Representing Structural Isomer Effects in a Coarse-Grain Model of Poly(Ether Ketone Ketone)
Abstract
1. Introduction
PEKK
2. Models
2.1. United Atom PEKK
2.2. Coarse-Grained PEKK
3. Materials and Methods
3.1. Molecular Dynamics Simulations
3.2. Learning Coarse-Grained Potentials with MSIBI
Measuring Model Success
3.3. Validation
4. Results and Discussion
4.1. United Atom Simulations
4.2. Coarse-Grained Model
Coarse-Grained Potentials
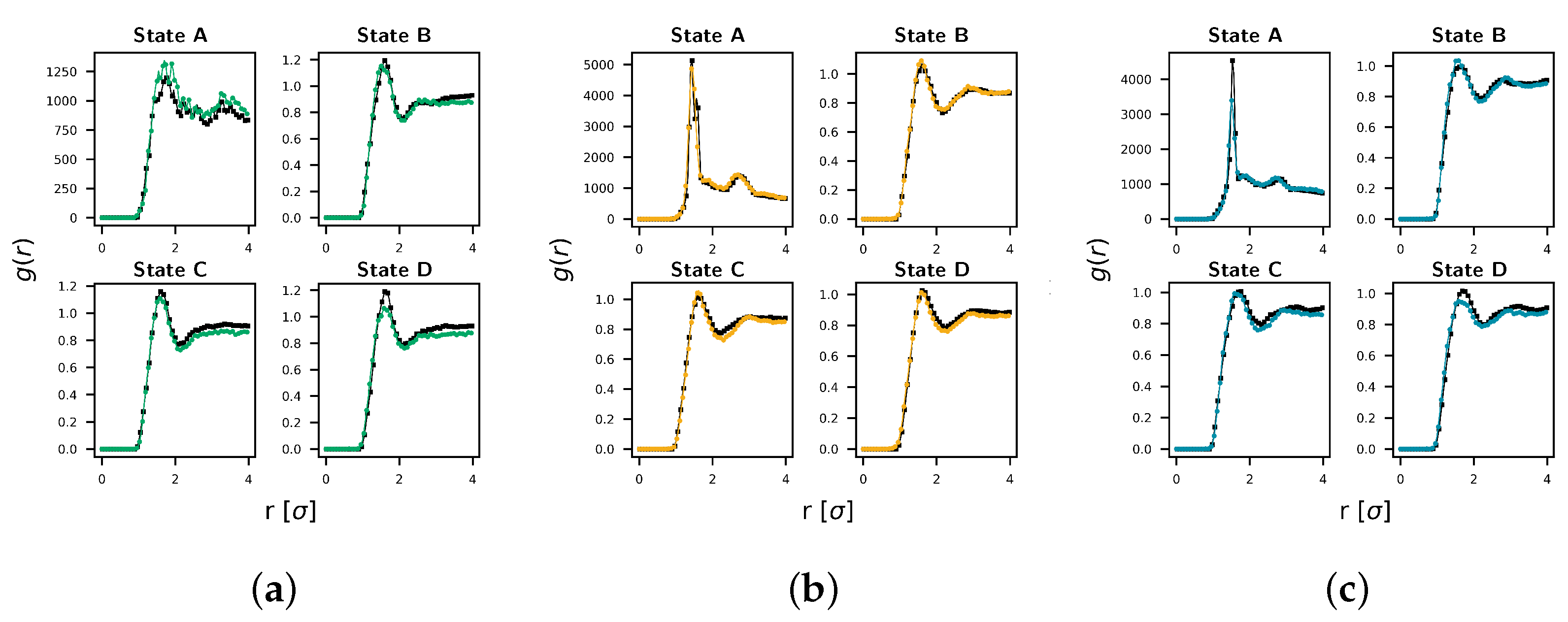
4.3. Coarse-Grained Model Validation
Single-Chain Structure
4.4. Modeling the Effect of T/I Ratios
4.5. Computational Performance
5. Conclusions
Supplementary Materials
Author Contributions
Funding
Institutional Review Board Statement
Data Availability Statement
Conflicts of Interest
Abbreviations
| MD | Molecular dynamics |
| CG | Coarse-grain(ed) |
| UA | United atom |
| IBI | Iterative Boltzmann inversion |
| MSIBI | Multi-state iterative Boltzmann inversion |
| PEKK | Poly(ether ketone ketone) |
| PAEK | Poly-aryl-ether-ketone |
| Mw | Molecular weight |
| MWD | Molecular weight distribution |
| Glass transition temperature | |
| Melting temperature | |
| Self-diffusion coefficient | |
| Boltzmann’s constant | |
| Simulation reduced length unit | |
| Simulation reduced energy unit | |
| E | Coarse-grain bead containing phenyl ring and ether linkage group |
| K | Coarse-grain bead containing phenyl ring and ketone linkage group |
| GAFF | General Amber Forcefield |
| T/I | Ratio of para (T) to meta (I) linkages |
References
- Yao, S.S.; Jin, F.L.; Rhee, K.Y.; Hui, D.; Park, S.J. Recent advances in carbon-fiber-reinforced thermoplastic composites: A review. Compos. Part Eng. 2018, 142, 241–250. [Google Scholar] [CrossRef]
- Avenet, J.; Cender, T.A.; Corre, S.L.; Bailleul, J.L.; Levy, A. Adhesion of High Temperature Thermoplastic Composites. Procedia Manuf. 2020, 47, 925–932. [Google Scholar] [CrossRef]
- Doll, G. Thermoplastic composites technologies for future aircraft structures. In Proceedings of the Vehicles of Tomorrow 2019; Liebl, J., Ed.; Springer: Wiesbaden, Germany, 2021; pp. 129–138. [Google Scholar]
- Barroeta Robles, J.; Dubé, M.; Hubert, P.; Yousefpour, A. Repair of thermoplastic composites: An overview. Adv. Manuf. Polym. Compos. Sci. 2022, 8, 68–96. [Google Scholar] [CrossRef]
- Ghanbari, L.N.; Crater, E.R.; Enos, N.R.; McNair, O.D.; Moore, R.B.; Wiggins, J.S. Polyphenylene sulfide for high-rate composite manufacturing: Impacts of processing parameters on chain architecture, rheology, and crystallinity. Polym. Degrad. Stab. 2023, 218, 110580. [Google Scholar] [CrossRef]
- Barile, M.; Lecce, L.; Iannone, M.; Pappadà, S.; Roberti, P. Thermoplastic Composites for Aerospace Applications. In Revolutionizing Aircraft Materials and Processes; Pantelakis, S., Tserpes, K., Eds.; Springer International Publishing: Cham, Switzerland, 2020; pp. 87–114. [Google Scholar] [CrossRef]
- Gardiner, G. Welding Is Not Bonding. 2023. Available online: https://www.compositesworld.com/articles/welding-is-not-bonding (accessed on 2 April 2024).
- Ge, T.; Pierce, F.; Perahia, D.; Grest, G.S.; Robbins, M.O. Molecular dynamics simulations of polymer welding: Strength from interfacial entanglements. Phys. Rev. Lett. 2013, 110, 1–5. [Google Scholar] [CrossRef]
- Alfonso, G.C.; Russell, T.P. Kinetics of crystallization in semicrystalline/amorphous polymer mixtures. Macromolecules 1986, 19, 1143–1152. [Google Scholar] [CrossRef]
- Basire, C.; Ivanov, D.A. Evolution of the Lamellar Structure during Crystallization of a Semicrystalline-Amorphous Polymer Blend: Time-Resolved Hot-Stage SPM Study. Phys. Rev. Lett. 2000, 85, 5587–5590. [Google Scholar] [CrossRef]
- Choupin, T.; Fayolle, B.; Régnier, G.; Paris, C.; Cinquin, J.; Brulé, B. Isothermal crystallization kinetic modeling of poly(etherketoneketone) (PEKK) copolymer. Polymer 2017, 111, 73–82. [Google Scholar] [CrossRef]
- Pérez-Martín, H.; Mackenzie, P.; Baidak, A.; Ó Brádaigh, C.M.; Ray, D. Crystallinity studies of PEKK and carbon fibre/PEKK composites: A review. Compos. Part Eng. 2021, 223, 109127. [Google Scholar] [CrossRef]
- Wan, S.; Sinclair, R.C.; Coveney, P.V. Uncertainty quantification in classical molecular dynamics. Philos. Trans. R. Soc. Math. Phys. Eng. Sci. 2021, 379, 20200082. [Google Scholar] [CrossRef]
- Joshi, S.Y.; Deshmukh, S.A. A review of advancements in coarse-grained molecular dynamics simulations. Mol. Simul. 2021, 47, 786–803. [Google Scholar] [CrossRef]
- Ge, T.; Grest, G.S.; Robbins, M.O. Structure and Strength at Immiscible Polymer Interfaces. ACS Macro Lett. 2013, 2, 882–886. [Google Scholar] [CrossRef] [PubMed]
- Ge, T.; Grest, G.S.; Robbins, M.O. Tensile Fracture of Welded Polymer Interfaces: Miscibility, Entanglements, and Crazing. Macromolecules 2014, 47, 6982–6989. [Google Scholar] [CrossRef]
- Thomas, S.; Alberts, M.; Henry, M.M.; Estridge, C.E.; Jankowski, E. Routine million-particle simulations of epoxy curing with dissipative particle dynamics. J. Theor. Comput. Chem. 2018, 17, 1840005. [Google Scholar] [CrossRef]
- Thomas, S. New Methods for Understanding and Controlling the Self-Assembly of Reacting Systems Using Coarse-Grained Molecular Dynamics. Ph.D. Thesis, Boise State University, Boise, ID, USA, 2018. [Google Scholar] [CrossRef]
- Edwards, S.F. Statistical mechanics with topological constraints: I. Proc. Phys. Soc. 1967, 91, 513–519. [Google Scholar] [CrossRef]
- De Gennes, P.G. Reptation of a Polymer Chain in the Presence of Fixed Obstacles. J. Chem. Phys. 1971, 55, 572–579. [Google Scholar] [CrossRef]
- Padding, J.T.; Briels, W.J. Time and length scales of polymer melts studied by coarse-grained molecular dynamics simulations. J. Chem. Phys. 2002, 117, 925–943. [Google Scholar] [CrossRef]
- Gartner, T.E.; Jayaraman, A. Modeling and Simulations of Polymers: A Roadmap. Macromolecules 2019, 52, 755–786. [Google Scholar] [CrossRef]
- Dhamankar, S.; Webb, M.A. Chemically specific coarse-graining of polymers: Methods and prospects. J. Polym. Sci. 2021, 59, 2613–2643. [Google Scholar] [CrossRef]
- Izvekov, S.; Voth, G.A. Multiscale coarse graining of liquid-state systems. J. Chem. Phys. 2005, 123, 134105. [Google Scholar] [CrossRef]
- Hynninen, A.P.; Matthews, J.F.; Beckham, G.T.; Crowley, M.F.; Nimlos, M.R. Coarse-Grain Model for Glucose, Cellobiose, and Cellotetraose in Water. J. Chem. Theory Comput. 2011, 7, 2137–2150. [Google Scholar] [CrossRef] [PubMed]
- Shell, M.S. The relative entropy is fundamental to multiscale and inverse thermodynamic problems. J. Chem. Phys. 2008, 129, 144108. [Google Scholar] [CrossRef] [PubMed]
- Chaimovich, A.; Shell, M.S. Coarse-graining errors and numerical optimization using a relative entropy framework. J. Chem. Phys. 2011, 134, 094112. [Google Scholar] [CrossRef] [PubMed]
- Reith, D.; Pütz, M.; Müller-Plathe, F. Deriving effective mesoscale potentials from atomistic simulations: Mesoscale Potentials from Atomistic Simulations. J. Comput. Chem. 2003, 24, 1624–1636. [Google Scholar] [CrossRef] [PubMed]
- Tscho, W.; Kremer, K.; Batoulis, J.; Bu, T.; Hahn, O.; Ju, F.; Alto, P. Simulation of polymer melts. I. Coarse-graining procedure for polycarbonates. Acta Polym. 1998, 49, 61–74, ISBN: 4961313793. [Google Scholar] [CrossRef]
- Peters, B.L.; Salerno, K.M.; Agrawal, A.; Perahia, D.; Grest, G.S. Coarse-Grained Modeling of Polyethylene Melts: Effect on Dynamics. J. Chem. Theory Comput. 2017, 13, 2890–2896. [Google Scholar] [CrossRef]
- Milano, G.; Müller-Plathe, F. Mapping Atomistic Simulations to Mesoscopic Models: A Systematic Coarse-Graining Procedure for Vinyl Polymer Chains. J. Phys. Chem. 2005, 109, 18609–18619. [Google Scholar] [CrossRef]
- León, S.; Vegt, N.V.D.; Site, L.D.; Kremer, K. Bisphenol a polycarbonate: Entanglement analysis from coarse-grained MD simulations. Macromolecules 2005, 38, 8078–8092. [Google Scholar] [CrossRef]
- Zhang, X.Z.; Lu, Z.Y.; Qian, H.J. Temperature Transferable and Thermodynamically Consistent Coarse-Grained Model for Binary Polymer Systems. Macromolecules 2023, 56, 3739–3753. [Google Scholar] [CrossRef]
- Moore, T.C.; Iacovella, C.R.; McCabe, C. Derivation of coarse-grained potentials via multistate iterative Boltzmann inversion. J. Chem. Phys. 2014, 140, 224104. [Google Scholar] [CrossRef]
- Moore, T.C.; Iacovella, C.R.; McCabe, C. Development of a Coarse-Grained Water Forcefield via Multistate Iterative Boltzmann Inversion. In Foundations of Molecular Modeling and Simulation: Select Papers from FOMMS 2015; Springer: Singapore, 2016; pp. 37–52. [Google Scholar] [CrossRef]
- Moore, T.C.; Iacovella, C.R.; Hartkamp, R.; Bunge, A.L.; McCabe, C. A Coarse-Grained Model of Stratum Corneum Lipids: Free Fatty Acids and Ceramide NS. J. Phys. Chem. 2016, 120, 9944–9958. [Google Scholar] [CrossRef] [PubMed]
- Moore, T.C.; Iacovella, C.R.; Leonhard, A.C.; Bunge, A.L.; McCabe, C. Molecular dynamics simulations of stratum corneum lipid mixtures: A multiscale perspective. Biochem. Biophys. Res. Commun. 2018, 498, 313–318. [Google Scholar] [CrossRef] [PubMed]
- Shamaprasad, P.; Moore, T.C.; Xia, D.; Iacovella, C.R.; Bunge, A.L.; MCabe, C. Multiscale Simulation of Ternary Stratum Corneum Lipid Mixtures: Effects of Cholesterol Composition. Langmuir 2022, 38, 7496–7511. [Google Scholar] [CrossRef]
- Quiroga Cortés, L.; Caussé, N.; Dantras, E.; Lonjon, A.; Lacabanne, C. Morphology and dynamical mechanical properties of poly ether ketone ketone (PEKK) with meta phenyl links. J. Appl. Polym. Sci. 2016, 133, 1–10. [Google Scholar] [CrossRef]
- Choupin, T.; Fayolle, B.; Paris, C.; Cinquin, J.; Innovations, A.G.; Departement, C.M.; Rilsan, R. Mechanical Performances of Pekk Composite. In Proceedings of the 21st International Conference on Composite Materials, Xi’an, China, 20–25 August 2017; pp. 20–25. [Google Scholar]
- Gardner, K.H.; Hsiao, B.S.; Matheson, R.R.; Wood, B.A. Structure, crystallization and morphology of poly(aryl ether ketone ketone). Polymer 1992, 33, 2483–2495. [Google Scholar] [CrossRef]
- Li, C.; Strachan, A. Prediction of PEKK properties related to crystallization by molecular dynamics simulations with a united-atom model. Polymer 2019, 174, 25–32. [Google Scholar] [CrossRef]
- White, K.L.; Jin, L.; Ferrer, N.; Wong, M.; Bremner, T.; Sue, H. Rheological and thermal behaviors of commercial poly(aryletherketone)s. Polym. Eng. Sci. 2013, 53, 651–661. [Google Scholar] [CrossRef]
- Bonmatin, M.; Chabert, F.; Bernhart, G.; Djilali, T. Rheological and crystallization behaviors of low processing temperature poly(aryl ether ketone). J. Appl. Polym. Sci. 2021, 138, 51402. [Google Scholar] [CrossRef]
- Croshaw, C.; Hamernik, L.; Ghanbari, L.; Browning, A.; Wiggins, J. Melt-state degradation mechanism of poly (ether ketone ketone): The role of branching on crystallization and rheological behavior. Polym. Degrad. Stab. 2022, 200, 109968. [Google Scholar] [CrossRef]
- Jorgensen, W.L.; Tirado-Rives, J. The OPLS [optimized potentials for liquid simulations] potential functions for proteins, energy minimizations for crystals of cyclic peptides and crambin. J. Am. Chem. Soc. 1988, 110, 1657–1666. [Google Scholar] [CrossRef]
- Lennard-Jones, J. The electronic structure of some diatomic molecules. Trans. Faraday Soc. 1929, 25, 668–686. [Google Scholar] [CrossRef]
- Wang, J.; Wolf, R.M.; Caldwell, J.W.; Kollman, P.A.; Case, D.A. Development and testing of a general amber force field. J. Comput. Chem. 2004, 25, 1157–1174. [Google Scholar] [CrossRef]
- Chattaraj, S.; Basu, S. Coarse-graining strategies for predicting properties of closely related polymer architectures: A case study of PEEK and PEKK. J. Mater. Res. 2021, 37, 1–12. [Google Scholar] [CrossRef]
- Anderson, J.A.; Glaser, J.; Glotzer, S.C. HOOMD-blue: A Python package for high-performance molecular dynamics and hard particle Monte Carlo simulations. Comput. Mater. Sci. 2020, 173, 109363. [Google Scholar] [CrossRef]
- Adorf, C.S.; Dodd, P.M.; Ramasubramani, V.; Glotzer, S.C. Simple data and workflow management with the signac framework. Comput. Mater. Sci. 2018, 146, 220–229. [Google Scholar] [CrossRef]
- Martyna, G.J.; Tobias, D.J.; Klein, M.L. Constant pressure molecular dynamics algorithms. J. Chem. Phys. 1994, 101, 4177–4189. [Google Scholar] [CrossRef]
- Cao, J.; Martyna, G.J. Adiabatic path integral molecular dynamics methods. II. Algorithms. J. Chem. Phys. 1996, 104, 2028–2035. [Google Scholar] [CrossRef]
- Klein, C.; Sallai, J.; Jones, T.J.; Iacovella, C.R.; McCabe, C.; Cummings, P.T. A Hierarchical, Component Based Approach to Screening Properties of Soft Matter. In Foundations of Molecular Modeling and Simulation; Snurr, R.Q., Adjiman, C.S., Kofke, D.A., Eds.; Springer: Singapore, 2016; pp. 79–92. [Google Scholar] [CrossRef]
- Klein, C.; Summers, A.Z.; Thompson, M.W.; Gilmer, J.B.; McCabe, C.; Cummings, P.T.; Sallai, J.; Iacovella, C.R. Formalizing atom-typing and the dissemination of force fields with foyer. Comput. Mater. Sci. 2019, 167, 215–227. [Google Scholar] [CrossRef]
- Jakalian, A.; Jack, D.B.; Bayly, C.I. Fast, efficient generation of high-quality atomic charges. AM1-BCC model: II. Parameterization and validation. J. Comput. Chem. 2002, 23, 1623–1641. [Google Scholar] [CrossRef]
- LeBard, D.N.; Levine, B.G.; Mertmann, P.; Barr, S.A.; Jusufi, A.; Sanders, S.; Klein, M.L.; Panagiotopoulos, A.Z. Self-assembly of coarse-grained ionic surfactants accelerated by graphics processing units. Soft Matter 2012, 8, 2385–2397. [Google Scholar] [CrossRef]
- Reith, D.; Meyer, H.; Müller-Plathe, F. Mapping atomistic to coarse-grained polymer models using automatic simplex optimization to fit structural properties. Macromolecules 2001, 34, 2335–2345. [Google Scholar] [CrossRef]
- Hsu, D.D.; Xia, W.; Arturo, S.G.; Keten, S. Thermomechanically consistent and temperature transferable coarse-graining of atactic polystyrene. Macromolecules 2015, 48, 3057–3068. [Google Scholar] [CrossRef]
- Gowers, R.; Linke, M.; Barnoud, J.; Reddy, T.; Melo, M.; Seyler, S.; Domański, J.; Dotson, D.; Buchoux, S.; Kenney, I.; et al. MDAnalysis: A Python Package for the Rapid Analysis of Molecular Dynamics Simulations; Los Alamos National Laboratory: Austin, TX, USA, 2016; pp. 98–105. [CrossRef]
- Michaud-Agrawal, N.; Denning, E.J.; Woolf, T.B.; Beckstein, O. MDAnalysis: A toolkit for the analysis of molecular dynamics simulations. J. Comput. Chem. 2011, 32, 2319–2327. [Google Scholar] [CrossRef]
- Ramasubramani, V.; Dice, B.D.; Harper, E.S.; Spellings, M.P.; Anderson, J.A.; Glotzer, S.C. freud: A software suite for high throughput analysis of particle simulation data. Comput. Phys. Commun. 2020, 254, 107275. [Google Scholar] [CrossRef]
- Takeuchi, H.; Roe, R.J. Molecular dynamics simulation of local chain motion in bulk amorphous polymers. II. Dynamics at glass transition. J. Chem. Phys. 1991, 94, 7458–7465. [Google Scholar] [CrossRef]
- Roe, R.J. MD simulation study of glass transition and short time dynamics in polymer liquids. In Atomistic Modeling of Physical Properties; Monnerie, L., Suter, U.W., Eds.; Advances in Polymer Science; Springer: Berlin/Heidelberg, Germany, 1994; Volume 116, pp. 111–144. [Google Scholar] [CrossRef]
- Dudowicz, J.; Freed, K.F.; Douglas, J.F. The Glass Transition Temperature of Polymer Melts. J. Phys. Chem. 2005, 109, 21285–21292. [Google Scholar] [CrossRef]
- Patrone, P.N.; Dienstfrey, A.; Browning, A.R.; Tucker, S.; Christensen, S. Uncertainty quantification in molecular dynamics studies of the glass transition temperature. Polymer 2016, 87, 246–259. [Google Scholar] [CrossRef]
- Mohammadi, M.; Fazli, H.; Karevan, M.; Davoodi, J. The glass transition temperature of PMMA: A molecular dynamics study and comparison of various determination methods. Eur. Polym. J. 2017, 91, 121–133. [Google Scholar] [CrossRef]
- Fu, C.C.; Kulkarni, P.M.; Scott Shell, M.; Gary Leal, L. A test of systematic coarse-graining of molecular dynamics simulations: Thermodynamic properties. J. Chem. Phys. 2012, 137, 164106. [Google Scholar] [CrossRef]
- Carbone, P.; Varzaneh, H.A.K.; Chen, X.; Müller-Plathe, F. Transferability of coarse-grained force fields: The polymer case. J. Chem. Phys. 2008, 128, 064904. [Google Scholar] [CrossRef]
- Henry, M.M.; Thomas, S.; Alberts, M.; Estridge, C.E.; Farmer, B.; McNair, O.; Jankowski, E. General-Purpose Coarse-Grained Toughened Thermoset Model for 44DDS/DGEBA/PES. Polymers 2020, 12, 2547. [Google Scholar] [CrossRef] [PubMed]
- Bunn, C.W. The melting points of chain polymers. J. Polym. Sci. Part Polym. Phys. 1996, 34, 799–819. [Google Scholar] [CrossRef]
- Ohzono, T.; Katoh, K.; Minamikawa, H.; Saed, M.O.; Terentjev, E.M. Internal constraints and arrested relaxation in main-chain nematic elastomers. Nat. Commun. 2021, 12, 787. [Google Scholar] [CrossRef] [PubMed]
- Hotta, A.; Terentjev, E.M. Long-time stress relaxation in polyacrylate nematic liquid crystalline elastomers. J. Phys. Condens. Matter 2001, 13, 11453–11464. [Google Scholar] [CrossRef]
- Sigaud, G.; Yoon, D.Y.; Griffin, A.C. Order in nematic phase of semiflexible polymers. Macromolecules 1983, 16, 875–880. [Google Scholar] [CrossRef]
- Hu, W.; Frenkel, D. Polymer Crystallization Driven by Anisotropic Interactions. In Interphases and Mesophases in Polymer Crystallization III; Allegra, G., Ed.; Advances in Polymer Science; Springer: Berlin/Heidelberg, Germany, 2005; Volume 191, pp. 1–35. [Google Scholar] [CrossRef]
- Choudhury, C.K.; Carbone, P.; Roy, S. Scalability of Coarse-Grained Potentials Generated from Iterative Boltzmann Inversion for Polymers: Case Study on Polycarbonates. Macromol. Theory Simul. 2016, 25, 274–286. [Google Scholar] [CrossRef]
- Tencé-Girault, S.; Quibel, J.; Cherri, A.; Roland, S.; Fayolle, B.; Bizet, S.; Iliopoulos, I. Quantitative Structural Study of Cold-Crystallized PEKK. ACS Appl. Polym. Mater. 2021, 3, 1795–1808. [Google Scholar] [CrossRef]
- Vettorel, T.; Meyer, H. Coarse graining of short polythylene chains for studying polymer crystallization. J. Chem. Theory Comput. 2006, 2, 616–629. [Google Scholar] [CrossRef]
- Bulacu, M.; van der Giessen, E. Molecular-dynamics simulation study of the glass transition in amorphous polymers with controlled chain stiffness. Phys. Rev. 2007, 76, 011807. [Google Scholar] [CrossRef]
- Sullivan, G.M.; Feinn, R. Using Effect Size—Or Why the P Value Is Not Enough. J. Grad. Med. Educ. 2012, 4, 279–282. [Google Scholar] [CrossRef]











| Interaction | Group |
|---|---|
| Bonds | E-K, K-K |
| Angles | E−K−K, K−E−K |
| Dihedrals | E−K−K-E, K−E−K−K |
| Pairs | E-E, K-K, E-K |
| State | Temperature °C | Density |
|---|---|---|
| A | 414 | 0.0003 |
| B | 255 | 1.27 |
| C | 255 | 1.35 |
| D | 414 | 1.27 |
| CG Potential | Parameters |
|---|---|
Disclaimer/Publisher’s Note: The statements, opinions and data contained in all publications are solely those of the individual author(s) and contributor(s) and not of MDPI and/or the editor(s). MDPI and/or the editor(s) disclaim responsibility for any injury to people or property resulting from any ideas, methods, instructions or products referred to in the content. |
© 2025 by the authors. Licensee MDPI, Basel, Switzerland. This article is an open access article distributed under the terms and conditions of the Creative Commons Attribution (CC BY) license (https://creativecommons.org/licenses/by/4.0/).
Share and Cite
Jones, C.D.; Fothergill, J.W.; Barrett, R.; Ghanbari, L.N.; Enos, N.R.; McNair, O.; Wiggins, J.; Jankowski, E. Representing Structural Isomer Effects in a Coarse-Grain Model of Poly(Ether Ketone Ketone). Polymers 2025, 17, 117. https://doi.org/10.3390/polym17010117
Jones CD, Fothergill JW, Barrett R, Ghanbari LN, Enos NR, McNair O, Wiggins J, Jankowski E. Representing Structural Isomer Effects in a Coarse-Grain Model of Poly(Ether Ketone Ketone). Polymers. 2025; 17(1):117. https://doi.org/10.3390/polym17010117
Chicago/Turabian StyleJones, Chris D., Jenny W. Fothergill, Rainier Barrett, Lina N. Ghanbari, Nicholas R. Enos, Olivia McNair, Jeffrey Wiggins, and Eric Jankowski. 2025. "Representing Structural Isomer Effects in a Coarse-Grain Model of Poly(Ether Ketone Ketone)" Polymers 17, no. 1: 117. https://doi.org/10.3390/polym17010117
APA StyleJones, C. D., Fothergill, J. W., Barrett, R., Ghanbari, L. N., Enos, N. R., McNair, O., Wiggins, J., & Jankowski, E. (2025). Representing Structural Isomer Effects in a Coarse-Grain Model of Poly(Ether Ketone Ketone). Polymers, 17(1), 117. https://doi.org/10.3390/polym17010117

