Coating Extrusion Characteristics of Thin-Walled Tubes for Catheters Using Thermoplastic Elastomer
Abstract
1. Introduction
2. Experimental Methods
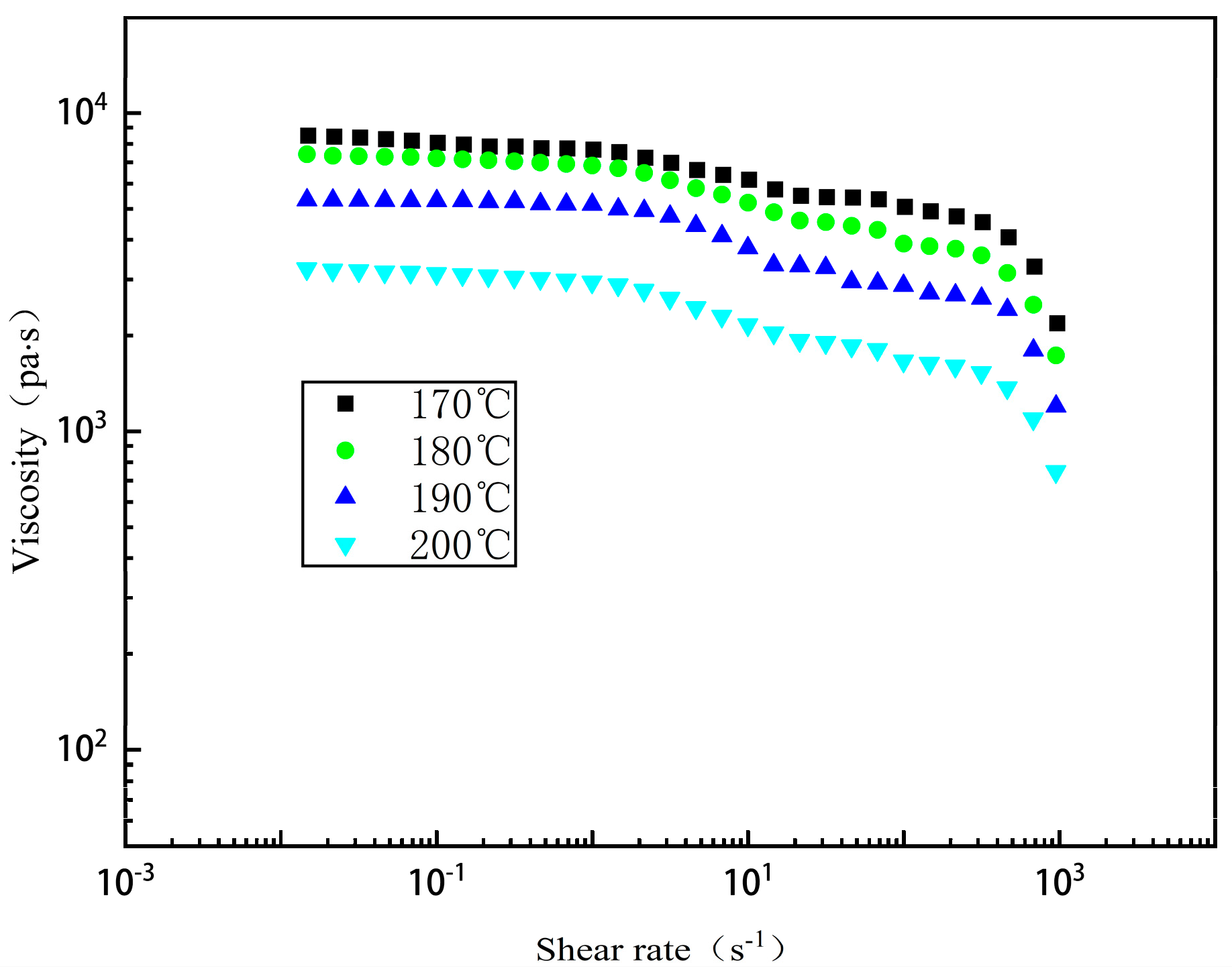
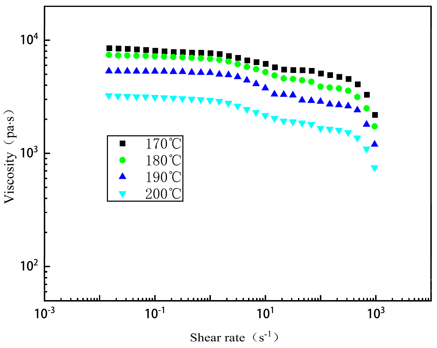
2.1. Material Rheology Experiment
2.2. Finite Element Modeling
2.2.1. Engineering Assumptions
2.2.2. Boundary Condition
3. Results and Discussions
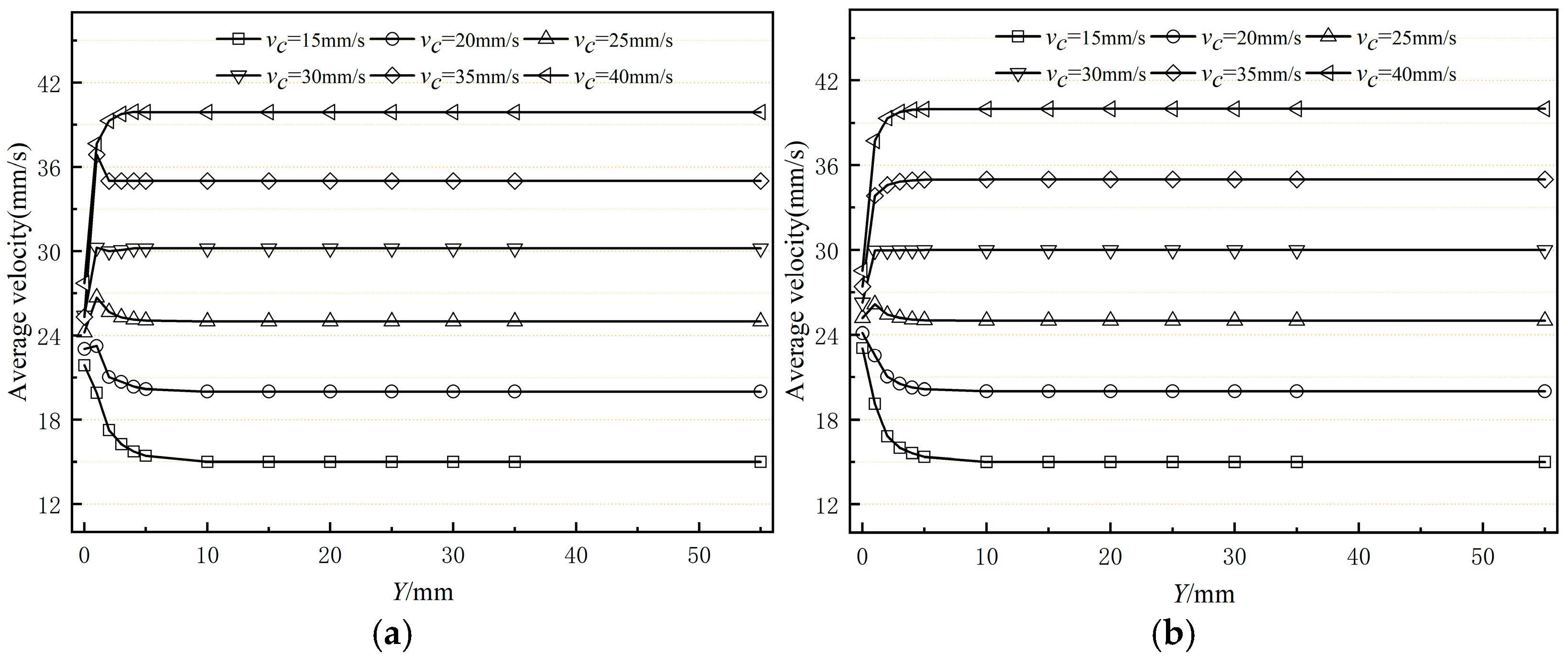
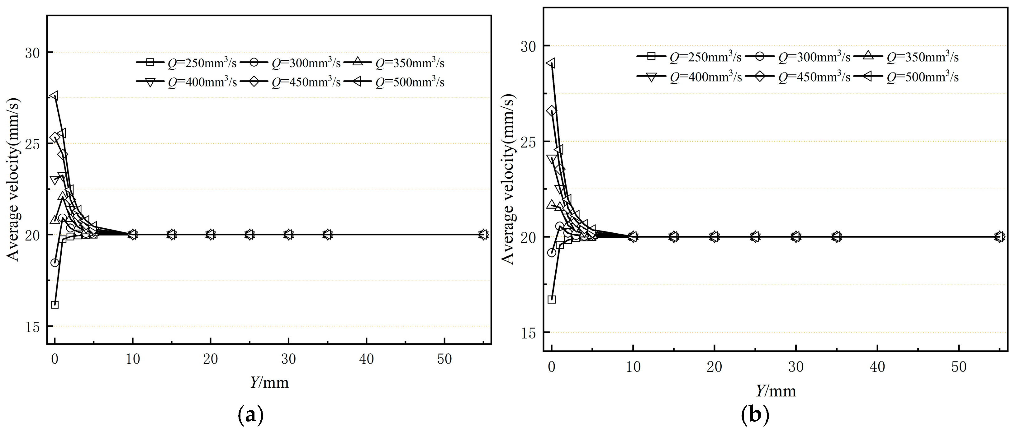
3.1. Velocity and Pressure Field Analysis
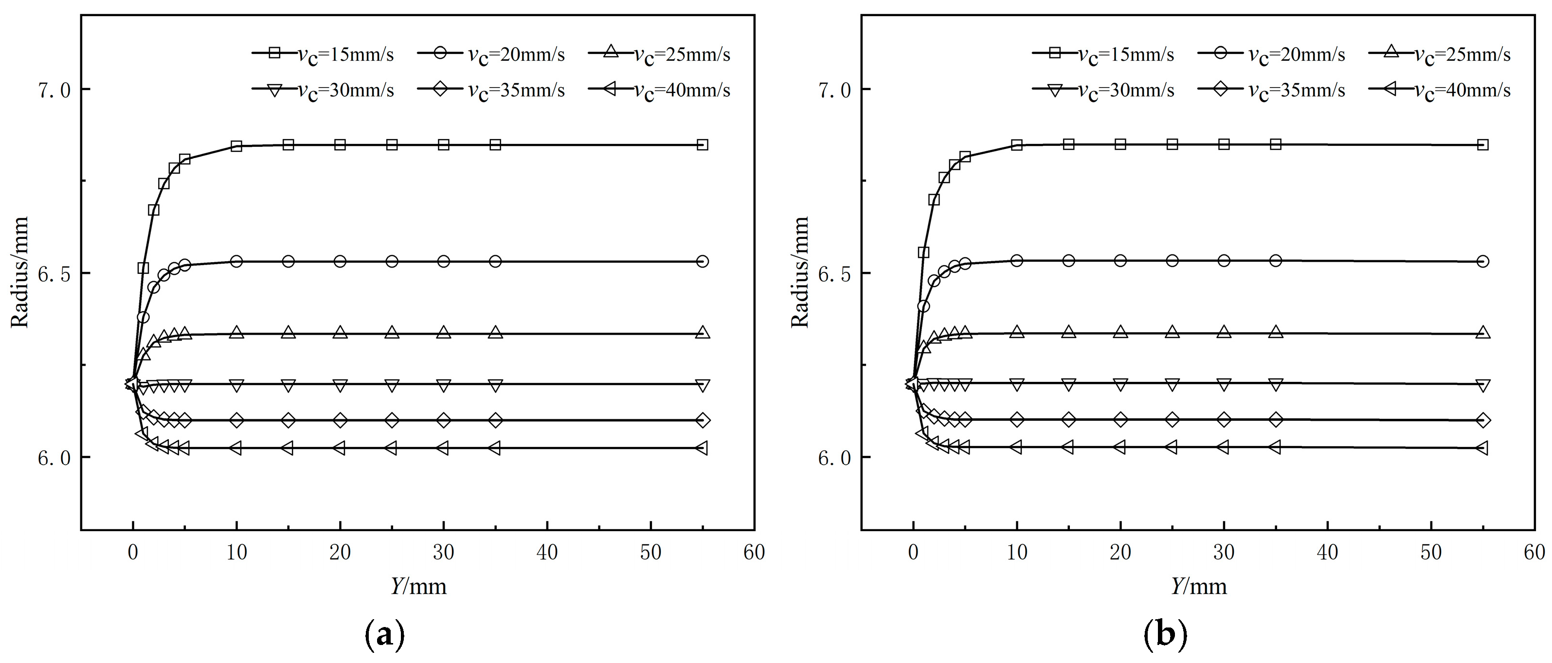
3.2. Analysis of Change in Outer Diameter of Coating Layer
3.3. Stability Analysis of Coating Flow Field
3.4. Pressure Drop Analysis
3.5. Section Design and Manufacture of the Die
4. Coating Extrusion Experiments
4.1. Experimental Material and Method
4.2. Setting of Experimental Parameters
4.3. Experimental Methodology Steps
4.4. Experimental Results
5. Conclusions
- Whether or not the shaping section of coating extrusion is set up, the size of the coating layer and the homogeneity of the flow field in coating extrusion exhibit similar changes in response to variations in process parameters such as braided pipe haul-off speed, melt inlet flow rate, and mouth mold temperature. Unlike previous studies on conventional extrusion, the extrusion expansion in coating extrusion with a shaping section is almost identical in appearance to that without a shaping section. In coating extrusion, the presence of a shaping section does not reduce or eliminate the extrusion expansion.
 - Compared with the coating extrusion with a shaping section, the coating extrusion without a shaping section can reduce the pressure drop of the die and reduce energy consumption. In actual production, due to the thin-wall requirement of the coating layer, the core die and the mouth die formed by the cross-section of the straight section of the flow channel gap area are small and the material melt in the shaping section of the pressure is too large, resulting in a large extruder overload, high die pressure, and material melt reflux, so the amorphous section of the package extrusion has more advantages than the qualitative section of the package extrusion.
 
Author Contributions
Funding
Institutional Review Board Statement
Data Availability Statement
Conflicts of Interest
References
- Bao, Y.; Qi, D.; Wei, W.; Wang, Y.; Zhao, Y. Research progress of medical endoscope device. J. Harbin Univ. Sci. Technol. 2021, 26, 25–33. [Google Scholar] [CrossRef]
 - Tao, J.S. Cable sheath extrusion methods and extrusion tools design. Opt. Fiber Electr. Cable Their Appl. 2008, 16–18. [Google Scholar] [CrossRef]
 - Gou, C. Numerical Analysis and Optimization of Extrusion Flow Field for Double-Layer Wire Wrapping. Ph.D. Thesis, Qingdao University of Science and Technology, Qingdao, China, 2022. [Google Scholar] [CrossRef]
 - Gouran, S. Numerical investigation on heat transfer characteristics of the viscoelastic fluid flow during wire coating process. Results Eng. 2024, 21, 101783. [Google Scholar] [CrossRef]
 - Poungthong, P.; Saengow, C.; Giacomin, A.J.; Kolitawong, C. Wire coating and melt elasticity. Phys. Fluids 2024, 36, 057133. [Google Scholar] [CrossRef]
 - Zhang, G.; Huang, X. Analytical solution of flow balance coefficient at the outlet of slit-combined channel in polymer extrusion process. J. Mech. Eng. 2023, 59, 142–150. [Google Scholar] [CrossRef]
 - Javed, M.A.; Al-Khaled, K.; Ghaffari, A.; Khan, K.A. Numerical and analytical study of heat transfer in the wire coating process using Carreau–Yasuda fluid model. Numer. Heat Transf. Part A Appl. 2023, 1–20. [Google Scholar] [CrossRef]
 - Chen, P.Y. Optimization design of totally coated co-extrusion mold for plastic profile door and window. Eng. Plast. Appl. 2016, 44, 94–97. [Google Scholar]
 - Yin, H.; Huang, X.; Liu, H.; Liu, T.; Luo, C.; Wang, D. Viscoelastic Numerical Simulation of Gas-Assisted Extrusion Processof Cable Cladding. Polym. Mater. Sci. Eng. 2021, 37, 114–122. [Google Scholar] [CrossRef]
 - Cho, S.; Lee, E.; Jo, S.; Kim, G.M.; Kim, W. Extrusion Characteristics of Thin Walled Tubes for Catheters Using Thermoplastic Elastomer. Polymers 2020, 12, 1628. [Google Scholar] [CrossRef] [PubMed]
 - Ahmad, M.N.; Ishak, M.R.; Hannah, M.Z.Z. The effect of fused deposition modeling parameters (FDM) on the mechanical properties of polylactic acid (PLA) printed parts. J. Adv. Res. Appl. Mech. 2024, 123, 238–246. [Google Scholar] [CrossRef]
 - Ahmad, M.N.; Ishak, M.R.; Taha, M.M.; Mustapha, F.; Leman, Z. Finite element analysis of oil palm fiber reinforced thermoplastic composites for fused deposition modeling. Mater. Today Proc. 2023, 74, 509–512. [Google Scholar] [CrossRef]
 - Zhao, D.Y.; Wang, M.J.; Li, K.; Song, M.C.; Jin, Y.F. Flow uniformity of polymer micro extrusion processing. Polym. Mater. Sci. Eng. 2010, 26, 159–162. [Google Scholar] [CrossRef]
 - Shah, R.A.; Islam, S.; Siddiqui, A.M.; Haroon, T. Heat transfer by laminar flow of an elastico-viscous fluid in posttreatment analysis of wire coating with linearly varying temperature along the coated wire. Heat Mass Transf. 2012, 48, 903–914. [Google Scholar] [CrossRef]
 - Zeeshan Mohamed, A.; Khan, I.; Khan, M.S.; Yassen, M.F.; Attaullah. Wire coating analysis using Phan–Thien–Tanner fluid subject to Lorentz force as a polymer coating material in a canonical covering die. Sci. Prog. 2023, 106, 00368504231172617. [Google Scholar] [CrossRef]
 - Jin, G.B.; Wang, M.J.; Zhao, D.Y.; Tian, H.Q.; Jin, Y.F. Design and experiments of extrusion die for polypropylene five-lumen micro tube. J. Mater. Process. Technol. 2014, 214, 50–59. [Google Scholar] [CrossRef]
 - Yin, H.; Huang, X.; Liu, T.; Song, M. Effects of gas-assisted extrusion on slip in the cable coating process. J. Polym. Eng. 2021, 41, 329–337. [Google Scholar] [CrossRef]
 - Srikantha, N.; Hegde, S. Numerical investigation of heat and mass transfer of the Sisko fluid in a wire-coating process with variable fluid properties. Phys. Scr. 2023, 98, 105221. [Google Scholar] [CrossRef]
 - Sadeghi, F.; Rodriguez, J.L.; Bonsignore, C. Structure and mechanical properties of a multilayer biomedical shaft tubing: Effect of layer composition. J. Polym. Eng. 2022, 42, 323–330. [Google Scholar] [CrossRef]
 - Tang, D.; Marchesini, F.H.; Cardon, L.; D’hooge, D.R. State of the-art for extrudate swell of molten polymers: From fundamental understanding at molecular scale toward optimal die design at final product scale. Macromol. Mater. Eng. 2020, 305, 2000340. [Google Scholar] [CrossRef]
 - Liu, K.; Wang, M.; Li, H.; Zhao, D.; Jin, Y. Effect of characteristic scale on the extrudate swelling behavior of polypropylene melt in a micro-extrusion process. Polym. Eng. Sci. 2021, 61, 1864–1881. [Google Scholar] [CrossRef]
 - Van Waeleghem, T.; Marchesini, F.H.; Cardon, L.; D’Hooge, D.R. Melt exit flow modelling and experimental validation for fused filament fabrication: From Newtonian to non-Newtonian effects. J. Manuf. Process. 2022, 77, 138–150. [Google Scholar] [CrossRef]
 - Matallah, H.; Townsend, P.; Webster, M.F. Viscoelastic multi-mode simulations of wire-coating. J. Non-Newton. Fluid Mech. 2000, 90, 217–241. [Google Scholar] [CrossRef]
 - Hao, X.; Zhang, G.; Deng, T. Improved Optimization of a Coextrusion Die with a Complex Geometry Using the Coupling Inverse Design Method. Polymers 2023, 15, 3310. [Google Scholar] [CrossRef]
 - Hussain, A.; Ameer, S.; Javed, F.; Malik, M.Y. Rheological analysis on non-Newtonian wire coating. J. Braz. Soc. Mech. Sci. Eng. 2019, 41, 115. [Google Scholar] [CrossRef]
 



































| Material | Manufacturer | Hardness | Specific Gravity | Tensile Strength | Melting Point | 
|---|---|---|---|---|---|
| TPU | Lubrizol | 85 [A] | 1.21 [g/cm3] | 51.7 [Mpa] | 120 [°C] | 
| Parameters | Value | 
|---|---|
| 6295 | |
| 0.094 | |
| 0.389 | |
| 6.3 × 10−4 | |
| 7176 | |
| 180 | |
| −273.15 | 
| Unit | L1 | L2 | L3 | 
| mm | 50 | 10 | 45 | 
| Research Objective | Invariant Variable | Variables | 
|---|---|---|
| Drag velocity | ; | |
| inlet flow rate | ; | |
| die temperature | ; | |
| Length of shaping section | ; = 0.8 mm | |
| Length of compressed section | ; = 0.8 mm | |
| Coating thickness | ; | 
Disclaimer/Publisher’s Note: The statements, opinions and data contained in all publications are solely those of the individual author(s) and contributor(s) and not of MDPI and/or the editor(s). MDPI and/or the editor(s) disclaim responsibility for any injury to people or property resulting from any ideas, methods, instructions or products referred to in the content.  | 
© 2025 by the authors. Licensee MDPI, Basel, Switzerland. This article is an open access article distributed under the terms and conditions of the Creative Commons Attribution (CC BY) license (https://creativecommons.org/licenses/by/4.0/).
Share and Cite
He, Y.; Liu, H.; Wang, Y.; Hu, W. Coating Extrusion Characteristics of Thin-Walled Tubes for Catheters Using Thermoplastic Elastomer. Polymers 2025, 17, 102. https://doi.org/10.3390/polym17010102
He Y, Liu H, Wang Y, Hu W. Coating Extrusion Characteristics of Thin-Walled Tubes for Catheters Using Thermoplastic Elastomer. Polymers. 2025; 17(1):102. https://doi.org/10.3390/polym17010102
Chicago/Turabian StyleHe, You, Huanlao Liu, Yulin Wang, and Weikang Hu. 2025. "Coating Extrusion Characteristics of Thin-Walled Tubes for Catheters Using Thermoplastic Elastomer" Polymers 17, no. 1: 102. https://doi.org/10.3390/polym17010102
APA StyleHe, Y., Liu, H., Wang, Y., & Hu, W. (2025). Coating Extrusion Characteristics of Thin-Walled Tubes for Catheters Using Thermoplastic Elastomer. Polymers, 17(1), 102. https://doi.org/10.3390/polym17010102
        