Impact of Buriti Oil from Mauritia flexuosa Palm Tree on the Rheological, Thermal, and Mechanical Properties of Linear Low-Density Polyethylene for Improved Sustainability
Abstract
1. Introduction
2. Materials and Methods
2.1. Materials
2.2. Methods
2.2.1. Processing of LLDPE and LLDPE/Buriti Oil
2.2.2. Preparation of LLDPE and LLDPE/Buriti Oil Specimens
2.2.3. Fourier-Transform Infrared (FTIR) Spectroscopy
2.2.4. Thermogravimetric Analysis (TGA)
2.2.5. Differential Scanning Calorimetry (DSC)
2.2.6. Scanning Electron Microscopy (SEM)
2.2.7. Mechanical Properties
2.2.8. Hydrophobicity (Contact Angle Measurement)
3. Results and Discussion
3.1. Fourier-Transform Infrared (FTIR) Spectroscopy
3.2. Torque-Specific Energy–Time Analysis
3.3. Thermogravimetry Analysis (TGA)
3.4. Differential Scanning Calorimetry (DSC)
3.5. Scanning Electron Microscopy (SEM)
3.6. Contact Angle Analysis
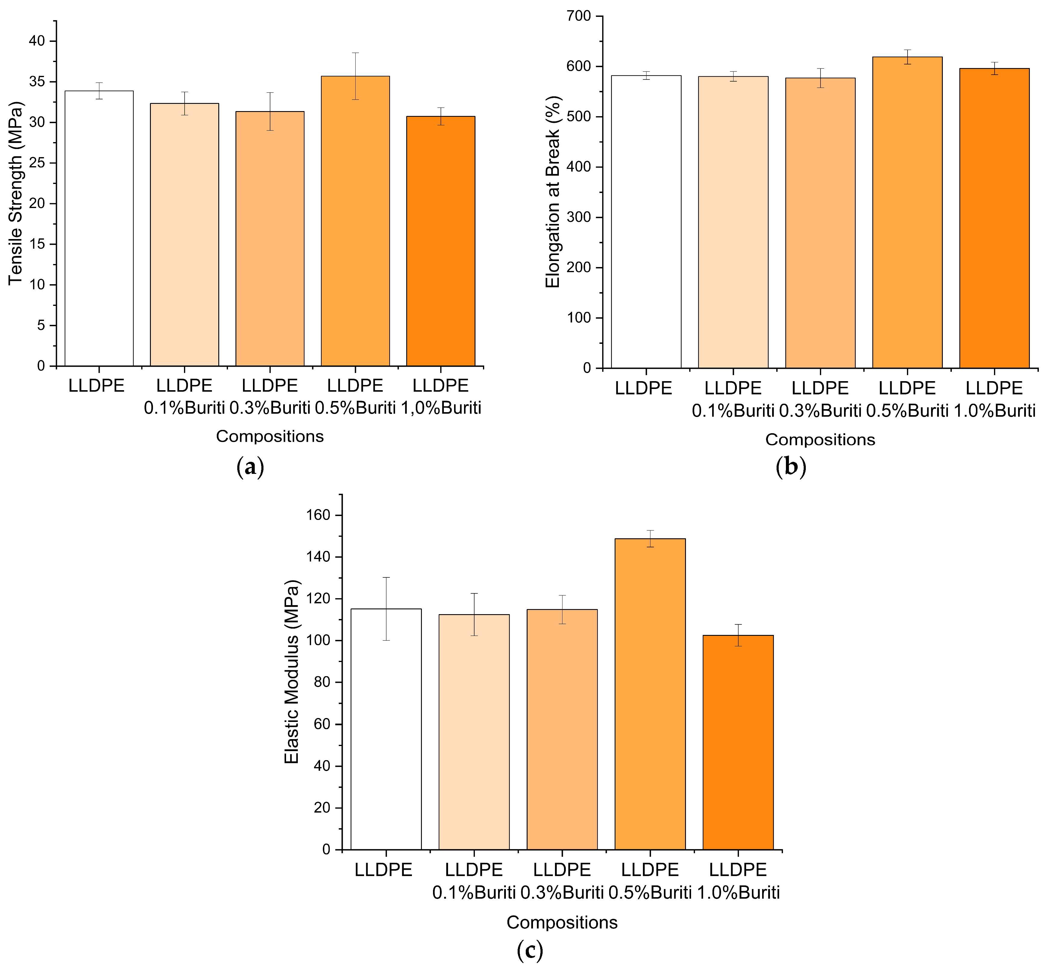
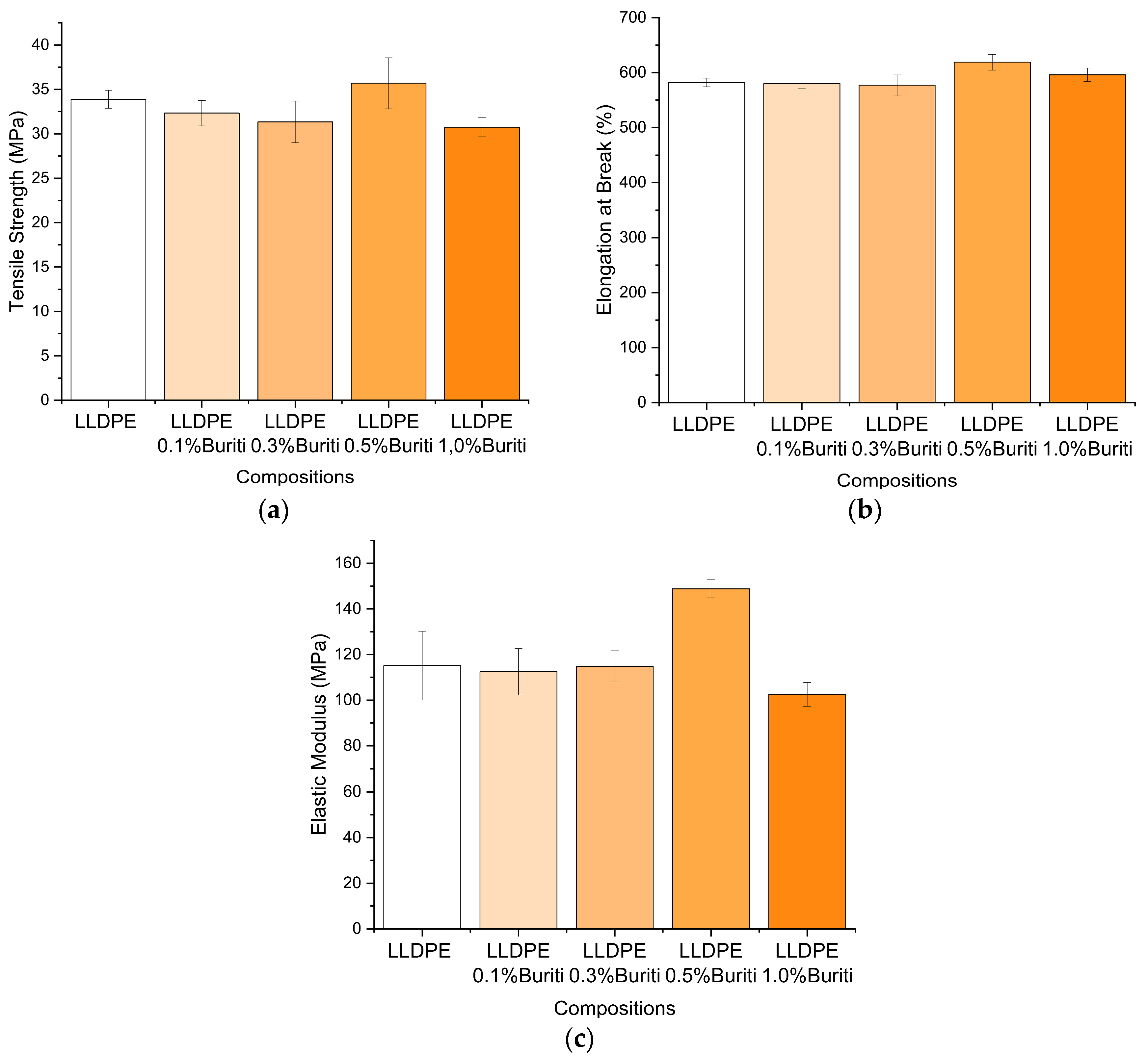
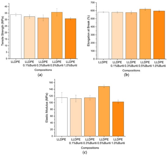
3.7. Mechanical Properties
4. Conclusions
Author Contributions
Funding
Institutional Review Board Statement
Data Availability Statement
Acknowledgments
Conflicts of Interest
References
- Vieira, M.G.A.; da Silva, M.A.; dos Santos, L.O.; Beppu, M.M. Natural-based plasticizers and biopolymer films: A review. Eur. Polym. J. 2011, 47, 254–263. [Google Scholar] [CrossRef]
- Rahman, M.; Brazel, C.S. The plasticizer market: An assessment of traditional plasticizers and research trends to meet new challenges. Prog. Polym. Sci. 2004, 29, 1223–1248. [Google Scholar] [CrossRef]
- Marturano, V.; Marotta, A.; Salazar, S.A.; Ambrogi, V.; Cerruti, P. Recent advances in bio-based functional additives for polymers. Prog. Mater. Sci. 2023, 139, 101186. [Google Scholar] [CrossRef]
- Oh, E.; Kim, B.-h.; Suhr, J. A Trend and Market in Eco-friendly Plasticizers: Review and Prospective. Compos. Res. 2022, 35, 232–241. [Google Scholar] [CrossRef]
- Byun, Y.; Zhang, Y.; Geng, X. Chapter 5—Plasticization and Polymer Morphology. In Innovations in Food Packaging, 2nd ed.; Han, J.H., Ed.; Food Science and Technology; Academic Press: San Diego, CA, USA, 2014; pp. 87–108. [Google Scholar] [CrossRef]
- Xie, C.; Li, H.; Li, L.; Yu, S.; Liu, F. Synthesis of plasticizer ester using acid-functionalized ionic liquid as catalyst. J. Hazard. Mater. 2008, 151, 847–850. [Google Scholar] [CrossRef] [PubMed]
- Narvaéz Rincón, P.; Suárez Palacios, O. Plasticizers. In Polymers and Polymeric Composites: A Reference Series; Palsule, S., Ed.; Springer: Berlin/Heidelberg, Germany, 2015. [Google Scholar] [CrossRef]
- The European Council for Plasticizers and Intermediates. Plasticizers and flexible PVC; The European Council for Plasticizers and Intermediates: Brussels, Belgium, 2014. [Google Scholar]
- Gu, J.-D.; Wu, E.K.W. Biodegradability of Synthetic Plastics and Polymeric Materials: An Illusion or Reality in Waste Management? Appl. Environ. Biotechnol. 2021, 5, 34–52. [Google Scholar] [CrossRef]
- Wei, X.F.; Linde, E.; Hedenqvist, M.S. Plasticiser Loss from Plastic or Rubber Products through Diffusion and Evaporation. Npj Mater. Degrad. 2019, 3, 18. [Google Scholar] [CrossRef]
- Jia, P.; Xia, H.; Tang, K.; Zhou, Y. Plasticizers Derived from Biomass Resources: A Short Review. Polymers 2018, 10, 1303. [Google Scholar] [CrossRef]
- Rahman, M.; Oßwald, K.; Langer, B.; Reincke, K. Influence of Plasticizers Basing on Renewable Sources on the Deformation and Fracture Behaviour of Elastomers. In Fatigue Crack Growth in Rubber Materials; Heinrich, G., Kipscholl, R., Stoček, R., Eds.; Springer: Cham, Switzerland, 2020; Volume 286. [Google Scholar] [CrossRef]
- Durães, J.A.; Drummond, A.L.; Pimentel, T.A.P.F.; Murta, M.M.; Moreira, S.G.C.; Sales, M.J.A. Thermal and structural behavior of Buriti oil/poly(methyl methacrylate) and Buriti oil/polystyrene materials. J. Therm. Anal. Calorim. 2008, 92, 529–534. [Google Scholar] [CrossRef]
- de F. Silva, M.; Lopes, P.S.; da Silva, C.F.; Yoshida, C.M.P. Active packaging material based on buriti oil—Mauritia flexuosa L. f. (Arecaceae) incorporated into chitosan films. J. Appl. Polym. Sci. 2016, 133, 43210. [Google Scholar] [CrossRef]
- Bispo, A.G., Jr.; Oliveira, N.A.; Cardoso, C.X.; Lima, S.A.M.; Job, A.E.; Osorio-Román, I.O.; Danna, C.S.; Pires, A.M. Red-light- emitting polymer composite based on PVDF membranes and Europium phosphor using Buriti Oil as plasticizer. Mater. Chem. Phys. 2018, 217, 160–167. [Google Scholar] [CrossRef]
- Sanches, S.; Silva-Júnior, J.; Ribeiro-Costa, R. O uso dos óleos vegetais na prevenção do envelhecimento da pele. Res. Soc. Dev. 2021, 10, e44010111941. [Google Scholar] [CrossRef]
- Schlemmer, D.; Sales, M.J.A.; Resck, I.S. Preparação, caracterização e degradação de blendas PS/TPS usando glicerol e óleo de buriti como plastificantes. Polímeros 2010, 20, 6–13. [Google Scholar] [CrossRef]
- Mohamed, N.; Othman, N.; Khimi, R.; Hayeemasae, N. Perspective on opportunities of bio-based processing oil to rubber industry: A short review. Iran. Polym. J. 2023, 32, 1455–1475. [Google Scholar] [CrossRef]
- Roy, K.; Poompiew, N.; Pongwisuthiruchte, A.; Potiyaraj, P. Application of Different Vegetable Oils as Processing Aids in Industrial Rubber Composites: A Sustainable Approach. ACS Omega 2021, 6, 31384–31389. [Google Scholar] [CrossRef]
- Samarth, N.; Mahanwar, P. Modified Vegetable Oil Based Additives as a Future Polymeric Material—Review. Open J. Org. Polym. Mater. 2015, 5, 1–22. [Google Scholar] [CrossRef]
- Jarray, A.; Gerbaud, V.; Hemati, M. Polymer-plasticizer compatibility during coating formulation: A multi-scale investigation. Prog. Org. Coat. 2016, 101, 195–206. [Google Scholar] [CrossRef]
- Jarnthong, M.; Lopattananon, N.; Li, Y.; Yu, H.; Wang, R.; Wang, Y.; Liu, H.; Liao, L.; Peng, Z. Performance of Moringa Oil as an Effective Bioplasticizer on Static and Dynamic Mechanical Properties of Natural Rubber Vulcanizates. ACS Sustain. Chem. Eng. 2024, 12, 6440–6450. [Google Scholar] [CrossRef]
- Whelan, T.; Goff, J. Plastics and Polymers. In Injection Molding of Thermoplastics Materials—1; Springer: Boston, MA, USA, 1990. [Google Scholar] [CrossRef]
- Borah, J.; Chaki, T. Thermogravimetric and dynamic mechanical analysis of LLDPE/EMA blends. J. Therm. Anal. Calorim. 2011, 105, 365–373. [Google Scholar] [CrossRef]
- Li, B.; He, J. Investigation of mechanical property, flame retardancy and thermal degradation of LLDPE—Wood-fibre composites. Polym. Degrad. Stab. 2004, 83, 241–246. [Google Scholar] [CrossRef]
- Yoon, J.S.; Lee, D.H.; Park, E.S.; Lee, I.M.; Park, D.K.; Jung, S.O. Thermal and mechanical properties of ethylene/alpha-olefin copolymers produced over (2-MeInd)2ZrCl2/MAO system. Polymer 2000, 41, 4523–4530. [Google Scholar] [CrossRef]
- Mensah, B.; Onwona-Agyeman, B.; Nyankson, E.; Bensah, D.Y. Effect of palm oil as plasticizer for compounding polar and non-polar rubber matrix reinforced carbon black composites. J. Polym. Res. 2023, 30, 67. [Google Scholar] [CrossRef]
- Burns, K.; Ingram, I.D.V.; Potgieter, J.H.; Potgieter-Vermaak, S. Synthesis and performance evaluation of novel soybean oil-based plasticisers for polyvinyl chloride (PVC). J. Appl. Polym. Sci. 2023, 140, e54656. [Google Scholar] [CrossRef]
- ASTM Standard D1238-23a; Standard Test Method for Melt Flow Rates of Thermoplastics by Extrusion Plastometer. ASTM International: West Conshohocken, PA, USA, 2023. [CrossRef]
- Mizerovskii, L.N.; Afanas’eva, V.V.; Lytkina, N.I. Melting of binary mixtures of low-density polyethylene and alkylbenzenes. Fibre Chem. 1996, 28, 228–232. [Google Scholar] [CrossRef]
- Albuquerque, M.; Guedes, I.; Alcantara, P.; Moreira, S. Infrared absorption spectra of Buriti (Mauritia flexuosa L.) oil. Vib. Spectrosc. 2003, 33, 127–131. [Google Scholar] [CrossRef]
- Pereira de Oliveira, J.; Almeida, O.P.; Campelo, P.H.; Carneiro, G.; de Oliveira Ferreira Rocha, L.; Santos, J.H.M.; Gomes da Costa, J.M. Tailoring the physicochemical properties of freeze-dried buriti oil microparticles by combining inulin and gum Arabic as encapsulation agents. LWT 2022, 161, 113372. [Google Scholar] [CrossRef]
- Azevedo, G.M.M. Nanoencapsulação de óleo de Buriti (Mauritia flexuosa) em Alginato e Gelatina: Caracterização e Avaliação da Solubilidade e Potencial Antimicrobiano. Master’s Thesis, Universidade Federal do Rio Grande do Norte, Natal, RN, Brazil, 2018. [Google Scholar]
- Serpe, G.; Jarrin, J.; Dawans, F. Morphology-processing relationships in polyethylene-polyamide blends. Polym. Eng. Sci. 1990, 30, 553–565. [Google Scholar] [CrossRef]
- Wang, C.; Wang, J.; Yu, C.; Wu, B.; Wang, Y.; Li, W. A novel method for the determination of steady-state torque of polymer melts by HAAKE MiniLab. Polym. Test. 2014, 33, 138–144. [Google Scholar] [CrossRef]
- Marcelino, G.; Hiane, P.A.; Pott, A.; de Oliveira Filiú, W.F.; Caires, A.R.L.; Michels, F.S.; Júnior, M.R.M.; Santos, N.M.S.; Nunes, A.A.; Oliveira, L.C.S.; et al. Characterization of Buriti (Mauritia flexuosa) Pulp Oil and the Effect of Its Supplementation in an In Vivo Experimental Model. Nutrients 2022, 14, 2547. [Google Scholar] [CrossRef]
- Silva, S.M.; Sampaio, K.A.; Taham, T.; Rocco, S.A.; Ceriani, R.; Meirelles, A.J.A. Characterization of Oil Extracted from Buriti Fruit (Mauritia flexuosa) Grown in the Brazilian Amazon Region. J. Am. Oil Chem. Soc. 2009, 86, 611–616. [Google Scholar] [CrossRef]
- Khalaf, A.I.; Ward, A.A.; Abd El-Kader, A.E.; El-Sabbagh, S.H. Effect of selected vegetable oils on the properties of acrylonitrile-butadiene rubber vulcanizates. Polimery 2015, 60, 43–56. [Google Scholar] [CrossRef]
- O’Brien, R.D. Fats and Oils: Formulating and Processing for Applications, 3rd ed.; CRC Press: Boca Raton, FL, USA, 2009. [Google Scholar] [CrossRef]
- Hosney, H.; Nadiem, B.; Ashour, I.; Mustafa, I.; El-Shibiny, A. Epoxidized vegetable oil and bio-based materials as PVC plasticizer. J. Appl. Polym. Sci. 2018, 135, 46270. [Google Scholar] [CrossRef]
- Hassan, A.A.; Abbas, A.; Rasheed, T.; Bilal, M.; Iqbal, H.M.N.; Wang, S. Development, influencing parameters and interactions of bioplasticizers: An environmentally friendlier alternative to petro industry-based sources. Sci. Total Environ. 2019, 682, 394–404. [Google Scholar] [CrossRef] [PubMed]
- Zhang, H.; Zhu, F.; Fu, Q.; Zhang, X.; Zhu, X. Mechanical properties of renewable plasticizer based on ricinoleic acid for PVC. Polym. Test. 2019, 76, 199–206. [Google Scholar] [CrossRef]
- Wang, M.; Song, X.; Jiang, J.; Xia, J.; Ding, H.; Li, M. Plasticization and thermal behavior of hydroxyl and nitrogen rich group-containing tung-oil-based ester plasticizers for PVC. New J. Chem. 2018, 42, 2422–2431. [Google Scholar] [CrossRef]
- Zhang, Z.; Jiang, P.; Liu, D.; Feng, S.; Zhang, P.; Wang, Y.; Fu, J.; Agus, H. Research progress of novel bio-based plasticizers and their applications in poly(vinyl chloride). J. Mater. Sci. 2021, 56, 10155–10182. [Google Scholar] [CrossRef]
- Escalante, J.; Chen, W.H.; Tabatabaei, M.; Hoang, A.T.; Kwon, E.E.; Andrew Lin, K.Y.; Saravanakumar, A. Pyrolysis of lignocellulosic, algal, plastic, and other biomass wastes for biofuel production and circular bioeconomy: A review of thermogravimetric analysis (TGA) approach. Renew. Sustain. Energy Rev. 2022, 169, 112914. [Google Scholar] [CrossRef]
- Rapa, M.; Nita, R.N.D.; Vasile, C. Influence of Plasticizers Over Some Physico-chemical Properties of PLA. Mater. Plast. 2017, 54, 73–78. [Google Scholar] [CrossRef]
- Gong, J.; Niu, R.; Liu, J.; Chen, X.; Wen, X.; Mijowska, E.; Sun, Z.; Tang, T. Simultaneously improving the thermal stability, flame retardancy and mechanical properties of polyethylene by the combination of graphene with carbon black. RSC Adv. 2014, 4, 33776–33784. [Google Scholar] [CrossRef]
- Ríos-Soberanis, C.R.; Collí-Pacheco, J.P.; Estrada-León, R.J.; Moo-Huchin, V.M.; Yee-Madeira, H.T.; Pérez-Pacheco, E. Biocomposites based on plasticized starch: Thermal, mechanical and morphological characterization. Polym. Bull. 2021, 78, 3687–3704. [Google Scholar] [CrossRef]
- Hernández Berrío, Y.D.C.; Realpe Jiménez, Á.; De Ávila Montiel, G. Effect of glycerol, sunflower oil, and glucose on the physico-chemical and mechanical properties of chitosan/polyvinyl alcohol-based films. Polym. Bull. 2022, 79, 6389–6407. [Google Scholar] [CrossRef]
- Perumal, N.; Sreekantan, S.; Hamid, Z.A.A. Effect of Plasticizer and Compatibilizer on Properties of Polybutylene Adipate-Co-Terephthalate (PBAT) with Acetylated Starch. J. Polym. Environ. 2024, 32, 289–302. [Google Scholar] [CrossRef]
- Norazlina, H.; Kamal, Y. Elucidating the plasticizing effect on mechanical and thermal properties of poly(lactic acid)/carbon nanotubes nanocomposites. Polym. Bull. 2021, 78, 6911–6933. [Google Scholar] [CrossRef]
- Jia, P.; Zhang, M.; Hu, L.; Wang, R.; Sun, C.; Zhou, Y. Cardanol Groups Grafted on Poly(vinyl chloride)—Synthesis, Performance and Plasticization Mechanism. Polymers 2017, 9, 621. [Google Scholar] [CrossRef]
- Li, D.; Zhou, L.; Wang, X.; He, L.; Yang, X. Effect of Crystallinity of Polyethylene with Different Densities on Breakdown Strength and Conductance Property. Materials 2019, 12, 1746. [Google Scholar] [CrossRef] [PubMed]
- Dubdub, I.; Al-Yaari, M. Pyrolysis of Low Density Polyethylene: Kinetic Study Using TGA Data and ANN Prediction. Polymers 2020, 12, 891. [Google Scholar] [CrossRef]
- Murariu, M.; Da Silva Ferreira, A.; Alexandre, M.; Dubois, P. Polylactide (PLA) designed with desired end-use properties: 1. PLA compositions with low molecular weight ester-like plasticizers and related performances. Polym. Adv. Technol. 2008, 19, 636–646. [Google Scholar] [CrossRef]
- Choi, J.; Park, W.H. Effect of biodegradable plasticizers on thermal and mechanical properties of poly(3-hydroxybutyrate). Polym. Test. 2003, 23, 455–460. [Google Scholar] [CrossRef]
- Liang, Z.; Tan, Z.; Hong, R.; Ouyang, W.; Yuan, J.; Zhang, C. Automatically Predicting Material Properties with Microscopic Images: Polymer Miscibility as an Example. J. Chem. Inf. Model. 2023, 63, 5971–5980. [Google Scholar] [CrossRef]
- Ali, A.; Zhang, N.; Santos, R.M. Mineral Characterization Using Scanning Electron Microscopy (SEM): A Review of the Fundamentals, Advancements, and Research Directions. Appl. Sci. 2023, 13, 12600. [Google Scholar] [CrossRef]
- Atmakuri, A.; Janušas, G.; Siddabathula, M.; Palevicius, A. Wettability and Moisture Analysis on Natural Fiber Reinforced Epoxy Resin Hybrid Composites. In Proceedings of the 2020 International Conference Mechatronic Systems and Materials (MSM), Bialystok, Poland, 1–3 July 2020; pp. 1–6. [Google Scholar] [CrossRef]
- Agrawal, G.; Negi, Y.; Pradhan, S.; Dash, M.; Samal, S. 3–Wettability and contact angle of polymeric biomaterials. In Characterization of Polymeric Biomaterials; Tanzi, M.C., Farè, S., Eds.; Woodhead Publishing: Sawston, UK, 2017; pp. 57–81. [Google Scholar] [CrossRef]
- ASTM Standard D638-22; Standard Test Method for Tensile Properties of Plastics. ASTM International: West Conshohocken, PA, USA, 2022. [CrossRef]
- Ngo, T.T.; Lambert, C.A.; Bliznyuk, M.; Kohl, J.G. Effect of a Tertiary Oil Phase on the Mechanical Properties of Natural Fiber-Reinforced Polyester Composites. Polym.-Plast. Technol. Eng. 2013, 52, 1160–1168. [Google Scholar] [CrossRef]
- Brunel, D.G.; Pachekoski, W.M.; Dalmolin, C.; Agnelli, J.A.M. Natural additives for poly (hydroxybutyrate-CO-hydroxyvalerate)-PHBV: Effect on mechanical properties and biodegradation. Mater. Res. 2014, 17, 1145–1156. [Google Scholar] [CrossRef]







| Samples | LLDPE | Buriti Oil (wt%) |
|---|---|---|
| LLDPE | 100 | - |
| LLDPE/BO-0.1 | 100 | 0.1 |
| LLDPE/BO-0.3 | 100 | 0.3 |
| LLDPE/BO-0.5 | 100 | 0.5 |
| LLDPE/BO-1 | 100 | 1.0 |
| Samples | T (Nm) | e (J/g) |
|---|---|---|
| LLDPE | 11.4 | 838 |
| LLDPE/BO-0.1 | 10.9 | 788.1 |
| LLDPE/BO-0.3 | 10.8 | 791.8 |
| LLDPE/BO-0.5 | 10.8 | 804.9 |
| LLDPE/BO-1.0 | 10.7 | 768.4 |
| Samples | Tc1 (°C) | Tc2 (°C) | Tc3 (°C) | Tm1 (°C) | Tm2 (°C) | ΔHm (J/g) | Xc (%) |
|---|---|---|---|---|---|---|---|
| LLDPE | 105.3 | 91.2 | 57.7 | 107.6 | 122.1 | 114.2 | 39.0 |
| LLDPE/BO-0.1 | 104.4 | 91.7 | 57.1 | 105.1 | 121.9 | 103.8 | 35.4 |
| LLDPE/BO-0.3 | 104.8 | 90.9 | 57.7 | 107.8 | 122.5 | 106.2 | 36.6 |
| LLDPE/BO-0.5 | 104.6 | 91.2 | 57.4 | 106.7 | 123.4 | 104.1 | 35.5 |
| LLDPE/BO-1.0 | 105.5 | 91.2 | 56.9 | 107.7 | 122.2 | 103.8 | 35.4 |
| Sample | Contact Angle [°] | Image |
|---|---|---|
| LLDPE | 85.25 (2.01) | ![]() |
| LLDPE/BO-0.1 | 87.08 (3.81) | ![]() |
| LLDPE/BO-0.3 | 88.74 (1.69) | ![]() |
| LLDPE/BO-0.5 | 89.06 (1.58) | ![]() |
| LLDPE/BO-1.0 | 100.96 (3.44) | ![]() |
Disclaimer/Publisher’s Note: The statements, opinions and data contained in all publications are solely those of the individual author(s) and contributor(s) and not of MDPI and/or the editor(s). MDPI and/or the editor(s) disclaim responsibility for any injury to people or property resulting from any ideas, methods, instructions or products referred to in the content. |
© 2024 by the authors. Licensee MDPI, Basel, Switzerland. This article is an open access article distributed under the terms and conditions of the Creative Commons Attribution (CC BY) license (https://creativecommons.org/licenses/by/4.0/).
Share and Cite
Leite-Barbosa, O.; Oliveira, M.F.L.d.; Braga, F.C.F.; Monteiro, S.N.; Oliveira, M.G.d.; Veiga-Junior, V.F. Impact of Buriti Oil from Mauritia flexuosa Palm Tree on the Rheological, Thermal, and Mechanical Properties of Linear Low-Density Polyethylene for Improved Sustainability. Polymers 2024, 16, 3037. https://doi.org/10.3390/polym16213037
Leite-Barbosa O, Oliveira MFLd, Braga FCF, Monteiro SN, Oliveira MGd, Veiga-Junior VF. Impact of Buriti Oil from Mauritia flexuosa Palm Tree on the Rheological, Thermal, and Mechanical Properties of Linear Low-Density Polyethylene for Improved Sustainability. Polymers. 2024; 16(21):3037. https://doi.org/10.3390/polym16213037
Chicago/Turabian StyleLeite-Barbosa, Odilon, Marcelo Ferreira Leão de Oliveira, Fernanda Cristina Fernandes Braga, Sergio Neves Monteiro, Marcia Gomes de Oliveira, and Valdir Florêncio Veiga-Junior. 2024. "Impact of Buriti Oil from Mauritia flexuosa Palm Tree on the Rheological, Thermal, and Mechanical Properties of Linear Low-Density Polyethylene for Improved Sustainability" Polymers 16, no. 21: 3037. https://doi.org/10.3390/polym16213037
APA StyleLeite-Barbosa, O., Oliveira, M. F. L. d., Braga, F. C. F., Monteiro, S. N., Oliveira, M. G. d., & Veiga-Junior, V. F. (2024). Impact of Buriti Oil from Mauritia flexuosa Palm Tree on the Rheological, Thermal, and Mechanical Properties of Linear Low-Density Polyethylene for Improved Sustainability. Polymers, 16(21), 3037. https://doi.org/10.3390/polym16213037






