Novel Mixed-Matrix Pervaporation Membrane Based on Polyether Block Amide Modified with Ho-Based Metal–Organic Framework
Abstract
1. Introduction
2. Materials and Methods
2.1. Materials
2.2. Dense Membrane Preparation
2.3. Supported Membrane Preparation
2.4. Pervaporation Experiment
2.5. Fourier Transform Infrared Spectroscopy
2.6. Atomic Force Microscopy
2.7. Scanning Electron Microscopy
2.8. Swelling Degree
3. Results and Discussion
- “Section 3.1” focuses on the development of the dense PEBA and PEBA/Ho-1,3,5-H3btc membranes; the study of their transport is presented in “Section 3.1.1” and their structure and physicochemical properties are discussed in “Section 3.1.2”;
- “Section 3.2” focuses on the development of the supported PEBA and PEBA/Ho-1,3,5-H3btc membranes; the study of their transport is presented in “Section 3.2.1” and their physicochemical properties are discussed in “Section 3.2.2”;
- “Section 3.3” is dedicated to the comparison of the performance of the developed membranes with PEBA-based membranes from literature data.
3.1. The Development and Investigation of Dense PEBA and PEBA/Ho-1,3,5-H3btc Membranes
3.1.1. Pervaporation Performance of Dense PEBA and PEBA/Ho-1,3,5-H3btc Membranes
3.1.2. Structure and Physicochemical Properties of Dense PEBA and PEBA/Ho-1,3,5-H3btc Membranes
3.2. The Development and Investigation of the Supported PEBA and PEBA/Ho-1,3,5-H3btc Membranes
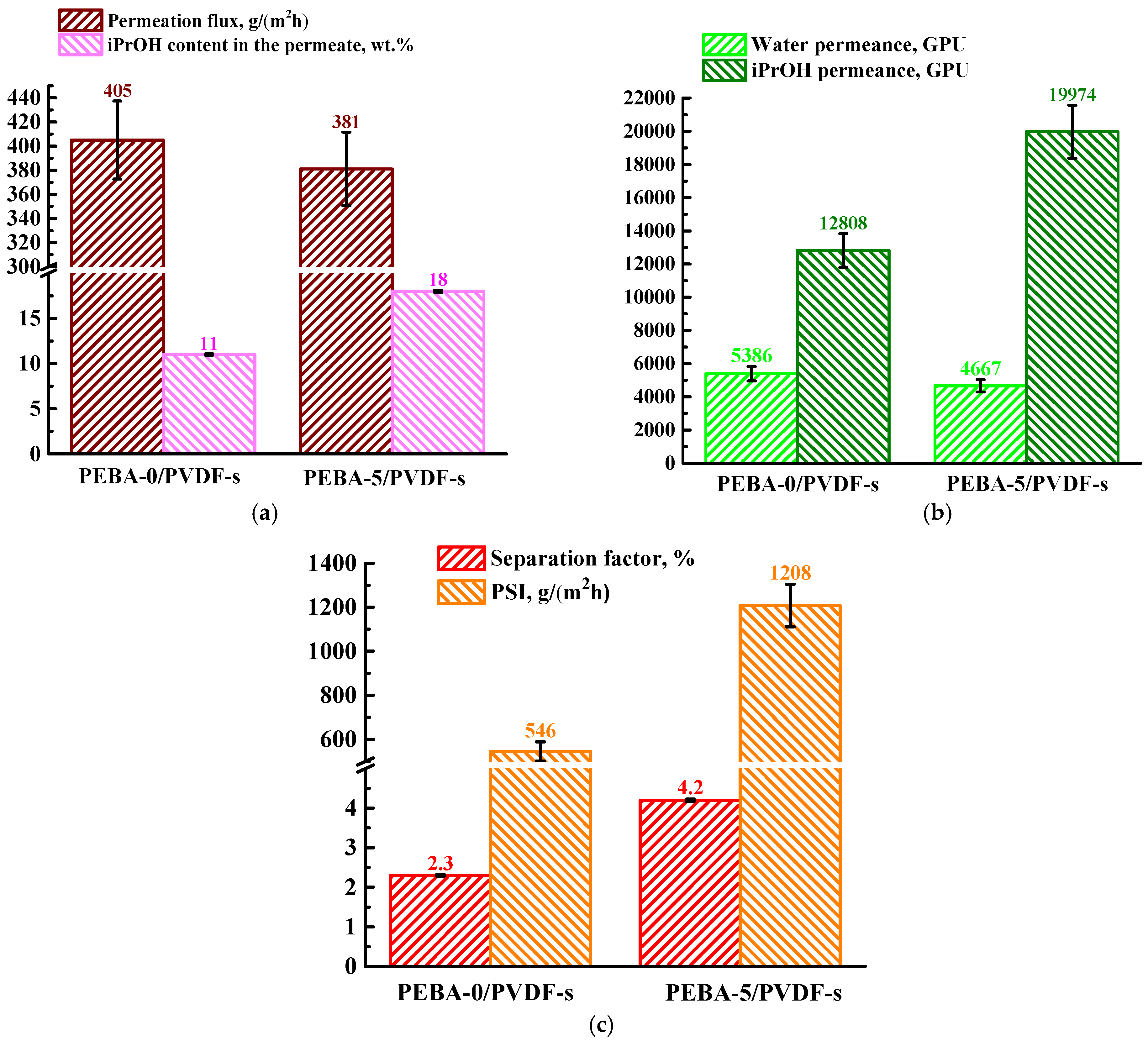
3.2.1. Pervaporation Performance of Supported PEBA and PEBA/Ho-1,3,5-H3btc Membranes
3.2.2. Structure and Physicochemical Properties of Supported PEBA and PEBA/Ho-1,3,5-H3btc Membranes
3.3. Comparison of Performance with PEBA-Based Membranes
| Membranes | T, °C | Phenol Content in the Feed, wt.% | Permeation Flux, g/(m2h) | Separation Factor | References |
|---|---|---|---|---|---|
| PEBA-5/PVDF-s | 50 | 0.1 | 1040 | 5.0 | This study |
| PEBA-0/PVDF-s | 50 | 0.1 | 1140 | 3.0 | This study |
| PEBA + polyurethane (1:1) | 35 | 0.1 | 84.1 | 9.7 | [74] |
| ZIF-71P/PEBA-21 | 50 | 0.1 | 911.1 | 18.96 | [46] |
| ZIF-71K/PEBA-21 | 50 | 0.1 | 965.49 | 17.74 | |
| 40%Co-UMOFNs-PEBA/PVDF | 70 | 0.1 | 420 | 45.49 | [20] |
| PEBA + MAF-6 (7 wt.%) | 80 | 0.1 | 3520 | 25.9 | [22] |
| S-ZIF-8/PEBA/ZIF-8-8 | 80 | 0.2 | 198 | 114 | [75] |
| PEBA/HZIF-8-10 | 80 | 0.2 | 247.7 | 80.89 | [18] |
| PEBA-5/PVDF-s | 50 | 1 | 1218 | 5.4 | This study |
| PEBA-0/PVDF-s | 50 | 1 | 1269 | 3.1 | This study |
| S-ZIF-8/PEBA/ZIF-8-8 | 70 | 0.8 | 215.85 | 109.3 | [75] |
| PEBA-2533 | 70 | 0.6–0.8 | 1100 | 23 | [76] |
| PEBA-2533/ZIF-8 (10%) | 70 | 0.8 | 1310 | 53 | [77] |
4. Conclusions
Author Contributions
Funding
Institutional Review Board Statement
Data Availability Statement
Acknowledgments
Conflicts of Interest
References
- Satchanska, G.; Davidova, S.; Petrov, P.D. Natural and Synthetic Polymers for Biomedical and Environmental Applications. Polymers 2024, 16, 1159. [Google Scholar] [CrossRef] [PubMed]
- Tsitsilianis, C.; Gotzamanis, G.; Iatridi, Z. Design of “smart” segmented polymers by incorporating random copolymers as building blocks. Eur. Polym. J. 2011, 47, 497–510. [Google Scholar] [CrossRef]
- Yilgor, I.; Yilgor, E. Structure-Morphology-Property Behavior of Segmented Thermoplastic Polyurethanes and Polyureas Prepared without Chain Extenders. Polym. Rev. 2007, 47, 487–510. [Google Scholar] [CrossRef]
- Konyukhova, E.; Buzin, A.; Godovsky, Y. Melting of polyether block amide (Pebax): The effect of stretching. Thermochim. Acta 2002, 391, 271–277. [Google Scholar] [CrossRef]
- Yave, W.; Car, A.; Peinemann, K.-V. Nanostructured membrane material designed for carbon dioxide separation. J. Membr. Sci. 2010, 350, 124–129. [Google Scholar] [CrossRef]
- Vasileiou, A.N.; Theodorakopoulos, G.V.; Karousos, D.S.; Bouroushian, M.; Sapalidis, A.A.; Favvas, E.P. Nanocarbon-Based Mixed Matrix Pebax-1657 Flat Sheet Membranes for CO2/CH4 Separation. Membranes 2023, 13, 470. [Google Scholar] [CrossRef]
- Khan, R.; Liu, W.-M.; Haq, I.U.; Zhen, H.-G.; Mao, H.; Zhao, Z.-P. Fabrication of highly selective PEBA mixed matrix membranes by incorporating metal-organic framework MIL-53 (Al) for the pervaporation separation of pyridine-water mixture. J. Membr. Sci. 2023, 686, 122014. [Google Scholar] [CrossRef]
- Fang, L.J.; Chen, J.H.; Wang, J.M.; Lin, W.W.; Lin, X.G.; Lin, Q.J.; He, Y. Hydrophobic Two-Dimensional MoS2 Nanosheets Embedded in a Polyether Copolymer Block Amide (PEBA) Membrane for Recovering Pyridine from a Dilute Solution. ACS Omega 2021, 6, 2675–2685. [Google Scholar] [CrossRef]
- Chen, J.H.; Su, Z.B.; Xu, J.P.; Lin, L.J.; Dong, X.F.; Peng, Q.; San He, Y.; Nie, Y.J. Fabrication of PEBA/Cu2O mixed-matrix membranes and their application in pyridine recovery from aqueous solution. RSC Adv. 2017, 7, 22936–22945. [Google Scholar] [CrossRef]
- Cai, P.; Li, J.; Zhang, N.; Song, D.; Wang, N.; An, Q.-F. Liquid-liquid interface induced high-flux PEBA pervaporation membrane for ethanol recovery. J. Membr. Sci. 2023, 668, 121254. [Google Scholar] [CrossRef]
- Pei, C.; Mao, H.; Liu, W.-M.; Xie, W.-W.; Zhao, Z.-P. Surface plasma etching of ZIF-8/PEBA mixed matrix membranes for enhanced ethanol permselective pervaporation. In Proceedings of the Ninth International Conference on Mechanical Engineering, Materials, and Automation Technology (MMEAT 2023), Dalian, China, 9–11 June 2023; SPIE: Paris, France, 2023; p. 118. [Google Scholar]
- Selim, A.; Knozowska, K.; Ośmiałowski, B.; Kujawa, J.; Mizsey, P.; Kujawski, W. The fabrication, characterization, and pervaporation performance of poly(ether-block-amide) membranes blended with 4-(trifluoromethyl)-N(pyridine-2-yl)benzamide and 4-(dimethylamino)-N(pyridine-2-yl)benzamide fillers. Sep. Purif. Technol. 2021, 268, 118707. [Google Scholar] [CrossRef]
- Liu, Q.; Li, Y.; Li, Q.; Liu, G.; Liu, G.; Jin, W. Mixed-matrix hollow fiber composite membranes comprising of PEBA and MOF for pervaporation separation of ethanol/water mixtures. Sep. Purif. Technol. 2019, 214, 2–10. [Google Scholar] [CrossRef]
- Pakizeh, M.; Rouhani, R.; Pourafshari Chenar, M. A new route for ZIF-8 synthesis and its application in MMM preparation for toluene removal from water using PV process. Chem. Eng. Res. Des. 2023, 190, 730–744. [Google Scholar] [CrossRef]
- Rohani, R.; Pakizeh, M.; Chenar, M.P. Toluene/water separation using MCM-41/ PEBA mixed matrix membrane via pervaporation process. J. Membr. Sci. 2022, 662, 120988. [Google Scholar] [CrossRef]
- Cao, X.; Wang, K.; Feng, X. Incorporating ZIF-71 into poly(ether-block-amide) (PEBA) to form mixed matrix membranes for enhanced separation of aromatic compounds from aqueous solutions by pervaporation. Sep. Purif. Technol. 2022, 300, 121924. [Google Scholar] [CrossRef]
- Wang, H.; Li, C.; Xu, Q.; Liu, C.; Zhang, Z.; Du, X.; Hao, X.; Guan, G. Mass transport and pervaporation recovery of aniline with high-purity from dilute aqueous solution by PEBA/PVDF composite membranes. Sep. Purif. Technol. 2021, 268, 118708. [Google Scholar] [CrossRef]
- Xue, Y.X.; Dai, F.F.; Yang, Q.; Chen, J.H.; Lin, Q.J.; Fang, L.J.; Lin, W.W. Fabrication of PEBA/HZIF-8 Pervaporation Membranes for High Efficiency Phenol Recovery. ACS Omega 2022, 7, 23467–23478. [Google Scholar] [CrossRef]
- Mao, G.; Gao, Y.; Zhou, H.; Jin, W. Tuning of solvent evaporation to prepare PEBA membrane with high separation performance for the pervaporation of phenol aqueous solution. J. Membr. Sci. 2022, 656, 120638. [Google Scholar] [CrossRef]
- Liu, L.; Li, Y.; Xu, M.; Wang, C. 2D Co-UMOFNs filled PEBA composite membranes for pervaporation of phenol solution. Sep. Purif. Technol. 2022, 285, 120414. [Google Scholar] [CrossRef]
- Mao, H.; Li, S.-H.; Xu, L.-H.; Wang, S.; Liu, W.-M.; Lv, M.-Y.; Lv, J.; Zhao, Z.-P. Zeolitic imidazolate frameworks in mixed matrix membranes for boosting phenol/water separation: Crystal evolution and preferential orientation. J. Membr. Sci. 2021, 638, 119611. [Google Scholar] [CrossRef]
- Khan, R.; Ul Haq, I.; Mao, H.; Zhang, A.-S.; Xu, L.-H.; Zhen, H.-G.; Zhao, Z.-P. Enhancing the pervaporation performance of PEBA/PVDF membrane by incorporating MAF-6 for the separation of phenol from its aqueous solution. Sep. Purif. Technol. 2021, 256, 117804. [Google Scholar] [CrossRef]
- Mao, H.; Li, S.-H.; Zhang, A.-S.; Xu, L.-H.; Lu, H.-X.; Lv, J.; Zhao, Z.-P. Furfural separation from aqueous solution by pervaporation membrane mixed with metal organic framework MIL-53(Al) synthesized via high efficiency solvent-controlled microwave. Sep. Purif. Technol. 2021, 272, 118813. [Google Scholar] [CrossRef]
- Zhang, A.-S.; Li, S.-H.; Ahmad, A.; Mao, H.; Xu, L.-H.; Zhao, Z.-P. Coordinate covalent grafted ILs-modified MIL-101/PEBA membrane for pervaporation: Adsorption simulation and separation characteristics. J. Membr. Sci. 2021, 619, 118807. [Google Scholar] [CrossRef]
- Vatani, M.; Raisi, A.; Pazuki, G. Three-component mixed matrix membrane containing [Hmim][PF6] ionic liquid and ZSM-5 nanoparticles based on poly (ether-block-amide) for the pervaporation process. J. Mol. Liq. 2019, 277, 471–480. [Google Scholar] [CrossRef]
- Vatani, M.; Raisi, A.; Pazuki, G. Mixed matrix membrane of ZSM-5/poly (ether-block-amide)/polyethersulfone for pervaporation separation of ethyl acetate from aqueous solution. Microporous Mesoporous Mater. 2018, 263, 257–267. [Google Scholar] [CrossRef]
- Malekzadeh Dirin, A.; Saljoughi, E.; Mousavi, S.M.; Kiani, S. Pervaporation separation of isopropylbenzene from water using four different polymeric membranes: Membrane preparation, modification, characterization, and performance evaluation. J. Taiwan Inst. Chem. Eng. 2020, 114, 67–80. [Google Scholar] [CrossRef]
- Rajaee Gazic, F.; Saljoughi, E.; Mousavi, S.M. Recovery of 1-ethyl-2-methylbenzene from wastewater by polymeric membranes via pervaporation process. J. Polym. Res. 2019, 26, 272. [Google Scholar] [CrossRef]
- Li, Y.; Yan, D.; Wu, Y. Ionic liquid-modified MCM-41-polymer mixed matrix membrane for butanol pervaporation. R. Soc. Open Sci. 2019, 6, 190291. [Google Scholar] [CrossRef]
- Tang, W.; Lou, H.; Li, Y.; Kong, X.; Wu, Y.; Gu, X. Ionic liquid modified graphene oxide-PEBA mixed matrix membrane for pervaporation of butanol aqueous solutions. J. Membr. Sci. 2019, 581, 93–104. [Google Scholar] [CrossRef]
- Mohammadi, T.; Kikhavandi, T.; Moghbeli, M. Synthesis and characterization of poly(ether-block-amide) membranes for the pervaporation of organic/aqueous mixtures. J. Appl. Polym. Sci. 2008, 107, 1917–1923. [Google Scholar] [CrossRef]
- Najafi, M.; Mousavi, S.M.; Saljoughi, E. Preparation and characterization of poly(Ether block amide)/graphene membrane for recovery of isopropanol from aqueous solution via pervaporation. Polym. Compos. 2018, 39, 2259–2267. [Google Scholar] [CrossRef]
- Sampranpiboon, P.; Jiraratananon, R.; Uttapap, D.; Feng, X.; Huang, R.Y. Pervaporation separation of ethyl butyrate and isopropanol with polyether block amide (PEBA) membranes. J. Membr. Sci. 2000, 173, 53–59. [Google Scholar] [CrossRef]
- Mujiburohman, M.; Feng, X. Permselectivity, solubility and diffusivity of propyl propionate/water mixtures in poly(ether block amide) membranes. J. Membr. Sci. 2007, 300, 95–103. [Google Scholar] [CrossRef]
- Nthunya, L.N.; Gutierrez, L.; Derese, S.; Mamba, B.B.; Verliefde, A.R.; Mhlanga, S.D. Adsorption of phenolic compounds by polyacrylonitrile nanofibre membranes: A pretreatment for the removal of hydrophobic bearing compounds from water. J. Environ. Chem. Eng. 2019, 7, 103254. [Google Scholar] [CrossRef]
- Guo, S.; Wu, Z.; Liu, W.; Huang, D.; Li, H.; Hu, N. Enrichment and isolation of phenol from its aqueous solution using foam fractionation. J. Ind. Eng. Chem. 2016, 36, 180–183. [Google Scholar] [CrossRef]
- Ferri, F.; Bertin, L.; Scoma, A.; Marchetti, L.; Fava, F. Recovery of low molecular weight phenols through solid-phase extraction. Chem. Eng. J. 2011, 166, 994–1001. [Google Scholar] [CrossRef]
- Kontos, S.S.; Ioannou, I.S.; Koutsoukos, P.G.; Paraskeva, C.A. Valuable phenolic compounds recovery from olive mill wastewater streams by means of cooling crystallization techniques. Desalin. Water Treat. 2018, 112, 232–241. [Google Scholar] [CrossRef]
- Ramírez, E.E.P.; Asunción, M.D.L.L.; Rivalcoba, V.S.; Hernández, A.L.M.; Santos, C.V. Removal of Phenolic Compounds from Water by Adsorption and Photocatalysis. In Phenolic Compounds—Natural Sources, Importance and Applications; InTech: London, UK, 2017. [Google Scholar]
- Villegas, L.G.C.; Mashhadi, N.; Chen, M.; Mukherjee, D.; Taylor, K.E.; Biswas, N. A Short Review of Techniques for Phenol Removal from Wastewater. Curr. Pollut. Rep. 2016, 2, 157–167. [Google Scholar] [CrossRef]
- Tan, H.; Wu, Y.; Zhou, Y.; Liu, Z.; Li, T. Pervaporative recovery of n-butanol from aqueous solutions with MCM-41 filled PEBA mixed matrix membrane. J. Membr. Sci. 2014, 453, 302–311. [Google Scholar] [CrossRef]
- Matavos-Aramyan, S.; Bagheri, G.; Jazebizadeh, M.H. Pervaporation Separation of Toluene from Aqueous Solutions Using Nano-Based PEBA/NaX Mixed Matrix Membrane. Silicon 2019, 11, 1725–1730. [Google Scholar] [CrossRef]
- Tan, H.; Wu, Y.; Li, T. Pervaporation of n-butanol aqueous solution through ZSM-5-PEBA composite membranes. J. Appl. Polym. Sci. 2013, 129, 105–112. [Google Scholar] [CrossRef]
- Gu, J.; Zhang, X.; Bai, Y.; Yang, L.; Zhang, C.; Sun, Y. ZSM-5 Filled Polyether Block Amide Membranes for Separating EA from Aqueous Solution by Pervaporation. Int. J. Polym. Sci. 2013, 2013, 760156. [Google Scholar] [CrossRef]
- Yen, H.-W.; Chen, Z.-H.; Yang, I.-K. Use of the composite membrane of poly(ether-block-amide) and carbon nanotubes (CNTs) in a pervaporation system incorporated with fermentation for butanol production by Clostridium acetobutylicum. Bioresour. Technol. 2012, 109, 105–109. [Google Scholar] [CrossRef]
- Zhang, Z.; Liu, Y.; Lin, Z.; Wu, R.; Fang, R.; Guo, W.; Yao, J. Boosting pervaporation performance of polyether block amide membranes by embedding structural-evolution zeolitic imidazolate framework-71s for phenol/water separation. Sep. Purif. Technol. 2024, 339, 126593. [Google Scholar] [CrossRef]
- Cai, P.; Li, J.; Song, D.; Zhang, N.; Wang, N.; An, Q.-F. Enhancing permeability and stability of ZIF-8/PEBA pervaporation membrane through interface-induced directional nanoparticle distribution. J. Membr. Sci. 2024, 695, 122489. [Google Scholar] [CrossRef]
- Zhang, H.; Xiao, F.; Wu, Y. Fluorinated Metal–Organic Framework–Polymer Mixed Matrix Membrane with Tunable Hydrophobic Channel for Efficient Pervaporation of Butanol/Water. Small Struct. 2024, 5, 2300333. [Google Scholar] [CrossRef]
- Zhang, Z.; Gou, E.; Zhao, Z.; Yao, J. Hydrophobically functionalized MIL-101/PEBA/PVDF composite membranes for phenol recovery by pervaporation. Sep. Purif. Technol. 2023, 327, 124900. [Google Scholar] [CrossRef]
- Kuzminova, A.; Dmitrenko, M.; Salomatin, K.; Vezo, O.; Kirichenko, S.; Egorov, S.; Bezrukova, M.; Karyakina, A.; Eremin, A.; Popova, E.; et al. Holmium-Containing Metal-Organic Frameworks as Modifiers for PEBA-Based Membranes. Polymers 2023, 15, 3834. [Google Scholar] [CrossRef]
- Dmitrenko, M.; Kuzminova, A.; Zolotarev, A.; Markelov, D.; Komolkin, A.; Loginova, E.; Plisko, T.; Burts, K.; Bildyukevich, A.; Penkova, A. Modification strategies of polyacrylonitrile ultrafiltration membrane using TiO<inf>2</inf> for enhanced antifouling performance in water treatment. Sep. Purif. Technol. 2022, 286, 120500. [Google Scholar] [CrossRef]
- Kuzminova, A.I.; Dmitrenko, M.E.; Poloneeva, D.Y.; Selyutin, A.A.; Mazur, A.S.; Emeline, A.V.; Mikhailovskii, V.Y.; Solovyev, N.D.; Ermakov, S.S.; Penkova, A.V. Sustainable composite pervaporation membranes based on sodium alginate modified by metal organic frameworks for dehydration of isopropanol. J. Membr. Sci. 2021, 626, 119194. [Google Scholar] [CrossRef]
- Baker, R.W. Membrane Technology and Applications; McGraw-Hill: New York, NY, USA, 2000. [Google Scholar]
- Baker, R.W.; Wijmans, J.G.; Huang, Y. Permeability, permeance and selectivity: A preferred way of reporting pervaporation performance data. J. Membr. Sci. 2010, 348, 346–352. [Google Scholar] [CrossRef]
- Kuzminova, A.; Dmitrenko, M.; Mazur, A.; Ermakov, S.; Penkova, A. Novel Pervaporation Membranes Based on Biopolymer Sodium Alginate Modified by FeBTC for Isopropanol Dehydration. Sustainability 2021, 13, 6092. [Google Scholar] [CrossRef]
- Ambroz, F.; Macdonald, T.J.; Martis, V.; Parkin, I.P. Evaluation of the BET Theory for the Characterization of Meso and Microporous MOFs. Small Methods 2018, 2, 1800173. [Google Scholar] [CrossRef]
- Walton, K.S.; Snurr, R.Q. Applicability of the BET Method for Determining Surface Areas of Microporous Metal−Organic Frameworks. J. Am. Chem. Soc. 2007, 129, 8552–8556. [Google Scholar] [CrossRef] [PubMed]
- Batonneau-Gener, I.; Sachse, A. Determination of the Exact Microporous Volume and BET Surface Area in Hierarchical ZSM-5. J. Phys. Chem. C 2019, 123, 4235–4242. [Google Scholar] [CrossRef]
- Koutsianos, A.; Pallach, R.; Frentzel-Beyme, L.; Das, C.; Paulus, M.; Sternemann, C.; Henke, S. Breathing porous liquids based on responsive metal-organic framework particles. Nat. Commun. 2023, 14, 4200. [Google Scholar] [CrossRef]
- Peng, P.; Lan, Y.; Liang, L.; Jia, K. Membranes for bioethanol production by pervaporation. Biotechnol. Biofuels 2021, 14, 10. [Google Scholar] [CrossRef]
- Pan, F.; Wang, M.; Ding, H.; Song, Y.; Li, W.; Wu, H.; Jiang, Z.; Wang, B.; Cao, X. Embedding Ag+ @COFs within Pebax membrane to confer mass transport channels and facilitated transport sites for elevated desulfurization performance. J. Membr. Sci. 2018, 552, 1–12. [Google Scholar] [CrossRef]
- Farahbakhsh, J.; Golgoli, M.; Najafi, M.; Haeri, S.Z.; Khiadani, M.; Razmjou, A.; Zargar, M. An innovative NH2-UiO-66/NH2-MIL-125 MOF-on-MOF structure to improve the performance and antifouling properties of ultrafiltration membranes. Sep. Purif. Technol. 2025, 353, 128273. [Google Scholar] [CrossRef]
- Naik, P.V.; Bernstein, R.; Vankelecom, I.F.J. Influence of support layer and PDMS coating conditions on composite membrane performance for ethanol/water separation by pervaporation. J. Appl. Polym. Sci. 2016, 133, 43670. [Google Scholar] [CrossRef]
- Kattula, M.; Ponnuru, K.; Zhu, L.; Jia, W.; Lin, H.; Furlani, E.P. Designing ultrathin film composite membranes: The impact of a gutter layer. Sci. Rep. 2015, 5, 15016. [Google Scholar] [CrossRef] [PubMed]
- Wijmans, J.G.; Hao, P. Influence of the porous support on diffusion in composite membranes. J. Membr. Sci. 2015, 494, 78–85. [Google Scholar] [CrossRef]
- Dmitrenko, M.; Kuzminova, A.; Zolotarev, A.; Ermakov, S.; Roizard, D.; Penkova, A. Enhanced pervaporation properties of PVA-based membranes modified with polyelectrolytes. application to IPA dehydration. Polymers 2020, 12, 14. [Google Scholar] [CrossRef] [PubMed]
- Pagliero, M.; Comite, A.; Soda, O.; Costa, C. Effect of support on PVDF membranes for distillation process. J. Membr. Sci. 2021, 635, 119528. [Google Scholar] [CrossRef]
- Plisko, T.; Burts, K.; Zolotarev, A.; Bildyukevich, A.; Dmitrenko, M.; Kuzminova, A.; Ermakov, S.; Penkova, A. Development and Investigation of Hierarchically Structured Thin-Film Nanocomposite Membranes from Polyamide/Chitosan Succinate Embedded with a Metal-Organic Framework (Fe-BTC) for Pervaporation. Membranes 2022, 12, 967. [Google Scholar] [CrossRef]
- Burts, K.; Plisko, T.; Dmitrenko, M.; Zolotarev, A.; Kuzminova, A.; Bildyukevich, A.; Ermakov, S.; Penkova, A. Novel Thin Film Nanocomposite Membranes Based on Chitosan Succinate Modified with Fe-BTC for Enhanced Pervaporation Dehydration of Isopropanol. Membranes 2022, 12, 653. [Google Scholar] [CrossRef]
- Xu, Y.; Chen, C.; Li, J. Experimental study on physical properties and pervaporation performances of polyimide membranes. Chem. Eng. Sci. 2007, 62, 2466–2473. [Google Scholar] [CrossRef]
- Xu, Y.; Chen, C.; Zhang, P.; Sun, B.; Li, J. Pervaporation Properties of Polyimide Membranes for Separation of Ethanol + Water Mixtures. J. Chem. Eng. Data 2006, 51, 1841–1845. [Google Scholar] [CrossRef]
- Dmitrenko, M.; Mikhailovskaya, O.; Dubovenko, R.; Kuzminova, A.; Myznikov, D.; Mazur, A.; Semenov, K.; Rusalev, Y.; Soldatov, A.; Ermakov, S.; et al. Pervaporation Membranes Based on Polyelectrolyte Complex of Sodium Alginate/Polyethyleneimine Modified with Graphene Oxide for Ethanol Dehydration. Polymers 2024, 16, 1206. [Google Scholar] [CrossRef]
- Kuzminova, A.; Dmitrenko, M.; Zolotarev, A.; Myznikov, D.; Selyutin, A.; Su, R.; Penkova, A. Pervaporation Polyvinyl Alcohol Membranes Modified with Zr-Based Metal Organic Frameworks for Isopropanol Dehydration. Membranes 2022, 12, 908. [Google Scholar] [CrossRef]
- Wu, Y.; Fu, X.; Tian, G.; Xuehong, G.; Liu, Z. Pervaporation of phenol wastewater with PEBA–PU blend membrane. Desalin. Water Treat. 2018, 102, 101–109. [Google Scholar] [CrossRef]
- Fang, L.J.; Chen, J.H.; Yang, Q.; Lin, W.W.; Lin, Q.J.; He, Y.S.; Zhuo, Y.Z. S-ZIF-8/PEBA/ZIF-8 pervaporation membrane with in situ growing of ZIF-8 active layer on the surface owing outstanding phenol enrichment performance. J. Taiwan Inst. Chem. Eng. 2022, 134, 104356. [Google Scholar] [CrossRef]
- Hao, X.; Pritzker, M.; Feng, X. Use of pervaporation for the separation of phenol from dilute aqueous solutions. J. Membr. Sci. 2009, 335, 96–102. [Google Scholar] [CrossRef]
- Moulik, S.; Nazia, S.; Vani, B.; Sridhar, S. Pervaporation separation of acetic acid/water mixtures through sodium alginate/polyaniline polyion complex membrane. Sep. Purif. Technol. 2016, 170, 30–39. [Google Scholar] [CrossRef]












| Membrane | Type | Content of Ho-1,3,5-H3btc, wt.% | Support |
|---|---|---|---|
| PEBA-0 | dense | 0 | - |
| PEBA-1 | dense | 1 | - |
| PEBA-3 | dense | 3 | - |
| PEBA-5 | dense | 5 | - |
| PEBA-7 | dense | 7 | - |
| PEBA-0/MFFC | supported | 0 | MFFC |
| PEBA-0/PVDF | supported | 0 | PVDF |
| PEBA-0/PVDF-s | supported | 0 | PVDF-s |
| PEBA-5/PVDF-s | supported | 5 | PVDF-s |
| Membrane | Swelling Degree, % | ||
|---|---|---|---|
| Water | Isopropanol | Water (95%)/Isopropanol (5%) | |
| PEBA-0 | 2 ± 0.2 | 100 ± 10 | 4 ± 0.4 |
| PEBA-1 | 4 ± 0.4 | 132 ± 13 | 6 ± 0.6 |
| PEBA-3 | 5 ± 0.4 | 141 ± 14 | 8 ± 0.8 |
| PEBA-5 | 6 ± 0.6 | 150 ± 15 | 8 ± 0.8 |
| PEBA-7 | 8 ± 0.7 | 170 ± 17 | 10 ± 1 |
Disclaimer/Publisher’s Note: The statements, opinions and data contained in all publications are solely those of the individual author(s) and contributor(s) and not of MDPI and/or the editor(s). MDPI and/or the editor(s) disclaim responsibility for any injury to people or property resulting from any ideas, methods, instructions or products referred to in the content. |
© 2024 by the authors. Licensee MDPI, Basel, Switzerland. This article is an open access article distributed under the terms and conditions of the Creative Commons Attribution (CC BY) license (https://creativecommons.org/licenses/by/4.0/).
Share and Cite
Kuzminova, A.; Dmitrenko, M.; Stepanova, A.; Karyakina, A.; Selyutin, A.; Su, R.; Penkova, A. Novel Mixed-Matrix Pervaporation Membrane Based on Polyether Block Amide Modified with Ho-Based Metal–Organic Framework. Polymers 2024, 16, 3245. https://doi.org/10.3390/polym16233245
Kuzminova A, Dmitrenko M, Stepanova A, Karyakina A, Selyutin A, Su R, Penkova A. Novel Mixed-Matrix Pervaporation Membrane Based on Polyether Block Amide Modified with Ho-Based Metal–Organic Framework. Polymers. 2024; 16(23):3245. https://doi.org/10.3390/polym16233245
Chicago/Turabian StyleKuzminova, Anna, Mariia Dmitrenko, Anastasia Stepanova, Anna Karyakina, Artem Selyutin, Rongxin Su, and Anastasia Penkova. 2024. "Novel Mixed-Matrix Pervaporation Membrane Based on Polyether Block Amide Modified with Ho-Based Metal–Organic Framework" Polymers 16, no. 23: 3245. https://doi.org/10.3390/polym16233245
APA StyleKuzminova, A., Dmitrenko, M., Stepanova, A., Karyakina, A., Selyutin, A., Su, R., & Penkova, A. (2024). Novel Mixed-Matrix Pervaporation Membrane Based on Polyether Block Amide Modified with Ho-Based Metal–Organic Framework. Polymers, 16(23), 3245. https://doi.org/10.3390/polym16233245

