum Hypophosphite for Polyethylene. Case Stud. Constr. Mater. 2023, 18, e01797. [Google Scholar] [CrossRef]
- Gilbertson, L.M.; Ng, C.A. Evaluating the Use of Alternatives Assessment To Compare Bulk Organic Chemical and Nanomaterial Alternatives to Brominated Flame Retardants. ACS Sustain. Chem. Eng. 2016, 4, 6019–6030. [Google Scholar] [CrossRef]
- Chiang, C.-L.; Ma, C.-C.M. Synthesis, Characterization and Thermal Properties of Novel Epoxy Containing Silicon and Phosphorus Nanocomposites by Sol–Gel Method. Eur. Polym. J. 2002, 38, 2219–2224. [Google Scholar] [CrossRef]
- Patel, R.; Patel, P.; Chaudhary, M.L.; Gupta, R.K. Fluorine-Free, Biobased Antismudge Polyurethane Coating with Enhanced Flame Retardancy. ACS Appl. Polym. Mater. 2024, 6, 7278–7287. [Google Scholar] [CrossRef]
- Liu, L.; Zhang, W.; Yang, R. Flame Retardant Epoxy Composites with Epoxy-Containing Polyhedral Oligomeric Silsesquioxanes. Polym. Adv. Technol. 2020, 31, 2058–2074. [Google Scholar] [CrossRef]
- Kabir, I.I.; Fu, Y.; de Souza, N.; Nazir, M.T.; Baena, J.C.; Yuen, A.C.Y.; Yeoh, G.H. Improved Flame-Retardant Properties of Polydimethylsiloxane/Multi-Walled Carbon Nanotube Nanocomposites. J. Mater. Sci. 2021, 56, 2192–2211. [Google Scholar] [CrossRef]
- Tang, Q.; Yang, R.; He, J. Investigations of Thermoplastic Poly(Imide-Urethanes) Flame-Retarded by Hydroxyl-Terminated Poly(Dimethylsiloxane). Ind. Eng. Chem. Res. 2014, 53, 9714–9720. [Google Scholar] [CrossRef]
- Song, H.; Park, C.H.; Jeong, S.H.; Heo, J.H.; Lee, J.H. Synergistic Adenosine Triphosphate/Chitosan Bio-Coatings on Polyurethane Foam for Simultaneously Improved Flame Retardancy and Smoke Suppression. ACS Appl. Polym. Mater. 2023, 5, 4388–4399. [Google Scholar] [CrossRef]
- Paszkiewicz, S.; Irska, I.; Taraghi, I.; Piesowicz, E.; Sieminski, J.; Zawisza, K.; Pypeć, K.; Dobrzynska, R.; Terelak-Tymczyna, A.; Stateczny, K.; et al. Halloysite Nanotubes and Silane-Treated Alumina Trihydrate Hybrid Flame Retardant System for High-Performance Cable Insulation. Polymers 2021, 13, 2134. [Google Scholar] [CrossRef] [PubMed]
- Guo, Y.; Xue, Y.; Zuo, X.; Zhang, L.; Yang, Z.; Zhou, Y.; Marmorat, C.; He, S.; Rafailovich, M. Capitalizing on the Molybdenum Disulfide/Graphene Synergy to Produce Mechanical Enhanced Flame Retardant Ethylene-Vinyl Acetate Composites with Low Aluminum Hydroxide Loading. Polym. Degrad. Stab. 2017, 144, 155–166. [Google Scholar] [CrossRef]
- Vahabi, H.; Fouad, L.; Krzysztof, F.; Mohammad Reza, S.; Dubois, P. Flame-Retardant Polymer Materials Developed by Reactive Extrusion: Present Status and Future Perspectives. Polym. Rev. 2022, 62, 919–949. [Google Scholar] [CrossRef]
- Demir, H.; Balköse, D.; Ülkü, S. Influence of Surface Modification of Fillers and Polymer on Flammability and Tensile Behaviour of Polypropylene-Composites. Polym. Degrad. Stab. 2006, 91, 1079–1085. [Google Scholar] [CrossRef]
- Lee, J.; Park, J.H.; Shim, S.B.; Lee, J.E. Mechanical Properties of Polypropylene-Based Flame Retardant Composites by Surface Modification of Flame Retardants. Polymers 2022, 14, 3524. [Google Scholar] [CrossRef]
- Maurya, A.; Sinha, S.; Kumar, P.; Singh, V. A Review: Impact of Surface Treatment of Nanofillers for Improvement in Thermo Mechanical Properties of the Epoxy Based Nanocomposites. Mater. Today Proc. 2023, 78, 164–172. [Google Scholar] [CrossRef]
- Chen, M.-J.; Shao, Z.-B.; Wang, X.-L.; Chen, L.; Wang, Y.-Z. Halogen-Free Flame-Retardant Flexible Polyurethane Foam with a Novel Nitrogen–Phosphorus Flame Retardant. Ind. Eng. Chem. Res. 2012, 51, 9769–9776. [Google Scholar] [CrossRef]
- Neisius, M.; Liang, S.; Mispreuve, H.; Gaan, S. Phosphoramidate-Containing Flame-Retardant Flexible Polyurethane Foams. Ind. Eng. Chem. Res. 2013, 52, 9752–9762. [Google Scholar] [CrossRef]
- Price, E.J.; Covello, J.; Tuchler, A.; Wnek, G.E. Intumescent, Epoxy-Based Flame-Retardant Coatings Based on Poly(Acrylic Acid) Compositions. ACS Appl. Mater. Interfaces 2020, 12, 18997–19005. [Google Scholar] [CrossRef]
- Fahami, A.; Lee, J.; Lazar, S.; Grunlan, J.C. Mica-Based Multilayer Nanocoating as a Highly Effective Flame Retardant and Smoke Suppressant. ACS Appl. Mater. Interfaces 2020, 12, 19938–19943. [Google Scholar] [CrossRef]
- Yuan, L.; Yu, J.; Wang, Y.; Zhang, S.; Sun, Y.; Tan, C.; Liu, H.; Fan, Y.; Kang, D. Synergistic Effects of Sodium Polyacrylate-Loaded Ammonium Polyphosphate in Combination with ScYSZ to Enhance the Flame Retardancy and Thermal Insulation Properties of Epoxy-Polyamide Coatings. Prog. Org. Coat. 2025, 203, 109175. [Google Scholar] [CrossRef]
- Ou, M.; Lian, R.; Zhu, J.; Li, R.; Cui, J.; Guan, H.; Liu, L.; Jiao, C.; Chen, X. Aromatic P/N/Co-Containing Microsphere Flame Retardant for Enhancing Fire Safety and Mechanical Properties of Epoxy Coating with Lower Curing Temperature. Prog. Org. Coat. 2023, 183, 107728. [Google Scholar] [CrossRef]
- Gao, J.; Qi, L.; Wang, C.; Feng, Z.; Chen, L.; Li, S.; Hu, Y.; Xing, W. Construction of Multifunctional Coatings of Polyester Fabric for Flame Retardancy and Personal Thermal Management. Compos. Part A Appl. Sci. Manuf. 2025, 192, 108772. [Google Scholar] [CrossRef]
- Cai, J.; Zhang, X.; Wang, Z.; Xie, J.; Zhang, X. A Bio-Based Antibacterial Epoxy Resin Coating with Outstanding Flame Retardant and Mechanical Properties. Prog. Org. Coat. 2024, 190, 108369. [Google Scholar] [CrossRef]
- Qi, L.; Wang, B.; Zhang, W.; Yu, B.; Zhou, M.; Hu, Y.; Xing, W. Durable Flame Retardant and Dip-Resistant Coating of Polyester Fabrics by Plasma Surface Treatment and UV-Curing. Prog. Org. Coat. 2022, 172, 107066. [Google Scholar] [CrossRef]
- Wang, X.; Nabipour, H.; Kan, Y.-C.; Song, L.; Hu, Y. A Fully Bio-Based, Anti-Flammable and Non-Toxic Epoxy Thermosetting Network for Flame-Retardant Coating Applications. Prog. Org. Coat. 2022, 172, 107095. [Google Scholar] [CrossRef]
- Yang, Y.-T.; Huang, J.-L.; Wang, X.; Grunlan, J.; Song, L.; Hu, Y. Flame Retardant and Hydrophobic Cotton Using a Unique Phosphorus–Nitrogen–Silicon-Containing Coating. Cellulose 2022, 29, 8473–8488. [Google Scholar] [CrossRef]
- Wang, B.; Luo, C.-Y.; Zhu, P.; Liu, Y.; Xu, Y.-J. Facile Construction of H3PO3-Modified Chitosan/Montmorillonite Coatings for Highly Efficient Flame Retardation of Polyester–Cotton Fabrics. Prog. Org. Coat. 2023, 184, 107864. [Google Scholar] [CrossRef]
- Shi, J.; Song, X.; Wang, F.; Chen, J.; Wang, Y.; Wang, X.; Liu, Y. Phosphorus- and Nitrogen-Bridged Chitooligosaccharide as an Effective Flame-Retardant Coating of Fiber Cardboard. ACS Sustain. Chem. Eng. 2025, 13, 3413–3422. [Google Scholar] [CrossRef]
- Guo, S.; Mu, Y.; Li, Z.; Ma, M.; Zhou, W. Eco-Friendly Fabrication of Multifunctional and Double-Sided Heterochromatic Silk Fabric Using Tannin and Soil Humic Substances. ACS Sustain. Chem. Eng. 2024, 12, 8913–8922. [Google Scholar] [CrossRef]
- Wang, S.; Wang, S.; Shen, M.; Xu, X.; Liu, H.; Wang, D.; Wang, H.; Shang, S. Biobased Phosphorus Siloxane-Containing Polyurethane Foam with Flame-Retardant and Smoke-Suppressant Performances. ACS Sustain. Chem. Eng. 2021, 9, 8623–8634. [Google Scholar] [CrossRef]
- Cui, M.; Li, J.; Chen, X.; Hong, W.; Chen, Y.; Xiang, J.; Yan, J.; Fan, H. A Halogen-Free, Flame Retardant, Waterborne Polyurethane Coating Based on the Synergistic Effect of Phosphorus and Silicon. Prog. Org. Coat. 2021, 158, 106359. [Google Scholar] [CrossRef]
- Nizam, M.; Çakır Çanak, T.; Serhatlı, İ.E. Fabrication of Fluorine and Nitrogen-Based Flame Retardants Containing Rigid Polyurethane Foam with Improved Hydrophobicity and Flame Retardancy. ACS Omega 2025, 10, 17847–17858. [Google Scholar] [CrossRef] [PubMed]
- Liu, L.; Yao, M.; Zhang, H.; Zhang, Y.; Feng, J.; Fang, Z.; Song, P. Aqueous Self-Assembly of Bio-Based Flame Retardants for Fire-Retardant, Smoke-Suppressive, and Toughened Polylactic Acid. ACS Sustain. Chem. Eng. 2022, 10, 16313–16323. [Google Scholar] [CrossRef]
- Xiong, Z.; Zhang, Y.; Du, X.; Song, P.; Fang, Z. Green and Scalable Fabrication of Core–Shell Biobased Flame Retardants for Reducing Flammability of Polylactic Acid. ACS Sustain. Chem. Eng. 2019, 7, 8954–8963. [Google Scholar] [CrossRef]
- Wang, Y.; Yang, X.; Peng, H.; Wang, F.; Liu, X.; Yang, Y.; Hao, J. Layer-by-Layer Assembly of Multifunctional Flame Retardant Based on Brucite, APTES, Alginate and Its Applications in EVA Resin. ACS Appl. Mater. Interfaces 2016, 8, 9925–9935. [Google Scholar] [CrossRef]
- Tan, Y.; Shao, Z.-B.; Chen, X.-F.; Long, J.-W.; Chen, L.; Wang, Y.-Z. Novel Multifunctional Organic–Inorganic Hybrid Curing Agent with High Flame-Retardant Efficiency for Epoxy Resin. ACS Appl. Mater. Interfaces 2015, 7, 17919–17928. [Google Scholar] [CrossRef]
- Pethsangave, D.A.; Khose, R.V.; Wadekar, P.H.; Some, S. Novel Approach toward the Synthesis of a Phosphorus-Functionalized Polymer-Based Graphene Composite as an Efficient Flame Retardant. ACS Sustain. Chem. Eng. 2019, 7, 11745–11753. [Google Scholar] [CrossRef]
- Köklükaya, O.; Carosio, F.; Grunlan, J.C.; Wågberg, L. Flame-Retardant Paper from Wood Fibers Functionalized via Layer-by-Layer Assembly. ACS Appl. Mater. Interfaces 2015, 7, 23750–23759. [Google Scholar] [CrossRef]
- Carosio, F.; Di Blasio, A.; Alongi, J.; Malucelli, G. Green DNA-Based Flame Retardant Coatings Assembled through Layer by Layer. Polymer 2013, 54, 5148–5153. [Google Scholar] [CrossRef]
- Zhao, W.; Zhao, H.-B.; Cheng, J.-B.; Li, W.; Zhang, J.; Wang, Y.-Z. A Green, Durable and Effective Flame-Retardant Coating for Expandable Polystyrene Foams. Chem. Eng. J. 2022, 440, 135807. [Google Scholar] [CrossRef]
- Zhang, Y.; Tian, W.; Liu, L.; Cheng, W.; Wang, W.; Liew, K.M.; Wang, B.; Hu, Y. Eco-Friendly Flame Retardant and Electromagnetic Interference Shielding Cotton Fabrics with Multi-Layered Coatings. Chem. Eng. J. 2019, 372, 1077–1090. [Google Scholar] [CrossRef]
- Yuan, H.; Xing, W.; Zhang, P.; Song, L.; Hu, Y. Functionalization of Cotton with UV-Cured Flame Retardant Coatings. Ind. Eng. Chem. Res. 2012, 51, 5394–5401. [Google Scholar] [CrossRef]
- Tao, Y.; Liu, C.; Li, P.; Wang, B.; Xu, Y.-J.; Jiang, Z.-M.; Liu, Y.; Zhu, P. A Flame-Retardant PET Fabric Coating: Flammability, Anti-Dripping Properties, and Flame-Retardant Mechanism. Prog. Org. Coat. 2021, 150, 105971. [Google Scholar] [CrossRef]
- Yan, L.; Xu, Z.; Deng, N. Effects of Polyethylene Glycol Borate on the Flame Retardancy and Smoke Suppression Properties of Transparent Fire-Retardant Coatings Applied on Wood Substrates. Prog. Org. Coat. 2019, 135, 123–134. [Google Scholar] [CrossRef]
- Yan, L.; Xu, Z.; Liu, D. Synthesis and Application of Novel Magnesium Phosphate Ester Flame Retardants for Transparent Intumescent Fire-Retardant Coatings Applied on Wood Substrates. Prog. Org. Coat. 2019, 129, 327–337. [Google Scholar] [CrossRef]
- Jin, X.; Wu, X.; Tang, W.; Tan, Z.; Wang, W.; Sun, S. Self-Assembled Coatings with Durable Flame Retardancy for EPS Foam. Chem. Eng. J. 2024, 494, 153285. [Google Scholar] [CrossRef]
- Wang, T.; Li, L.; Cao, Y.; Wang, Q.; Guo, C. Preparation and Flame Retardancy of Castor Oil Based UV-Cured Flame Retardant Coating Containing P/Si/S on Wood Surface. Ind. Crops Prod. 2019, 130, 562–570. [Google Scholar] [CrossRef]
- Guo, W.; Wang, X.; Huang, J.; Zhou, Y.; Cai, W.; Wang, J.; Song, L.; Hu, Y. Construction of Durable Flame-Retardant and Robust Superhydrophobic Coatings on Cotton Fabrics for Water-Oil Separation Application. Chem. Eng. J. 2020, 398, 125661. [Google Scholar] [CrossRef]
- Carosio, F.; Alongi, J.; Malucelli, G. Layer by Layer Ammonium Polyphosphate-Based Coatings for Flame Retardancy of Polyester–Cotton Blends. Carbohydr. Polym. 2012, 88, 1460–1469. [Google Scholar] [CrossRef]
- Chan, S.Y.; Si, L.; Lee, K.I.; Ng, P.F.; Chen, L.; Yu, B.; Hu, Y.; Yuen, R.K.K.; Xin, J.H.; Fei, B. A Novel Boron–Nitrogen Intumescent Flame Retardant Coating on Cotton with Improved Washing Durability. Cellulose 2018, 25, 843–857. [Google Scholar] [CrossRef]
- Fang, Y.; Sun, W.; Li, J.; Liu, H.; Liu, X. Eco-Friendly Flame Retardant and Dripping-Resistant of Polyester/Cotton Blend Fabrics through Layer-by-Layer Assembly Fully Bio-Based Chitosan/Phytic Acid Coating. Int. J. Biol. Macromol. 2021, 175, 140–146. [Google Scholar] [CrossRef] [PubMed]
- Mohd Sabee, M.M.; Itam, Z.; Beddu, S.; Zahari, N.M.; Mohd Kamal, N.L.; Mohamad, D.; Zulkepli, N.A.; Shafiq, M.D.; Abdul Hamid, Z.A. Flame Retardant Coatings: Additives, Binders, and Fillers. Polymers 2022, 14, 2911. [Google Scholar] [CrossRef] [PubMed]
- Laoutid, F.; Jouyandeh, M.; Murariu, O.; Vahabi, H.; Saeb, M.R.; Brison, L.; Murariu, M.; Dubois, P. New Transparent Flame-Retardant (FR) Coatings Based on Epoxy-Aluminum Hypophosphite Nanocomposites. Coatings 2023, 13, 140. [Google Scholar] [CrossRef]
- Huang, Y.; Ma, T.; Wang, Q.; Guo, C. Synthesis of Biobased Flame-Retardant Carboxylic Acid Curing Agent and Application in Wood Surface Coating. ACS Sustain. Chem. Eng. 2019, 7, 14727–14738. [Google Scholar] [CrossRef]
- Cabo, M.J.; Manoj Narendra, P.; Lee, D.-W.; Yu, R.; Chanthavong, V.; Song, J.-I. Improving the Flame Retardancy and Mechanical Properties of Vinyl Ester Resins through Maleated Epoxidized Corn Oil/Epoxy Resin Additives for Sustainable Thermoset Composites. ACS Polym. Au J. 2025, 5, 45–58. [Google Scholar] [CrossRef]
- Ding, Y.; Su, Y.; Huang, J.; Wang, T.; Li, M.-Y.; Li, W. Flame Retardancy Behaviors of Flexible Polyurethane Foam Based on Reactive Dihydroxy P–N-Containing Flame Retardants. ACS Omega 2021, 6, 16410–16418. [Google Scholar] [CrossRef]
- Chatterjee, A.; Sen, S.; Bhardwaj, S.; Maji, P.K. Polysilazane-Cross-Linked Acrylic Coatings for Wood: A Versatile Solution for Weather Resistance, Stain Repellence, and Fire Safety. ACS Appl. Eng. Mater. 2025, 3, 502–512. [Google Scholar] [CrossRef]
- Lai, M.; Wang, Y.; Li, F.; Zhao, J. Synthesis and Characterization of Sodium Lignosulfonate-Based Phosphorus-Containing Intermediates and Its Composite Si–P–C Silicone-Acrylic Emulsion Coating for Flame-Retardant Plywood. Langmuir 2024, 40, 12573–12593. [Google Scholar] [CrossRef]
- Wang, Y.; Ran, Y.; Shao, Y.; Zhu, J.; Du, C.; Yang, F.; Bao, Q.; Shan, Y.; Zhang, W. A Novel Intumescent MCA-Modified Sodium Silicate/Acrylic Flame-Retardant Coating to Improve the Flame Retardancy of Wood. Molecules 2024, 29, 3021. [Google Scholar] [CrossRef]
- Yin, Y.; Li, W.; Feng, M.; Hu, X.; Niu, J.; Yao, J. Fabrication of Flame-Retardant and Anti-Dripping Waterborne Polyurethane Containing Phosphorus/Silicon via a Green and Feasible Strategy. ACS Sustain. Chem. Eng. 2025, 13, 3522–3533. [Google Scholar] [CrossRef]
- Wang, H.; Zhu, D.; Liu, W.; Huang, J.; Huang, J.; Yang, D.; Qiu, X. Strong and Tough Lignin-Containing Waterborne Polyurethane Nanocomposites with Multiple Hydrogen Bonds as Photothermal Power Generation Coatings. ACS Sustain. Chem. Eng. 2023, 11, 17142–17156. [Google Scholar] [CrossRef]
- Guidugli, L.F.; Cheatham, R.; Calhoun, J.; Reza, M.T. Further Understanding of Phytic Acid–Based Deep Eutectic Solvents as Flame Retardants: COSMO Simulation, Physical Characterization, and Vertical Flame Testing. Ind. Eng. Chem. Res. 2024, 63, 14811–14820. [Google Scholar] [CrossRef]
- Murtaza, H.; Zhao, J.; Tabish, M.; Wang, J.; Mubeen, M.; Zhang, J.; Zhang, S.; Fan, B. Protective and Flame-Retardant Bifunctional Epoxy-Based Nanocomposite Coating by Intercomponent Synergy between Modified CaAl-LDH and RGO. ACS Appl. Mater. Interfaces 2024, 16, 13114–13131. [Google Scholar] [CrossRef]
- Panda, P.K.; Tasi, T.-P.; Wu, M.-W.; Dash, P.; Hsieh, C.-T.; Yang, P.-C.; Chang, J.-K. Development of Carbon Composite Coatings for Fire Retardancy and Electromagnetic Interference Shielding. Prog. Org. Coat. 2024, 194, 108628. [Google Scholar] [CrossRef]
- Panda, P.K.; Fu, H.-Y.; Tsai, T.-P.; Chu, C.-Y.; Dash, P.; Hsieh, C.-T. Development of Hexagonal Boron Nitride and Zinc Oxide Nanocomposite for Fire Retardant and Anti-Electromagnetic Construction Coatings. J. Indian Chem. Soc. 2025, 102, 101647. [Google Scholar] [CrossRef]
- Lee, I.; Jang, J.; Choi, D.; Park, Y.T.; Cho, C. Layer-by-Layer Assembly of TiO2 Nanoparticle/Poly(Acrylic Acid)/Montmorillonite Trilayer Composite Films as Flame-Retardant Coatings. ACS Appl. Nano Mater. 2024, 7, 26843–26853. [Google Scholar] [CrossRef]
- Wang, X.; Kalali, E.N.; Wan, J.-T.; Wang, D.-Y. Carbon-Family Materials for Flame Retardant Polymeric Materials. Prog. Polym. Sci. 2017, 69, 22–46. [Google Scholar] [CrossRef]
- United States Environmental Protection Agency. Research on Nanomaterials. Available online: https://www.epa.gov/chemical-research/research-nanomaterials (accessed on 25 June 2025).
- Kulkarni, S.; Xia, Z.; Yu, S.; Kiratitanavit, W.; Morgan, A.B.; Kumar, J.; Mosurkal, R.; Nagarajan, R. Bio-Based Flame-Retardant Coatings Based on the Synergistic Combination of Tannic Acid and Phytic Acid for Nylon–Cotton Blends. ACS Appl. Mater. Interfaces 2021, 13, 61620–61628. [Google Scholar] [CrossRef]
- Kim, Y.-O.; Cho, J.; Yeo, H.; Lee, B.W.; Moon, B.J.; Ha, Y.-M.; Jo, Y.R.; Jung, Y.C. Flame Retardant Epoxy Derived from Tannic Acid as Biobased Hardener. ACS Sustain. Chem. Eng. 2019, 7, 3858–3865. [Google Scholar] [CrossRef]
- Deniz, A.; Zaytoun, N.; Hetjens, L.; Pich, A. Polyphosphazene–Tannic Acid Colloids as Building Blocks for Bio-Based Flame-Retardant Coatings. ACS Appl. Polym. Mater. 2020, 2, 5345–5351. [Google Scholar] [CrossRef]
- Weldemhret, T.G.; Lee, D.-W.; Prabhakar, M.N.; Park, Y.T.; Song, J. Il Polyurethane Foams Coated with Phosphorus-Doped Mesoporous Carbon for Flame-Retardant Triboelectric Nanogenerators. ACS Appl. Nano Mater. 2022, 5, 12464–12476. [Google Scholar] [CrossRef]
- Zhao, X.; Liang, Z.; Huang, Y.; Hai, Y.; Zhong, X.; Xiao, S.; Jiang, S. Influence of Phytic Acid on Flame Retardancy and Adhesion Performance Enhancement of Poly (Vinyl Alcohol) Hydrogel Coating to Wood Substrate. Prog. Org. Coat. 2021, 161, 106453. [Google Scholar] [CrossRef]
- Yang, H.; Yu, B.; Xu, X.; Bourbigot, S.; Wang, H.; Song, P. Lignin-Derived Bio-Based Flame Retardants toward High-Performance Sustainable Polymeric Materials. Green Chem. 2020, 22, 2129–2161. [Google Scholar] [CrossRef]
- Zhou, Q.; Chen, J.; Zhou, T.; Shao, J. In Situ Polymerization of Polyaniline on Cotton Fabrics with Phytic Acid as a Novel Efficient Dopant for Flame Retardancy and Conductivity Switching. New J. Chem. 2020, 44, 3504–3513. [Google Scholar] [CrossRef]
- Yang, W.; Zhang, H.; Hu, X.; Liu, Y.; Zhang, S.; Xie, C. Self-Assembled Bio-Derived Microporous Nanosheet from Phytic Acid as Efficient Intumescent Flame Retardant for Polylactide. Polym. Degrad. Stab. 2021, 191, 109664. [Google Scholar] [CrossRef]
- Wong, E.H.H.; Fan, K.W.; Lei, L.; Wang, C.; Baena, J.C.; Okoye, H.; Fam, W.; Zhou, D.; Oliver, S.; Khalid, A.; et al. Fire-Resistant Flexible Polyurethane Foams via Nature-Inspired Chitosan-Expandable Graphite Coatings. ACS Appl. Polym. Mater. 2021, 3, 4079–4087. [Google Scholar] [CrossRef]
- Aaddouz, M.; Laoutid, F.; Mariage, J.; Yada, B.; Toncheva, A.; Lazko, J.; Azzaoui, K.; Sabbahi, R.; Mejdoubi, E.; Saeb, M.R.; et al. Mechanochemistry for the Synthesis of a Sustainable Phosphorus/Potassium Tannic Acid Flame-Retardant Additive and Its Application in Polypropylene. ACS Sustain. Chem. Eng. 2025, 13, 1450–1459. [Google Scholar] [CrossRef]
- Wang, D.; Wang, Y.; Li, T.; Zhang, S.; Ma, P.; Shi, D.; Chen, M.; Dong, W. A Bio-Based Flame-Retardant Starch Based On Phytic Acid. ACS Sustain. Chem. Eng. 2020, 8, 10265–10274. [Google Scholar] [CrossRef]
- Wang, J.; Huo, S.; Wang, J.; Yang, S.; Chen, K.; Li, C.; Fang, D.; Fang, Z.; Song, P.; Wang, H. Green and Facile Synthesis of Bio-Based, Flame-Retardant, Latent Imidazole Curing Agent for Single-Component Epoxy Resin. ACS Appl. Polym. Mater. 2022, 4, 3564–3574. [Google Scholar] [CrossRef]
- Guo, Y.; Zuo, C.; Liu, Y.; Chen, X.; Ren, Y.; Liu, X. Construction of a Fully Bio-Based Intumescent Flame Retardant for Improving the Flame Retardancy of Polyacrylonitrile. Polym. Degrad. Stab. 2023, 214, 110385. [Google Scholar] [CrossRef]
- Ye, G.; Huo, S.; Wang, C.; Shi, Q.; Liu, Z.; Wang, H. One-Step and Green Synthesis of a Bio-Based High-Efficiency Flame Retardant for Poly (Lactic Acid). Polym. Degrad. Stab. 2021, 192, 109696. [Google Scholar] [CrossRef]
- Leng, Y.-M.; Zhao, X.; Fu, T.; Wang, X.-L.; Wang, Y.-Z. Bio-Based Flame-Retardant and Smoke-Suppressing Wood Plastic Composites Enabled by Phytic Acid Tyramine Salt. ACS Sustain. Chem. Eng. 2022, 10, 5055–5066. [Google Scholar] [CrossRef]
- Xu, S.; Han, Y.; Zhou, C.; Li, J.; Shen, L.; Lin, H. A Biobased Flame Retardant towards Improvement of Flame Retardancy and Mechanical Property of Ethylene Vinyl Acetate. Chin. Chem. Lett. 2023, 34, 107202. [Google Scholar] [CrossRef]
- Liu, W.; Shi, R.; Ge, X.; Huang, H.; Chen, X.; Mu, M. A Bio-Based Flame Retardant Coating Used for Polyamide 66 Fabric. Prog. Org. Coat. 2021, 156, 106271. [Google Scholar] [CrossRef]
- Luo, Y.; Lan, Y.; Cai, J.; Jiang, Q.; Wang, X.; Zhang, H.; Hou, L.; Xiao, L. Multi-Functional Bio-Based DOPO Derivative for Enhanced Flame Retardancy and Mechanical Strength in Epoxy Resin. Eur. Polym. J. 2025, 222, 113605. [Google Scholar] [CrossRef]
- Wang, F.; Wu, N.; Wang, M.; Deng, S.; Jia, H. Synthesis of Phenylphosphorylated Microcrystal Cellulose Biobased Flame Retardants and Its Flame-Retardant Modification on PLA Biomaterials. Polym. Degrad. Stab. 2024, 227, 110843. [Google Scholar] [CrossRef]
- Li, S.; Wang, X.; Xu, M.; Liu, L.; Wang, W.; Gao, S.; Li, B. Effect of a Biomass Based Waterborne Fire Retardant Coating on the Flame Retardancy for Wood. Polym. Adv. Technol. 2021, 32, 4805–4814. [Google Scholar] [CrossRef]
- Li, S.; Zhao, F.; Wang, X.; Liu, Z.; Guo, J.; Li, Y.; Tan, S.; Xin, Z.; Zhao, S.; Li, L. A Green Flame Retardant Coating Based on One-Step Aqueous Complexation of Phytic Acid and Urea for Fabrication of Lightweight and High Toughness Flame Retardant EPS Insulation Board. Polym. Degrad. Stab. 2024, 219, 110597. [Google Scholar] [CrossRef]
- Liu, J.; Qiu, S.; Qi, P.; Sun, J.; Li, H.; Gu, X.; Zhang, S. Constructing a Fully Biobased Coating to Improve the Flame Retardancy, Antibacterial Properties, and UV Resistance of Polyamide 6 Fabrics. ACS Appl. Eng. Mater. 2023, 1, 268–277. [Google Scholar] [CrossRef]
- Kianfar, M.; Ipakchi, H.; Mohajer, S.; Rasoulifard, M.H.; Seyed Dorraji, M.S.; Louaguef, D.B.; Azat, S.; Saeb, M.R.; Vahabi, H. Flame-Retardant Self-Healing Polymers: A Review. J. Polym. Sci. 2024, 5, 111–114. [Google Scholar] [CrossRef]
- Yang, H.; Yang, Y.; Li, Y.; Hope, J.; Choo, W. Extrinsic Conditions for the Occurrence and Characterizations of Self-Healing Polyurea Coatings for Improved Medical Device Reliability: A Mini Review. ACS Omega 2023, 8, 26650–26662. [Google Scholar] [CrossRef] [PubMed]
- Luo, Y.; Tan, M.; Shin, J.; Zhang, C.; Yang, S.; Song, N.; Zhang, W.; Jiao, Y.; Xie, J.; Geng, Z.; et al. Ultrarobust, Self-Healing Poly(Urethane-Urea) Elastomer with Superior Tensile Strength and Intrinsic Flame Retardancy Enabled by Coordination Cross-Linking. ACS Appl. Mater. Interfaces 2024, 16, 43979–43990. [Google Scholar] [CrossRef] [PubMed]
- Meng, D.; Liu, X.; Wang, S.; Sun, J.; Li, H.; Wang, Z.; Gu, X.; Zhang, S. Self-Healing Polyelectrolyte Complex Coating for Flame Retardant Flexible Polyurethane Foam with Enhanced Mechanical Property. Compos. Part B Eng. 2021, 219, 108886. [Google Scholar] [CrossRef]
- Sun, F.-C.; Fu, J.-H.; Peng, Y.-X.; Jiao, X.-M.; Liu, H.; Du, F.-P.; Zhang, Y.-F. Dual-Functional Intumescent Fire-Retardant/Self-Healing Water-Based Plywood Coatings. Prog. Org. Coat. 2021, 154, 106187. [Google Scholar] [CrossRef]
- Li, P.; Liu, C.; Wang, B.; Tao, Y.; Xu, Y.-J.; Liu, Y.; Zhu, P. Eco-Friendly Coating Based on an Intumescent Flame-Retardant System for Viscose Fabrics with Multi-Function Properties: Flame Retardancy, Smoke Suppression, and Antibacterial Properties. Prog. Org. Coat. 2021, 159, 106400. [Google Scholar] [CrossRef]
- Sezer Hicyilmaz, A.; Altin, Y.; Bedeloglu, A. Polyimide-Coated Fabrics with Multifunctional Properties: Flame Retardant, UV Protective, and Water Proof. J. Appl. Polym. Sci. 2019, 136, 47616. [Google Scholar] [CrossRef]
- Shang, X.; Jin, Y.; Du, W.; Bai, L.; Zhou, R.; Zeng, W.; Lin, K. Flame-Retardant and Self-Healing Waterborne Polyurethane Based on Organic Selenium. ACS Appl. Mater. Interfaces 2023, 15, 16118–16131. [Google Scholar] [CrossRef]
- Zhang, T.; Xu, Y.; Dai, J.; Zhang, X. Epoxidized Soybean Oil-Based Waterborne Polyurethane Coated Polyethylene Terephthalate Fabrics with High Flame-Retardant, Self-Healing and Wash-Resistant Properties. Prog. Org. Coat. 2025, 205, 109315. [Google Scholar] [CrossRef]
- Zhang, L.; Huang, Y.; Sun, P.; Hai, Y.; Jiang, S. A Self-Healing, Recyclable, and Degradable Fire-Retardant Gelatin-Based Biogel Coating for Green Buildings. Soft Matter 2021, 17, 5231–5239. [Google Scholar] [CrossRef]
- Du, W.; Jin, Y.; Lai, S.; Shi, L.; Shen, Y.; Yang, H. Multifunctional Light-Responsive Graphene-Based Polyurethane Composites with Shape Memory, Self-Healing, and Flame Retardancy Properties. Compos. Part A Appl. Sci. Manuf. 2020, 128, 105686. [Google Scholar] [CrossRef]
- Mahaninia, M.H.; Yan, N. Catalyst-Free Biodegradable Chitosan-Based Dual Dynamic Covalent Networks with Self-Healing and Flame-Retardant Properties. ACS Sustain. Chem. Eng. 2024, 12, 17117–17126. [Google Scholar] [CrossRef]
- Yang, S.; Wang, S.; Du, X.; Du, Z.; Cheng, X.; Wang, H. Mechanically Robust Self-Healing and Recyclable Flame-Retarded Polyurethane Elastomer Based on Thermoreversible Crosslinking Network and Multiple Hydrogen Bonds. Chem. Eng. J. 2020, 391, 123544. [Google Scholar] [CrossRef]
- Zhou, L.; Zhang, G.; Feng, Y.; Zhang, H.; Li, J.; Shi, X. Design of a Self-Healing and Flame-Retardant Cyclotriphosphazene-Based Epoxy Vitrimer. J. Mater. Sci. 2018, 53, 7030–7047. [Google Scholar] [CrossRef]
- Bai, S.; Zhang, K.; Zhang, Q.; Zhu, Y.; Wang, W.; Zhang, J.; Li, X.; Zhang, X.; Wang, R. Intrinsic Flame Retardancy and Flexible Solid–Solid Phase Change Materials with Self-Healing and Recyclability. ACS Appl. Mater. Interfaces 2023, 15, 48613–48622. [Google Scholar] [CrossRef]
- Li, W.; Xiao, L.; Wang, Y.; Huang, J.; Liu, Z.; Chen, J.; Nie, X. Thermal-Induced Self-Healing Bio-Based Vitrimers: Shape Memory, Recyclability, Degradation, and Intrinsic Flame Retardancy. Polym. Degrad. Stab. 2022, 202, 110039. [Google Scholar] [CrossRef]
- Abedin, R.; Feng, X.; Pojman, J.J.; Ibekwe, S.; Mensah, P.; Warner, I.; Li, G. A Thermoset Shape Memory Polymer-Based Syntactic Foam with Flame Retardancy and 3D Printability. ACS Appl. Polym. Mater. 2022, 4, 1183–1195. [Google Scholar] [CrossRef]
- Ding, X.-M.; Chen, L.; Xu, Y.-J.; Shi, X.-H.; Luo, X.; Song, X.; Wang, Y.-Z. Robust Epoxy Vitrimer with Simultaneous Ultrahigh Impact Property, Fire Safety, and Multipath Recyclability via Rigid-Flexible Imine Networks. ACS Sustain. Chem. Eng. 2023, 11, 14445–14456. [Google Scholar] [CrossRef]
- Zhang, L.; Huang, Y.; Dong, H.; Xu, R.; Jiang, S. Flame-Retardant Shape Memory Polyurethane/MXene Paper and the Application for Early Fire Alarm Sensor. Compos. Part B Eng. 2021, 223, 109149. [Google Scholar] [CrossRef]
- Feng, X.; Li, G. High-Temperature Shape Memory Photopolymer with Intrinsic Flame Retardancy and Record-High Recovery Stress. Appl. Mater. Today 2021, 23, 101056. [Google Scholar] [CrossRef]
- Zhang, T.; Huo, S.; Ye, G.; Wang, C.; Zhang, Q.; Xue, Y.; Song, P.; Wang, H.; Liu, Z. Phosphorus/Boron-Containing, Flame-Retardant Polyurethane Elastomers with Great Mechanical, Shape-Memory, and Recycling Performances. Polym. Degrad. Stab. 2024, 230, 111047. [Google Scholar] [CrossRef]
- Du, X.; Jin, L.; Deng, S.; Zhou, M.; Du, Z.; Cheng, X.; Wang, H. Recyclable, Self-Healing, and Flame-Retardant Solid–Solid Phase Change Materials Based on Thermally Reversible Cross-Links for Sustainable Thermal Energy Storage. ACS Appl. Mater. Interfaces 2021, 13, 42991–43001. [Google Scholar] [CrossRef] [PubMed]
- Ye, G.; Huo, S.; Wang, C.; Zhang, Q.; Wang, H.; Song, P.; Liu, Z. Strong yet Tough Catalyst-Free Transesterification Vitrimer with Excellent Fire-Retardancy, Durability, and Closed-Loop Recyclability. Small 2024, 20, 2404634. [Google Scholar] [CrossRef] [PubMed]
- Zhang, T.; Huo, S.; Ye, G.; Wang, C.; Zhang, Q.; Liu, Z. Tough, High-Strength, Flame-Retardant and Recyclable Polyurethane Elastomers Based on Dynamic Borate Acid Esters. React. Funct. Polym. 2024, 205, 106056. [Google Scholar] [CrossRef]
- Zhu, S.; Wang, W.; MD Islam, Z.; Fu, Y.; Dong, Y. Polydopamine Modified Ammonium Polyphosphate Modified Shape Memory Water-Borne Epoxy Composites with Photo-Responsive Flame Retardant Property. J. Appl. Polym. Sci. 2021, 138, 49696. [Google Scholar] [CrossRef]
- Peng, J.; Xie, S.; Liu, T.; Wang, D.; Ou, R.; Guo, C.; Wang, Q.; Liu, Z. High-Performance Epoxy Vitrimer with Superior Self-Healing, Shape-Memory, Flame Retardancy, and Antibacterial Properties Based on Multifunctional Curing Agent. Compos. Part B Eng. 2022, 242, 110109. [Google Scholar] [CrossRef]
- Jin, L.; Hong, Y.; Hong, J.; Goh, M. Highly Flame-Retardant Biovitrimer Utilizing P–O–C Dynamic Bonds for Closed-Loop Recyclable Thermally Conductive Pads. ACS Appl. Polym. Mater. 2025, 7, 478–490. [Google Scholar] [CrossRef]
- Wang, D.; Zhang, Z.; Xu, X.; Qiu, Y.; Chang, G.; Yuan, K.; Xu, R.; Meng, L. Cyclotriphosphazene Based Epoxy Vitrimer with Excellent Recyclability and Flame Retardancy. Polym. Degrad. Stab. 2025, 238, 111346. [Google Scholar] [CrossRef]
- Skorb, E.V.; Andreeva, D.V. Layer-by-Layer Approaches for Formation of Smart Self-Healing Materials. Polym. Chem. 2013, 4, 4834–4845. [Google Scholar] [CrossRef]
- Carosio, F.; Alongi, J. Ultra-Fast Layer-by-Layer Approach for Depositing Flame Retardant Coatings on Flexible PU Foams within Seconds. ACS Appl. Mater. Interfaces 2016, 8, 6315–6319. [Google Scholar] [CrossRef]
- Yan, Y.; Dong, S.; Jiang, H.; Hou, B.; Wang, Z.; Jin, C. Efficient and Durable Flame-Retardant Coatings on Wood Fabricated by Chitosan, Graphene Oxide, and Ammonium Polyphosphate Ternary Complexes via a Layer-by-Layer Self-Assembly Approach. ACS Omega 2022, 7, 29369–29379. [Google Scholar] [CrossRef] [PubMed]
- Facco, L.; Parin, R.; Basso, M.; Martucci, A.; Colusso, E. Passive Ice Protection Systems for Unmanned Aerial Vehicles Applications: A Review. Small 2025, 21, 2412465. [Google Scholar] [CrossRef] [PubMed]
- Jiang, Z.; Wang, C.; Fang, S.; Ji, P.; Wang, H.; Ji, C. Durable Flame-Retardant and Antidroplet Finishing of Polyester Fabrics with Flexible Polysiloxane and Phytic Acid through Layer-by-Layer Assembly and Sol–Gel Process. J. Appl. Polym. Sci. 2018, 135, 46414. [Google Scholar] [CrossRef]
- Lin, D.; Zeng, X.; Li, H.; Lai, X.; Wu, T. One-Pot Fabrication of Superhydrophobic and Flame-Retardant Coatings on Cotton Fabrics via Sol-Gel Reaction. J. Colloid Interface Sci. 2019, 533, 198–206. [Google Scholar] [CrossRef]
- Liang, F.; Xu, Y.; Chen, S.; Zhu, Y.; Huang, Y.; Fei, B.; Guo, W. Fabrication of Highly Efficient Flame-Retardant and Fluorine-Free Superhydrophobic Cotton Fabric by Constructing Multielement-Containing POSS@ZIF-67@PDMS Micro–Nano Hierarchical Coatings. ACS Appl. Mater. Interfaces 2022, 14, 56027–56045. [Google Scholar] [CrossRef]
- Nie, C.; Shi, Y.; Jiang, S.; Wang, H.; Liu, M.; Huang, R.; Feng, Y.; Fu, L.; Yang, F. Constructing Fireproof MXene-Based Cotton Fabric/Thermoplastic Polyurethane Hierarchical Composites via Encapsulation Strategy. ACS Appl. Polym. Mater. 2023, 5, 7229–7239. [Google Scholar] [CrossRef]
- Liu, C.; Chen, K.; Wu, B.; Sun, W.; Ji, L.; Wu, Y. Preparation of a Novel Composite Coating of APP/MMT/APTES on Polyurethane with Improved Flame-Retarding Performance. ACS Omega 2024, 9, 48350–48360. [Google Scholar] [CrossRef]
- Yin, Y. Advances and Perspectives of Spin Coating Techniques. Appl. Comput. Eng. 2023, 7, 291–301. [Google Scholar] [CrossRef]
- Shen, J.; Liang, J.; Lin, X.; Lin, H.; Yu, J.; Wang, S. The Flame-Retardant Mechanisms and Preparation of Polymer Composites and Their Potential Application in Construction Engineering. Polymers 2022, 14, 82. [Google Scholar] [CrossRef]
- Vakhitova, L.; Kalafat, K.; Vakhitov, R.; Drizhd, V. Improving the Fire-Retardant Performance of Industrial Reactive Coatings for Steel Building Structures. Heliyon 2024, 10, e34729. [Google Scholar] [CrossRef]
- Zope, I.S.; Foo, S.; Seah, D.G.J.; Akunuri, A.T.; Dasari, A. Development and Evaluation of a Water-Based Flame Retardant Spray Coating for Cotton Fabrics. ACS Appl. Mater. Interfaces 2017, 9, 40782–40791. [Google Scholar] [CrossRef] [PubMed]
- Yu, Z.-L.; Ma, Z.-Y.; Yao, H.-X.; Qin, B.; Gao, Y.-C.; Xia, Z.-J.; Huang, Z.-H.; Yin, Y.-C.; Tu, H.; Ye, H.; et al. Economical Architected Foamy Aerogel Coating for Energy Conservation and Flame Resistance. ACS Mater. Lett. 2022, 4, 1453–1461. [Google Scholar] [CrossRef]
- Zhang, L.; Zhang, A.-N.; He, S.-M.; Zheng, G.-Q.; Zeng, F.-R.; Wang, Y.-Z.; Liu, B.-W.; Zhao, H.-B. Biomimetic Nanoporous Transparent Universal Fire-Resistant Coatings. ACS Appl. Mater. Interfaces 2024, 16, 19519–19528. [Google Scholar] [CrossRef] [PubMed]
- Tian, F.; Wu, Y.; Xu, H.; Wang, B.; She, Y.; Chen, H.; Liu, Y.; Wang, S.; Xu, X. Enhancing Rigid Polyurethane Foam Properties with Lignin-Based Core–Shell Intumescent Flame Retardants. ACS Sustain. Chem. Eng. 2024, 12, 18126–18135. [Google Scholar] [CrossRef]
- Shie, C.Y.; Chen, C.-C.; Chen, H.F.; Lin, Y.H.; Liu, C.H.; Fuh, Y.-K.; Li, T. Flexible and Self-Powered Thermal Sensor Based on Graphene-Modified Intumescent Flame-Retardant Coating with Hybridized Nanogenerators. ACS Appl. Nano Mater. 2023, 6, 2429–2437. [Google Scholar] [CrossRef]
- Kolibaba, T.J.; Iverson, E.T.; Legendre, H.; Higgins, C.I.; Buck, Z.N.; Weeks, T.S.; Grunlan, J.C.; Killgore, J.P. Synergistic Fire Resistance of Nanobrick Wall Coated 3D Printed Photopolymer Lattices. ACS Appl. Mater. Interfaces 2023, 15, 16046–16054. [Google Scholar] [CrossRef]
Disclaimer/Publisher’s Note: The statements, opinions and data contained in all publications are solely those of the individual author(s) and contributor(s) and not of MDPI and/or the editor(s). MDPI and/or the editor(s) disclaim responsibility for any injury to people or property resulting from any ideas, methods, instructions or products referred to in the content. |
© 2025 by the authors. Licensee MDPI, Basel, Switzerland. This article is an open access article distributed under the terms and conditions of the Creative Commons Attribution (CC BY) license (https://creativecommons.org/licenses/by/4.0/).

















