Enhancing Oil Recovery in Low-Permeability Reservoirs Using a Low-Molecular Weight Amphiphilic Polymer
Abstract
1. Introduction
2. Experimental Section
2.1. Materials
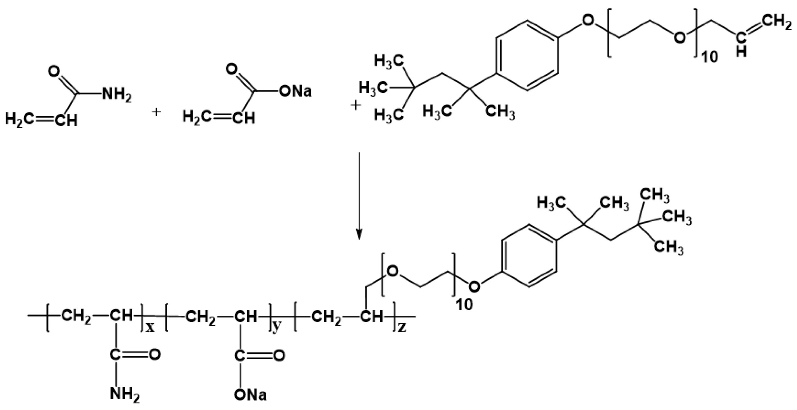
2.2. Synthesis of Allyl-OP-10
2.3. Synthesis of LMWAP
2.4. Structure Characterization
2.5. Solution Properties
2.6. Interfacial Activity Measurements
2.7. Emulsification Measurements
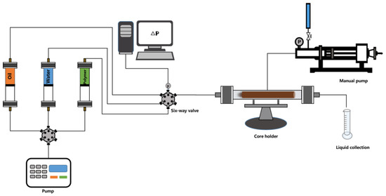
2.8. Core Flooding Experiments
3. Results and Discussion
3.1. Characterizations of Allyl-OP-10 and LMWAP
3.2. Thickening Capability of LMWAP
3.3. Rheology and Viscoelasticity of LMWAP
3.4. IFT Measurements
3.5. Emulsifying Measurements
3.6. Flow Behavior of Polymers in Porous Media
3.7. Enhanced Oil Recovery by LMWAP
4. Conclusions
Author Contributions
Funding
Institutional Review Board Statement
Data Availability Statement
Conflicts of Interest
References
- Li, X.; Zhang, Q.; Liu, P.; Li, T.; Liu, G.; Liu, Z.; Zhao, H. Investigation on the microscopic damage mechanism of fracturing fluids to low-permeability sandstone oil reservoir by nuclear magnetic resonance. J. Pet. Sci. Eng. 2022, 209, 109821. [Google Scholar] [CrossRef]
- Hou, X.; Sheng, J.J. Fabrication of a Spontaneous Emulsification System for Low-Permeable Oil Reservoirs and Study of an Enhanced Oil Recovery Mechanism Based on the Nuclear Magnetic Resonance Method. Energy Fuels 2022, 36, 227–238. [Google Scholar] [CrossRef]
- Xu, D.; Li, Z.; Bai, B.; Chen, X.; Wu, H.; Hou, J.; Kang, W. A systematic research on spontaneous imbibition of surfactant solutions for low permeability sandstone reservoirs. J. Pet. Sci. Eng. 2021, 206, 109003. [Google Scholar] [CrossRef]
- Bai, Y.; Pu, C.; Liu, S.; Li, X.; Liang, L.; Liu, J. A novel amphiphilic Janus nano-silica for enhanced oil recovery in low-permeability reservoirs: An experimental study. Colloids Surf. A Physicochem. Eng. Asp. 2022, 637, 128279. [Google Scholar] [CrossRef]
- Wang, K.; You, Q.; Long, Q.; Zhou, B.; Wang, P. Experimental study of the mechanism of nanofluid in enhancing the oil recovery in low permeability reservoirs using microfluidics. Pet. Sci. 2023, 20, 382–395. [Google Scholar] [CrossRef]
- Liu, D.; Xu, J.; Zhao, H.; Zhang, X.; Zhou, H.; Wu, D.; Liu, Y.; Yu, P.; Xu, Z.; Kang, W.; et al. Nanoemulsions stabilized by anionic and non-ionic surfactants for enhanced oil recovery in ultra-low permeability reservoirs: Performance evaluation and mechanism study. Colloids Surf. A Physicochem. Eng. Asp. 2022, 637, 128235. [Google Scholar] [CrossRef]
- Zhou, B.; You, Q.; Li, Y.; Chu, Z.; Zhang, L.; Wang, P.; Liu, C.; Dai, C. Preparation and performance evaluation of an active nanofluid for enhanced oil recovery in ultra-low permeability reservoirs. J. Mol. Liq. 2022, 347, 118331. [Google Scholar] [CrossRef]
- Ghosh, P.; Mohanty, K.K. Study of surfactant alternating gas injection (SAG) in gas-flooded oil-wet, low permeability carbonate rocks. Fuel 2019, 251, 260–275. [Google Scholar] [CrossRef]
- Jadhawar, P.; Saeed, M. Low salinity water and polymer flooding in sandstone reservoirs: Upscaling from nano-to macro-scale using the maximum energy barrier. J. Pet. Sci. Eng. 2023, 220, 111247. [Google Scholar] [CrossRef]
- Zhong, H.; He, Y.; Yang, E.; Bi, Y.; Yang, T. Modeling of microflow during viscoelastic polymer flooding in heterogenous reservoirs of Daqing Oilfield. J. Pet. Sci. Eng. 2022, 210, 110091. [Google Scholar] [CrossRef]
- Santamaria, O.; Lopera, S.H.; Riazi, M.; Minale, M.; Cortés, F.B.; Franco, C.A. Phenomenological study of the micro- and macroscopic mechanisms during polymer flooding with SiO2 nanoparticles. J. Pet. Sci. Eng. 2021, 198, 108135. [Google Scholar] [CrossRef]
- Aitkulov, A.; Mohanty, K.K. Investigation of alkaline-surfactant-polymer flooding in a quarter five-spot sandpack for viscous oil recovery. J. Pet. Sci. Eng. 2019, 175, 706–718. [Google Scholar] [CrossRef]
- Wang, Y.; Liu, H.; Wang, J.; Dong, X.; Chen, F. Formulation development and visualized investigation of temperature-resistant and salt-tolerant surfactant-polymer flooding to enhance oil recovery. J. Pet. Sci. Eng. 2019, 174, 584–598. [Google Scholar] [CrossRef]
- Al-Kayiem, H.H.; Khan, J.A. Evaluation of Alkali/Surfactant/Polymer Flooding on Separation and Stabilization of Water/Oil Emulsion by Statistical Modeling. Energy Fuels 2017, 31, 9290–9301. [Google Scholar] [CrossRef]
- Liu, Z.; Li, Y.; Lv, J.; Li, B.; Chen, Y. Optimization of polymer flooding design in conglomerate reservoirs. J. Pet. Sci. Eng. 2017, 152, 267–274. [Google Scholar] [CrossRef]
- Xu, L.; Liu, S.; Qiu, Z.; Gong, H.; Fan, H.; Zhu, T.; Zhang, H.; Dong, M. Hydrophobic effect further improves the rheological behaviors and oil recovery of polyacrylamide/nanosilica hybrids at high salinity. Chem. Eng. Sci. 2021, 232, 116369. [Google Scholar] [CrossRef]
- He, Y.; Alamri, H.; Kawelah, M.; Gizzatov, A.; Alghamdi, M.F.; Swager, T.M.; Zhu, S.S. Brine-Soluble Zwitterionic Copolymers with Tunable Adsorption on Rocks. ACS Appl. Mater. Interfaces 2020, 12, 13568–13574. [Google Scholar] [CrossRef] [PubMed]
- Liu, J.; Feng, J.; Yang, S.; Gang, H.; Mu, B. The recovery of viscosity of HPAM solution in presence of high concentration sulfide ions. J. Pet. Sci. Eng. 2020, 195, 107605. [Google Scholar] [CrossRef]
- Haruna, M.A.; Gardy, J.; Yao, G.; Hu, Z.; Hondow, N.; Wen, D. Nanoparticle modified polyacrylamide for enhanced oil recovery at harsh conditions. Fuel 2020, 268, 117186. [Google Scholar] [CrossRef]
- Liang, Y.; Guo, Y.; Yang, X.; Feng, R.; Zhang, X.; Li, H. Insights on the interaction between sodium dodecyl sulfate and partially hydrolyzed microblock hydrophobically associating polyacrylamides in different polymer concentration regimes. Colloids Surf. A Physicochem. Eng. Asp. 2019, 572, 152–166. [Google Scholar] [CrossRef]
- Renouf, G. A Survey of Polymer Flooding in Western Canada. In Proceedings of the SPE Improved Oil Recovery Symposium, Tulsa, OK, USA, 12–16 April 2014. [Google Scholar]
- Delamaide, E. Polymer Flooding of Heavy Oil—From Screening to Full-Field Extension. In Proceedings of the SPE Heavy and Extra Heavy Oil Conference: Latin America, Medellín, Colombia, 24–26 September 2014. [Google Scholar]
- Sheng, J.J.; Leonhardt, B.; Azri, N. Status of Polymer-Flooding Technology. J. Can. Pet. Technol. 2015, 54, 116–126. [Google Scholar] [CrossRef]
- Ding, M.; Han, Y.; Liu, Y.; Wang, Y.; Zhao, P.; Yuan, Y. Oil recovery performance of a modified HAPAM with lower hydrophobicity, higher molecular weight: A comparative study with conventional HAPAM, HPAM. J. Ind. Eng. Chem. 2019, 72, 298–309. [Google Scholar] [CrossRef]
- Ghosh, P.; Mohanty, K.K. Laboratory treatment of HPAM polymers for injection in low permeability carbonate reservoirs. J. Pet. Sci. Eng. 2020, 185, 106574. [Google Scholar] [CrossRef]
- Zhao, Q.T.X. Experimental study and application of anti-salt polymer aqueous solutions prepared by produced water for low-permeability reservoirs. J. Pet. Sci. Eng. 2019, 175, 480–488. [Google Scholar] [CrossRef]
- Seright, R.S.; Fan, T.; Wavrik, K.; Balaban, R.D.C. New insights into polymer rheology in porous media. SPE J. 2011, 16, 35–42. [Google Scholar] [CrossRef]
- Barri, A.; Azad, M.S.; Al-Shehri, D.; Ayirala, S.C.; Patil, S.; Al-Hamad, J.; Abdullah, E.; Abdrabalnabi, R.A. Is there a viscoelastic effect of low-MW HPAM polymers on residual oil mobilization in low-permeability rocks at a darcy velocity of 0.2 ft/day? Energy Fuels 2023, 37, 10188–10199. [Google Scholar] [CrossRef]
- Wang, L.; Wei, J.; Chen, Y.; Jia, S.; Wang, Y.; Qiao, X.; Xu, L. injectability of partially hydrolyzed polyacrylamide solutions improved by anionic-nonionic surfactant in medium and low permeability reservoirs. Energies 2022, 15, 6866. [Google Scholar] [CrossRef]
- Al-Shakry, B.; Shaker Shiran, B.; Skauge, T.; Skauge, A. Polymer injectivity: Influence of permeability in the flow of EOR polymers in porous media. In Proceedings of the SPE Europec featured at EAGE Conference and Exhibition, London, UK, 3–6 June 2019; p. D032S013R004. [Google Scholar]
- Gong, J.; Wang, Y.; Cao, X.; Yuan, F.; Ji, Y. Synthesis and the delayed thickening mechanism of encapsulated polymer for low permeability reservoir production. J. Mol. Liq. 2022, 360, 119394. [Google Scholar] [CrossRef]
- Mejía, M.; Pope, G.A.; Song, H.; Balhoff, M.T. Experimental Investigation of Polyethylene Oxide Polymer Solutions for Enhanced Oil Recovery in Low-Permeability Carbonate Rocks. SPE J. 2022, 27, 929–944. [Google Scholar] [CrossRef]
- Zhang, Y.; Feng, Y.; Li, B.; Han, P. Enhancing oil recovery from low-permeability reservoirs with a self-adaptive polymer: A proof-of-concept study. Fuel 2019, 251, 136–146. [Google Scholar] [CrossRef]
- Huang, B.; Zhang, W.; Xu, R.; Shi, Z.Z.; Fu, C.; Wang, Y. A study on the matching relationship of polymer molecular weight and reservoir permeability in ASP flooding for Duanxi reservoirs in Daqing oil field. Energies 2017, 10, 951. [Google Scholar] [CrossRef]
- Thomas, C.P. The mechanism of reduction of water mobility by polymers in glass capillary arrays. SPE J. 1976, 16, 130–136. [Google Scholar] [CrossRef]
- Feng, Y.J.; Billon, L.; Grassl, B.; Bastiat, G.; Borisov OFrançois, J. Hydrophobically associating polyacrylamides and their partially hydrolyzed derivatives prepared by post-modification. 2. properties of non-hydrolyzed polymers in pure water and brine. Polymer 2005, 46, 9283–9295. [Google Scholar] [CrossRef]
- Wenfeng, J.; Chenggang, X.; Bao, J.; Junwen, W. A high temperature retarded acid based on self-assembly of hydrophobically associating polymer and surfactant. J. Mol. Liq. 2023, 370, 121017. [Google Scholar] [CrossRef]
- Jiang, F.; Feng, X.; Hu, R.; Pang, S.; Pu, W. Synthesis of a novel double-tailed hydrophobically associating polymer for ultra-high salinity resistance. J. Mol. Liq. 2022, 367, 120470. [Google Scholar] [CrossRef]
- Yang, H.; Zhang, H.; Zheng, W.; Zhou, B.; Zhao, H.; Li, X.; Zhang, L.; Zhu, Z.; Kang, W.; Ketova, Y.A.; et al. Effect of hydrophobic group content on the properties of betaine-type binary amphiphilic polymer. J. Mol. Liq. 2020, 311, 113358. [Google Scholar] [CrossRef]
- Li, P.; Zhang, F.; Zhu, T.; Zhang, C.; Liu, G.; Li, X. Synthesis and properties of the active polymer for enhanced heavy oil recovery. Colloids Surf. A Physicochem. Eng. Asp. 2021, 626, 127036. [Google Scholar] [CrossRef]
- Cheng, J.; Yang, H.; Gao, J.; Gu, X.; Yu, X.; Su, G.; Jiang, Z.; Zhu, Y. Synthesis and molecular dynamics simulation of amphoteric hydrophobically associating polymer. J. Mol. Liq. 2023, 388, 122751. [Google Scholar] [CrossRef]
- Babu, K.; Pal, N.; Bera, A.; Saxena, V.K.; Mandal, A. Studies on interfacial tension and contact angle of synthesized surfactant and polymeric from castor oil for enhanced oil recovery. Appl. Surf. Sci. 2015, 353, 1126–1136. [Google Scholar] [CrossRef]
- Guo, H.; Song, K.; Hilfer, R. A Brief Review of Capillary Number and its Use in Capillary Desaturation Curves. Transp. Porous Media 2022, 144, 3–31. [Google Scholar] [CrossRef]














| Ion Concentration (mg/L) | Salinity (mg/L) | ||||||
|---|---|---|---|---|---|---|---|
| Ca2+ | Mg2+ | Na+ | CO32− | HCO3− | Cl− | SO42− | |
| 44.7 | 15.1 | 1518.7 | 150.1 | 2410.3 | 868.8 | 24.0 | 5031.7 | 
| Core Sample | Diameter (cm) | Length (cm) | Porosity (%) | Permeability (mD) | Oil Saturation (%) | Rc (nm) | 
|---|---|---|---|---|---|---|
| 1 | 2.50 | 10.02 | 21.4 | 41 | / | 769 | 
| 2 | 2.50 | 10.11 | 21.8 | 42 | / | 768 | 
| 3 | 2.50 | 10.04 | 21.1 | 41 | / | 778 | 
| 4 | 2.50 | 10.08 | 21.9 | 43 | 70.4 | 774 | 
| 5 | 2.50 | 10.04 | 21.5 | 42 | 71.2 | 776 | 
| Core Sample | Polymer | Rc (nm) | Rh (nm) | Rc/Rh | RF | RRF | 
|---|---|---|---|---|---|---|
| 1 | HPAM-1800 | 769 | 186 | 4.13 | / | / | 
| 2 | HPAM-800 | 768 | 124 | 6.19 | 9.26 | 4.31 | 
| 3 | LMWAP | 778 | 192 | 4.05 | 11.92 | 4.94 | 
| Core Sample | Polymer | Viscosity (mPa·s) | Oil Recovery after Water Flooding (%) | Oil Recovery after Subsequent Water Flooding (%) | Enhanced Oil Recovery (%) | 
|---|---|---|---|---|---|
| 4 | LMWAP | 19.2 | 55.6 | 77.1 | 21.5 | 
| 5 | HPAM-800 | 19.5 | 53.8 | 65.3 | 11.5 | 
| Disclaimer/Publisher’s Note: The statements, opinions and data contained in all publications are solely those of the individual author(s) and contributor(s) and not of MDPI and/or the editor(s). MDPI and/or the editor(s) disclaim responsibility for any injury to people or property resulting from any ideas, methods, instructions or products referred to in the content. | 
© 2024 by the authors. Licensee MDPI, Basel, Switzerland. This article is an open access article distributed under the terms and conditions of the Creative Commons Attribution (CC BY) license (https://creativecommons.org/licenses/by/4.0/).
Share and Cite
Yang, Y.; Wang, Y.; Liu, Y.; Liu, P. Enhancing Oil Recovery in Low-Permeability Reservoirs Using a Low-Molecular Weight Amphiphilic Polymer. Polymers 2024, 16, 1036. https://doi.org/10.3390/polym16081036
Yang Y, Wang Y, Liu Y, Liu P. Enhancing Oil Recovery in Low-Permeability Reservoirs Using a Low-Molecular Weight Amphiphilic Polymer. Polymers. 2024; 16(8):1036. https://doi.org/10.3390/polym16081036
Chicago/Turabian StyleYang, Yang, Youqi Wang, Yiheng Liu, and Ping Liu. 2024. "Enhancing Oil Recovery in Low-Permeability Reservoirs Using a Low-Molecular Weight Amphiphilic Polymer" Polymers 16, no. 8: 1036. https://doi.org/10.3390/polym16081036
APA StyleYang, Y., Wang, Y., Liu, Y., & Liu, P. (2024). Enhancing Oil Recovery in Low-Permeability Reservoirs Using a Low-Molecular Weight Amphiphilic Polymer. Polymers, 16(8), 1036. https://doi.org/10.3390/polym16081036
 
        


 
       