Optimization of Compression Molding Parameters and Lifecycle Carbon Impact Assessment of Bamboo Fiber-Reinforced Polypropylene Composites
Abstract
1. Introduction
2. Materials and Methods
2.1. Materials
2.2. Sample Preparation
2.3. Characterization
2.3.1. Characterization of Crystallization and Melting Behavior
2.3.2. Characterization of Water Absorption Performance
2.3.3. Characterization of Microstructure
2.3.4. Characterization of Mechanical Properties
2.3.5. Analysis of Life Cycle Assessment
3. Results and Discussion
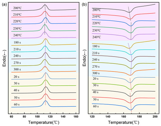
3.1. Influence of Process Parameters on Crystallization and Melting Behavior
3.2. Influence of Process Parameters on Overall Performance
3.3. Impact Analysis of Life Cycle Assessment
4. Conclusions
Author Contributions
Funding
Institutional Review Board Statement
Data Availability Statement
Conflicts of Interest
References
- Feng, T.; Guo, W.; Li, W.; Meng, Z.; Zhu, Y.; Zhao, F.; Liang, W. Unveiling sustainable potential: A life cycle assessment of plant-fiber composite microcellular foam molded automotive components. Materials 2023, 16, 4952. [Google Scholar] [CrossRef] [PubMed]
- Alves, C.; Ferrao, P.M.C.; Silva, A.J.; Reis, L.G.; Freitas, M.; Rodrigues, L.B.; Alves, D.E. Ecodesign of automotive components making use of natural jute fiber composites. J. Clean Prod. 2010, 18, 313–327. [Google Scholar] [CrossRef]
- Zhao, W.; Zou, Y.; Zhang, W.; Chen, H.; Zhang, J.; Wu, A.; Yuan, S.; Zhao, Y. Optimization of process parameters for bamboo fiber extraction by steam explosion. J. Nat. Fibers 2024, 21, 2301369. [Google Scholar] [CrossRef]
- Li, M.; Pu, Y.; Thomas, V.M.; Yoo, C.G.; Ozcan, S.; Deng, Y.; Nelson, K.; Ragauskas, A.J. Recent advancements of plant-based natural fiber–reinforced composites and their applications. Compos. Part B Eng. 2020, 200, 108254. [Google Scholar] [CrossRef]
- Sanjay, M.R.; Siengchin, S.; Parameswaranpillai, J.; Jawaid, M.; Pruncu, C.I.; Khan, A. A comprehensive review of techniques for natural fibers as reinforcement in composites: Preparation, processing and characterization. Carbohydr. Polym. 2019, 207, 108–121. [Google Scholar] [CrossRef]
- Nahar, S.; Khan, R.A.; Dey, K.; Sarker, B.; Das, A.K.; Ghoshal, S. Comparative studies of mechanical and interfacial properties between jute and bamboo fiber-reinforced polypropylene-based composites. J. Thermoplast. Compos. Mater. 2011, 25, 15–32. [Google Scholar] [CrossRef]
- Lee, S.K.; Park, E.Y.; Park, T.S.; An, S.K. Mechanical properties of PP/glass fiber/kenaf/bamboo fiber-reinforced hybrid composite. Fibers Polym. 2021, 22, 1460–1465. [Google Scholar] [CrossRef]
- Li, Y.; Yi, X.; Yu, T.; Xian, G. An overview of structural-functional-integrated composites based on the hierarchical microstructures of plant fibers. Adv. Compos. Hybrid Mater. 2018, 1, 231–246. [Google Scholar] [CrossRef]
- Mousavi, S.R.; Zamani, M.H.; Estaji, S.; Tayouri, M.I.; Arjmand, M.; Jafari, S.H.; Nouranian, S.; Khonakdar, H.A. Mechanical properties of bamboo fiber-reinforced polymer composites: A review of recent case studies. J. Mater. Sci. 2022, 57, 3143–3167. [Google Scholar] [CrossRef]
- Zakikhani, P.; Zahari, R.; Sultan, M.T.H.; Majid, D.L. Extraction and preparation of bamboo fibre-reinforced composites. Mater. Des. 2014, 63, 820–828. [Google Scholar] [CrossRef]
- Gu, F.; Zheng, Y.; Zhang, W.; Yao, X.; Pan, D.; Wong, A.S.M.; Guo, J.; Hall, P.; Sharmin, N. Can bamboo fibres be an alternative to flax fibres as materials for plastic reinforcement? A comparative life cycle study on polypropylene/flax/bamboo laminates. Ind. Crops Prod. 2018, 121, 372–387. [Google Scholar] [CrossRef]
- Ying-Chen, Z.; Hong-Yan, W.; Yi-Ping, Q. Morphology and properties of hybrid composites based on polypropylene/polylactic acid blend and bamboo fiber. Bioresour. Technol. 2010, 101, 7944–7950. [Google Scholar] [CrossRef] [PubMed]
- Hao, J.; Yi, X.; Zong, G.; Song, Y.; Wang, W.; Cheng, H.; Wang, G. Fabrication of long bamboo fiber-reinforced thermoplastic composite by extrusion and improvement of its properties. Ind. Crops Prod. 2021, 173, 114120. [Google Scholar] [CrossRef]
- Inácio, A.L.N.; Nonato, R.C.; Bonse, B.C. Mechanical and thermal behavior of aged composites of recycled PP/EPDM/talc reinforced with bamboo fiber. Polym. Test. 2018, 72, 357–363. [Google Scholar] [CrossRef]
- Yuan, H.; Khan, M.; Peijs, T.; Qian, C. Experimental process characterisation for high-volume compression moulding of hybrid-architecture composites. Compos. Part A Appl. Sci. Manuf. 2024, 181, 108137. [Google Scholar] [CrossRef]
- Manalu, J.; Numberi, J.J.; Safanpo, A.; Fitriyana, D.F.; Wijaya, T.L.; Siregar, J.P.; Cionita, T.; Jaafar, J. Characterization of eco-friendly composites for automotive applications prepared by the compression molding method. Polym. Compos. 2024, 45, 8104–8118. [Google Scholar] [CrossRef]
- Kawabe, K.; Kawai, T.; Komoto, T.; Kuroda, S. Mechanical and morphological studies on compressive properties of brake materials. Sen-I Gakkaishi 2011, 67, 153–162. [Google Scholar] [CrossRef]
- Jiang, T.; Zeng, G.; Hu, C. Fabrication of highly filled wood plastic composite pallets with extrusion-compression molding technique. Polym. Compos. 2020, 41, 2724–2731. [Google Scholar] [CrossRef]
- Corbridge, D.M.; Harper, L.T.; De Focatiis, D.S.A.; Warrior, N.A. Compression moulding of composites with hybrid fibre architectures. Compos. Part A Appl. Sci. Manuf. 2017, 95, 87–99. [Google Scholar] [CrossRef]
- Mallick, P.K. Effect of fiber misorientation on the tensile strength of compression molded continuous fiber composites. Polym. Compos. 1986, 7, 14–18. [Google Scholar] [CrossRef]
- Doppelbauer, L.K.; Rienesl, K.; Stelzer, P.S.; Zulueta, K.; Chang, L.-Y.; Major, Z. A macroscopic model of the compaction process during compression molding of carbon fiber sheet molding compounds. Compos. Part. A Appl. Sci. Manuf. 2023, 169, 107535. [Google Scholar] [CrossRef]
- Park, J.H.; Kim, S.K. Expansion injection molding process using clamping force for melt compression. Polymers 2024, 16, 424. [Google Scholar] [CrossRef] [PubMed]
- Masato, D.; Kazmer, D.; Gruber, A. Meta-analysis of thermal contact resistance in injection molding: A comprehensive literature review and multivariate modeling. Polym. Eng. Sci. 2023, 63, 3923–3937. [Google Scholar] [CrossRef]
- Adesina, O.T.; Jamiru, T.; Sadiku, E.R.; Ogunbiyi, O.F.; Beneke, L.W. Mechanical evaluation of hybrid natural fibre-reinforced polymeric composites for automotive bumper beam: A review. Int. J. Adv. Manuf. Technol. 2019, 103, 1781–1797. [Google Scholar] [CrossRef]
- Florez, M.; Cazon, P.; Vazquez, M. Selected biopolymers’ processing and their applications: A review. Polymers 2023, 15, 641. [Google Scholar] [CrossRef]
- Angulo, C.; Shackleford, L.; Ning, H.; Pillay, S. Comparative study on the mechanical behaviors of compression molded, additively manufactured, and injection molded recycled carbon fiber reinforced rHDPE composites. Compos. Part B Eng. 2024, 275, 111323. [Google Scholar] [CrossRef]
- ISO 62:2008. Available online: https://www.iso.org/standard/41672.html (accessed on 3 December 2024).
- ISO 527-1:2019. Available online: https://www.iso.org/standard/75824.html (accessed on 3 December 2024).
- ISO 178:2019. Available online: https://www.iso.org/standard/70513.html (accessed on 3 December 2024).
- ISO 180:2023. Available online: https://www.iso.org/standard/84394.html (accessed on 3 December 2024).
- Xie, J.; Wang, S.; Cui, Z.; Wu, J. Process Optimization for Compression Molding of Carbon Fiber–Reinforced Thermosetting Polymer. Materials 2019, 12, 2430. [Google Scholar] [CrossRef]
- Ying, Q.; Jia, Z.; Wang, X.; Liu, L.; Li, J.; Rong, D. Effect of molding process parameters on the mechanical properties of CGFRPP products. J. Mech. Sci. Technol. 2024, 38, 2949–2959. [Google Scholar] [CrossRef]
- da Luz, J.; Losekann, M.A.; dos Santos, A.; de Oliveira, J.H.; Girotto, E.M.; Moises, M.P.; Radovanovic, E.; Favaro, S.L. Hydrothermal treatment of sisal fiber for composite preparation. J. Compos. Mater. 2019, 38, 2337–2347. [Google Scholar] [CrossRef]
- Wang, Q.; Chen, T.; Wang, X.; Zheng, Y.; Zheng, J.; Song, G.; Liu, S. Recent Progress on Moisture Absorption Aging of Plant Fiber Reinforced Polymer Composites. Polymers 2023, 15, 4121. [Google Scholar] [CrossRef]
- Rubio-Lopez, A.; Olmedo, A.; Diaz-Alvarez, A.; Santiuste, C. Manufacture of compression moulded PLA based biocomposites: A parametric study. Compos. Struct. 2015, 131, 995–1000. [Google Scholar] [CrossRef]
- Ohishi, M.; Uozumi, T.; Ohtani, A.; Nakai, A. Effect of Heating Conditions on Mechanical Properties of Molded Product in Hybrid Molding. In Proceedings of the 20th International Conference On Composite Materials, Copenhagen, Denmark, 19–24 July 2015; Thomsen, O.T., Berggreen, C., Sorensen, B.F., Eds.; Aalborg University Press: Aalborg, Denmark, 2015. Available online: https://webofscience.clarivate.cn/wos/alldb/full-record/WOS:000663432103073 (accessed on 27 November 2024).
- Knezevic, D.; Tutunea-Fatan, O.R.; Gergely, R.; Okonski, D.A.; Ivanov, S.; Dorr, D. Thermographic analysis of a long fiber-reinforced thermoplastic compression molding process. Int. J. Adv. Manuf. Technol. 2022, 119, 6119–6133. [Google Scholar] [CrossRef]







| Experimental Group | Preheating Temperature (°C) | Preheating Time (s) | Molding Pressure (MPa) | Holding Time (s) |
|---|---|---|---|---|
| 1 | 200 | 240 | 20 | 60 |
| 2 | 210 | 20 | ||
| 3 | 220 | 20 | ||
| 4 | 230 | 20 | ||
| 5 | 240 | 20 | ||
| 6 | 220 | 180 | 20 | 60 |
| 7 | 210 | 20 | ||
| 8 | 240 | 20 | ||
| 9 | 270 | 20 | ||
| 10 | 300 | 20 | ||
| 11 | 220 | 240 | 20 | 20 |
| 12 | 20 | 30 | ||
| 13 | 20 | 40 | ||
| 14 | 20 | 50 | ||
| 15 | 20 | 60 |
| Composition | (°C) | (°C) | (J/g) | |
|---|---|---|---|---|
| 200 °C | 167.0 ± 0.1 | 111.9 ± 0.2 | 38.27 ± 0.1 | 36.62 ± 0.1 |
| 210 °C | 168.4 ± 0.1 | 112.0 ± 0.2 | 38.47 ± 0.1 | 36.81 ± 0.1 |
| 220 °C | 169.2 ± 0.1 | 112.8 ± 0.2 | 38.96 ± 0.1 | 37.28 ± 0.1 |
| 230 °C | 169.1 ± 0.1 | 111.7 ± 0.2 | 38.75 ± 0.1 | 37.08 ± 0.1 |
| 240 °C | 169.1 ± 0.1 | 111.5 ± 0.2 | 38.73 ± 0.1 | 37.06 ± 0.1 |
| 180 s | 166.8 ± 0.1 | 112.9 ± 0.2 | 38.19 ± 0.1 | 36.55 ± 0.1 |
| 210 s | 169.3 ± 0.1 | 112.0 ± 0.2 | 38.64 ± 0.1 | 36.98 ± 0.1 |
| 240 s | 169.2 ± 0.1 | 112.8 ± 0.2 | 39.03 ± 0.1 | 37.35 ± 0.1 |
| 270 s | 169.9 ± 0.1 | 111.7 ± 0.2 | 39.12 ± 0.1 | 37.44 ± 0.1 |
| 300 s | 168.4 ± 0.1 | 112.0 ± 0.2 | 38.56 ± 0.1 | 36.90 ± 0.1 |
| 20 s | 168.3 ± 0.1 | 113.3 ± 0.2 | 38.48 ± 0.1 | 36.82 ± 0.1 |
| 30 s | 168.9 ± 0.1 | 113.0 ± 0.2 | 39.09 ± 0.1 | 37.41 ± 0.1 |
| 40 s | 168.6 ± 0.1 | 113.3 ± 0.2 | 39.1 ± 0.1 | 37.42 ± 0.1 |
| 50 s | 168.4 ± 0.1 | 113.0 ± 0.2 | 38.88 ± 0.1 | 37.21 ± 0.1 |
| 60 s | 169.2 ± 0.1 | 112.8 ± 0.2 | 38.84 ± 0.1 | 37.17 ± 0.1 |
Disclaimer/Publisher’s Note: The statements, opinions and data contained in all publications are solely those of the individual author(s) and contributor(s) and not of MDPI and/or the editor(s). MDPI and/or the editor(s) disclaim responsibility for any injury to people or property resulting from any ideas, methods, instructions or products referred to in the content. |
© 2024 by the authors. Licensee MDPI, Basel, Switzerland. This article is an open access article distributed under the terms and conditions of the Creative Commons Attribution (CC BY) license (https://creativecommons.org/licenses/by/4.0/).
Share and Cite
Li, W.; Feng, T.; Lu, T.; Zhao, F.; Zhao, J.; Guo, W.; Hua, L. Optimization of Compression Molding Parameters and Lifecycle Carbon Impact Assessment of Bamboo Fiber-Reinforced Polypropylene Composites. Polymers 2024, 16, 3435. https://doi.org/10.3390/polym16233435
Li W, Feng T, Lu T, Zhao F, Zhao J, Guo W, Hua L. Optimization of Compression Molding Parameters and Lifecycle Carbon Impact Assessment of Bamboo Fiber-Reinforced Polypropylene Composites. Polymers. 2024; 16(23):3435. https://doi.org/10.3390/polym16233435
Chicago/Turabian StyleLi, Wei, Tao Feng, Tongyuan Lu, Feng Zhao, Jialong Zhao, Wei Guo, and Lin Hua. 2024. "Optimization of Compression Molding Parameters and Lifecycle Carbon Impact Assessment of Bamboo Fiber-Reinforced Polypropylene Composites" Polymers 16, no. 23: 3435. https://doi.org/10.3390/polym16233435
APA StyleLi, W., Feng, T., Lu, T., Zhao, F., Zhao, J., Guo, W., & Hua, L. (2024). Optimization of Compression Molding Parameters and Lifecycle Carbon Impact Assessment of Bamboo Fiber-Reinforced Polypropylene Composites. Polymers, 16(23), 3435. https://doi.org/10.3390/polym16233435

