The Effect of the Fresh Latex Ratio on the Processing and Dynamic Properties of Bio-Coagulated Natural Rubber
Abstract
1. Introduction
2. Materials and Methods
2.1. Materials and Instruments
2.2. Methods
2.2.1. Natural Rubber Preparation
2.2.2. Preparation of Natural Rubber Compound
2.3. Testing and Analysis
- (1)
- (2)
- The molecular weight distribution of natural rubber was determined by gel permeation chromatography. The test conditions were as follows: the sample concentration was 2 mg/mL, the mobile phase was tetrahydrofuran, and the standard sample was polystyrene.
- (3)
- The vulcanization characteristics of the natural rubber compound were determined by rotorless rheometer, with the following test conditions: test temperature of 160 °C, test time of 20 min, oscillation frequency of 1.7 Hz, and amplitude of ±0.5°.
- (4)
- The processing properties of the natural rubber vulcanized rubber were determined by rubber processing analysis. Strain scanning: frequency 0.5 Hz, temperature 100 °C, strain range 0~100%.
- (5)
- The cross-link density of the natural rubber vulcanized rubber was determined by a nuclear magnetic resonance cross-link density analyzer. The test conditions were as follows: resonance frequency 22.00 MHz, magnet strength 0.35 Tesla, experimental temperature 35.00 ± 0.01 °C.
- (6)
- (7)
3. Results and Analysis
3.1. Physical and Chemical Indexes of Natural Rubber
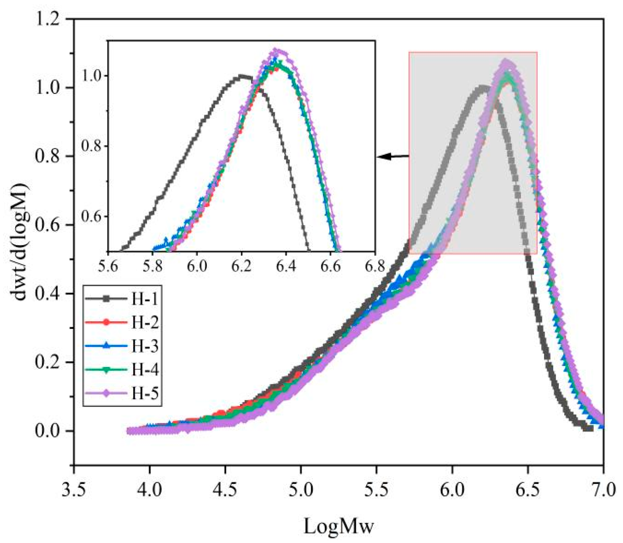
3.2. Molecular Weight Distribution of Natural Rubber
3.3. Vulcanization Characteristics of the Natural Rubber Compound
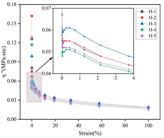
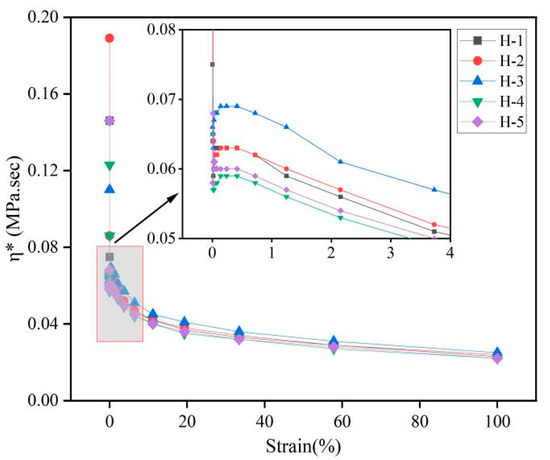
3.4. Processing Properties of the Natural Rubber Compound
3.5. Cross-Link Density of Natural Rubber Vulcanized Rubber
3.6. Physical and Mechanical Properties of Natural Rubber Vulcanized Rubber
3.7. Heat Generation Performance of Natural Rubber Vulcanized Rubber
3.8. Wear Resistance of Natural Rubber Vulcanized Rubber
4. Conclusions
Author Contributions
Funding
Institutional Review Board Statement
Data Availability Statement
Acknowledgments
Conflicts of Interest
References
- Hou, Z.F.; Zhou, D.W.; Chen, Q.; Xin, Z.X. Effect of different silane coupling agents in-situ modified sepiolite on the structure and properties of natural rubber composites prepared by latex compounding method. Polymers 2023, 15, 1620. [Google Scholar] [CrossRef] [PubMed]
- Dominic, M.; Joseph, R.; Begum, P.M.S.; Kanoth, B.P.; Chandra, J.; Thomas, S. Green tire technology: Effect of rice husk derived nanocellulose (RHNC) in replacing carbon black (CB) in natural rubber (NR) compounding. Carbohydr. Polym. 2020, 230, 115620. [Google Scholar] [CrossRef] [PubMed]
- He, S.M.; Zhang, F.Q.; Gu, F.S.; Zhao, T.Q.; Zhao, Y.F.; Liao, L.S.; Liao, X.X. Influence of Clones on Relationship between Natural Rubber and Size of Rubber Particles in Latex. Int. J. Mol. Sci. 2022, 23, 8880. [Google Scholar] [CrossRef] [PubMed]
- de Castro Sant’Anna, I.; Gouvêa, L.R.L.; Martins, M.A.; Scaloppi, E.J., Jr.; de Freitas, R.S.; de Souza Gonçalves, P. Genetic diversity associated with natural rubber quality in elite genotypes of the rubber tree. Sci. Rep. 2021, 11, 1081. [Google Scholar]
- Tang, C.R.; Yang, M.; Fang, Y.J.; Luo, Y.F.; Gao, S.H.; Xiao, X.H.; An, Z.W.; Zhou, B.H.; Zhang, B.; Tan, X.Y.; et al. The rubber tree genome reveals new insights into rubber production and species adaptation. Nat. Plants 2016, 2, 16073. [Google Scholar] [CrossRef]
- Xin, S.C.; Hua, Y.W.; Li, J.; Dai, X.M.; Yang, X.F.; Udayabhanu, J.; Huang, H.S.; Huang, T.D. Comparative analysis of latex transcriptomes reveals the potential mechanisms underlying rubber molecular weight variations between the Hevea brasiliensis clones RRIM600 and Reyan7-33–97. BMC Plant Biol. 2021, 21, 244. [Google Scholar] [CrossRef]
- Siriluck, L.; Karim, C.; Stéphane, D.; Christine, C.; Laurent, V.; Eric, D.; Jérôme, S.B.; Klanarong, S.; Frédéric, B. Mesostructure characterization by asymmetrical flow field-flow fractionation of natural rubber samples from different Hevea brasiliensis genotypes. Ind. Crops Prod. 2017, 109, 936–943. [Google Scholar]
- Saeedi, F.; Naghavi, M.R.; Jariani, M.S. Taraxacum kok-saghyz LE Rodin, as a novel potential source of natural rubber in Iran: A good candidate for commercial use. Iran. Polym. J. 2023, 32, 1257–1269. [Google Scholar] [CrossRef]
- Liengprayoon, S.; Char, C.; Vaysse, L.; Bonfils, F. A clearer understanding of the dynamic structuring of different natural rubber genotypes on a macroscopic and mesoscopic scale by asymmetrical-flow field-flow fractionation (A4F) analysis. Polym. Test. 2024, 140, 108614. [Google Scholar] [CrossRef]
- Adisak, K.; Nussana, L.; Ekwipoo, R.K. Exploring the influence of Hevea brasiliensis clones on the extraordinary properties of natural rubber vulcanizates. Polym. Bull. 2024, 81, 10991–11005. [Google Scholar]
- Yun, D.H.; Peng, W.F.; Lin, H.T.; Liao, J.H.; Liao, L.S. Accelerated Storage Induced Structural Evolution in Natural Rubber: A Comparative Study of Two Constant Viscosity Treatment Methods. Polymers 2025, 17, 960. [Google Scholar] [CrossRef] [PubMed]
- Elodie, N.N.D.; Angel, A.; Silvia, A.I.; Jetro, N.N. Rheological and thermal properties of purified raw natural rubber. J. Rubber Res. 2021, 24, 709–717. [Google Scholar]
- Kitpaosong, C.; Liengprayoon, S.; Durand, E.; Lerksamran, T.; Daval, A.; Gohet, E.; Tiva, L.K.; Chetha, P.; Mengchheang, K.; Phearun, P.; et al. Shedding light on the existence of Furan fatty acids in latex lipids across a wide diversity of Hevea brasiliensis genotypes. J. Bioresour. Bioprod. 2025, 10, 111–122. [Google Scholar] [CrossRef]
- Mo, Y.Y.; Yang, L. Global natural rubber industry situation in 2021and prospect in 2022. China Trop. Agric. 2022, 107, 5–11+53. [Google Scholar]
- Deng, D.Y.; Zhao, T.; Ding, L.; Li, J.W.; Huang, H.H.; Liao, J.H.; Gui, H.X. Effect of enzyme dosage assisted microbial coagulation on properties of natural rubber. China Elastom. 2023, 33, 1–4+39. [Google Scholar]
- NY/T 1403-2007; Evaluation Methods for Natural Rubber. Ministry of Agriculture of the People’s Republic of China: Beijing, China, 2007.
- GB/T 3510-2006; Rubber, Unvulcanized-Determination of Plasticity-Rapid Plastimeter Method. National Standard of the People’s Republic of China: Beijing, China, 2006.
- GB/T 3517-2014; Rubber, Raw Natural. Determination of Plasticity Retention Index (PRI). National Standard of the People’s Republic of China: Beijing, China, 2014.
- GB/T 1232.1-2016; Rubber, Unvulcanized—Determinations Using a Shearing-Disc Viscometer—Part 1: Determination of Mooney Viscosity. National Standard of the People’s Republic of China: Beijing, China, 2016.
- GB/T 528-2009; Rubber, Vulcanized or Thermoplastic-Determination of Tensile Stress-Strain Properties. National Standard of the People’s Republic of China: Beijing, China, 2009.
- GB/T 529-2008; Rubber, Vulcanized or Thermoplastic-Determination of Tear Strength (Trouser, Angle and Crescent Test Pieces). National Standard of the People’s Republic of China: Beijing, China, 2008.
- GB/T 1687.3-2016; Rubber, Vulcanized-Determination of Temperature Rise and Resistance to Fatigue in Flexometer Testing—Part 3: Compression Flexometer (Constant-Strain Type). National Standard of the People’s Republic of China: Beijing, China, 2016.
- GB/T 1689-2014; Rubber Vulcanized-Determination of Abrasion Resistance (Akron Machine). National Standard of the People’s Republic of China: Beijing, China, 2014.
- Nimpaiboon, A.; Sriring, M.; Sakdapipanich, J.T. Molecular structure and storage hardening of natural rubber: Insight into the reactions between hydroxylamine and phospholipids linked to natural rubber molecule. J. Appl. Polym. Sci. 2016, 133, 43753. [Google Scholar] [CrossRef]
- Li, S.D.; Yu, H.P.; Peng, Z.; Zhu, C.S.; Li, P.S. Study on thermal degradation of sol and gel of natural rubber. J. Appl. Polym. Sci. 2000, 75, 1339–1344. [Google Scholar] [CrossRef]
- Ke, D.B.; Wang, B.B.; Lin, H.T.; Zhang, F.Q.; Li, G.R.; Liao, J.H.; Liao, L.S. Effect of coagulation method on fatty acid content and properties of natural rubber. Polym. Mater. Sci. Eng. 2024, 40, 108–117. [Google Scholar]
- Dai, T.; Li, Y.; Huang, H.H.; Ding, L.; Li, J.W.; Geng, H.R.; Song, Y.Z.; Zhao, T.; Zhao, L.G.; Gui, H.X. A study on the preparation of environmentally friendly high-performance natural rubber using the interaction mechanism of alkaline protease and calcium ions. Polymers 2025, 17, 490. [Google Scholar] [CrossRef]
- Jia, P.; Hao, W.; Liu, S.G.; Li, S.; Hu, Y.H.; Feng, F.S.; Wu, J.X. Lanthanum histidine promotes the vulcanization of natural rubber. Chin. Rare Earths 2022, 43, 28–36. [Google Scholar]
- Chen, G.J.; Wang, B.B.; Lin, H.T.; Peng, W.F.; Zhang, F.Q.; Li, G.R.; Ke, D.B.; Liao, J.H.; Liao, L.S. Effect of nonisoprene degradation and naturally occurring network during maturation on the properties of natural rubber. Polymers 2022, 14, 2180. [Google Scholar] [CrossRef] [PubMed]
- Liu, Y.N.; Chen, Y.; Liu, H.C.; Wang, Q.F.; Wang, Y.Z.; Yu, H.P. Effect of the amount of lysozyme on the processing properties of natural rubber. Appl. Chem. Ind. 2017, 46, 611–613+619. [Google Scholar]
- Yu, B.Y.; Lin, H.J.; Xu, T.W.; Huang, R.Y. Establishment of carbon black particle distribution model and its optimized properties of natural rubber composites. Polym. Mater. Sci. Eng. 2023, 39, 97–105. [Google Scholar]
- Chen, G.J.; Wang, B.B.; Lin, H.T.; Zhang, F.Q.; Li, G.R.; Ke, D.B.; Liao, J.H.; Liao, L.S. Effect of structural and component changes on properties of natural rubber during maturation. Polym. Mater. Sci. Eng. 2022, 38, 41–48. [Google Scholar]
- Sarkawi, S.S.; Dierkes, W.K.; Noordermeer, J.W.M. The influence of non-rubber constituents on performance of silica reinforced natural rubber compounds. Eur. Polym. J. 2013, 49, 3199–3209. [Google Scholar] [CrossRef]
- Wang, Z.F.; Luo, W.J.; Fang, L.; Liao, S.Q.; Li, L.F.; Lin, H.; Li, S.D.; He, C.Z. Rheological behavior of raw natural rubber coagulated by microorganisms. Polímeros 2014, 24, 143–148. [Google Scholar] [CrossRef]
- Luo, W.J.; Li, S.D.; Liao, S.Q.; Fang, L.; Wang, Z.F. Characterization of the aging behavior of microorganism coagulated natural rubber. Adv. Mater. Res. 2011, 287, 1517–1520. [Google Scholar]
- Song, M.S.; Wu, S.Z.; Du, X.Y. Study on the rheological behavior for polymer melts and concentrated solutionsII. The material functions with gaussian chain constraints and a new method for determination of their parameters from flow curves. Polym. Mater. Sci. Eng. 1996, 6, 19–25. [Google Scholar]
- Feng, X.Y.; Wang, Y.G.; He, T.C.; Wang, K.; Pan, L.J.; Chen, S.Y.; Yi, Y.; Sun, H.G.; Zheng, Y.F.; Wei, L.; et al. Influence of processing techniques on carbon black dispersion and mechanical performance of polyisoprene-based rubbers. Chem. J. Chin. Univ. 2024, 45, 129–138. [Google Scholar]
- He, S.M.; Zhang, F.Q.; Liu, S.; Cui, H.P.; Chen, S.; Peng, W.F.; Chen, G.J.; Liao, X.X.; Liao, L.S. Influence of sizes of rubber particles in latex on mechanical properties of natural rubber filled with carbon black. Polymer 2022, 261, 125393. [Google Scholar] [CrossRef]
- Wei, Y.C.; Zhu, D.; Xie, W.Y.; Xia, J.H.; He, M.F.; Liao, S.Q. In-situ observation of spatial organization of natural rubber latex particles and exploring the relationship between particle size and mechanical properties of natural rubber. Ind. Crops Prod. 2022, 180, 114737. [Google Scholar] [CrossRef]
- Yang, Z.; Xiong, Y.Z. Research progress of wear resistance of rubber materials. Polym. Bull. 2020, 52, 15–30. [Google Scholar]












| Sample | Variety | Ratio | Coagulation Method | Enzyme Amount (%, w/w) | Microbial Amount (%, w/w) |
|---|---|---|---|---|---|
| H-1 | 73397 | 0 | Acid coagulation | 0 | 0 |
| H-2 | 73397 | 0 | Enzyme-assisted microbial coagulation | 0.05 | 10 |
| H-3 | 107:72059:73397 | 1:1:3 | Enzyme-assisted microbial coagulation | 0.05 | 10 |
| H-4 | 107:72059:73397 | 1:1:2 | Enzyme-assisted microbial coagulation | 0.05 | 10 |
| H-5 | 107:72059:73397 | 1:1:1 | Enzyme-assisted microbial coagulation | 0.05 | 10 |
| Formulation | Raw Rubber | Zinc Oxide | Sulfur | Stearic Acid | Carbon Black | TBBS 1 |
|---|---|---|---|---|---|---|
| Mass, g | 100 | 5.0 | 2.25 | 2.0 | 35.00 | 0.70 |
| Sample | P0 | PRI % | ML(1+4) |
|---|---|---|---|
| H-1 | 39.73 ± 0.61 | 83.7 ± 0.75 | 81.67 ± 0.58 |
| H-2 | 45.43 ± 0.65 | 77.2 ± 0.82 | 95.00 ± 1.00 |
| H-3 | 44.97 ± 0.31 | 77.37 ± 0.4 | 92.00 ± 0.00 |
| H-4 | 46.40 ± 0.53 | 78.5 ± 0.89 | 93.67 ± 0.58 |
| H-5 | 46.30 ± 0.36 | 82.1 ± 0.46 | 92.67 ± 1.53 |
| Sample | ML/dN·m | MH/dN·m | ∆M/dN·m | t10/min | t90/min | CRI/s−1 |
|---|---|---|---|---|---|---|
| H-1 | 2.07 | 14.79 | 12.72 | 2.73 | 9.30 | 0.25 |
| H-2 | 2.43 | 14.72 | 12.29 | 2.90 | 9.35 | 0.26 |
| H-3 | 2.16 | 14.96 | 12.80 | 2.67 | 8.77 | 0.27 |
| H-4 | 2.08 | 14.73 | 12.65 | 2.85 | 9.27 | 0.26 |
| H-5 | 2.45 | 14.95 | 12.50 | 2.92 | 9.35 | 0.26 |
| Sample | Tensile Strength /MPa | 100% Modulus /MPa | 300% Modulus /MPa | 500% Modulus /MPa | Elongation at Break /% | Permanent Set/% | Tear Strength /(kN/m) |
|---|---|---|---|---|---|---|---|
| H-1 | 27.63 ± 0.44 | 1.87 ± 0.02 | 7.70 ± 0.12 | 17.46 ± 1.09 | 667.21 ± 11.92 | 26.67 ± 0.74 | 88.49 ± 1.81 |
| H-2 | 26.52 ± 0.84 | 2.55 ± 0.11 | 7.64 ± 0.14 | 20.6 ± 0.72 | 628.41 ± 14.68 | 26.44 ± 0.45 | 90.05 ± 1.17 |
| H-3 | 27.93 ± 0.41 | 1.82 ± 0.10 | 7.48 ± 0.12 | 17.17 ± 0.32 | 706.67 ± 4.58 | 28.81 ± 0.99 | 93.51 ± 0.85 |
| H-4 | 27.44 ± 0.41 | 1.83 ± 0.08 | 7.44 ± 0.06 | 17.16 ± 0.52 | 660.06 ± 16.67 | 30.31 ± 0.88 | 78.43 ± 0.81 |
| H-5 | 26.92 ± 0.56 | 2.45 ± 0.13 | 10.72 ± 0.85 | 23.63 ± 0.45 | 536.69 ± 14.79 | 28.15 ± 0.8 | 80.13 ± 1.41 |
Disclaimer/Publisher’s Note: The statements, opinions and data contained in all publications are solely those of the individual author(s) and contributor(s) and not of MDPI and/or the editor(s). MDPI and/or the editor(s) disclaim responsibility for any injury to people or property resulting from any ideas, methods, instructions or products referred to in the content. |
© 2025 by the authors. Licensee MDPI, Basel, Switzerland. This article is an open access article distributed under the terms and conditions of the Creative Commons Attribution (CC BY) license (https://creativecommons.org/licenses/by/4.0/).
Share and Cite
Li, J.; Li, Y.; Ding, L.; Huang, H.; Dai, T.; Zhao, L.; Xu, Y.; Wu, F.; Gui, H. The Effect of the Fresh Latex Ratio on the Processing and Dynamic Properties of Bio-Coagulated Natural Rubber. Polymers 2025, 17, 1435. https://doi.org/10.3390/polym17111435
Li J, Li Y, Ding L, Huang H, Dai T, Zhao L, Xu Y, Wu F, Gui H. The Effect of the Fresh Latex Ratio on the Processing and Dynamic Properties of Bio-Coagulated Natural Rubber. Polymers. 2025; 17(11):1435. https://doi.org/10.3390/polym17111435
Chicago/Turabian StyleLi, Jianwei, Yun Li, Li Ding, Honghai Huang, Tuo Dai, Liguang Zhao, Yingguang Xu, Fan Wu, and Hongxing Gui. 2025. "The Effect of the Fresh Latex Ratio on the Processing and Dynamic Properties of Bio-Coagulated Natural Rubber" Polymers 17, no. 11: 1435. https://doi.org/10.3390/polym17111435
APA StyleLi, J., Li, Y., Ding, L., Huang, H., Dai, T., Zhao, L., Xu, Y., Wu, F., & Gui, H. (2025). The Effect of the Fresh Latex Ratio on the Processing and Dynamic Properties of Bio-Coagulated Natural Rubber. Polymers, 17(11), 1435. https://doi.org/10.3390/polym17111435
