Effect of Resin Content on the Structure, Water Resistance and Mechanical Properties of High-Density Bamboo Scrimbers
Abstract
1. Introduction
2. Materials and Methods
2.1. Materials
2.2. Fabrication of Bamboo Scrimbers
2.3. Structural Characterization
2.3.1. Microstructure Observation
2.3.2. Crystal Structures of Cellulose in Scrimbers
2.4. Evaluation of Water Resistance
2.4.1. Water Absorption
2.4.2. Dimensional Swelling
2.5. Mechanical Tests
2.5.1. Static Bending
2.5.2. Compressive Test
2.5.3. Short-Beam Shearing Test
2.6. Thermogravimetric Analysis (TGA)
3. Results and Discussion
3.1. Microstructure
3.2. XRD Analysis
3.3. Water Resistance
3.4. Dimensional Stability
3.5. Mechanical Properties
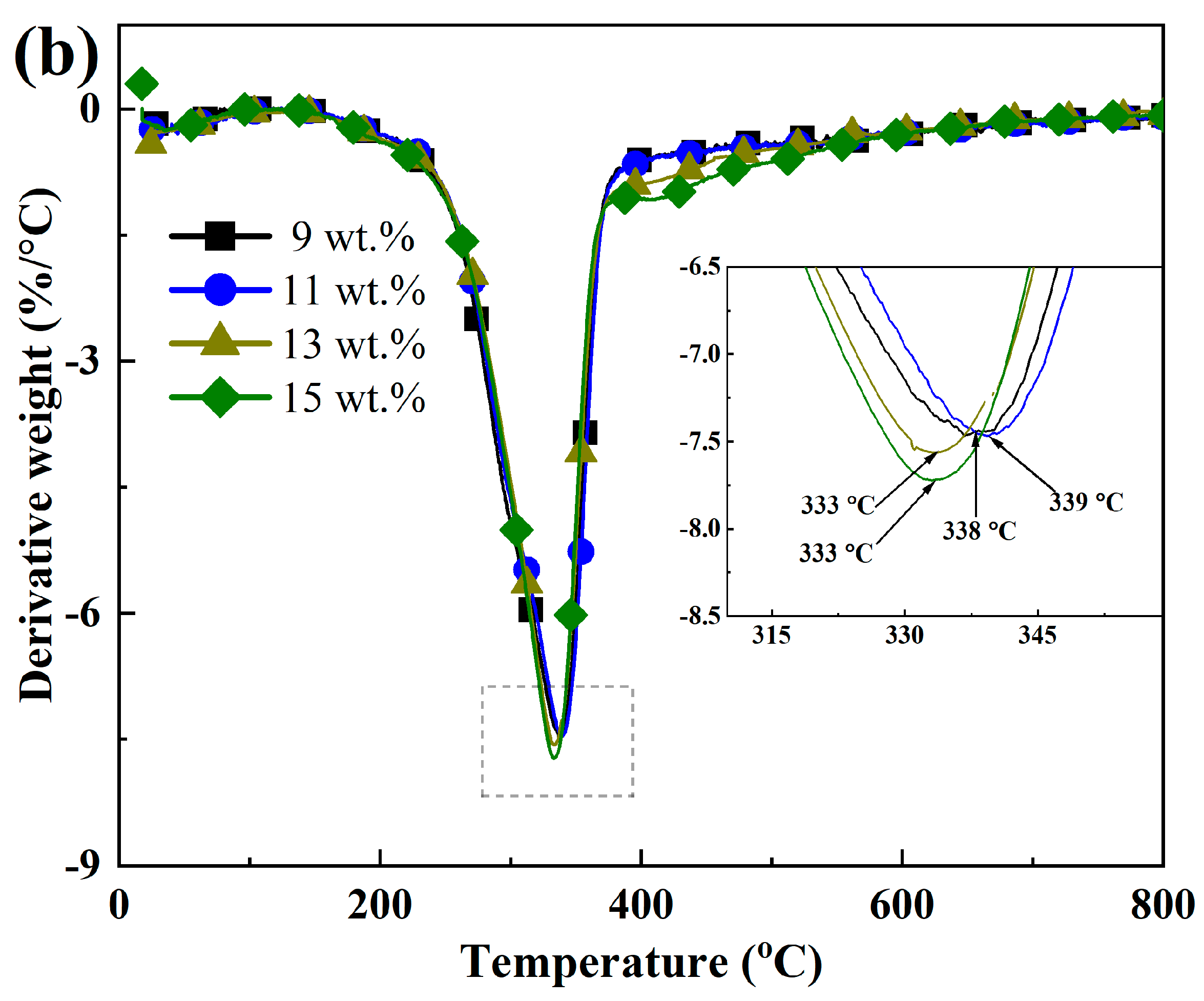
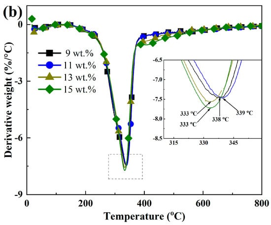
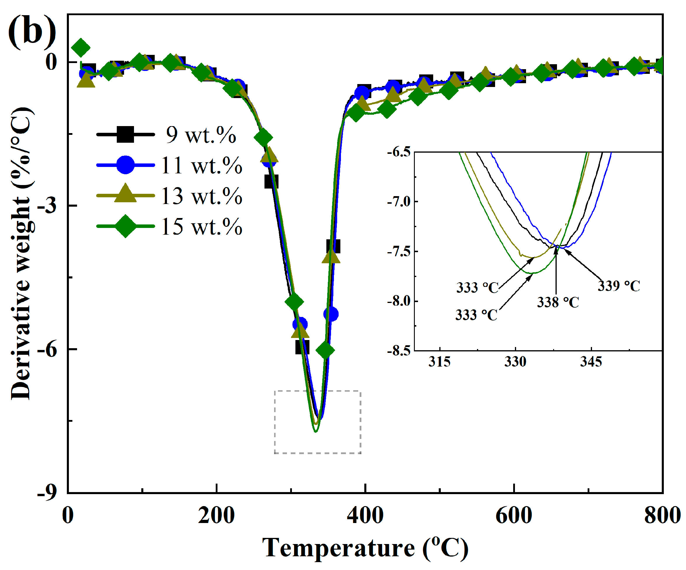
3.6. Thermal Property
4. Conclusions
Author Contributions
Funding
Institutional Review Board Statement
Data Availability Statement
Conflicts of Interest
References
- Sugiarto, S.; Pong, R.R.; Tan, Y.C.; Leow, Y.; Sathasivam, T.; Zhu, Q.; Loh, X.J.; Kai, D. Advances in sustainable polymeric materials from lignocellulosic biomass. Mater. Today Chem. 2022, 26, 101022. [Google Scholar] [CrossRef]
- Jiangyuan, W.; Yuxiang, H.; Xiaoxia, W.; Juan, H.; Wencheng, L.; Yahui, Z.; Wenji, Y. Effects of secondary bonding process parameters on the bonding and mechanical properties of bamboo scrimber composite: Glue type, spread rate and pressure. Constr. Build. Mater. 2024, 411, 134713. [Google Scholar]
- Xie, J.; Chen, L.; Yang, L.; Jiang, Y.; Chen, Q.; Qi, J. Physical-mechanical properties of bamboo scrimbers with response to surface layer modification: Thermal treatment and resin dosage. Eur. J. Wood Wood Prod. 2023, 1–8. [Google Scholar] [CrossRef]
- Sharma, B.; Gatóo, A.; Bock, M.; Ramage, M. Engineered bamboo for structural applications. Constr. Build. Mater. 2015, 81, 66–73. [Google Scholar] [CrossRef]
- Yu, Y.; Huang, X.; Yu, W. A novel process to improve yield and mechanical performance of bamboo fiber reinforced composite via mechanical treatments. Compos. Part B Eng. 2014, 56, 48–53. [Google Scholar] [CrossRef]
- De Rosa, I.M.; Kenny, J.M.; Puglia, D.; Santulli, C.; Sarasini, F. Morphological, thermal and mechanical characterization of okra (Abelmoschus esculentus) fibres as potential reinforcement in polymer composites. Compos. Sci. Technol. 2010, 70, 116–122. [Google Scholar] [CrossRef]
- Kumar, A.; Vlach, T.; Laiblova, L.; Hrouda, M.; Kasal, B.; Tywoniak, J.; Hajek, P.J.C. Engineered bamboo scrimber: Influence of density on the mechanical and water absorption properties. Constr. Build. Mater. 2016, 127, 815–827. [Google Scholar] [CrossRef]
- Zhang, X.; Li, J.; Yu, Z.; Yu, Y.; Wang, H. Compressive failure mechanism and buckling analysis of the graded hierarchical bamboo structure. J. Mater. Sci. 2017, 52, 6999–7007. [Google Scholar] [CrossRef]
- Wahab, R.; Mustapa, M.T.; Sulaiman, O.; Mohamad, A.; Hassan, A.; Khalid, I. Anatomical and physical properties of cultivated two- and four-year-old bambusa vulgaris. Sains Malays. 2010, 39, 571–579. [Google Scholar]
- Christensen, G.; Kelsey, K.E. The rate of sorption of water vapour by wood. HolzalsRoh Werkst. 1959, 17, 178–188. [Google Scholar] [CrossRef]
- Zhang, X.; Li, J.; Yu, Y.; Wang, H.J.J.O.M.S. Investigating the water vapor sorption behavior of bamboo with two sorption models. J. Mater. Sci. 2018, 53, 8241–8249. [Google Scholar] [CrossRef]
- Yu, Y.-L.; Ya-Mei, Z.; Yu, W.-J.; Fei, B.-H.; Huan-Rong, L. Comparison of the suitability of ci bamboo and moso bamboo for manufacturing bamboo-based fiber composites. In Proceedings of the 2012 International Conference on Biobase Material Science and Engineering, Changsha, China, 21–23 October 2012; pp. 69–74. [Google Scholar]
- Liu, D.; Song, J.; Anderson, D.P.; Chang, P.R.; Hua, Y. Bamboo fiber and its reinforced composites: Structure and properties. Cellulose 2012, 19, 1449–1480. [Google Scholar] [CrossRef]
- Liang, E.; Chen, C.; Tu, D.; Zhou, Q.; Zhou, J.; Hu, C.; Li, X.; Ma, H. Highly efficient preparation of bamboo scrimber: Drying process optimization of bamboo bundles and its effect on the properties of bamboo scrimber. Eur. J. Wood Wood Prod. 2022, 80, 1473–1484. [Google Scholar] [CrossRef]
- Yu, Y.; Huang, Y.; Zhang, Y.; Liu, R.; Meng, F.; Yu, W. The reinforcing mechanism of mechanical properties of bamboo fiber bundle-reinforced composites. Polym. Compos. 2019, 40, 1463–1472. [Google Scholar] [CrossRef]
- Afshari, Z.; Malek, S. Moisture transport in laminated wood and bamboo composites bonded with thin adhesive layers–A numerical study. Constr. Build. Mater. 2022, 340, 127597. [Google Scholar] [CrossRef]
- Furuno, T.; Imamura, Y.; Kajita, H. The modification of wood by treatment with low molecular weight phenol-formaldehyde resin: A properties enhancement with neutralized phenolic-resin and resin penetration into wood cell walls. Wood Sci. Technol. 2004, 37, 349–361. [Google Scholar]
- Wang, X.; Chen, X.; Xie, X.; Cai, S.; Yuan, Z.; Li, Y. Multi-Scale Evaluation of the Effect of Phenol Formaldehyde Resin Impregnation on the Dimensional Stability and Mechanical Properties of Pinus Massoniana Lamb. Forests 2019, 10, 646. [Google Scholar] [CrossRef]
- Wang, X.; Deng, Y.; Li, Y.; Kjoller, K.; Roy, A.; Wang, S. In situ identification of the molecular-scale interactions of phenol-formaldehyde resin and wood cell walls using infrared nanospectroscopy. RSC Adv. 2016, 6, 76318–76324. [Google Scholar] [CrossRef]
- Paris, J.L.; Kamke, F.A.; Xiao, X. X-ray computed tomography of wood-adhesive bondlines: Attenuation and phase-contrast effects. Wood Sci. Technol. 2015, 49, 1185–1208. [Google Scholar] [CrossRef]
- Yu, Y.; Zhu, R.; Wu, B.; Hu, Y.a.; Yu, W. Fabrication, material properties, and application of bamboo scrimber. Wood Sci. Technol. 2015, 49, 83–98. [Google Scholar] [CrossRef]
- Zhang, Y.; Ma, H.; Meng, F.; Yu, W. Effects of Impregnating Methods on the Properties of Bamboo-based Fiber Composites. China For. Prod. Ind. 2017, 44, 24–27. [Google Scholar]
- Yu, Y.; Liu, R.; Huang, Y.; Meng, F.; Yu, W. Preparation, physical, mechanical, and interfacial morphological properties of engineered bamboo scrimber. Constr. Build. Mater. 2017, 157, 1032–1039. [Google Scholar] [CrossRef]
- Segal, L.; Creely, J.; Martin, A., Jr.; Conrad, C. An empirical method for estimating the degree of crystallinity of native cellulose using the X-ray diffractometer. Text. Res. J. 1959, 29, 786–794. [Google Scholar] [CrossRef]
- GB/T 40247-2021; Bamboo scrimbers. Standardization Administration of the P.R.C.: Beijing, China, 2021.
- Li, Z.-Z.; Luan, Y.; Hu, J.-B.; Fang, C.-H.; Liu, L.-T.; Ma, Y.-F.; Liu, Y.; Fei, B.-H. Bamboo heat treatments and their effects on bamboo properties. Constr. Build. Mater. 2022, 331, 127320. [Google Scholar] [CrossRef]
- Sologubik, C.A.; Campañone, L.A.; Pagano, A.M.; Gely, M.C. Effect of moisture content on some physical properties of barley. Ind. Crops Prod. 2013, 43, 762–767. [Google Scholar] [CrossRef]
- Wei, L.; McDonald, A. A review on grafting of biofibers for biocomposites. Materials 2016, 9, 303. [Google Scholar] [CrossRef] [PubMed]
- Yin, J.; Yuan, T.; Lu, Y.; Song, K.; Li, H.; Zhao, G.; Yin, Y. Effect of compression combined with steam treatment on the porosity, chemical composition and cellulose crystalline structure of wood cell walls. Carbohydr. Polym. 2017, 155, 163–172. [Google Scholar] [CrossRef]
- Wang, X.; Chen, X.; Xie, X.; Yuan, Z.; Cai, S. Effect of Phenol Formaldehyde Resin Penetration on the Quasi-Static and Dynamic Mechanics of Wood Cell Walls Using Nanoindentation. Nanomaterials 2019, 9, 1409. [Google Scholar] [CrossRef]
- Qing, Y.; Sabo, R.; Cai, Z.; Wu, Y. Resin impregnation of cellulose nanofibril films facilitated by water swelling. Cellulose 2013, 20, 303–313. [Google Scholar] [CrossRef]
- Meng, F.; Liu, R.; Zhang, Y.; Huang, Y.; Yu, Y.; Yu, W. Improvement of the water repellency, dimensional stability, and biological resistance of bamboo-based fiber reinforced composites. Polym. Compos. 2019, 40, 506–513. [Google Scholar] [CrossRef]
- Frey, M.; Schneider, L.; Masania, K.; Keplinger, T.; Burgert, I. Delignified wood-polymer interpenetrating composites exceeding the rule of mixtures. ACS Appl. Mater. Interfaces 2019, 11, 35305–35311. [Google Scholar] [CrossRef]
- Adem, A.; Panjiar, H.; Daniel, B. The effect of nanocarbon inclusion on mechanical, tribological, and thermal properties of phenolic resin-based composites: An overview. Eng. Rep. 2024, e12861. [Google Scholar] [CrossRef]
- Lee, C. Crystallinity of wood cellulose fibers studies by X-ray methods. For. Prod. J. 1961, 11, 108–112. [Google Scholar]
- Krishnan, A.; Xu, L.R. Systematic evaluation of bonding strengths and fracture toughness of adhesive joints. J. Adhes. 2011, 87, 53–71. [Google Scholar] [CrossRef]
- Yang, H.; Yan, R.; Chen, H.; Lee, D.H.; Zheng, C. Characteristics of hemicellulose, cellulose and lignin pyrolysis. Fuel 2007, 86, 1781–1788. [Google Scholar] [CrossRef]










Disclaimer/Publisher’s Note: The statements, opinions and data contained in all publications are solely those of the individual author(s) and contributor(s) and not of MDPI and/or the editor(s). MDPI and/or the editor(s) disclaim responsibility for any injury to people or property resulting from any ideas, methods, instructions or products referred to in the content. |
© 2024 by the authors. Licensee MDPI, Basel, Switzerland. This article is an open access article distributed under the terms and conditions of the Creative Commons Attribution (CC BY) license (https://creativecommons.org/licenses/by/4.0/).
Share and Cite
Yang, Z.; Meng, X.; Zeng, G.; Wei, J.; Wang, C.; Yu, W. Effect of Resin Content on the Structure, Water Resistance and Mechanical Properties of High-Density Bamboo Scrimbers. Polymers 2024, 16, 797. https://doi.org/10.3390/polym16060797
Yang Z, Meng X, Zeng G, Wei J, Wang C, Yu W. Effect of Resin Content on the Structure, Water Resistance and Mechanical Properties of High-Density Bamboo Scrimbers. Polymers. 2024; 16(6):797. https://doi.org/10.3390/polym16060797
Chicago/Turabian StyleYang, Zixuan, Xin Meng, Guangda Zeng, Jinguang Wei, Chuangui Wang, and Wenji Yu. 2024. "Effect of Resin Content on the Structure, Water Resistance and Mechanical Properties of High-Density Bamboo Scrimbers" Polymers 16, no. 6: 797. https://doi.org/10.3390/polym16060797
APA StyleYang, Z., Meng, X., Zeng, G., Wei, J., Wang, C., & Yu, W. (2024). Effect of Resin Content on the Structure, Water Resistance and Mechanical Properties of High-Density Bamboo Scrimbers. Polymers, 16(6), 797. https://doi.org/10.3390/polym16060797

