New Materials from the Integral Milk Kefir Grain Biomass and the Purified Kefiran: The Role of Glycerol Content on the Film’s Properties
Abstract
1. Introduction
2. Materials and Methods
2.1. Materials
2.2. Milk Kefir Grains and Culture Conditions
2.3. Kefiran Isolation and Purification
2.4. Preparation of Film-Forming Dispersions of Milk Kefir and Kefiran
2.5. Preparation of Milk Kefir Films and Kefiran Films
2.6. Characterisation
2.6.1. Rotational Rheology Measurements of the Film-Forming Dispersions
2.6.2. Visual Appearance, Quality Evaluation, Thickness Measurements, and Density of the Films
2.6.3. Colour Determination (CIELab Coordinates) of the Films
2.6.4. Microstructural Characterisation Using Scanning Electron Microscopy (SEM)
2.6.5. Attenuated Total Reflectance-Fourier Transform Infrared (ATR-FTIR) Spectroscopy Analyses of the Films
2.6.6. Thermogravimetric Analyses (TGA) of the Films
2.6.7. Differential Scanning Calorimetry (DSC) Studies of the Films
2.6.8. Mechanical Uniaxial Tensile Experiments of the Films
2.6.9. Water Sorption Isotherms of the Films
2.6.10. Experimental Water Vapour Permeability Measurements
2.6.11. Determination of Effective Water Solubility and Effective Water Diffusion in the Films
2.7. Statistical Analyses
3. Results and Discussion
3.1. Rotational Rheology of Film-Forming Dispersions
3.2. Assessment of Quality, Visual Appearance, and Microstructure of the Films
3.3. Infrared Spectroscopy of the Films
3.4. Thermogravimetric Analysis of the Films
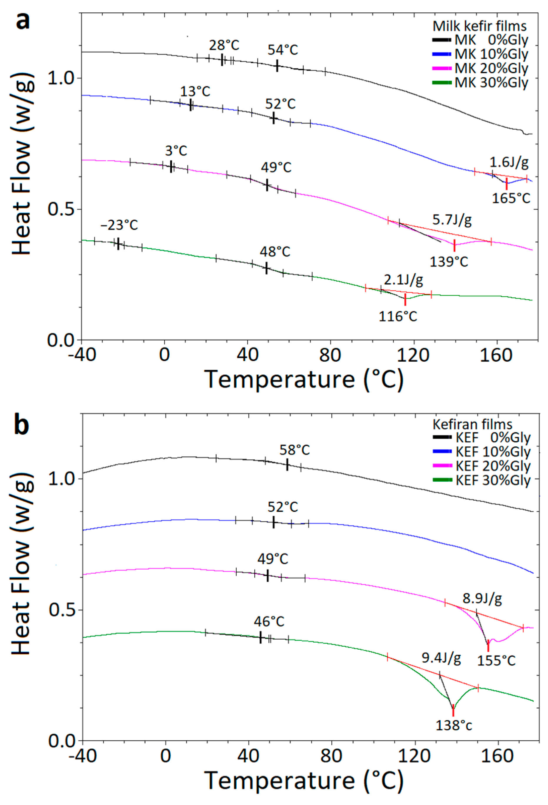
3.5. Differential Scanning Calorimetry of the Films
3.6. Mechanical Properties of the Films
3.7. Hydration Properties of the Films
3.8. Water Vapour Permeability of the Films
4. Conclusions
Author Contributions
Funding
Institutional Review Board Statement
Data Availability Statement
Acknowledgments
Conflicts of Interest
References
- Vieira, M.G.A.; Altenhofen Silva, M.; Oliveira dos Santos, L.; Beppu, M.M. Natural based plasticizers and biopolymer films: A review. Eur. Polym. J. 2011, 47, 254–263. [Google Scholar] [CrossRef]
- George, A.; Sanjay, M.R.; Srisuk, R.; Parameswaranpillai, J.; Suchart Siengchin, S. A comprehensive review on chemical properties and applications of biopolymers and their composites. Int. J. Biol. Macromol. 2020, 154, 3292338. [Google Scholar] [CrossRef] [PubMed]
- Janowicz, M.; Galus, S.; Ciurzyńska, A.; Nowacka, M. The Potential of Edible Films, Sheets, and Coatings Based on Fruits and Vegetables in the Context of Sustainable Food Packaging Development. Polymers 2023, 15, 4231. [Google Scholar] [CrossRef]
- Han, J.H.; Gennadios, A. Edible films and coatings: A review. In Innovations in Food Packagings; Han, J.H., Ed.; Elsevier: Amsterdam, The Netherlands, 2005; pp. 239–262. [Google Scholar]
- Ferreira, A.R.V.; Alves, V.D.; Coelhoso, I.M. Polysaccharide-Based Membranes in Food Packaging Applications. Membranes 2016, 6, 22. [Google Scholar] [CrossRef]
- Cazón, P.; Velazquez, G.; Ramírez, J.A.; Vázquez, M. Polysaccharide-based films and coatings for food packaging: A review. Food Hydrocoll. 2017, 68, 136–148. [Google Scholar] [CrossRef]
- Coma, M.E.; Peltzer, M.A.; Delgado, J.F.; Salvay, A.G. Water kefir Grains as an innovative source of materials: Study of plasticiser content on film properties. Eur. Polym. J. 2019, 120, 109234. [Google Scholar] [CrossRef]
- Marangoni Júnior, L.; Vieira, R.P.; Rodrigues Anjos, C.A. Kefiran-based films: Fundamental concepts, formulation strategies and properties. Carbohydr. Polym. 2020, 246, 116609. [Google Scholar] [CrossRef]
- Ramirez Tapias, Y.A.; Peltzer, M.A.; Delgado, J.F.; Salvay, A.G. Kombucha Tea By-product as Source of Novel Materials: Formulation and Characterization of Films. Food Bioprocess Technol. 2020, 13, 1166–1180. [Google Scholar] [CrossRef]
- Cottet, C.; Ramirez-Tapias, Y.A.; Delgado, J.F.; de la Osa, O.; Salvay, A.G.; Peltzer, M.A. Biobased materials from microbial biomass and its derivatives. Materials 2020, 13, 1263. [Google Scholar] [CrossRef]
- Özeren, H.D.; Wei, X.-F.; Nilsson, F.; Olsson, R.T.; Hedenqvist, M.S. Role of hydrogen bonding in wheat gluten protein systems plasticized with glycerol and water. Polymer 2021, 232, 124149. [Google Scholar] [CrossRef]
- Delgado, J.F.; Peltzer, M.A.; Wagner, J.R.; Salvay, A.G. Hydration and water vapour transport properties in yeast biomass based films: A study of plasticizer content and thickness effects. Eur. Polym. J. 2018, 99, 9–17. [Google Scholar] [CrossRef]
- Guo, J.H. Effects of plasticizers on water permeation and mechanical properties of cellulose acetate: Antiplasticization in slightly plasticized polymer film. Drug Dev. Ind. Pharm. 1993, 19, 1541–1555. [Google Scholar] [CrossRef]
- Talja, R.A.; Helén, H.; Roos, Y.H.; Jouppila, K. Effect of various polyols and polyol contents on physical and mechanical properties of potato starch-based films. Carbohydr. Polym. 2007, 67, 288–295. [Google Scholar] [CrossRef]
- Mascia, L.; Kouparitsas, Y.; Nocita, D.; Bao, X. Antiplasticization of Polymer Materials: Structural Aspects and Effects on Mechanical and Diffusion-Controlled Properties. Polymers 2020, 12, 769. [Google Scholar] [CrossRef]
- Bianco, M.I.; Jacobs, M.; Salinas, S.R.; Salvay, A.G.; Ielmini, M.V.; Ielpi, L. Biophysical characterization of the outer membrane polysaccharide export protein and the polysaccharide co-polymerase protein from Xanthomonas campestris. Protein Expr. Purif. 2014, 101, 42–53. [Google Scholar] [CrossRef]
- Mouro, C.; Gomes, A.P.; Gouveia, I.C. Microbial Exopolysaccharides: Structure, Diversity, Applications, and Future Frontiers in Sustainable Functional Materials. Polysaccharides 2024, 5, 241–287. [Google Scholar] [CrossRef]
- Piermaria, J.A.; de la Canal, M.L.; Abraham, A.G. Gelling properties of kefiran, a food-grade polysaccharide obtained from kefir grain. Food Hydrocoll. 2008, 22, 1520–1527. [Google Scholar] [CrossRef]
- Moradi, Z.; Kalanpour, N. Kefiran, a branched polysaccharide: Preparation, properties and applications: A review. Carbohydr. Polym. 2019, 223, 115100. [Google Scholar] [CrossRef]
- Simonelli, N.; Gagliarini, N.; Medrano, M.; Piermaria, J.A.; Abraham, A.; Kefiran, G. Polysaccharides of Microbial Origin; Oliveira, J.M., Radhouani, H., Reis, R.L., Eds.; Springer Nature: Cham, Switzerland, 2022; pp. 210–216. [Google Scholar]
- Piermaria, J.; Bosch, A.; Pinotti, A.; Yantorno, O.; Garcia, M.A.; Abraham, A.G. Kefiran films plasticized with sugars and polyols: Water vapor barrier and mechanical properties in relation to their microstructure analyzed by ATR/FT-IR spectroscopy. Food Hydrocoll. 2011, 25, 1261–1269. [Google Scholar] [CrossRef]
- Piermaria, J.A.; Pinotti, A.; Garcia, M.A.; Abraham, A.G. Films based on kefiran, an exopolysaccharide obtained from kefir grain: Development and characterization. Food Hydrocoll. 2009, 23, 684–690. [Google Scholar] [CrossRef]
- Ghasemlou, M.; Khodaiyan, F.; Oromiehie, A.; Yarmand, M.S. Development and characterisation of a new biodegradable edible film made from kefiran, an exopolysaccharide obtained from kefir grains. Food Chem. 2011, 127, 1496–1502. [Google Scholar] [CrossRef]
- Ghasemlou, M.; Khodaiyan, F.; Oromiehie, A. Physical, mechanical, barrier, and thermal properties of polyol-plasticized biodegradable edible film made from kefiran. Carbohydr. Polym. 2011, 84, 477–483. [Google Scholar] [CrossRef]
- Shahabi-Ghahfarrokhi, I.; Khodaiyan, F.; Mousavi, M.; Yousefi, H. Effect of γ-irradiation on the physical and mechanical properties of kefiran biopolymer film. Int. J. Biol. Macromol. 2015, 74, 343–350. [Google Scholar] [CrossRef] [PubMed]
- Montoille, L.; Vicencio, C.M.; Fontalba, D.; Ortiz, J.A.; Moreno-Serna, V.; Peponi, L.; Matiacevich, S.; Zapata, P.A. Study of the effect of the addition of plasticizers on the physical properties of biodegradable films based on kefiran for potential application as food packaging. Food Chem. 2021, 360, 129966. [Google Scholar] [CrossRef]
- Mayrhofer, A.; Kopacic, S.; Bauer, W. Extensive Characterization of Alginate, Chitosan and Microfibrillated Cellulose Cast Films to Assess their Suitability as Barrier Coating for Paper and Board. Polymers 2023, 15, 3336. [Google Scholar] [CrossRef]
- A.O.A.C. Official Methods of Analysis, 15th ed.; Association of Official Analytical Chemists: Washington, DC, USA, 1990. [Google Scholar]
- Rimada, P.S.; Abraham, A.G. Kefiran improves rheological properties of glucono-δ-lactone induced skim milk gels. Int. Dairy J. 2006, 16, 33–39. [Google Scholar] [CrossRef]
- Lago, A.; Delgado, J.F.; Rezzani, G.D.; Cottet, C.; Ramírez Tapias, Y.A.; Peltzer, M.A.; Salvay, A.G. Multi-Component Biodegradable Materials Based on Water Kefir Grains and Yeast Biomasses: Effect of the Mixing Ratio on the Properties of the Films. Polymers 2023, 15, 2594. [Google Scholar] [CrossRef]
- Moraes, J.O.; Scheibe, A.S.; Sereno, A.; Laurindo, J.B. Scale-up of the production of cassava starch based films using tape-casting. J. Food Eng. 2013, 119, 800–808. [Google Scholar] [CrossRef]
- Ramirez Tapias, Y.A.; Di Monte, M.V.; Peltzer, M.A.; Salvay, A.G. Kombucha fermentation in yerba mate: Cellulose production, films formulation and its characterisation. Carbohydr. Polym. Technol. Appl. 2023, 5, 100310. [Google Scholar]
- ASTM D882 1997; Standard Test Method for Tensile Properties of Thin Plastic Sheeting. ASTM International: West Conshohocken, PA, USA, 1997.
- Guggenheim, E.A. Applications of Statistical Mechanics; Oxford University Press: London, UK, 1966. [Google Scholar]
- ASTM-E96 2016; Standard Test Methods for Water Vapor Transmission of Materials. ASTM International: West Conshohocken, PA, USA, 2016.
- McHugh, T.H.; Avena-Bustillo, R.; Krochta, J.M. Hydrophilic edible films: Modified procedure for water vapor permeability and explanation of thickness effects. J. Food Sci. 1993, 58, 899–903. [Google Scholar] [CrossRef]
- Delgado, J.F.; Peltzer, M.A.; Salvay, A.G. Water vapour transport in biopolymeric materials: Effects of thickness and water vapour pressure gradient on yeast biomass-based films. J. Polym. Environ. 2022, 30, 2976–2989. [Google Scholar] [CrossRef]
- Rogers, C.E. Permeation of gases and vapours in polymers. In Polymer Permeability; Comyn, J., Ed.; Springer: Dordrecht, The Netherlands, 1985; pp. 11–73. [Google Scholar]
- Roy, S.; Gennadios, A.; Weller, C.L.; Testin, R.F. Water vapor transport parameters of a cast wheat gluten film. Ind. Crops Prod. 2000, 11, 43–50. [Google Scholar] [CrossRef]
- Irgens, F. Rheology and Non-Newtonian Fluids, 1st ed.; Springer: Cham, Switzerland, 2014. [Google Scholar]
- Robinson Lang, E.R.; Rha, C. Determination of the yield stress of hydrocolloid dispersions. J. Texture Stud. 1981, 12, 47–62. [Google Scholar] [CrossRef]
- Ghasemlou, G.; Khodaiyan, F.; Oromiehie, A. Rheological and structural characterisation of film-forming solutions and biodegradable edible film made from kefiran as affected by various plasticizer types. Int. J. Biol. Macromol. 2011, 49, 814–821. [Google Scholar] [CrossRef]
- Hamed, S.B.; Belhadri, M. Rheological properties of biopolymers drilling fluids. J. Pet. Sci. Eng. 2009, 67, 84–90. [Google Scholar] [CrossRef]
- Peres, G.L.; Leite, D.C.; da Silveira, N.P. Ultrasound effect on molecular weight reduction of amylopectin. Starch 2015, 66, 407–414. [Google Scholar] [CrossRef]
- Mohammed, A.A.B.A.; Hasan, Z.; Omran, A.A.B.; Kumar, V.V.; Elfaghi, A.M.; Ilyas, R.A.; Sapuan, S.M. Corn: Its Structure, Polymer, Fiber, Composite, Properties, and Applications. Polymers 2022, 14, 4396. [Google Scholar] [CrossRef]
- Basedow, A.M.; Ebert, K. Ultrasonic degradation of polymers in solution. In Advances in Polymer Science—Physical Chemistry; Springer: Berlin/Heidelberg, Germany, 1977; pp. 83–148. [Google Scholar]
- Peressini, D.; Bravin, B.; Lapasin, R.; Rizzotti, C.; Sensidoni, A. Starch–methylcellulose based edible films: Rheological properties of film-forming dispersions. J. Food Eng. 2003, 59, 25–32. [Google Scholar] [CrossRef]
- Gontard, N.; Guilbert, S.; Cuq, J.-L. Water and glycerol as plasticizers affect mechanical and water vapor barrier properties of an edible wheat gluten film. J. Food Sci. 1993, 58, 206–211. [Google Scholar] [CrossRef]
- Esnaashari, S.; Rezaei, S.; Mirzaei, E.; Afshari, H.; Rezayat, S.M.; Faridi-Majidi, R. Preparation and characterization of kefiran electrospun nanofibers. Int. J. Biol. Macromol. 2014, 70, 50–56. [Google Scholar] [CrossRef]
- Pop, C.; Apostu, S.; Rotar, A.M.; Semeniuc, C.A.; Sindic, M.; Mabon, N. FTIR spectroscopic characterization of a new biofilm obtained from kefiran. J. Agroaliment. Process. Technol. 2013, 19, 157–159. [Google Scholar]
- Wang, Y.; Ahmed, Z.; Feng, W.; Li, C.; Song, S. Physicochemical properties of exopolysaccharide produced by Lactobacillus kefiranofaciens ZW3 isolated from Tibet kefir. Int. J. Biol. Macromol. 2008, 43, 283–288. [Google Scholar] [CrossRef]
- Guerrero, P.; Retegi, A.; Gabilondo, A.; de la Caba, K. Mechanical and thermal properties of soy protein films processed by casting and compression. J. Food Eng. 2010, 100, 145–151. [Google Scholar] [CrossRef]
- Ramos, O.L.; Reinas, I.; Silva, S.I.; Fernandes, J.C.; Cerqueira, M.A.; Pereira, R.N.; Vicente, A.A.; Poças, M.F.; Pintado, M.E.; Malcata, F.X. Effect of whey protein purity and glycerol content upon physical properties of edible films manufactured therefrom. Food Hydrocoll. 2013, 30, 110–122. [Google Scholar] [CrossRef]
- Ahmed, Z.; Wang, Y.; Anjum, N.; Ahmad, A.; Khan, S.T. Characterization of exopolysaccharide produced by Lactobacillus kefiranofaciens ZW3 isolated from Tibet kefir—Part II. Food Hydrocoll. 2013, 30, 343–350. [Google Scholar] [CrossRef]
- Stawski, D.; Rabiej, S.; Herczyńska, L.; Draczyński, Z. Thermogravimetric analysis of chitins of different origin. J. Therm. Anal. Calorim. 2008, 93, 489–494. [Google Scholar] [CrossRef]
- Sanyang, M.L.; Sapuan, S.M.; Jawaid, M.; Ishak, M.R.; Sahari, J. Effect of plasticizer type and concentration on physical properties of biodegradable films based on sugar palm (Arenga pinnata) starch for food packaging. J. Food Sci. Technol. 2016, 53, 326–336. [Google Scholar] [CrossRef]
- Srithep, Y.; Pholharn, D. Plasticizer effect on melt blending of polylactide stereocomplex. e-Polymers 2017, 17, 409–416. [Google Scholar] [CrossRef]
- Park, H.J.; Weller, C.L.; Vergano, P.J.; Testin, R.F. Permeability and mechanical properties of cellulose-based edible films. J. Food Sci. 1993, 58, 1361–1364. [Google Scholar] [CrossRef]
- Farhan, A.; Hani, N.M. Characterization of edible packaging films based on semi-refined kappa-carrageenan plasticized with glycerol and sorbitol. Food Hydrocoll. 2017, 64, 48–58. [Google Scholar] [CrossRef]
- Bertuzzi, M.A.; Castro Vidaurre, E.F.; Armada, M.; Gottifredi, J.C. Water vapor permeability of edible starch based films. J. Food Eng. 2007, 80, 972–978. [Google Scholar] [CrossRef]
- Coupland, J.N.; Shaw, N.B.; Monahan, F.J.; O’Riordan, E.D.; O’Sullivan, M. Modeling the effect of glycerol on the moisture sorption behavior of whey protein edible films. J. Food Eng. 2000, 43, 25–30. [Google Scholar] [CrossRef]
- Mali, S.; Sakanaka, L.S.; Yamashita, F.; Grossmann, M.V.E. Water sorption and mechanical properties of cassava starch films and their relation to plasticizing effect. Carbohydr. Polym. 2005, 60, 283–289. [Google Scholar] [CrossRef]
- Chinnan, M.S.; Park, H.J. Effect of plasticizer level and temperature on water vapor transmission of cellulose-based edible films. J. Food Process Eng. 1995, 18, 417–429. [Google Scholar] [CrossRef]
- Cuq, B.; Gontard, N.; Cuq, J.-L.; Guilbert, S. Selected functional properties of fish myofibrillar protein based films as affected by hydrophilic plasticizers. J. Agr. Food Chem. 1997, 45, 622–626. [Google Scholar] [CrossRef]
- Kristo, E.; Koutsoumanis, K.P.; Biliaderis, C.G. Thermal, mechanical and water vapor barrier properties of sodium caseinate films containing antimicrobials and their inhibitory action on Listeria monocytogenes. Food Hydrocoll. 2008, 22, 373–386. [Google Scholar] [CrossRef]
- Natanya, M.; Hansen, L.; Plackett, D. Sustainable films and coatings from hemicelluloses: A review. Biomacromolecules 2008, 9, 1493–1505. [Google Scholar]
- Sothornvit, R.; Krochta, J.M. Plasticizer effect on mechanical properties of β-lactoglobulin films. J. Food Eng. 2001, 50, 149–155. [Google Scholar] [CrossRef]







| Sample | τ0 (10−3 Pa) | K (10−3 Pa·s) | n | R2 |
|---|---|---|---|---|
| MK 0% Glycerol | 42 ± 2 | 10.9 ± 0.2 | 0.916 ± 0.002 | 0.9999 |
| MK 10% Glycerol | 32 ± 2 | 9.6 ± 0.2 | 0.928 ± 0.003 | 0.9999 |
| MK 20% Glycerol | 33 ± 2 | 9.4 ± 0.2 | 0.932 ± 0.003 | 0.9999 |
| MK 30% Glycerol | 30 ± 2 | 9.3 ± 0.2 | 0.933 ± 0.003 | 0.9999 |
| KEF 0% Glycerol | 54 ± 3 | 34.8 ± 0.2 | 0.988 ± 0.001 | 0.9999 |
| KEF 10% Glycerol | 84 ± 5 | 36.3 ± 0.3 | 0.972 ± 0.001 | 0.9999 |
| KEF 20% Glycerol | 73 ± 4 | 34.8 ± 0.2 | 0.980 ± 0.001 | 0.9999 |
| KEF 30% Glycerol | 79 ± 4 | 34.7 ± 0.2 | 0.987 ± 0.001 | 0.9999 |
| Sample | Y (MPa) | TSmax (MPa) | e% (%) |
|---|---|---|---|
| MK 0% Glycerol | n.d. | n.d. | n.d. |
| MK 10% Glycerol | 443 ± 33 b | 14 ± 2 c | 4 ± 1 f |
| MK 20% Glycerol | 155 ± 19 d | 7 ± 1 d | 20 ± 4 c |
| MK 30% Glycerol | 63 ± 9 e | 4 ± 1 e | 34 ± 3 b |
| KEF 0% Glycerol | 567 ± 61 a | 34 ± 3 a | 13 ± 2 d |
| KEF 10% Glycerol | 544 ± 48 a | 20 ± 4 b | 8 ± 2 e |
| KEF 20% Glycerol | 313 ± 25 c | 9 ± 2 d | 38 ± 8 b |
| KEF 30% Glycerol | 146 ± 21 d | 5 ± 1 e | 72 ± 10 a |
| Sample | h90%rh (g·g−1) | GAB Parameters | |||
|---|---|---|---|---|---|
| N (g·g−1) | c | k | R2 | ||
| MK 0% Glycerol | 0.26 ± 0.01 a | 0.056 ± 0.002 | 9.6 ± 0.9 | 0.876 ± 0.009 | 0.999 |
| MK 10% Glycerol | 0.39 ± 0.01 c | 0.064 ± 0.001 | 4.2 ± 0.4 | 0.937 ± 0.003 | 0.999 |
| MK 20% Glycerol | 0.50 ± 0.02 e | 0.082 ± 0.004 | 2.5 ± 0.4 | 0.941 ± 0.007 | 0.999 |
| MK 30% Glycerol | 0.61 ± 0.03 g | 0.094 ± 0.005 | 2.0 ± 0.3 | 0.954 ± 0.006 | 0.999 |
| KEF 0% Glycerol | 0.26 ± 0.01 a | 0.104 ± 0.009 | 10 ± 1 | 0.690 ± 0.008 | 0.996 |
| KEF 10% Glycerol | 0.35 ± 0.01 b | 0.079 ± 0.005 | 6.5 ± 0.7 | 0.871 ± 0.007 | 0.998 |
| KEF 20% Glycerol | 0.46 ± 0.01 d | 0.080 ± 0.003 | 5.4 ± 0.5 | 0.925 ± 0.006 | 0.999 |
| KEF 30% Glycerol | 0.55 ± 0.02 f | 0.088 ± 0.004 | 3.9 ±0.5 | 0.941 ± 0.007 | 0.999 |
| Sample | L (10−5g m) | ρd.f (104g m3) | Pwexp (10−10 g s−1m−1Pa−1) | Sw (g m−3Pa−1) | Dw (10−13m2s−1) |
|---|---|---|---|---|---|
| MK 0% Glycerol | 15.6 ± 0.7 ab | 113 ± 9 ab | 3.2 ± 0.1 a | 124 ± 6 b | 26 ± 2 d |
| MK 10% Glycerol | 15.1 ± 0.8 ab | 121 ± 10 ab | 4.6 ± 0.1 c | 211 ± 10 d | 22 ± 1 c |
| MK 20% Glycerol | 14.5 ± 0.8 ab | 131 ± 9 ab | 5.6 ± 0.1 e | 295 ± 15 f | 19 ±1 b |
| MK 30% Glycerol | 14.1 ± 0.7 b | 139 ± 9 b | 6.1 ± 0.1 f | 388 ± 19 g | 16 ± 1 a |
| KEF 0% Glycerol | 16.0 ± 0.7 a | 104 ± 9 a | 5.0 ± 0.1 d | 105 ± 8 a | 48 ± 4 f |
| KEF 10% Glycerol | 15.4 ± 0.8 ab | 113 ± 10 ab | 4.0 ± 0.1 b | 172 ± 10 c | 23 ± 2 cd |
| KEF 20% Glycerol | 14.9 ± 0.8 ab | 121 ± 10 ab | 4.7 ± 0.1 c | 247 ± 11 e | 19 ± 1 b |
| KEF 30% Glycerol | 14.3 ± 0.8 b | 129 ± 9 b | 4.8 ± 0.1 cd | 321 ± 12 f | 15 ± 1 a |
Disclaimer/Publisher’s Note: The statements, opinions and data contained in all publications are solely those of the individual author(s) and contributor(s) and not of MDPI and/or the editor(s). MDPI and/or the editor(s) disclaim responsibility for any injury to people or property resulting from any ideas, methods, instructions or products referred to in the content. |
© 2024 by the authors. Licensee MDPI, Basel, Switzerland. This article is an open access article distributed under the terms and conditions of the Creative Commons Attribution (CC BY) license (https://creativecommons.org/licenses/by/4.0/).
Share and Cite
Ramírez Tapias, Y.A.; Rezzani, G.D.; Delgado, J.F.; Peltzer, M.A.; Salvay, A.G. New Materials from the Integral Milk Kefir Grain Biomass and the Purified Kefiran: The Role of Glycerol Content on the Film’s Properties. Polymers 2024, 16, 3106. https://doi.org/10.3390/polym16223106
Ramírez Tapias YA, Rezzani GD, Delgado JF, Peltzer MA, Salvay AG. New Materials from the Integral Milk Kefir Grain Biomass and the Purified Kefiran: The Role of Glycerol Content on the Film’s Properties. Polymers. 2024; 16(22):3106. https://doi.org/10.3390/polym16223106
Chicago/Turabian StyleRamírez Tapias, Yuly A., Guillermo D. Rezzani, Juan F. Delgado, Mercedes A. Peltzer, and Andrés G. Salvay. 2024. "New Materials from the Integral Milk Kefir Grain Biomass and the Purified Kefiran: The Role of Glycerol Content on the Film’s Properties" Polymers 16, no. 22: 3106. https://doi.org/10.3390/polym16223106
APA StyleRamírez Tapias, Y. A., Rezzani, G. D., Delgado, J. F., Peltzer, M. A., & Salvay, A. G. (2024). New Materials from the Integral Milk Kefir Grain Biomass and the Purified Kefiran: The Role of Glycerol Content on the Film’s Properties. Polymers, 16(22), 3106. https://doi.org/10.3390/polym16223106

