Effect of Medium-Chain-Length Alkyl Silane Modified Nanocellulose in Poly(3-hydroxybutyrate) Nanocomposites
Abstract
1. Introduction
2. Materials and Methods
2.1. Materials
2.2. Isolation of CNF
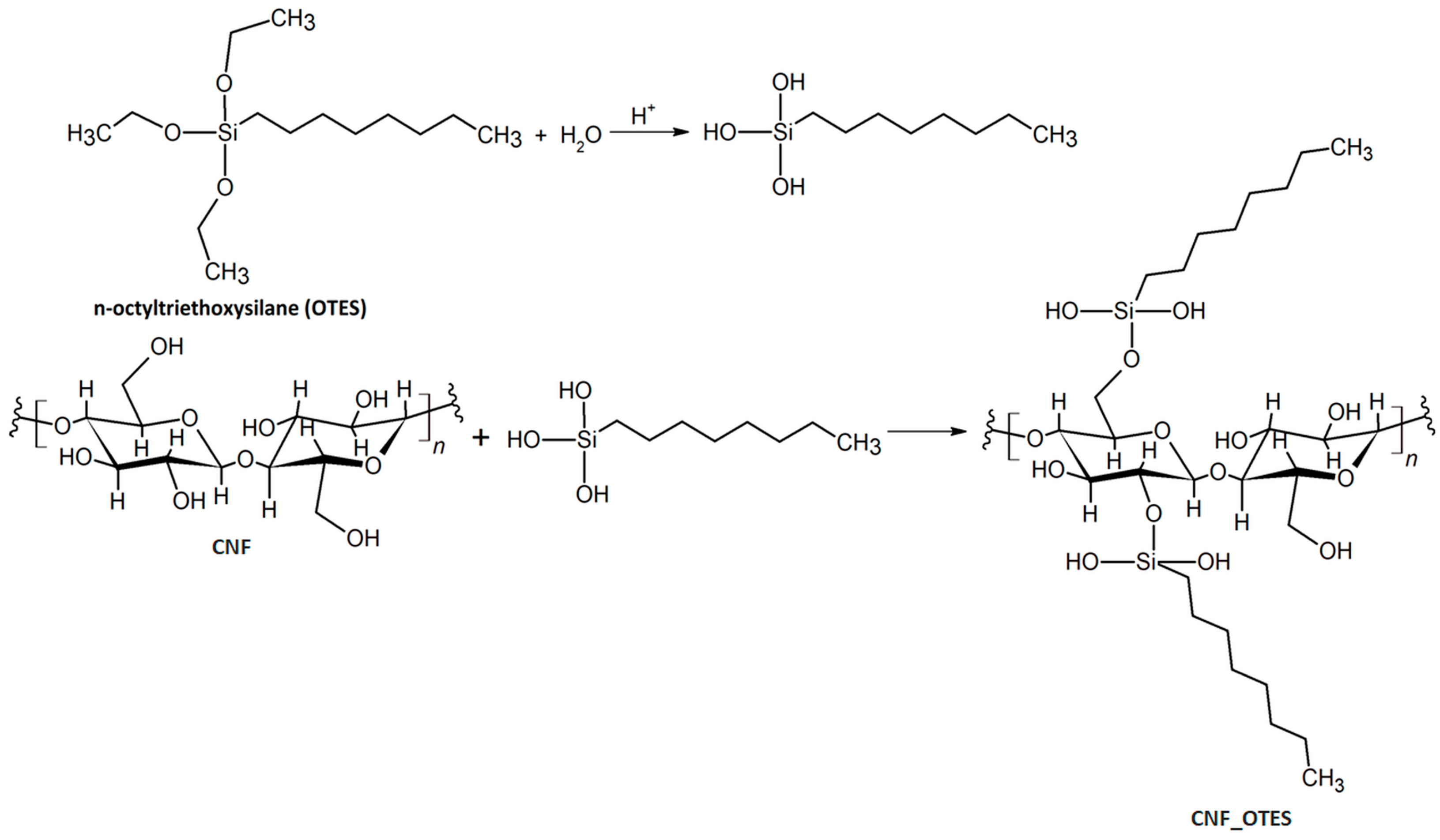
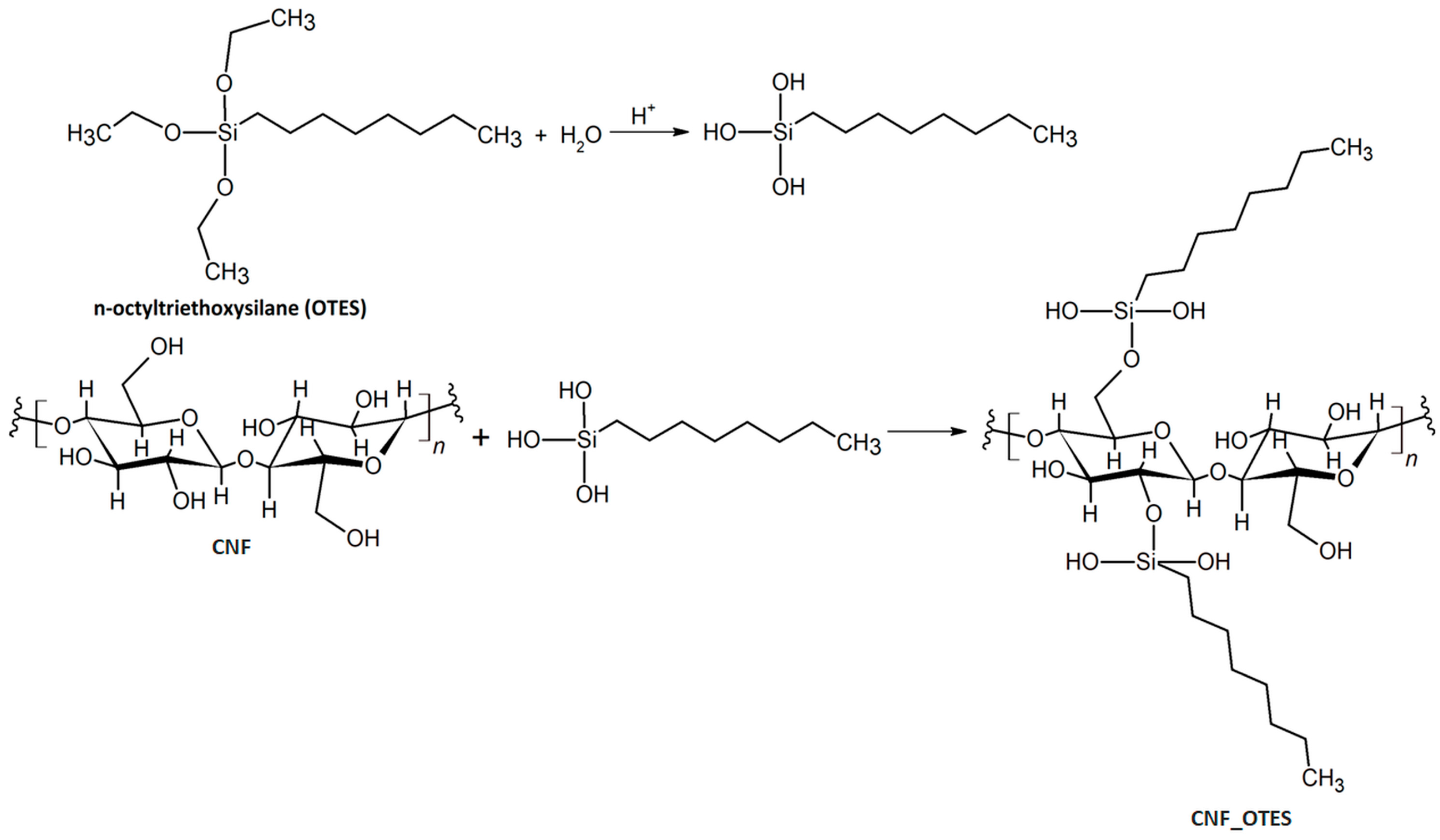
2.3. Chemical Modification of CNF with OTES
2.4. Characterization of the CNF_OTES
2.4.1. Fourier Transform Infrared Spectroscopy (FTIR)
2.4.2. X-Ray Photoelectron Spectroscopy (XPS)

2.4.3. Static Contact Angle (CA)
2.4.4. Thermogravimetric Analysis (TGA)
2.4.5. Atomic Force Microscopy
2.4.6. Dynamic Light Scattering (DLS)
2.5. Preparation of the PHB/CNF and PHB/CNF_OTES Nanocomposites
2.6. Characterization of the PHB/CNF and PHB/CNF_OTES Nanocomposites
2.6.1. Mixing Torque
2.6.2. Thermogravimetric Analysis of Nanocomposites
2.6.3. DSC Analysis
2.6.4. SEM Analysis of Nanocomposites
2.6.5. Dynamic Mechanical Analysis
3. Results and Discussion
3.1. OTES-Modified CNF
3.1.1. FTIR Analysis of CNF and CNF_OTES
3.1.2. XPS Analysis of CNF and CNF_OTES
3.1.3. Static Water Contact Angle
3.1.4. Thermogravimetric Analysis
3.1.5. Nano-Investigation of CNF and CNF_OTES by AFM-QNM
3.1.6. DLS Analysis of Water-Dispersed CNF and CNF_OTES
3.2. PHB/CNF_OTES Nanocomposites
3.2.1. Rheological Characterization
3.2.2. DMA Results
3.2.3. SEM Analysis
3.2.4. DSC Results
3.2.5. TGA Results
4. Conclusions
Author Contributions
Funding
Institutional Review Board Statement
Data Availability Statement
Conflicts of Interest
References
- Muthuraj, R.; Valerio, O.; Mekonnen, T.H. Recent developments in short- and medium-chain- length Polyhydroxyalkanoates: Production, properties, and applications. Int. J. Biol. Macromol. 2021, 187, 422–440. [Google Scholar] [CrossRef]
- Popa, M.S.; Frone, A.N.; Panaitescu, D.M. Polyhydroxybutyrate blends: A solution for biodegradable packaging? Int. J. Biol. Macromol. 2022, 207, 263–277. [Google Scholar] [CrossRef]
- Zhang, B.; Huang, C.; Zhao, H.; Wang, J.; Yin, C.; Zhang, L.; Zhao, Y. Effects of Cellulose Nanocrystals and Cellulose Nanofibers on the Structure and Properties of Polyhydroxybutyrate Nanocomposites. Polymers 2019, 11, 2063. [Google Scholar] [CrossRef]
- Usurelu, C.D.; Badila, S.; Frone, A.N.; Panaitescu, D.M. Poly(3-hydroxybutyrate) Nanocomposites with Cellulose Nanocrystals. Polymers 2022, 14, 1974. [Google Scholar] [CrossRef]
- Noremylia, M.B.; Hassan, M.Z.; Ismail, Z. Recent advancement in isolation, processing, characterization and applications of emerging nanocellulose: A review. Int. J. Biol. Macromol. 2022, 206, 954–976. [Google Scholar] [CrossRef]
- Panaitescu, D.M.; Frone, A.N. Cellulose (Nano) Composites. Polymers 2023, 15, 2512. [Google Scholar] [CrossRef]
- Yu, H.Y.; Qin, Z.Y.; Yan, C.F.; Yao, J.M. Green nanocomposites based on functionalized cellulose nanocrystals: A study on the relationship between interfacial interaction and property enhancement. ACS Sustain. Chem. Eng. 2014, 2, 875–886. [Google Scholar] [CrossRef]
- Chen, J.; Wu, D.; Tam, K.C.; Pan, K.; Zheng, Z. Effect of surface modification of cellulose nanocrystal on nonisothermal crystallization of poly(β-hydroxybutyrate) composites. Carbohydr. Polym. 2017, 157, 1821–1829. [Google Scholar] [CrossRef]
- Magnani, C.; Idström, A.; Nordstierna, L.; Müller, A.J.; Dubois, P.; Raquez, J.M.; Lo Re, G. Interphase design of cellulose nanocrystals/poly(hydroxybutyrate-ran-valerate) bionanocomposites for mechanical and thermal properties tuning. Biomacromolecules 2020, 21, 1892–1901. [Google Scholar] [CrossRef]
- Zhou, L.; Ke, K.; Yang, M.-B.; Yang, W. Recent progress on chemical modification of cellulose for high mechanical-performance Poly(lactic acid)/Cellulose composite: A review. Compos. Commun. 2021, 23, 100548. [Google Scholar] [CrossRef]
- Frone, A.N.; Berlioz, S.; Chailan, J.-F.; Panaitescu, D.M. Morphology and thermal properties of PLA–cellulose nanofibers composites. Carbohydr. Polym. 2013, 91, 377–384. [Google Scholar] [CrossRef]
- Popa, M.S.; Frone, A.N.; Radu, I.C.; Stanescu, P.O.; Truşcă, R.; Rădiţoiu, V.; Nicolae, C.A.; Gabor, A.R.; Panaitescu, D.M. Microfibrillated Cellulose Grafted with Metacrylic Acid as a Modifier in Poly(3-hydroxybutyrate). Polymers 2021, 13, 3970. [Google Scholar] [CrossRef]
- Panaitescu, D.M.; Vizireanu, S.; Stoian, S.A.; Nicolae, C.-A.; Gabor, A.R.; Damian, C.M.; Trusca, R.; Carpen, L.G.; Dinescu, G. Poly(3-hydroxybutyrate) Modified by Plasma and TEMPO-Oxidized Celluloses. Polymers 2020, 12, 1510. [Google Scholar] [CrossRef]
- Wang, B.; Sain, M. The effect of chemically coated nanofiber reinforcement on biopolymer based nanocomposites. BioResources 2007, 2, 371–388. [Google Scholar] [CrossRef]
- Panaitescu, D.M.; Nicolae, C.A.; Gabor, A.R.; Trusca, R. Thermal and mechanical properties of poly(3-hydroxybutyrate) reinforced with cellulose fibers from wood waste. Ind. Crops Prod. 2020, 145, 112071. [Google Scholar] [CrossRef]
- Hassaini, L.; Kaci, M.; Touati, N.; Pillin, I.; Kervoelen, A.; Bruzaud, S. Valorization of olive husk flour as a filler for biocomposites based on poly(3-hydroxybutyrate-co-3-hydroxyvalerate): Effects of silane treatment. Polym. Test. 2017, 59, 430–440. [Google Scholar] [CrossRef]
- Ou, J.; Wang, F.; Li, W.; Yan, M.; Amirfazli, A. Methyltrimethoxysilane as a multipurpose chemical for durable superhydrophobic cotton fabric. Prog. Org. Coat. 2020, 146, 105700. [Google Scholar] [CrossRef]
- Giubilini, A.; Sciancalepore, C.; Messori, M.; Bondioli, F. New biocomposite obtained using poly(3-hydroxybutyrate-co-3-hydroxyhexanoate) (PHBH) and microfibrillated cellulose. J. Appl. Polym. Sci. 2020, 137, 48953. [Google Scholar] [CrossRef]
- Pyo, C.E.; Chan, J.H. Hydrophobic mesoporous silica particles modified with nonfluorinated alkyl silanes. ACS Omega 2021, 6, 16100–16109. [Google Scholar] [CrossRef]
- El Allaoui, B.; Chakhtouna, H.; Zari, N.; Benzeid, H.; Qaiss, A.e.k.; Bouhfid, R. Superhydrophobic alkylsilane functionalized cellulose beads for efficient oil/water separation. J. Water Process Eng. 2023, 54, 104015. [Google Scholar] [CrossRef]
- Taczała, J.; Sawicki, J.; Pietrasik, J. Chemical Modification of Cellulose Microfibres to Reinforce Poly(methyl methacrylate) Used for Dental Application. Materials 2020, 13, 3807. [Google Scholar] [CrossRef]
- Miedzianowska, J.; Masłowski, M.; Strzelec, K. Improving performance of natural rubber composites by the application of functional biofiller: Horsetail modified with silane coupling agents. Cellulose 2023, 30, 10175–10198. [Google Scholar] [CrossRef]
- Oprea, M.; Panaitescu, D.M.; Nicolae, C.A.; Gabor, A.R.; Frone, A.N.; Raditoiu, V.; Trusca, R.; Casarica, A. Nanocomposites from functionalized bacterial cellulose and poly(3-hydroxybutyrate-co-3-hydroxyvalerate. Polym. Degrad. Stab. 2020, 179, 109203. [Google Scholar] [CrossRef]
- Andresen, M.; Johansson, L.S.; Tanem, B.S.; Stenius, P. Properties and characterization of hydrophobized microfibrillated cellulose. Cellulose 2006, 13, 665–677. [Google Scholar] [CrossRef]
- Frone, A.N.; Panaitescu, D.M.; Chiulan, I.; Nicolae, C.A.; Casarica, A.; Gabor, A.R.; Trusca, R.; Damian, C.M.; Purcar, V.; Alexandrescu, E.; et al. Surface Treatment of Bacterial Cellulose in Mild, Eco-Friendly Conditions. Coatings 2018, 8, 221. [Google Scholar] [CrossRef]
- Jančič, U.; Bračič, M.; Ojstršek, A.; Božič, M.; Mohan, T.; Gorgieva, S. Consolidation of cellulose nanofibrils with lignosulphonate bio-waste into excellent flame retardant and UV blocking membranes. Carbohydr. Polym. 2021, 251, 117126. [Google Scholar] [CrossRef]
- Paniz, O.G.; Pereira, C.M.P.; Pacheco, B.S.; Wolke, S.I.; Maron, G.K.; Mansilla, A.; Colepicolo, P.; Orlandi, M.O.; Osorio, A.G.; Carreño, N.L.V. Cellulosic material obtained from antarctic algae biomass. Cellulose 2020, 27, 113–126. [Google Scholar] [CrossRef]
- Alamri, H.; Low, I.M. Mechanical properties and water absorption behaviour of recycled cellulose fibre reinforced epoxy composites. Polym. Test. 2012, 31, 620–628. [Google Scholar] [CrossRef]
- Sekine, Y.; Nankawa, T.; Hiroi, K.; Oba, Y.; Nagakawa, Y.; Sugita, T.; Shibayama, Y.; Ikeda-Fukazawa, T. Nanocellulose hydrogels formed via crystalline transformation from cellulose I to II and subsequent freeze cross-linking reaction. Carbohydr. Polym. 2024, 327, 121538. [Google Scholar] [CrossRef]
- Rawat, S.; Misra, N.; Shelkar, S.A.; Kumar, V. Tailoring acid free-paper based analytical devices (Af-PADs) via radiation assisted modification of cellulose paper. Carbohydr. Polym. 2023, 317, 121116. [Google Scholar] [CrossRef]
- Kotov, N.; Larsson, P.A.; Jain, K.; Abitbol, T.; Cernescu, A.; Wågberg, L.; Johnson, C.M. Elucidating the fine-scale structural morphology of nanocellulose by nano infrared spectroscopy. Carbohydr. Polym. 2023, 302, 120320. [Google Scholar] [CrossRef] [PubMed]
- Chen, Z.; Hu, T.Q.; Jang, H.F.; Grant, E. Modification of xylan in alkaline treated bleached hardwood kraft pulps as classified by attenuated total-internal-reflection (ATR) FTIR Spectroscopy. Carbohydr. Polym. 2015, 127, 418–426. [Google Scholar] [CrossRef] [PubMed]
- Liu, Y.; Liu, A.; Ibrahim, S.A.; Yang, H.; Huang, W. Isolation and characterization of microcrystalline cellulose from pomelo peel. Int. J. Biol. Macromol. 2018, 111, 717–721. [Google Scholar] [CrossRef] [PubMed]
- Arun, V.; Perumal, E.M.; Prakash, K.A.; Rajesh, M.; Tamilarasan, K. Sequential fractionation and characterization of lignin and cellulose fiber from waste rice bran. J. Environ. Chem. Eng. 2020, 8, 104124. [Google Scholar] [CrossRef]
- Refaat, A.; Elhaes, H.; Ibrahim, M.A. Effect of alkali metals on physical and spectroscopic properties of cellulose. Sci. Rep. 2023, 13, 21649. [Google Scholar] [CrossRef]
- Costa, G.R.; Nascimento, M.V.; de Souza Marotti, B.; Arantes, V. Reducing hydrophilicity of cellulose nanofibrils through lipase-catalyzed surface engineering with renewable grafting agents. J. Polym. Environ. 2024, 32, 5254–5271. [Google Scholar] [CrossRef]
- Carrillo, I.; Mendonça, R.T.; Ago, M.; Rojas, O.J. Comparative study of cellulosic components isolated from different eucalyptus species. Cellulose 2018, 25, 1011–1029. [Google Scholar] [CrossRef]
- Lee, H.; Erwin, A.; Buxton, M.L.; Kim, M.; Stryutsky, A.V.; Shevchenko, V.V.; Sokolov, A.P.; Tsukruk, V.V. Shape persistent, highly conductive ionogels from ionic liquids reinforced with cellulose nanocrystal network. Adv. Funct. Mater. 2021, 31, 2103083. [Google Scholar] [CrossRef]
- Akbarian-Saravi, N.; Basar, I.A.; Margoto, O.H.; Abdollahi, G.N.; Crawford, B.; Magel, B.; Gharibnavaz, M.; Eskicioglu, C.; Milani, A.S. Characterization of the mechanical, biodegradation, and morphological properties of nbr/biopolymer blend, integrated with a risk evaluation. ACS Omega 2024, 9, 9256–9268. [Google Scholar] [CrossRef]
- Sivaranjini, B.; Mangaiyarkarasi, R.; Ganesh, V.; Umadevi, S. Vertical alignment of liquid crystals over a functionalized flexible substrate. Sci. Rep. 2018, 8, 8891. [Google Scholar] [CrossRef]
- Petcu, C.; Purcar, V.; Ianchiş, R.; Spătaru, C.I.; Ghiurea, M.; Nicolae, C.A.; Stroescu, H.; Atanase, L.I.; Frone, A.N.; Trică, B.; et al. Synthesis and characterization of polymer-silica hybrid latexes and sol-gel-derived films. Appl. Surf. Sci. 2016, 389, 666–672. [Google Scholar] [CrossRef]
- Cabrera, I.C.; Berlioz, S.; Fahs, A.; Louarn, G.; Carriere, P. Chemical functionalization of nano fibrillated cellulose by glycidyl silane coupling agents: A grafted silane network characterization study. Int. J. Biol. Macromol. 2020, 165, 1773–1782. [Google Scholar] [CrossRef] [PubMed]
- Zhu, Q.; Wang, T.; Sun, X.; Wei, Y.; Zhang, S.; Wang, X.; Luo, L. Effects of Fluorine-Based Modification on Triboelectric Properties of Cellulose. Polymers 2022, 14, 3536. [Google Scholar] [CrossRef] [PubMed]
- Kaynak, B.; Spoerk, M.; Shirole, A.; Ziegler, W.; Sapkota, J.; Kaynak, B.; Ziegler, W.; Spoerk, M.; Sapkota, J.; Shirole, A. Polypropylene/cellulose composites for material extrusion additive manufacturing. Macromol. Mater. Eng. 2018, 303, 1800037. [Google Scholar] [CrossRef]
- Dhali, K.; Daver, F.; Cass, P.; Adhikari, B. Surface modification of the cellulose nanocrystals through vinyl silane grafting. Int. J. Biol. Macromol. 2022, 200, 397–408. [Google Scholar] [CrossRef]
- Chen, S.; Teng, Q. Quantitative Immobilization of Phthalocyanine onto Bacterial Cellulose for Construction of a High-Performance Catalytic Membrane Reactor. Materials 2017, 10, 846. [Google Scholar] [CrossRef]
- Chen, Q.; Xiong, J.; Chen, G.; Tan, T. Preparation and characterization of highly transparent hydrophobic nanocellulose film using corn husks as main material. Int. J. Biol. Macromol. 2020, 158, 781–789. [Google Scholar] [CrossRef]
- Coelho Braga de Carvalho, A.L.; Ludovici, F.; Goldmann, D.; Silva, A.C.; Liimatainen, H. Silylated thiol-containing cellulose nanofibers as a bio-based flocculation agent for ultrafine mineral particles of chalcopyrite and pyrite. J. Sustain. Met. 2021, 7, 1506–1522. [Google Scholar] [CrossRef]
- Xu, C.A.; Lu, M.; Wu, K.; Shi, J. Functionalization of nano-cellulose by coupling agent with green strategy. Inorg. Chem. Commun. 2021, 134, 108939. [Google Scholar] [CrossRef]
- Paquet, O.; Krouit, M.; Bras, J.; Thielemans, W.; Belgacem, M.N. Surface Modification of Cellulose by PCL Grafts. Acta Mater. 2010, 58, 792–801. [Google Scholar] [CrossRef]
- Lalanne-Tisné, M.; Mees, M.A.; Eyley, S.; Zinck, P.; Thielemans, W. Organocatalyzed ring opening polymerization of lactide from the surface of cellulose nanofibrils. Carbohydr. Polym. 2020, 250, 116974. [Google Scholar] [CrossRef] [PubMed]
- Song, H.; Zheng, L. Nanocomposite films based on cellulose reinforced with nano-SiO2: Microstructure, hydrophilicity, thermal stability, and mechanical properties. Cellulose 2013, 20, 1737–1746. [Google Scholar] [CrossRef]
- Qing, Y.; Cai, Z.; Wu, Y.; Yao, C.; Wu, Q.; Li, X. Facile Preparation of optically transparent and hydrophobic cellulose nanofibril composite films. Ind. Crops Prod. 2015, 77, 13–20. [Google Scholar] [CrossRef]
- Nazri, A.I.; Ahmad, A.L.; Hussin, M.H. Microcrystalline Cellulose-Blended Polyethersulfone Membranes for Enhanced Water Permeability and Humic Acid Removal. Membranes 2021, 11, 660. [Google Scholar] [CrossRef] [PubMed]
- Mendes, R.F.; Mendes, L.M.; Elvis De Oliveira, J.; Junior, H.S.; Glenn, G.; Henrique, G.; Tonoli, D. Modification of Eucalyptus Pulp Fiber Using Silane Coupling Agents With Aliphatic Side Chains of Different Length. Polym. Eng. Sci. 2015, 55, 1273–1280. [Google Scholar] [CrossRef]
- Jarrah, K.; Hisaindee, S.; Al-Sayah, M.H. Preparation of Oil Sorbents by Solvent-Free Grafting of Cellulose Cotton Fibers. Cellulose 2018, 25, 4093–4106. [Google Scholar] [CrossRef]
- Sehlleier, Y.H.; Abdali, A.; Schnurre, S.M.; Wiggers, H.; Schulz, C. Surface functionalization of microwave plasma-synthesized silica nanoparticles for enhancing the stability of dispersions. J. Nanopart. Res. 2014, 16, 2557. [Google Scholar] [CrossRef]
- Chevigny, C.; Dalmas, F.; Di Cola, E.; Gigmes, D.; Bertin, D.; Boué, F.; Jestin, J. Polymer-grafted-nanoparticles nanocomposites: Dispersion, grafted chain conformation, and rheological behavior. Macromolecules 2011, 44, 122–133. [Google Scholar] [CrossRef]
- Miri, N.E.; Heggset, E.B.; Wallsten, S.; Svedberg, A.; Syverud, K.; Norgren, M. A comprehensive investigation on modified cellulose nanocrystals and their films properties. Int. J. Biol. Macromol. 2022, 219, 998–1008. [Google Scholar] [CrossRef]
- Qua, E.H.; Hornsby, P.R.; Sharma, H.S.S.; Lyons, G. Preparation and characterisation of cellulose nanofibres. J. Mater. Sci. 2011, 46, 6029–6045. [Google Scholar] [CrossRef]
- Yang, H.; Alam, M.N.; van de Ven, T.G.M. Highly charged nanocrystalline cellulose and dicarboxylated cellulose from periodate and chlorite oxidized cellulose fibers. Cellulose 2013, 20, 1865–1875. [Google Scholar] [CrossRef]
- Moser, C.; Lindström, M.E.; Henriksson, G. Toward industrially feasible methods for following the process of manufacturing cellulose nanofibers. Bioresources 2015, 10, 2360–2375. [Google Scholar] [CrossRef]
- Tarrés, Q.; Aguado, R.; Zoppe, J.O.; Mutjé, P.; Fiol, N.; Delgado-Aguilar, M. Dynamic Light Scattering Plus Scanning Electron Microscopy: Usefulness and Limitations of a Simplified Estimation of Nanocellulose Dimensions. Nanomaterials 2022, 12, 4288. [Google Scholar] [CrossRef] [PubMed]
- Gorgieva, S.; Vogrinčič, R.; Kokol, V. Polydispersity and assembling phenomena of native and reactive dye-labelled nanocellulose. Cellulose 2015, 22, 3541–3558. [Google Scholar] [CrossRef]
- Das, M.; Bhattacharyya, R. Cellulose Nanofibers: Synthesis, Properties and Applications. In Polymer Nanocomposites Based on Inorganic and Organic Nanomaterials; John Wiley & Sons, Ltd.: Hoboken, NJ, USA, 2015; pp. 1–37. [Google Scholar]
- Jiang, F.; Kondo, T.; Hsieh, Y.L. Rice straw cellulose nanofibrils via aqueous counter collision and differential centrifugation and their self-assembled structures. ACS Sustain. Chem. Eng. 2016, 4, 1697–1706. [Google Scholar] [CrossRef]
- Jakubek, Z.J.; Chen, M.; Couillard, M.; Leng, T.; Liu, L.; Zou, S.; Baxa, U.; Clogston, J.D.; Hamad, W.Y.; Johnston, L.J. Characterization challenges for a cellulose nanocrystal reference material: Dispersion and particle size distributions. J. Nanopart. Res. 2018, 20, 98. [Google Scholar] [CrossRef]
- Nagarajan, K.J.; Ramanujam, N.R.; Sanjay, M.R.; Siengchin, S.; Surya Rajan, B.; Sathick Basha, K.; Madhu, P.; Raghav, G.R. A comprehensive review on cellulose nanocrystals and cellulose nanofibers: Pretreatment, preparation, and characterization. Polym. Compos. 2021, 42, 1588–1630. [Google Scholar] [CrossRef]
- Yamagata, Y.; Niinobe, S.; Suga, K.; Nakano, Y.; Miyamoto, K. Rheological and rheo-optical behaviors of nanocellulose suspensions containing unfibrillated fibers. Cellulose 2022, 29, 3703–3719. [Google Scholar] [CrossRef]
- Cebreiros, F.; Seiler, S.; Sánchez, G.; Lareo, C. Sequential ball milling as a promising method for the isolation of cellulose nanofibers (CNF) from enzyme-treated eucalyptus kraft pulp. Ind. Crops Prod. 2024, 220, 119293. [Google Scholar] [CrossRef]
- Wu, X.; Babi, M.; Moran-Mirabal, J.; Pelton, R.H. Grafting Polyanhydride Polymers to Cellulose Nanofibers. Cellulose 2024, 31, 6193–6210. [Google Scholar] [CrossRef]
- Das, D.; Bhattacharjee, S.; Bhaladhare, S. Preparation of cellulose hydrogels and hydrogel nanocomposites reinforced by crystalline cellulose nanofibers (CNFs) as a water reservoir for agriculture use. ACS Appl. Polym. Mater. 2023, 5, 2895–2904. [Google Scholar] [CrossRef]
- Gamelas, J.A.F.; Pedrosa, J.; Lourenço, A.F.; Mutjé, P.; González, I.; Chinga-Carrasco, G.; Singh, G.; Ferreira, P.J.T. On the morphology of cellulose nanofibrils obtained by TEMPO-mediated oxidation and mechanical treatment. Micron 2015, 72, 28–33. [Google Scholar] [CrossRef] [PubMed]
- Neves, R.M.; Ornaghi, H.L.; Zattera, A.J.; Amico, S.C. The influence of silane surface modification on microcrystalline cellulose characteristics. Carbohydr. Polym. 2020, 230, 115595. [Google Scholar] [CrossRef] [PubMed]
- Hongrattanavichit, I.; Aht-Ong, D. Antibacterial and water-repellent cotton fabric coated with organosilane-modified cellulose nanofibers. Ind. Crops Prod. 2021, 171, 113858. [Google Scholar] [CrossRef]
- Najib, N.; Christodoulatos, C. Removal of arsenic using functionalized cellulose nanofibrils from aqueous solutions. J. Hazard. Mater. 2019, 367, 256–266. [Google Scholar] [CrossRef]
- Chen, Z.; Hsu, F.C.; Battigelli, D.; Chang, H.C. Capture and release of viruses using amino-functionalized silica particles. Anal. Chim. Acta 2006, 569, 76–82. [Google Scholar] [CrossRef]
- Jesionowski, T.; Ciesielczyk, F.; Krysztafkiewicz, A. Influence of selected alkoxysilanes on dispersive properties and surface chemistry of spherical silica precipitated in emulsion media. Mater. Chem. Phys. 2010, 119, 65–74. [Google Scholar] [CrossRef]
- Patti, A.; Acierno, D.; Latteri, A.; Tosto, C.; Pergolizzi, E.; Recca, G.; Cristaudo, M.; Cicala, G. Influence of the Processing Conditions on the Mechanical Performance of Sustainable Bio-Based PLA Compounds. Polymers 2020, 12, 2197. [Google Scholar] [CrossRef]
- Teuber, L.; Militz, H.; Krause, A. Processing of wood plastic composites: The influence of feeding method and polymer melt flow rate on particle degradation. J. Appl. Polym. Sci. 2016, 133, 43231. [Google Scholar] [CrossRef]
- Son, D.; Lee, J.; Kim, S.K.; Hong, J.; Jung, H.; Shim, J.K.; Kang, D.H. Effect of cellulose nanofiber-montmorillonite hybrid filler on the melt blending of thermoplastic starch composites. Int. J. Biol. Macromol. 2024, 254, 127236. [Google Scholar] [CrossRef]
- Koay, S.C.; Chan, M.Y.; Pang, M.M.; Tshai, K.Y. Influence of filler loading and palm oil-based green coupling agent on torque rheological properties of polypropylene/cocoa pod husk composites. Adv. Polym. Technol. 2018, 37, 2246–2252. [Google Scholar] [CrossRef]
- Romo-Uribe, A. On the molecular orientation and viscoelastic behaviour of liquid crystalline polymers: The influence of macromolecular architecture. Proc. R. Soc. Lond. A 2001, 457, 207–229. [Google Scholar] [CrossRef]
- Nandi, P.; Das, D. Mechanical, thermo-mechanical and biodegradation behaviour of surface-silanized nettle fabric-reinforced poly (lactic acid) composites. Mater. Chem. Phys. 2023, 297, 127381. [Google Scholar] [CrossRef]
- Panaitescu, D.M.; Trusca, R.; Gabor, A.R.; Nicolae, C.A.; Casarica, A. Biocomposite foams based on polyhydroxyalkanoate and nanocellulose: Morphological and thermo-mechanical characterization. Int. J. Biol. Macromol. 2020, 164, 1867–1878. [Google Scholar] [CrossRef] [PubMed]
- de Oliveira, P.F.; de Oliveira Aguiar, V.; Marques, M.F.V.; Monteiro, S.N. Effect of acid treatment of eucalyptus fibers for improved poly(3-hydroxybutyrate) nanocomposites. J. Mater. Res. Technol. 2024, 29, 3686–3698. [Google Scholar] [CrossRef]
- Song, W.; Yang, Z.; Zhang, S.; Fei, B.; Zhao, R. Properties enhancement of poly(β-hydroxybutyrate) biocomposites by incorporating surface-modified wheat straw flour: Effect of pretreatment methods. Int. J. Biol. Macromol. 2023, 232, 123456. [Google Scholar] [CrossRef]
- Wellen, R.M.R.; Rabello, M.S.; Fechine, G.J.M.; Canedo, E.L. The melting behaviour of poly(3-hydroxybutyrate) by DSC. Reproducibility study. Polym. Test. 2013, 32, 215–220. [Google Scholar] [CrossRef]
- Laycock, B.; Halley, P.; Pratt, S.; Werker, A.; Lant, P. The chemomechanical properties of microbial polyhydroxyalkanoates. Prog. Polym. Sci. 2013, 3, 536–583. [Google Scholar] [CrossRef]
- Meereboer, K.W.; Pal, A.K.; Cisneros-López, E.O.; Misra, M.; Mohanty, A.K. The effect of natural fillers on the marine biodegradation behaviour of poly(3-hydroxybutyrate-co-3-hydroxyvalerate) (PHBV). Sci. Rep. 2021, 11, 911. [Google Scholar] [CrossRef]
- Uzun, G.; Aydemir, D. Biocomposites from polyhydroxybutyrate and bio-fillers by solvent casting method. Bull. Mater. Sci. 2017, 40, 383–393. [Google Scholar] [CrossRef]
- Deroiné, M.; Le Duigou, A.; Corre, Y.-M.; Le Gac, P.-Y.; Davies, P.; César, G.; Bruzaud, S. Seawater accelerated ageing of poly(3-hydroxybutyrate-co-3-hydroxyvalerate). Polym. Degrad. Stab. 2014, 105, 237–247. [Google Scholar] [CrossRef]
- Altun, M.; Çelebi, M.; Şen, S.; Kökpınar, Ö.; Kaçoğlu, H.S. Characterization of polyhydroxyalkanoate-based composites derived from waste cooking oil and agricultural surplus. Polym. Compos. 2023, 44, 4055. [Google Scholar] [CrossRef]
- Dehouche, N.; Idres, C.; Kaci, M.; Zembouai, I.; Bruzaud, S. Effects of various surface treatments on Aloe Vera fibers used as reinforcement in poly(3-hydroxybutyrate-co-3-hydroxyhexanoate) (PHBHHx) biocomposites. Polym. Degrad. Stab. 2020, 175, 109131. [Google Scholar] [CrossRef]
- Mlhem, A.; Abu-Jdayil, B.; Iqbal, M.Z. High-performance, renewable thermal insulators based on silylated date palm fiber–reinforced poly(β-hydroxybutyrate) composites. Dev. Built Environ. 2023, 16, 100240. [Google Scholar] [CrossRef]
- Gonzalez, A.; Irusta, L.; Fernández-Berridi, M.J.; Iriarte, M.; Iruin, J.J. Application of pyrolysis/gas chromatography/Fourier transform infrared spectroscopy and TGA techniques in the study of thermal degradation of poly(3-hydroxybutyrate). Polym. Degrad. Stab. 2005, 87, 347–354. [Google Scholar] [CrossRef]
- Clark, J.M.; Pilath, H.M.; Mittal, A.; Michener, W.E.; Robichaud, D.J.; Johnson, D.K. Direct production of propene from the thermolysis of poly(β-hydroxybutyrate) (PHB). An experimental and DFT investigation. J. Phys. Chem. A 2016, 120, 332–345. [Google Scholar] [CrossRef]
- D’Arienzo, L.; Acierno, S.; Patti, A.; Di Maio, L. Cellulose/Polyhydroxybutyrate (PHB) Composites as a Sustainable Bio-Based Feedstock to 3D-Printing Applications. Materials 2024, 17, 916. [Google Scholar] [CrossRef]
- Arrieta, M.P.; Samper, M.D.; Aldas, M.; López, J. On the Use of PLA-PHB Blends for Sustainable Food Packaging Applications. Materials 2017, 10, 1008. [Google Scholar] [CrossRef]
- Mahmood, H.; Pegoretti, A.; Brusa, R.S.; Ceccato, R.; Penasa, L.; Tarter, S.; Checchetto, R. Molecular transport through 3-hydroxybutyrate co-3-hydroxyhexanoate biopolymer films with dispersed graphene oxide nanoparticles: Gas barrier, structural and mechanical properties. Polym. Test. 2020, 81, 106181. [Google Scholar] [CrossRef]
- Martínez-Sanz, M.; Vicente, A.A.; Gontard, N.; Lopez-Rubio, A.; Lagaron, J.M. On the extraction of cellulose nanowhiskers from food by-products and their comparative reinforcing effect on a polyhydroxybutyrate-co-valerate polymer. Cellulose 2015, 22, 535–551. [Google Scholar] [CrossRef]
- López-Aranguren, P.; Saurina, J.; Vega, L.F.; Domingo, C. Sorption of tryalkoxysilane in low-cost porous silicates using a supercritical CO2 method. Microporous Mesoporous Mater. 2012, 148, 15–24. [Google Scholar] [CrossRef]












| Sample | O1s (at%) | C1s (at%) | Si2p (at%) | O/C |
|---|---|---|---|---|
| CNF | 42.61 | 57.39 | - | 0.74 |
| CNF_OTES | 42.65 | 56.65 | 0.7 | 0.75 |
| Samples | WL100 °C (%) | T5% (°C) | Tonset (°C) | Tmax (°C) | WL200 °C (%) | R700 °C (%) |
|---|---|---|---|---|---|---|
| CNF | 4.6 | 227.9 | 314.1 | 333.1 | 4.9 | 0.7 |
| CNF_OTES | 2.7 | 234.2 | 320.3 | 358.4 | 3.7 | 2.1 |
| Sample | Dm1 (nm) | Dm2(nm) | PdI | ζ-Potential (mV) |
|---|---|---|---|---|
| CNF | 140.7 ± 14.2 | 593.2 ± 49.7 | 0.82 ± 0.11 | −32.08 ± 1.18 |
| CNF_OTES | 150.2 ± 25.9 | 1267.8 ± 144.9 | 0.73 ± 0.09 | −31.90 ± 0.84 |
| Samples | First Heating | Cooling | Second Heating | Xc, % | |||||||
|---|---|---|---|---|---|---|---|---|---|---|---|
| Tm1I, °C | ΔHm1I, J/g | Tm2I, °C | ΔHm2I, J/g | Tc,°C | ΔHc, J/g | Tm1II, °C | ΔHm1II, J/g | Tm2II, °C | ΔHm2II, J/g | ||
| PHB | 162.4 | 71.9 | 177.7 | 3.0 | 109.8 | 66.7 | 157.5 | 51.1 | 166.8 | 25.1 | 52.2 |
| PHB/CNF | 163.5 | 69.2 | 177.9 | 6.1 | 111.0 | 66.9 | 157.7 | 53.1 | 166.9 | 23.3 | 54.5 |
| PHB/CNF_OTES | 163.9 | 65.3 | 177.5 | 8.2 | 111.0 | 66.3 | 157.4 | 52.7 | 166.5 | 23.1 | 54.1 |
| Samples | T5% (°C) | Tmax1(°C) | Tmax2(°C) | R700 °C (%) |
|---|---|---|---|---|
| PHB | 227.9 | 287.1 | 330.9 | 0.87 |
| PHB/CNF | 236.9 | 290.1 | 336.9 | 0.56 |
| PHB/CNF_OTES | 230.2 | 281.8 | 336.5 | 0.56 |
Disclaimer/Publisher’s Note: The statements, opinions and data contained in all publications are solely those of the individual author(s) and contributor(s) and not of MDPI and/or the editor(s). MDPI and/or the editor(s) disclaim responsibility for any injury to people or property resulting from any ideas, methods, instructions or products referred to in the content. |
© 2024 by the authors. Licensee MDPI, Basel, Switzerland. This article is an open access article distributed under the terms and conditions of the Creative Commons Attribution (CC BY) license (https://creativecommons.org/licenses/by/4.0/).
Share and Cite
Uşurelu, C.D.; Panaitescu, D.M.; Oprică, G.M.; Nicolae, C.-A.; Gabor, A.R.; Damian, C.M.; Ianchiş, R.; Teodorescu, M.; Frone, A.N. Effect of Medium-Chain-Length Alkyl Silane Modified Nanocellulose in Poly(3-hydroxybutyrate) Nanocomposites. Polymers 2024, 16, 3069. https://doi.org/10.3390/polym16213069
Uşurelu CD, Panaitescu DM, Oprică GM, Nicolae C-A, Gabor AR, Damian CM, Ianchiş R, Teodorescu M, Frone AN. Effect of Medium-Chain-Length Alkyl Silane Modified Nanocellulose in Poly(3-hydroxybutyrate) Nanocomposites. Polymers. 2024; 16(21):3069. https://doi.org/10.3390/polym16213069
Chicago/Turabian StyleUşurelu, Cătălina Diana, Denis Mihaela Panaitescu, Gabriela Mădălina Oprică, Cristian-Andi Nicolae, Augusta Raluca Gabor, Celina Maria Damian, Raluca Ianchiş, Mircea Teodorescu, and Adriana Nicoleta Frone. 2024. "Effect of Medium-Chain-Length Alkyl Silane Modified Nanocellulose in Poly(3-hydroxybutyrate) Nanocomposites" Polymers 16, no. 21: 3069. https://doi.org/10.3390/polym16213069
APA StyleUşurelu, C. D., Panaitescu, D. M., Oprică, G. M., Nicolae, C.-A., Gabor, A. R., Damian, C. M., Ianchiş, R., Teodorescu, M., & Frone, A. N. (2024). Effect of Medium-Chain-Length Alkyl Silane Modified Nanocellulose in Poly(3-hydroxybutyrate) Nanocomposites. Polymers, 16(21), 3069. https://doi.org/10.3390/polym16213069

