Formulation, E-Beam Crosslinking, and Comprehensive Characterisation of Lavender Oil-Enriched Hydrogels
Abstract
1. Introduction
2. Materials and Methods
2.1. Materials
2.2. Synthesis of LO-Enriched Hydrogels via E-Beam Crosslinking
2.3. Viscosity Analysis
2.4. Optical Transparency
2.5. Colour Characterisation of Pre-Hydrogels
2.6. Gel Fraction and Swelling Analysis
2.7. Degradation Study
2.8. Fourier Transform Infrared Spectroscopy (FTIR) Analysis
2.9. Rheological and Network Structural Properties
2.10. Scanning Electron Microscopy (SEM)
2.11. Statistical Analysis
3. Results and Discussion
3.1. Pre-Hydrogel Flow Behaviour and Viscosity
3.2. Optical Transparency
3.3. Colour Characterisation of Pre-Hydrogels
3.4. Gel Fraction and Swelling Properties
3.5. Hydrogel Degradation
3.6. ATR–FTIR
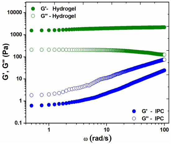
3.7. Rheological Behaviour
3.8. Network Structure
3.9. SEM Morphology
4. Conclusions
Supplementary Materials
Author Contributions
Funding
Institutional Review Board Statement
Data Availability Statement
Conflicts of Interest
References
- Diass, K.; Merzouki, M.; Elfazazi, K.; Azzouzi, H.; Challioui, A.; Azzaoui, K.; Hammouti, B.; Touzani, R.; Depeint, F.; Ayerdi Gotor, A.; et al. Essential Oil of Lavandula officinalis: Chemical Composition and Antibacterial Activities. Plants 2023, 12, 1571. [Google Scholar] [CrossRef] [PubMed]
- Ribeiro, A.S.; Estanqueiro, M.; Oliveira, M.B.; Sousa Lobo, J.M. Main Benefits and Applicability of Plant Extracts in Skin Care Products. Cosmetics 2015, 2, 48–65. [Google Scholar] [CrossRef]
- Shellie, R.; Mondello, L.; Marriott, P.; Dugo, G. Characterisation of Lavender Essential Oils by Using Gas Chromatography–Mass Spectrometry with Correlation of Linear Retention Indices and Comparison with Comprehensive Two-Dimensional Gas Chromatography. J. Chromatogr. A 2002, 970, 225–234. [Google Scholar] [CrossRef] [PubMed]
- Stoleru, E.; Dumitriu, R.P.; Ailiesei, G.-L.; Yilmaz, C.; Brebu, M. Synthesis of Bioactive Materials by In Situ One-Step Direct Loading of Syzygium aromaticum Essential Oil into Chitosan-Based Hydrogels. Gels 2022, 8, 225. [Google Scholar] [CrossRef]
- Roshni, P.T.; Rekha, P.D. Essential Oils: A Potential Alternative with Promising Active Ingredients for Pharmaceutical Formulations in Chronic Wound Management. Inflammopharmacology 2024, 32. [Google Scholar] [CrossRef]
- Demeter, M.; Negrescu, A.M.; Calina, I.; Scarisoreanu, A.; Albu Kaya, M.; Micutz, M.; Dumitru, M.; Cimpean, A. Synthesis, Physicochemical Characteristics, and Biocompatibility of Multi-Component Collagen-Based Hydrogels Developed by E-Beam Irradiation. J. Funct. Biomater. 2023, 14, 454. [Google Scholar] [CrossRef]
- Dispenza, C.; Ricca, M.; LoPresti, C.; Battaglia, G.; La Valle, M.; Giacomazza, D.; Bulone, D. E-Beam Irradiation and UV Photocrosslinking of Microemulsion-Laden Poly(N-Vinyl-2-Pyrrolidone) Hydrogels for “In Situ” Encapsulation of Volatile Hydrophobic Compounds. Polym. Chem. 2011, 2, 192–202. [Google Scholar] [CrossRef]
- Hiroki, A.; Kimura, A.; Taguchi, M. Development of Environmentally Friendly Soft Contact Lenses Made from Cellulose-Derived Hydrogel Materials. Radiat. Phys. Chem. 2023, 213, 111257. [Google Scholar] [CrossRef]
- Rusu, A.G.; Niță, L.E.; Roșca, I.; Croitoriu, A.; Ghilan, A.; Mititelu-Tarțău, L.; Grigoraș, A.V.; Crețu, B.-E.-B.; Chiriac, A.P. Alginate-Based Hydrogels Enriched with Lavender Essential Oil: Evaluation of Physicochemical Properties, Antimicrobial Activity, and In Vivo Biocompatibility. Pharmaceutics 2023, 15, 2608. [Google Scholar] [CrossRef]
- Mahmood, H.; Khan, I.U.; Asif, M.; Khan, R.U.; Asghar, S.; Khalid, I.; Khalid, S.H.; Irfan, M.; Rehman, F.; Shahzad, Y.; et al. In Vitro and in Vivo Evaluation of Gellan Gum Hydrogel Films: Assessing the Co Impact of Therapeutic Oils and Ofloxacin on Wound Healing. Int. J. Biol. Macromol. 2021, 166, 483–495. [Google Scholar] [CrossRef]
- Teymouri, H.; Mohammadimehr, M.; Ahanjan, M.; Sheidaei, S.; Saeedi, M.; Mellati, A. Effect of Collagen Hydrogel Containing Lavandula Officinalis Essential Oil Nanoemulsion in Wound Healing of Infectious Burn. Iran. J. Microbiol. 2024, 16, 376–388. [Google Scholar] [CrossRef] [PubMed]
- Tajik, F.; Eslahi, N.; Rashidi, A.; Rad, M.M. Hybrid Antibacterial Hydrogels Based on PVP and Keratin Incorporated with Lavender Extract. J. Polym. Res. 2021, 28, 316. [Google Scholar] [CrossRef]
- Nagasawa, N.; Yagi, T.; Kume, T.; Yoshii, F. Radiation Crosslinking of Carboxymethyl Starch. Carbohydr. Polym. 2004, 58, 109–113. [Google Scholar] [CrossRef]
- Chen, J.; Park, H.; Park, K. Synthesis of Superporous Hydrogels: Hydrogels with Fast Swelling and Superabsorbent Properties. J. Biomed. Mater. Res. 1999, 44, 53–62. [Google Scholar] [CrossRef]
- Tanan, W.; Panichpakdee, J.; Saengsuwan, S. Novel Biodegradable Hydrogel Based on Natural Polymers: Synthesis, Characterization, Swelling/Reswelling and Biodegradability. Eur. Polym. J. 2019, 112, 678–687. [Google Scholar] [CrossRef]
- Şen, M.; Hayrabolulu, H. Radiation Synthesis and Characterisation of the Network Structure of Natural/Synthetic Double-Network Superabsorbent Polymers. Radiat. Phys. Chem. 2012, 81, 1378–1382. [Google Scholar] [CrossRef]
- Demeter, M.; Călina, I.; Scărișoreanu, A.; Mitran, V.; Popa, M.; Cîmpean, A.; Chifiriuc, M.C.; Micutz, M.; Matei, E.; Mitu, B. Biocompatible and Antimicrobial Chitosan/PVP/PEO/PAA/AgNP Composite Hydrogels Synthesized by e-Beam Cross-Linking. Radiat. Phys. Chem. 2024, 216, 111391. [Google Scholar] [CrossRef]
- Ionescu, C.M.; Birs, I.R.; Copot, D.; Muresan, C.I.; Caponetto, R. Mathematical Modelling with Experimental Validation of Viscoelastic Properties in Non-Newtonian Fluids. Philos. Trans. R. Soc. A 2020, 378, 20190284. [Google Scholar] [CrossRef]
- Yildirim, M.; Sumnu, G.; Sahin, S. The Effects of Emulsifier Type, Phase Ratio, and Homogenization Methods on Stability of the Double Emulsion. J. Dispers. Sci. Technol. 2017, 38, 807–814. [Google Scholar] [CrossRef]
- Fekete, T.; Borsa, J.; Takács, E.; Wojnárovits, L. Synthesis of Carboxymethylcellulose/Starch Superabsorbent Hydrogels by Gamma-Irradiation. Chem. Cent. J. 2017, 11, 46. [Google Scholar] [CrossRef]
- Pan, H.; Fan, D. Exploration of the Pore-Forming Mechanisms of Tween80 and Biocompatibility of the Hydrogels In Vivo. Chem. Phys. Lett. 2020, 743, 137175. [Google Scholar] [CrossRef]
- Li, N.; Liu, W.; Zheng, X.; Wang, Q.; Shen, L.; Hui, J.; Fan, D. Antimicrobial Hydrogel with Multiple PH-Responsiveness for Infected Burn Wound Healing. Nano Res. 2023, 16, 11139–11148. [Google Scholar] [CrossRef]
- Peters, J.T.; Wechsler, M.E.; Peppas, N.A. Advanced Biomedical Hydrogels: Molecular Architecture and Its Impact on Medical Applications. Regen. Biomater. 2021, 8, rbab060. [Google Scholar] [CrossRef] [PubMed]
- Yoshii, F.; Zhao, L.; Wach, R.A.; Nagasawa, N.; Mitomo, H.; Kume, T. Hydrogels of Polysaccharide Derivatives Crosslinked with Irradiation at Paste-like Condition. Nucl. Instrum. Methods Phys. Res. B 2003, 208, 320–324. [Google Scholar] [CrossRef]
- Barbucci, R.; Magnani, A.; Consumi, M. Swelling Behavior of Carboxymethylcellulose Hydrogels in Relation to Cross-Linking, PH, and Charge Density. Macromolecules 2000, 33, 7475–7480. [Google Scholar] [CrossRef]
- Satti, M.K.; Humayun, S.; Sajid, M.; Asdaq, K.N.; Ashraf, T.; Aftab, M. Hydrogels for Wound Dressing Applications—A Systematic Review. Pak. J. Med. Health Sci. 2023, 17, 2. [Google Scholar] [CrossRef]
- Basu, P.; Saha, N.; Alexandrova, R.; Saha, P. Calcium Phosphate Incorporated Bacterial Cellulose-Polyvinylpyrrolidone Based Hydrogel Scaffold: Structural Property and Cell Viability Study for Bone Regeneration Application. Polymers 2019, 11, 1821. [Google Scholar] [CrossRef]
- Roy, N.; Saha, N.; Kitano, T.; Saha, P. Biodegradation of PVP–CMC Hydrogel Film: A Useful Food Packaging Material. Carbohydr. Polym. 2012, 89, 346–353. [Google Scholar] [CrossRef]
- Predoi, D.; Groza, A.; Iconaru, S.L.; Predoi, G.; Barbuceanu, F.; Guegan, R.; Motelica-Heino, M.S.; Cimpeanu, C. Properties of Basil and Lavender Essential Oils Adsorbed on the Surface of Hydroxyapatite. Materials 2018, 11, 652. [Google Scholar] [CrossRef]
- Fu, X.; Kong, W.; Zhang, Y.; Jiang, L.; Wang, J.; Lei, J. Novel Solid–Solid Phase Change Materials with Biodegradable Trihydroxy Surfactants for Thermal Energy Storage. RSC Adv. 2015, 5, 68881–68889. [Google Scholar] [CrossRef]
- Kumar, K.N.; Kang, M.; Sivaiah, K.; Ravi, M.; Ratnakaram, Y.C. Enhanced Electrical Properties of Polyethylene Oxide (PEO) + Polyvinylpyrrolidone (PVP):Li+ Blended Polymer Electrolyte Films with Addition of Ag Nanofiller. Ionics 2016, 22, 815–825. [Google Scholar] [CrossRef]
- Pucić, I.; Jurkin, T. FTIR Assessment of Poly(Ethylene Oxide) Irradiated in Solid State, Melt and Aqeuous Solution. Radiat. Phys. Chem. 2012, 81, 1426–1429. [Google Scholar] [CrossRef]
- Rimmer, S.; Spencer, P.; Nocita, D.; Sweeney, J.; Harrison, M.; Swift, T. Chain-Extendable Crosslinked Hydrogels Using Branching RAFT Modification. Gels 2023, 9, 235. [Google Scholar] [CrossRef] [PubMed]
- Liang, Y.; He, J.; Guo, B. Functional Hydrogels as Wound Dressing to Enhance Wound Healing. ACS Nano 2021, 15, 12687–12722. [Google Scholar] [CrossRef] [PubMed]
- Ismaili, D.; Parın, F.N.; Sıcak, Y.; Öztürk, M.; Terzioğlu, P. Electrospun Lavender Essential Oil-Loaded Polylactic Acid Nanofibrous Mats for Antioxidant Applications. Polym. Bull. 2024, 81, 13975–13992. [Google Scholar] [CrossRef]
- Gieroba, B.; Kalisz, G.; Krysa, M.; Khalavka, M.; Przekora, A. Application of Vibrational Spectroscopic Techniques in the Study of the Natural Polysaccharides and Their Cross-Linking Process. Int. J. Mol. Sci. 2023, 24, 2630. [Google Scholar] [CrossRef]
- Dalton, P.D.; Chirila, T.V.; Hong, Y.; Jefferson, A. Oscillatory Shear Experiments as Criteria for Potential Vitreous Substitutes. Polym. Gels Netw. 1995, 3, 429–444. [Google Scholar] [CrossRef]
- Wang, H.; Liu, Y.; Cai, K.; Zhang, B.; Tang, S.; Zhang, W.; Liu, W. Antibacterial Polysaccharide-Based Hydrogel Dressing Containing Plant Essential Oil for Burn Wound Healing. Burns Trauma 2021, 9, tkab041. [Google Scholar] [CrossRef]
- Wang, M.; Xu, L.; Hu, H.; Zhai, M.; Peng, J.; Nho, Y.; Li, J.; Wei, G. Radiation Synthesis of PVP/CMC Hydrogels as Wound Dressing. Nucl. Instrum. Methods Phys. Res. B 2007, 265, 385–389. [Google Scholar] [CrossRef]
- Sedlář, M.; Kacvinská, K.; Fohlerová, Z.; Izsák, D.; Chalupová, M.; Suchý, P.; Dohnalová, M.; Sopuch, T.; Vojtová, L. A Synergistic Effect of Fibrous Carboxymethyl Cellulose with Equine Collagen Improved the Hemostatic Properties of Freeze-Dried Wound Dressings. Cellulose 2023, 30, 11113–11131. [Google Scholar] [CrossRef]
- Moayedzadeh, S.; Khosrowshahi, A.; Gunasekaran, S.; Madadlou, A. Spontaneous Emulsification of Fish Oil at a Substantially Low Surfactant-to-Oil Ratio: Emulsion Characterization and Filled Hydrogel Formation. Food Hydrocoll. 2018, 82, 11–18. [Google Scholar] [CrossRef]
- Tamer, T.M.; Sabet, M.M.; Alhalili, Z.A.H.; Ismail, A.M.; Mohy-Eldin, M.S.; Hassan, M.A. Influence of Cedar Essential Oil on Physical and Biological Properties of Hemostatic, Antibacterial, and Antioxidant Polyvinyl Alcohol/Cedar Oil/Kaolin Composite Hydrogels. Pharmaceutics 2022, 14, 2649. [Google Scholar] [CrossRef] [PubMed]
- Nemtanu, M.; Brasoveanu, M. Functional Properties of Some Non-Conventional Treated Starches. In Biopolymers; Elnashar, M., Ed.; IntechOpen: Rijeka, Croatia, 2010; pp. 319–344. [Google Scholar]
- Nemţanu, M.R.; Braşoveanu, M. Impact of Electron Beam Irradiation on Quality of Sea Buckthorn (Hippophae rhamnoides L.). Oil. J. Sci. Food Agric. 2016, 96, 1736–1744. [Google Scholar] [CrossRef] [PubMed]
- Bodart, M.; de Peñaranda, R.; Deneyer, A.; Flamant, G. Photometry and Colorimetry Characterisation of Materials in Daylighting Evaluation Tools. Build. Environ. 2008, 43, 2046–2058. [Google Scholar] [CrossRef]
- Castagna, A.; Chiavaro, E.; Dall’Asta, C.; Rinaldi, M.; Galaverna, G.; Ranieri, A. Effect of Postharvest UV-B Irradiation on Nutraceutical Quality and Physical Properties of Tomato Fruits. Food Chem. 2013, 137, 151–158. [Google Scholar] [CrossRef]
- Sant’Anna, V.; Gurak, P.D.; Ferreira Marczak, L.D.; Tessaro, I.C. Tracking Bioactive Compounds with Colour Changes in Foods—A Review. Dye. Pigment. 2013, 98, 601–608. [Google Scholar] [CrossRef]











| Code | pH | Irradiation Dose (kGy) | Appearance | Phase Separation –After 48 h | Phase Separation –After 60 Days | 
|---|---|---|---|---|---|
| Smix 3 | |||||
| 1-3 | 6.0 | 70 | semi-transparent | no | no | 
| 2-3 | 5.9 | 70 | semi-transparent | no | no | 
| 3-3 | 5.9 | 70 | semi-transparent | no | no | 
| 4-3 | 5.9 | 70 | milky-white | no | no | 
| 5-3 | 6.0 | 70 | milky-white | no | yes | 
| 6-3 | 5.9 | 70 | milky-white | yes | yes | 
| 7-3 | 5.9 | 70 | milky-white | yes | yes | 
| 8-3 | 5.9 | 70 | milky-white | yes | yes | 
| 9-3 | 5.8 | 70 | milky-white | yes | yes | 
| 10-3 | 5.7 | 70 | milky-white | yes | yes | 
| 11-3 | 5.8 | 70 | milky-white | yes | yes | 
| Smix 4 | |||||
| 1-4 | 6.3 | 30 | transparent | no | no | 
| 2-4 | 6.3 | 30 | transparent | no | no | 
| 3-4 | 6.4 | 30 | semi-transparent | no | no | 
| 4-4 | 6.3 | 30 | semi-transparent | no | no | 
| 5-4 | 6.3 | 30 | semi-transparent | no | no | 
| 6-4 | 6.3 | 30 | semi-transparent | no | no | 
| 7-4 | 6.2 | 30 | transparent | no | no | 
| 8-4 | 6.3 | 30 | semi-transparent | no | no | 
| 9-4 | 6.3 | 30 | semi-transparent | no | no | 
| 10-4 | 6.3 | 30 | milky-white | no | yes | 
| 11-4 | 6.2 | 30 | milky-white | yes | yes | 
| Smix 5 | |||||
| 1-5 | 6.6 | 30 | transparent | no | no | 
| 2-5 | 6.6 | 30 | transparent | no | no | 
| 3-5 | 6.6 | 30 | transparent | no | no | 
| 4-5 | 6.6 | 30 | semi-transparent | no | no | 
| 5-5 | 6.7 | 30 | semi-transparent | no | no | 
| 6-5 | 6.6 | 30 | semi-transparent | no | no | 
| 7-5 | 6.6 | 30 | transparent | no | no | 
| 8-5 | 6.5 | 30 | semi-transparent | no | no | 
| 9-5 | 6.6 | 30 | milky-white | no | yes | 
| 10-5 | 6.4 | 30 | milky-white | yes | yes | 
| 11-5 | 6.5 | 30 | milky-white | yes | yes | 
| Samples Code | G′ (Pa) | ρ (g/cm3) | × 104 (g/mol) | × 10−6 (mol/cm3) | ξ (nm) | |
|---|---|---|---|---|---|---|
| Hydrogel | 2169 | 0.8996 | 4.07 | 22.06 | 43 | |
| Smix 4 | 5-4 | 200 | 0.9365 | 40.84 | 2.29 | 196 | 
| 6-4 | 175 | 0.9168 | 44.18 | 2.08 | 204 | |
| 7-4 | 134 | 1.0010 | 64.03 | 1.56 | 246 | |
| Smix 5 | 3-5 | 219 | 0.9425 | 41.81 | 2.25 | 184 | 
| 4-5 | 308 | 0.9842 | 28.43 | 3.41 | 156 | |
| 5-5 | 130 | 0.9685 | 78.26 | 1.23 | 240 | |
| Disclaimer/Publisher’s Note: The statements, opinions and data contained in all publications are solely those of the individual author(s) and contributor(s) and not of MDPI and/or the editor(s). MDPI and/or the editor(s) disclaim responsibility for any injury to people or property resulting from any ideas, methods, instructions or products referred to in the content. | 
© 2024 by the authors. Licensee MDPI, Basel, Switzerland. This article is an open access article distributed under the terms and conditions of the Creative Commons Attribution (CC BY) license (https://creativecommons.org/licenses/by/4.0/).
Share and Cite
Demeter, M.; Călina, I.; Scărișoreanu, A.; Nemțanu, M.R.; Brașoveanu, M.; Micutz, M.; Dumitru, M. Formulation, E-Beam Crosslinking, and Comprehensive Characterisation of Lavender Oil-Enriched Hydrogels. Polymers 2024, 16, 3150. https://doi.org/10.3390/polym16223150
Demeter M, Călina I, Scărișoreanu A, Nemțanu MR, Brașoveanu M, Micutz M, Dumitru M. Formulation, E-Beam Crosslinking, and Comprehensive Characterisation of Lavender Oil-Enriched Hydrogels. Polymers. 2024; 16(22):3150. https://doi.org/10.3390/polym16223150
Chicago/Turabian StyleDemeter, Maria, Ion Călina, Anca Scărișoreanu, Monica R. Nemțanu, Mirela Brașoveanu, Marin Micutz, and Marius Dumitru. 2024. "Formulation, E-Beam Crosslinking, and Comprehensive Characterisation of Lavender Oil-Enriched Hydrogels" Polymers 16, no. 22: 3150. https://doi.org/10.3390/polym16223150
APA StyleDemeter, M., Călina, I., Scărișoreanu, A., Nemțanu, M. R., Brașoveanu, M., Micutz, M., & Dumitru, M. (2024). Formulation, E-Beam Crosslinking, and Comprehensive Characterisation of Lavender Oil-Enriched Hydrogels. Polymers, 16(22), 3150. https://doi.org/10.3390/polym16223150
 
        

 
       