Synthesis and Characterization of Poly(butylene glycol adipate-co-terephthalate/diphenylsilanediol adipate-co-terephthalate) Copolyester
Abstract
1. Introduction
2. Materials and Materials
2.1. Materials
2.2. Synthesis of PBDAT Copolyester
2.3. Characterization
3. Results and Discussion
3.1. The Chemical Structure of PBDAT Copolyester
3.2. Fluidity and Processability of PBDAT Copolyesters
3.3. Thermal Properties of PBDAT Copolyester
3.3.1. DSC
3.3.2. VST
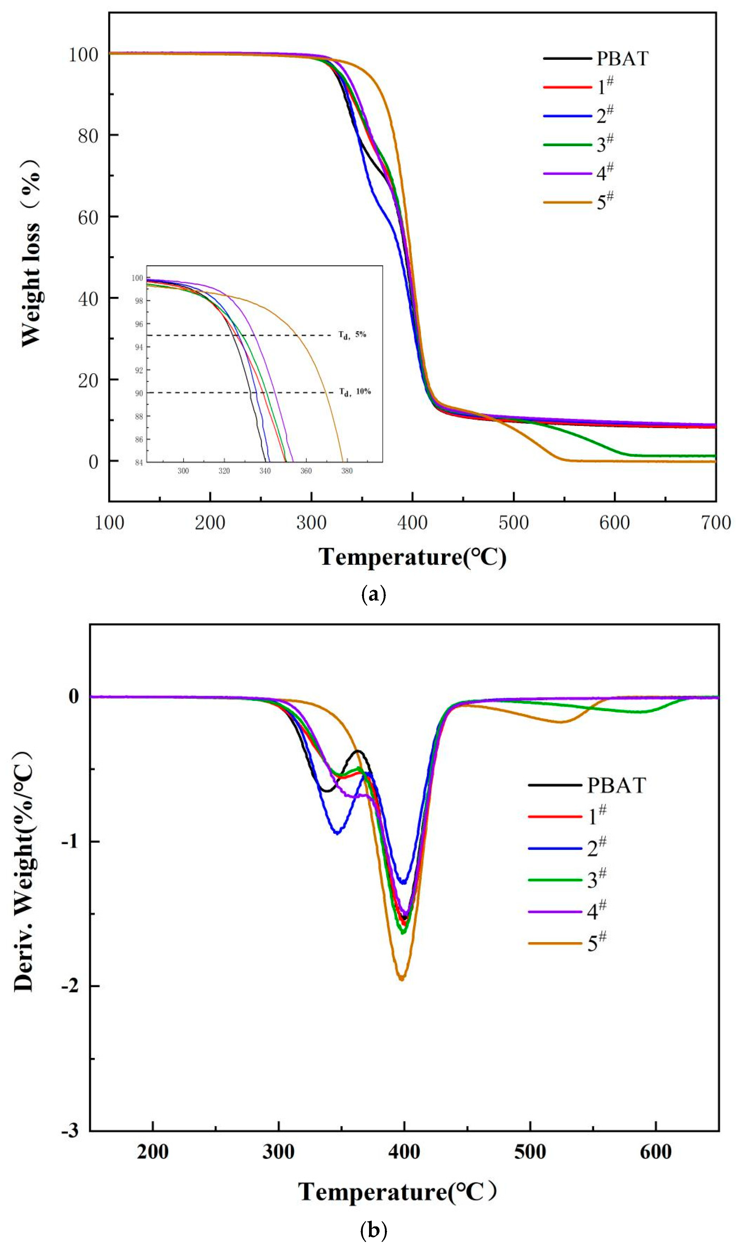
3.4. Thermogravimetric Analysis of PBDAT Copolyester
3.5. Mechanical Properties of PBDAT Copolyester
3.6. Degradation Properties of PBDAT Copolyester
Alkali Degradation Experiment
4. Conclusions
Author Contributions
Funding
Institutional Review Board Statement
Data Availability Statement
Conflicts of Interest
References
- Schyns, Z.O.G.; Shaver, M.P. Mechanical recycling of packaging plastics: A review. Macromol. Rapid Commun. 2021, 42, 2000415. [Google Scholar] [CrossRef]
- Kosior, E.; Mitchell, J. Current Industry Position on Plastic Production and Recycling. In Plastic Waste and Recycling; Academic Press: Cambridge, MA, USA, 2020; pp. 133–162. [Google Scholar] [CrossRef]
- Lebreton, L.; Andrady, A. Future scenarios of global plastic waste generation and disposal. Palgrave Commun. 2019, 5, 6. [Google Scholar] [CrossRef]
- Chamas, A.; Moon, H.; Zheng, J.; Qiu, Y.; Tabassum, T.; Jang, J.H.; Abu-Omar, M.; Scott, S.L.; Suh, S. Degradation rates of plastics in the environment. ACS Sustain. Chem. Eng. 2020, 8, 3494–3511. [Google Scholar] [CrossRef]
- Geyer, R.; Jambeck, J.R.; Law, K.L. Production, use, and fate of all plastics ever made. Sci. Adv. 2017, 3, e1700782. [Google Scholar] [CrossRef]
- Siti, B. Methods of analyses for biodegradable polymers: A review. Polymers 2022, 14, 4928. [Google Scholar] [CrossRef]
- Haider, T.P.; Volker, C.; Kramm, J.; Landfester, K.; Wurm, F.R. Plastics of the future? The impact of biodegradable polymers on the environment and on society. Angew. Chem. Int. Ed. 2019, 58, 50–62. [Google Scholar] [CrossRef]
- Shah, A.A.; Kato, S.; Shintani, N.; Kamini, N.R.; Nakajima-Kambe, T. Microbial degradation of aliphatic and aliphatic-aromatic co-polyesters. Appl. Microbiol. Biotechnol. 2014, 98, 3437–3447. [Google Scholar] [CrossRef]
- Witt, U.; Yamamoto, M.; Seeliger, U.; Müller, R.-J.; Warzelhan, V. Biodegradable Polymeric Materials-Not the Origin but the Chemical Structure Determines Biodegradability. Angew. Chem. Int. Ed. 1999, 38, 1438–1442. [Google Scholar] [CrossRef]
- Vilela, C.; Sousa, A.F.; Fonseca, A.C.; Serra, A.C.; Coelho, J.F.J.; Freire, C.S.R.; Silvestre, A.J.D. The quest for sustainable polyesters—Insights into the future. Polym. Chem. 2014, 5, 3119–3141. [Google Scholar] [CrossRef]
- Müller, R.-J.; Kleeberg, I.; Deckwer, W.-D. Biodegradation of polyesters containing aromatic constituents. J. Biotechnol. 2001, 86, 87–95. [Google Scholar] [CrossRef]
- Siegenthaler, K.O.; Künkel, A.; Skupin, G.; Yamamoto, M. Ecoflex® and Ecovio®: Biodegradable, performance-enabling plastics. Synth. Biodegrad. Polym. 2012, 245, 91–136. [Google Scholar]
- Mondal, D.; Bhowmick, B.; Maity, D.; Mollick, M.M.; Rana, D.; Rangarajan, V.; Sen, R.; Chattopadhyay, D. Investigation on Sodium Benzoate Release from Poly (Butylene Adipate-Co-Terephthalate)/Organoclay/Sodium Benzoate Based Nanocomposite Film and Their Antimicrobial Activity. J. Food Sci. 2015, 80, E602–E609. [Google Scholar] [CrossRef] [PubMed]
- Bastarrachea, L.; Dhawan, S.; Sablani, S.S.; Mah, J.H.; Kang, D.H.; Zhang, J.; Tang, J. Biodegradable Poly (butylene adipate-co-terephthalate) Films Incorporated with Nisin: Characterization and Effectiveness against Listeria innocua. J. Food Sci. 2010, 75, E215–E224. [Google Scholar] [CrossRef]
- Yamamoto, M.; Witt, U.; Skupin, G.; Beimborn, D.; Müller, R.J. Biodegradable aliphatic-aromatic polyesters: “Ecoflex®”. Biopolym. Online Biol. Chem. Biotechnol. Appl. 2005, 4. [Google Scholar] [CrossRef]
- Jiang, L.; Wolcott, M.P.; Zhang, J. Study of biodegradable polylactide/poly (butylene adipate-co-terephthalate) blends. Biomacromolecules 2006, 7, 199–207. [Google Scholar] [CrossRef] [PubMed]
- Burford, T.; Rieg, W.; Madbouly, S. Biodegradable poly(butylene adipate-co-terephthalate) (PBAT). Phys. Sci. Rev. 2021, 8, 1127–1156. [Google Scholar] [CrossRef]
- Ferreira, F.V.; Cividanes, L.S.; Gouveia, R.F.; Lona, L.M. An overview on properties and applications of poly(butylene adipate-co-terephthalate)-PBAT based composites. Polym. Eng. Sci. 2019, 59, E7–E15. [Google Scholar] [CrossRef]
- Signori, F.; Coltelli, M.B.; Bronco, S. Thermal degradation of poly (lactic acid) (PLA) and poly(butylene adipate-co-terephthalate) (PBAT) and their blends upon melt processing. Polym. Degrad. Stab. 2009, 94, 74–82. [Google Scholar] [CrossRef]
- Lee, C.W.; Akashi, M.; Kimura, Y.; Masutani, K. Synthesis and enzymatic degradability of an aliphatic/aromatic block copolyester: Poly (butylene succinate)-multi-poly (butylene terephthalate). Macromol. Res. 2016, 25, 54–62. [Google Scholar] [CrossRef]
- Morelli, C.L.; Belgacem, N.; Bretas, R.E.; Bras, J. Melt extruded nanocomposites of polybutylene adipate-co-terephthalate (PBAT) with phenylbutyl isocyanate modified cellulose nanocrystals. J. Appl. Polym. Sci. 2016, 133. [Google Scholar] [CrossRef]
- Nagata, M.; Kiyotsukuri, T.; Minami, S.; Tsutsumi, N.; Sakai, W. Biodegradability of poly (ethylene terephthalate) copolymers with poly (ethylene glycol) s and poly (tetramethylene glycol). Polym. Int. 1996, 39, 83–89. [Google Scholar] [CrossRef]
- Siyamak, S.; Ibrahim, N.A.; Abdolmohammadi, S.; Yunus, W.M.; Rahman, M.Z. Effect of Fiber Esterification on Fundamental Properties of Oil Palm Empty Fruit Bunch Fiber/Poly(butylene adipate-co-terephthalate) Biocomposites. Int. J. Mol. Sci. 2012, 13, 1327–1346. [Google Scholar] [CrossRef]
- Mohanty, S.; Nayak, S.K. Biodegradable Nanocomposites of Poly(butylene) (adipate-co-terephthalate) (PBAT) and Organically Modified Layered Silicates. J. Polym. Environ. 2012, 20, 195–207. [Google Scholar] [CrossRef]
- Barbosa, R.F.; Souza, A.G.; Rosa, D.S. Acetylated cellulose nanostructures as reinforcement materials for PBAT nanocomposites. Polym. Compos. 2020, 41, 2841–2854. [Google Scholar] [CrossRef]
- Livi, S.; Duchet-Rumeau, J.; Pham, T.N.; Gérard, J.F. Synthesis and physical properties of new layeredsilicates based on ionic liquids: Improvement of thermal stability, mechanicalbehavior and water permeability of PBAT nanocomposites. RSC Adv. 2014, 4, 26452–26461. [Google Scholar] [CrossRef]
- Chang, C.C.; Trinh, B.M.; Mekonnen, T.H. Robust multiphase and multilayerstarch/polymer (TPS/PBAT) film with simultaneous oxygen/moisture barrier properties. J. Colloid Interface Sci. 2021, 593, 290–303. [Google Scholar] [CrossRef]
- Wang, X.; Shi, M.; Yu, X.; Peng, S.; Zhao, X. Research progress on high performance fully biodegradable composites of polybutylene terephthalate (PBAT) co-modified polylactic acid (PLA). Mater. Herald 2019, 33, 1897–1909. [Google Scholar]
- Pan, X.; Li, N.; Wang, X.; Dai, J.; Liang, J. Study on chain expansion modification of poly(butylene glycol) adipate-co-poly(butylene glycol) terephthalate. Synth. Technol. Appl. 2021, 36, 1–5+62. [Google Scholar]
- Ouyang, C.; Lu, C.; Guo, Z.; Wang, C.; Yao, Y.; Xiong, K.; Zhang, E.; JIao, J.; Zeng, X. Research progress and application prospect of poly(butylene terephthalate-co-glycol adipate) (PBAT) synthesis process. Guangdong Chem. Ind. 2021, 48, 47–48. [Google Scholar]
- Zhang, W.; Wang, Q.; Wang, G.; Liu, S. Synthesis and characterization of bio-based poly (ethylene 2, 5-furandicarboxylate) -b-poly (butylene adipate-co-terephthalate) copolymers. J. Appl. Polym. Sci. 2022, 139, e52803. [Google Scholar] [CrossRef]
- Wu, W.-Y. Study on the Heat Resistance of Organosilicon Modified Epoxy Resin. Master’s Thesis, Xiamen University, Xiamen, China, 2009. [Google Scholar]
- Guo, H.; Wang, D.; Guo, H. Synthesis of octaphenylcyclotetrasiloxane. J. Shenyang Inst. Chem. Technol. 2008, 22, 293–296. [Google Scholar]
- Kim, J.H.; Ko, J.H.; Bae, B.S. Dispersionof silica nano partic les in sol-gel hybrid resins for fabrica-tion of multi-scale hybrid nanocamposite. J. Sol-Gel Sci. Technol. 2007, 41, 249–255. [Google Scholar] [CrossRef]
- Vona, M.D.; Trombetta, M.; Dirè, S.; Egger, P.; D’Ottavi, C.; Licoccia, S. Hybrid silox-ane-based nano building blocks for optical applications Optimization of the synthetic procedures by spectroscopicanalysis. J. Sol-Gel Sci. Technol. 2005, 35, 151–157. [Google Scholar] [CrossRef]
- Dirè, S.; Tagliazucca, V.; Brusatin, G.; Bottazzo, J.; Fortunati, I.; Signorini, R.; Dainese, T.; Andraud, C.; Trombetta, M.; Di Vona, M.L.; et al. Hybrid organ ic/inorganic materia ls for photonic applications via assemb-ling of nanostructu red molecu lar un its. J. Sol-Gel Sci. Technol. 2008, 48, 217–223. [Google Scholar] [CrossRef]
- Xu, J.; Sun, C.; Wang, W. Research on organosilicon modified epoxy resin. Shandong Sci. 1997, 04, 59–62+64. [Google Scholar]
- Kuang, W.F.; Jiang, L.L.; Cai, X.X. BMI/DABPA/DPSD copolymer glass cloth laminate. Eng. Plast. Appl. 1995, 06, 9–11+36. [Google Scholar]
- Reddy, P.M.; Chang, C.J.; Lai, C.F.; Su, M.J.; Tsai, M.H. Improved organic-inorganic/graphene hybrid composite as encapsulant for white LEDs: Role of graphene, titanium (IV) isopropoxide and diphenylsilanediol. Compos. Technol. 2018, 165, 95–105. [Google Scholar] [CrossRef]
- Jiang, S.; Zha, S.; Xia, L.; Guan, R. Synthesis and characterization of diphenylsilanediol modified epoxy resin and curing agent. Sci. Technol. Int. J. Theor. Basic Asp. Adhes. Sci. Its Appl. All Areas Technol. 2015, 29, 641–656. [Google Scholar] [CrossRef]
- GB/T3682-2000; Determination of the Melt Mass-Flow Rate (MFR) and the Melt Volume-Flow Rate (MVR) of Thermoplastics. China State Bureau of Quality and Technical Supervision: Beijing, China, 2000.
- GB/T 19466.3-2004; Plastics—Differential Scanning Calorimetry(DSC)—Part 3: Determination of Temperatureand Enthalpy of Melting and Crystallization. Standardization Administration of China: Beijing, China, 2004.
- Li, X.; Ai, X.; Pan, H.; Yang, J.; Gao, G.; Zhang, H.; Yang, H.; Dong, L. The morphological, mechanical, rheological, and thermal properties of PLA/PBAT blown films with chain extender. Polym. Adv. Technol. 2018, 29, 1706–1717. [Google Scholar] [CrossRef]
- GB/T1633-2000; Plastics—Thermoplastic Materials—Determination of Vicat Softening Temperature(VST). China State Bureau of Quality and Technical Supervision: Beijing, China, 2000.
- GB/T1040-2006; Plastics—Determination of Tensile Properties—Part 2: Test Conditions for Moulding and Extrusion Plastics. Standardization Administration of China: Beijing, China, 2006.









| Samples | Molecular Weight Average Mη (g/mol) | Melt Index MI (g/10 min) | |
|---|---|---|---|
| 1# | 1.42 | 46,788 | 2.83 |
| 2# | 1.46 | 48,320 | 2.77 |
| 3# | 1.53 | 51,159 | 2.67 |
| 4# | 1.58 | 53,675 | 2.60 |
| 5# | 1.62 | 55,497 | 2.54 |
| Samples | Tm/°C | Tc/°C | Tg/°C | ΔHm (J/g) | ΔHc (J/g) | Xc (%) |
|---|---|---|---|---|---|---|
| 1# | 126.26 | 79.16 | −32.42 | 21.41 | 25.43 | 18.78 |
| 2# | 129.43 | 79.38 | −30.95 | 19.16 | 25.37 | 16.81 |
| 3# | 129.95 | 80.81 | −28.96 | 17.46 | 23.42 | 15.32 |
| 4# | 135.28 | 84.61 | −28.36 | 16.43 | 21.37 | 14.41 |
| 5# | 140.32 | 95.25 | −27.99 | 14.93 | 21.10 | 13.10 |
| Samples | Tensile Strength (MPa) | Elongation at Break (%) | Modulus of Elasticity (MPa) |
|---|---|---|---|
| 1# | 21.56 | 444 | 159 |
| 2# | 22.15 | 421 | 182 |
| 3# | 24.52 | 363 | 196 |
| 4# | 28.33 | 348 | 210 |
| 5# | 30.56 | 219 | 238 |
Disclaimer/Publisher’s Note: The statements, opinions and data contained in all publications are solely those of the individual author(s) and contributor(s) and not of MDPI and/or the editor(s). MDPI and/or the editor(s) disclaim responsibility for any injury to people or property resulting from any ideas, methods, instructions or products referred to in the content. |
© 2024 by the authors. Licensee MDPI, Basel, Switzerland. This article is an open access article distributed under the terms and conditions of the Creative Commons Attribution (CC BY) license (https://creativecommons.org/licenses/by/4.0/).
Share and Cite
Ge, T.; Wang, M.; He, X.; Yu, Y.; Liu, X.; Wen, B.; Liu, P. Synthesis and Characterization of Poly(butylene glycol adipate-co-terephthalate/diphenylsilanediol adipate-co-terephthalate) Copolyester. Polymers 2024, 16, 1122. https://doi.org/10.3390/polym16081122
Ge T, Wang M, He X, Yu Y, Liu X, Wen B, Liu P. Synthesis and Characterization of Poly(butylene glycol adipate-co-terephthalate/diphenylsilanediol adipate-co-terephthalate) Copolyester. Polymers. 2024; 16(8):1122. https://doi.org/10.3390/polym16081122
Chicago/Turabian StyleGe, Tiejun, Meiyuan Wang, Xiaofeng He, Yang Yu, Xiaofeng Liu, Bo Wen, and Peihan Liu. 2024. "Synthesis and Characterization of Poly(butylene glycol adipate-co-terephthalate/diphenylsilanediol adipate-co-terephthalate) Copolyester" Polymers 16, no. 8: 1122. https://doi.org/10.3390/polym16081122
APA StyleGe, T., Wang, M., He, X., Yu, Y., Liu, X., Wen, B., & Liu, P. (2024). Synthesis and Characterization of Poly(butylene glycol adipate-co-terephthalate/diphenylsilanediol adipate-co-terephthalate) Copolyester. Polymers, 16(8), 1122. https://doi.org/10.3390/polym16081122

