Bio-Inspired PG/PEI Co-Deposition for Interfacial Modification of HMX/F2602
Abstract
1. Introduction
2. Experiment
2.1. Materials
2.2. Sample Preparation
2.2.1. Preparation of HMX/F2602
2.2.2. Preparation of HMX/F2602/PG-PEI
2.3. Characterization
2.4. Sensitivity Test
2.5. Static Compression Test
3. Results and Discussion
3.1. Morphology
3.2. Chemical Properties
3.3. Surface Analysis
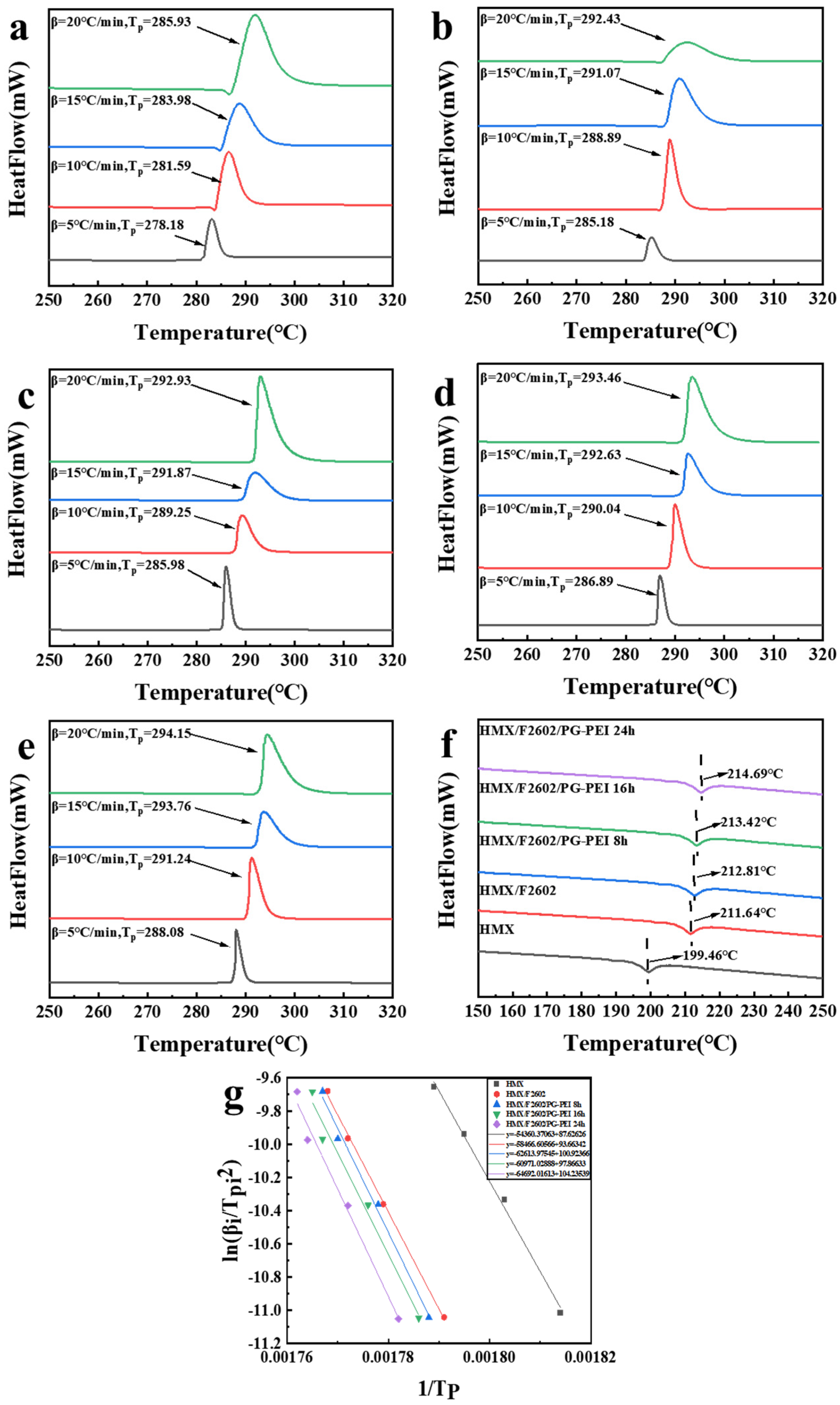
3.4. Thermal Performance
3.5. Sensitivity Test
3.6. Static Compressive Strength
4. Discussion
Author Contributions
Funding
Institutional Review Board Statement
Data Availability Statement
Conflicts of Interest
References
- Pagoria, P.F.; Lee, G.S.; Mitchell, A.R.; Schmidt, R.D. A review of energetic materials synthesis. Thermochim. Acta 2002, 384, 187–204. [Google Scholar] [CrossRef]
- Sollott, G.P.; Alster, J.; Gilbert, E.E.; Sandus, O.; Slagg, N. Research towards novel energetic materials. J. Energetic Mater. 1986, 4, 5–28. [Google Scholar] [CrossRef]
- Trache, D.; DeLuca, L.T. Nanoenergetic Materials: Preparation, Properties, and Applications. Nanomaterials 2020, 10, 2347. [Google Scholar] [CrossRef] [PubMed]
- Li, C.; Liu, S.; Xie, Z.; Ye, B.; An, C.; Wang, J. Design and fabrication of CL-20-based composites with an ordered close-packing structure by inkjet printing. Colloids Surfaces A Physicochem. Eng. Asp. 2022, 639, 128331. [Google Scholar] [CrossRef]
- Zeng, C.; Lin, C.; Zhang, J.; Liu, J.; He, G.; Li, Y.; Liu, S.; Gong, F.; Yang, Z. Grafting hyperbranched polyester on the energetic crystals: Enhanced mechanical properties in highly-loaded polymer based composites. Compos. Sci. Technol. 2019, 184, 107842. [Google Scholar] [CrossRef]
- Zeng, C.; Wang, J.; He, G.; Huang, C.; Yang, Z.; Liu, S.; Gong, F. Enhanced water resistance and energy performance of core–shell aluminum nanoparticles via in situ grafting of energetic glycidyl azide polymer. J. Mater. Sci. 2018, 53, 12091–12102. [Google Scholar] [CrossRef]
- He, G.; Li, X.; Bai, L.; Meng, L.; Dai, Y.; Sun, Y.; Zeng, C.; Yang, Z.; Yang, G. Multilevel core-shell strategies for improving mechanical properties of energetic polymeric composites by the “grafting-from” route. Compos. Part B Eng. 2020, 191, 107967. [Google Scholar] [CrossRef]
- Lee, H.; Lee, B.P.; Messersmith, P.B. A reversible wet/dry adhesive inspired by mussels and geckos. Nature 2007, 448, 338–341. [Google Scholar] [CrossRef]
- Kang, S.M.; Hwang, N.S.; Yeom, J.; Park, S.Y.; Messersmith, P.B.; Choi, I.S.; Langer, R.; Anderson, D.G.; Lee, H. One-Step Multipurpose Surface Functionalization by Adhesive Catecholamine. Adv. Funct. Mater. 2012, 22, 2949–2955. [Google Scholar] [CrossRef]
- Lee, H.; Scherer, N.F.; Messersmith, P.B. Single-molecule mechanics of mussel adhesion. Proc. Natl. Acad. Sci. USA 2006, 103, 12999–13003. [Google Scholar] [CrossRef]
- Li, Y.; Xu, W.; Guo, F.; Yan, T.; Zheng, X.; Wei, Y.; Tan, X.; Wang, J. Preparation and Characterization of PANI Surface Modified HMX/F2602 Microcapsule Composites. Propellants Explos. Pyrotech. 2022, 47, e202200084. [Google Scholar] [CrossRef]
- Lin, C.; Gong, F.; Yang, Z.; Zhao, X.; Li, Y.; Zeng, C.; Li, J.; Guo, S. Core-Shell Structured HMX@Polydopamine Energetic Microspheres: Synergistically Enhanced Mechanical, Thermal, and Safety Performances. Polymers 2019, 11, 568. [Google Scholar] [CrossRef] [PubMed]
- Zhang, C.; Ou, Y.; Lei, W.; Wan, L.; Ji, J.; Xu, Z. CuSO4/H2O2-Induced Rapid Deposition of Polydopamine Coatings with High Uniformity and Enhanced Stability. Angew. Chem. Int. Ed. Engl. 2016, 55, 3054–3057. [Google Scholar] [CrossRef]
- Luo, C.; Liu, Q. Oxidant-Induced High-Efficient Mussel-Inspired Modification on PVDF Membrane with Superhydrophilicity and Underwater Superoleophobicity Characteristics for Oil/Water Separation. ACS Appl. Mater. Interfaces 2017, 9, 8297–8307. [Google Scholar] [CrossRef]
- Xu, W.; Zheng, X.; Wei, Y.; Tan, X.; Wang, J.; Yang, Y.; Zhao, L.; Wang, J. Preparation and characterization of TA surface modified HMX/F2602 composites. Propellants Explos. Pyrotech. 2023, 48, e202300060. [Google Scholar] [CrossRef]
- Prajatelistia, E.; Ju, S.; Sanandiya, N.D.; Jun, S.H.; Ahn, J.; Hwang, D.S. Tunicate-Inspired Gallic Acid/Metal Ion Complex for Instant and Efficient Treatment of Dentin Hypersensitivity. Adv. Healthc. Mater. 2016, 5, 919–927. [Google Scholar] [CrossRef]
- Sanandiya, N.D.; Lee, S.; Rho, S.; Lee, H.; Kim, I.S.; Hwang, D.S. Tunichrome-inspired pyrogallol functionalized chitosan for tissue adhesion and hemostasis. Carbohydr. Polym. 2019, 208, 77–85. [Google Scholar] [CrossRef] [PubMed]
- Zhan, K.; Kim, C.; Sung, K.; Ejima, H.; Yoshie, N. Tunicate-Inspired Gallol Polymers for Underwater Adhesive: A Comparative Study of Catechol and Gallol. Biomacromolecules 2017, 18, 2959–2966. [Google Scholar] [CrossRef]
- Zhan, K.; Ejima, H.; Yoshie, N. Antioxidant and Adsorption Properties of Bioinspired Phenolic Polymers: A Comparative Study of Catechol and Gallol. ACS Sustain. Chem. Eng. 2016, 4, 3857–3863. [Google Scholar] [CrossRef]
- Cheng, X.Q.; Wang, Z.X.; Zhang, Y.; Zhang, Y.; Ma, J.; Shao, L. Bio-inspired loose nanofiltration membranes with optimized separation performance for antibiotics removals. J. Membr. Sci. 2018, 554, 385–394. [Google Scholar] [CrossRef]
- Yang, X.; Sun, H.; Pal, A.; Bai, Y.; Shao, L. Biomimetic Silicification on Membrane Surface for Highly Efficient Treatments of Both Oil-in-Water Emulsion and Protein Wastewater. ACS Appl. Mater. Interfaces 2018, 10, 29982–29991. [Google Scholar] [CrossRef]
- Zuo, X.; Chang, K.; Zhao, J.; Xie, Z.; Tang, H.; Li, B.; Chang, Z. Bubble-template-assisted synthesis of hollow fullerene-like MoS2 nanocages as a lithium ion battery anode material. J. Mater. Chem. A 2016, 4, 51–58. [Google Scholar] [CrossRef]
- Liu, Y.; Ai, K.; Lu, L. Polydopamine and Its Derivative Materials: Synthesis and Promising Applications in Energy, Environmental, and Biomedical Fields. Chem. Rev. 2014, 114, 5057–5115. [Google Scholar] [CrossRef]
- Elbeih, A.; Jungová, M.; Zeman, S.; Vávra, P.; Akštein, Z. Explosive Strength and Impact Sensitivity of Several PBXs Based on Attractive Cyclic Nitramines. Propellants Explos. Pyrotech. 2012, 37, 329–334. [Google Scholar] [CrossRef]
- Zhigach, A.N.; Leipunskii, I.O.; Berezkina, N.G.; Pshechenkov, P.A.; Zotova, E.S.; Kudrov, B.V.; Gogulya, M.F.; Brazhnikov, M.A.; Kuskov, M.L. Aluminized nitramine-based nanocomposites: Manufacturing technique and structure study. Combust. Explos. Shock. Waves 2009, 45, 666–677. [Google Scholar] [CrossRef]
- Ma, Z.; Gao, B.; Wu, P.; Shi, J.; Qiao, Z.; Yang, Z.; Yang, G.; Huang, B.; Nie, F. Facile, continuous and large-scale production of core–shell HMX@TATB composites with superior mechanical properties by a spray-drying process. RSC Adv. 2015, 5, 21042–21049. [Google Scholar] [CrossRef]
- Teipel, U.; Förter-Barth, U.; Gerber, P.; Krause, H.H. Formation of Particles of Explosives with Supercritical Fluids. Propellants Explos. Pyrotech. 1997, 22, 165–169. [Google Scholar] [CrossRef]
- Klanwan, J.; Akrapattangkul, N.; Pavarajarn, V.; Seto, T.; Otani, Y.; Charinpanitkul, T. Single-step synthesis of MWCNT/ZnO nanocomposite using co-chemical vapor deposition method. Mater. Lett. 2010, 64, 80–82. [Google Scholar] [CrossRef]
- Lin, C.; Zeng, C.; Wen, Y.; Gong, F.; He, G.; Li, Y.; Yang, Z.; Ding, L.; Li, J.; Guo, S. Litchi-like Core–Shell HMX@HPW@PDA Microparticles for Polymer-Bonded Energetic Composites with Low Sensitivity and High Mechanical Properties. ACS Appl. Mater. Interfaces 2020, 12, 4002–4013. [Google Scholar] [CrossRef]
- Li, Y.; Yang, Z.; Zhang, J.; Pan, L.; Ding, L.; Tian, X.; Zheng, X.; Gong, F. Fabrication and Characterization of HMX@TPEE Energetic Microspheres with Reduced Sensitivity and Superior Toughness Properties. Compos. Sci. Technol. 2017, 142, 253–263. [Google Scholar] [CrossRef]
- GB/T21567-2008; Impact Sensitivity Test Method for Dangerous Goods and Explosives. Standardization Administration of China: Beijing, China, 2008.
- GB/T 21566-2008; Test Method for Friction Sensitivity of Dangerous Goods and Explosives. Standardization Administration of China: Beijing, China, 2008.
- GB/T1041-1992; Plastics—Determination of Compression Properties. Standardization Administration of China: Beijing, China, 1992.
- Zhang, S.; Gao, Z.; Jia, Q.; Liu, N.; Yao, J.; Zhang, J.; Kou, K. Bioinspired Strategy for HMX@hBNNS Dual Shell Energetic Composites with Enhanced Desensitization and Improved Thermal Property. Adv. Mater. Interfaces 2020, 7, 2001054. [Google Scholar] [CrossRef]
- Maycock, J.N.; Verneker, V.R.P.; Lochte, W. Physico-Chemical Properties of 1,3,5,7-Tetranitro-1,3,5,7-Tetrazacyclooctane (HMX). Phys. Status Solidi B 1969, 35, 849–860. [Google Scholar] [CrossRef]
- Yang, Y.; Li, X.; Zhao, Y.; Han, Y.; Sun, Y.; Wang, J. Preparation and characterization of core–shell structured FOX-7/F2602 PBX with improved thermal stability and reduced sensitivity. AIP Adv. 2021, 11, 025323. [Google Scholar] [CrossRef]
- Zhang, S.; Gao, Z.; Jia, Q.; Liu, N.; Zhang, J.; Kou, K. Fabrication and characterization of surface modified HMX@PANI core-shell composites with enhanced thermal properties and desensitization via in situ polymerization. Appl. Surf. Sci. 2020, 515, 146042. [Google Scholar] [CrossRef]
- Lin, C.; Huang, B.; Gong, F.; Yang, Z.; Liu, J.; Zhang, J.; Zeng, C.; Li, Y.; Li, J.; Guo, S. Core@Double-Shell Structured Energetic Composites with Reduced Sensitivity and Enhanced Mechanical Properties. ACS Appl. Mater. Interfaces 2019, 11, 30341–30351. [Google Scholar] [CrossRef]
- Kissinger, H.E. Reaction Kinetics in Differential Thermal Analysis. Anal. Chem. 1957, 29, 1702–1706. [Google Scholar] [CrossRef]
- Hu, R.Z.; Gao, H.X.; Zhao, F.Q.; Zhao, H.A.; Wang, X.J.; Zhang, H.; Ma, H.X. Thermal safety of 1,1′-Dimethyl-5,5′-azotetrazoleand 2,2′-Dimethyl-5,5′-azotetrazole. Chinese. J. Energetic Mater. 2012, 19, 126–131. [Google Scholar]







| Scheme 1. | C 1s (%) | N 1s (%) | O 1s (%) | F 1s (%) | N/C |
|---|---|---|---|---|---|
| HMX | 26.76 | 39.11 | 34.13 | - | 1.46 |
| HMX/F2602 | 38.67 | 30.01 | 21.43 | 9.89 | 0.78 |
| HMX/F2602/PG-PEI 8 h | 41.67 | 29.36 | 23.41 | 5.56 | 0.71 |
| HMX/F2602/PG-PEI 16 h | 43.08 | 28.93 | 23.68 | 4.31 | 0.67 |
| HMX/F2602/PG-PEI 24 h | 44.16 | 29.08 | 22.09 | 4.67 | 0.65 |
| Samples | KAS Method Ea/kJ·mol−1 | Log (A/s−1) | R2 | /°C | |
|---|---|---|---|---|---|
| HMX | 437.83 | 42.71 | 0.99 | 273.17 | 278.84 |
| HMX/F2602 | 473.98 | 45.73 | 0.99 | 279.23 | 284.57 |
| HMX/F2602/PG-PEI 8 h | 484.06 | 46.67 | 0.99 | 282.97 | 288.27 |
| HMX/F2602/PG-PEI 16 h | 507.25 | 48.88 | 0.99 | 284.38 | 289.45 |
| HMX/F2602/PG-PEI 24 h | 518.86 | 49.92 | 0.99 | 285.41 | 290.39 |
| Samples | Content/% | BAM Impact/J | BAM Friction/N |
|---|---|---|---|
| HMX | - | 10 | 130 |
| HMX/F2602 | 95:5 | 27.5 | 168 |
| HMX/F2602/PG-PEI 8 h | 95:3:2 | 32.5 | 194 |
| HMX/F2602/PG-PEI 16 h | 95:3:2 | 37.5 | 202 |
| HMX/F2602/PG-PEI 24 h | 95:3:2 | 42.5 | 218 |
Disclaimer/Publisher’s Note: The statements, opinions and data contained in all publications are solely those of the individual author(s) and contributor(s) and not of MDPI and/or the editor(s). MDPI and/or the editor(s) disclaim responsibility for any injury to people or property resulting from any ideas, methods, instructions or products referred to in the content. |
© 2025 by the authors. Licensee MDPI, Basel, Switzerland. This article is an open access article distributed under the terms and conditions of the Creative Commons Attribution (CC BY) license (https://creativecommons.org/licenses/by/4.0/).
Share and Cite
Ma, N.; Xu, W.; Chang, X.; Lan, S. Bio-Inspired PG/PEI Co-Deposition for Interfacial Modification of HMX/F2602. Polymers 2025, 17, 1702. https://doi.org/10.3390/polym17121702
Ma N, Xu W, Chang X, Lan S. Bio-Inspired PG/PEI Co-Deposition for Interfacial Modification of HMX/F2602. Polymers. 2025; 17(12):1702. https://doi.org/10.3390/polym17121702
Chicago/Turabian StyleMa, Ningxin, Wenzheng Xu, Xiaolong Chang, and Shuying Lan. 2025. "Bio-Inspired PG/PEI Co-Deposition for Interfacial Modification of HMX/F2602" Polymers 17, no. 12: 1702. https://doi.org/10.3390/polym17121702
APA StyleMa, N., Xu, W., Chang, X., & Lan, S. (2025). Bio-Inspired PG/PEI Co-Deposition for Interfacial Modification of HMX/F2602. Polymers, 17(12), 1702. https://doi.org/10.3390/polym17121702

