Temperature-Responsive Injectable Composite Hydrogels Based on Poly(N-Isopropylacrylamide), Chitosan, and Hemp-Derived Cellulose Nanocrystals
Abstract
1. Introduction
2. Experimental
2.1. Materials and Chemical Reagents
2.2. Methodology
2.2.1. Preparation of Cellulose Nanocrystals
2.2.2. Preparation of Thermo-Responsive Composite Hydrogels with Poly(N-Isopropylacrylamide), Chitosan and Cellulose Nanocrystals from Hemp
2.2.3. Hydrogel Injection
2.2.4. Equilibrium-Swelling Ratio (ESR)
2.2.5. Cytotoxic Test
2.3. Instruments
2.3.1. Fourier Transform Infrared Spectroscopy
2.3.2. Rheology Test
2.3.3. Scanning Electron Microscopy
2.3.4. Thermogravimetric Analysis
2.3.5. Volume Phase Transition Temperature
3. Results and Discussion
3.1. Development of Cellulose Derived from Hemp and Polyvinyl Alcohol-Based Hydrogel Composite
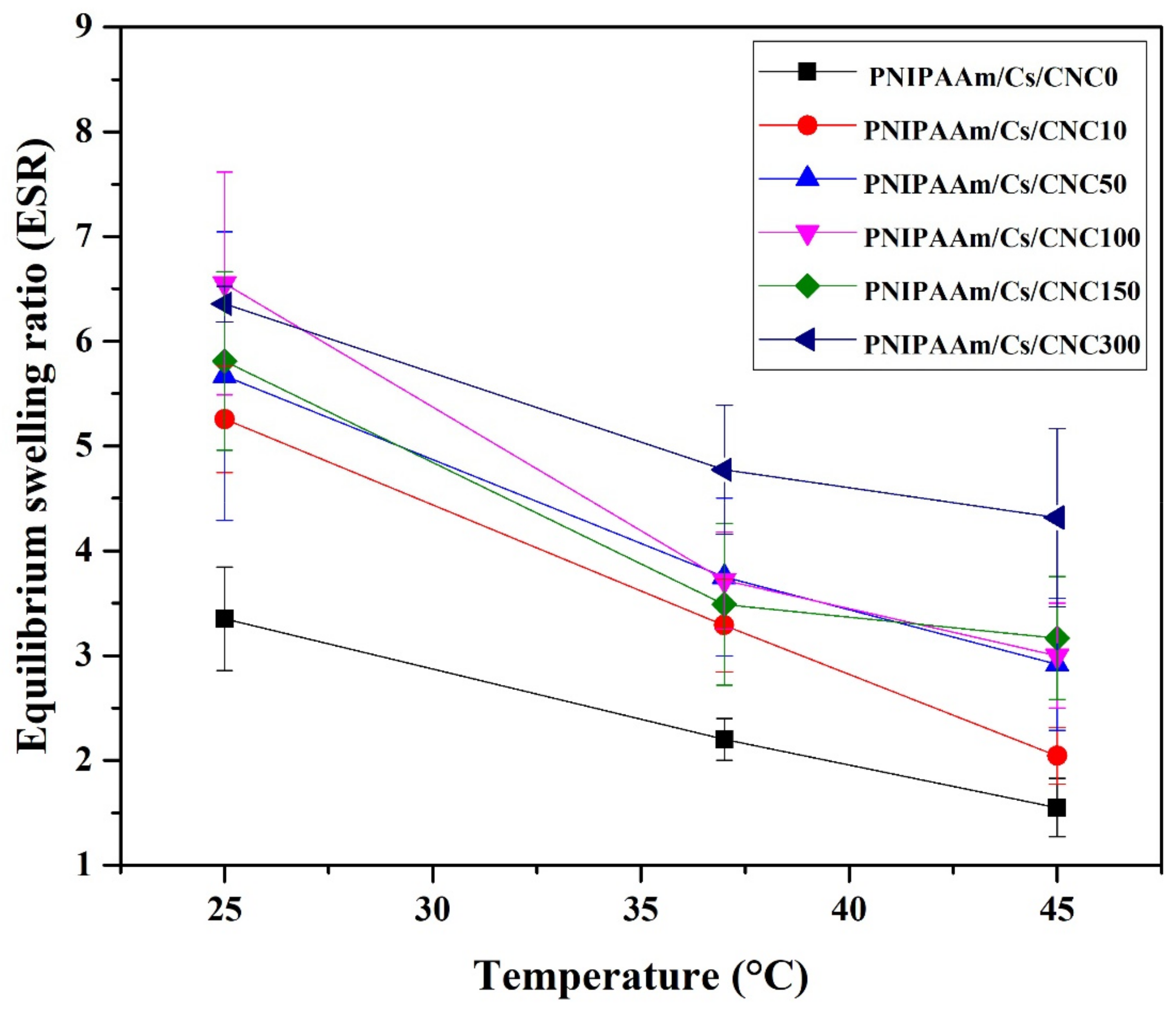
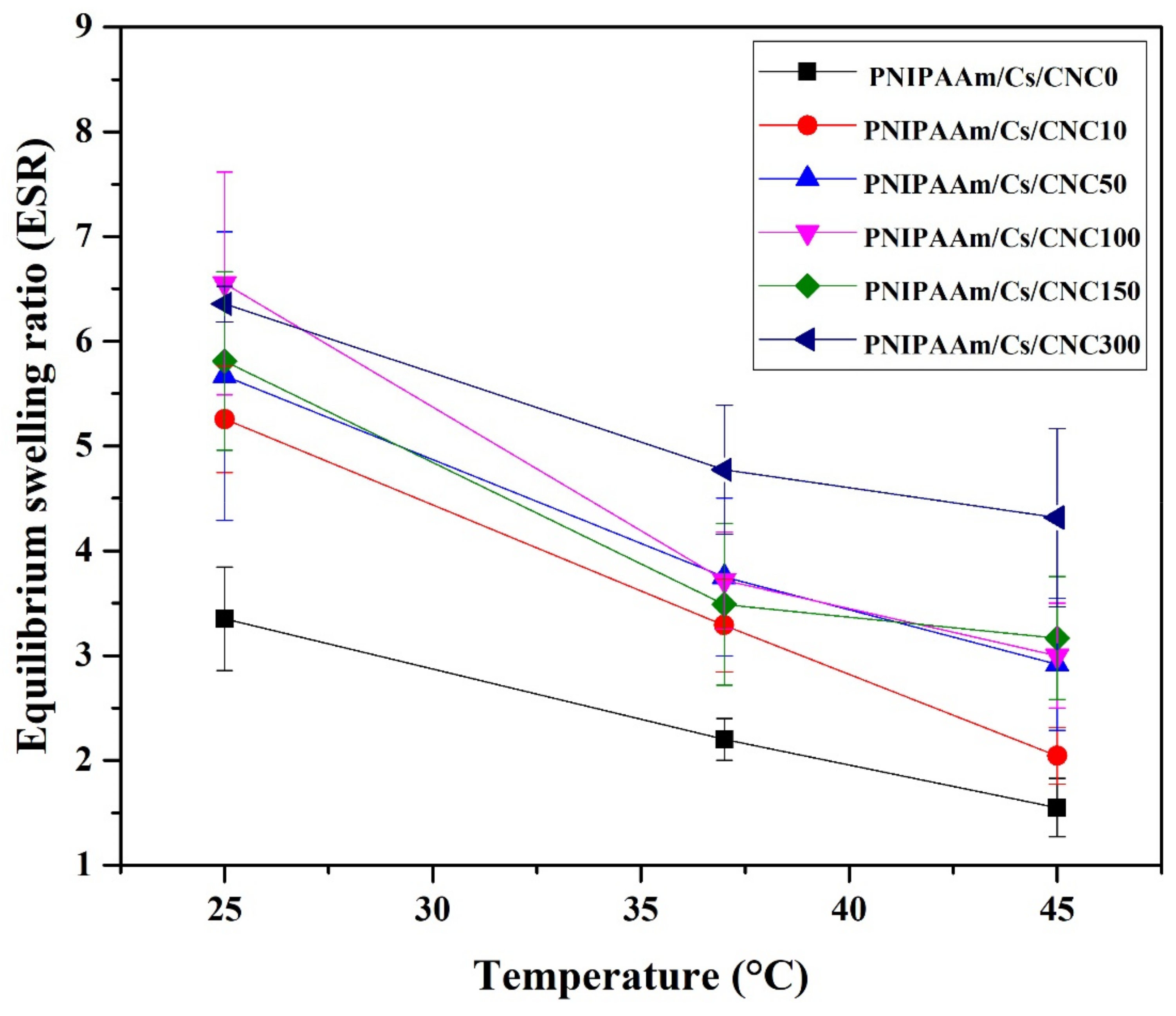
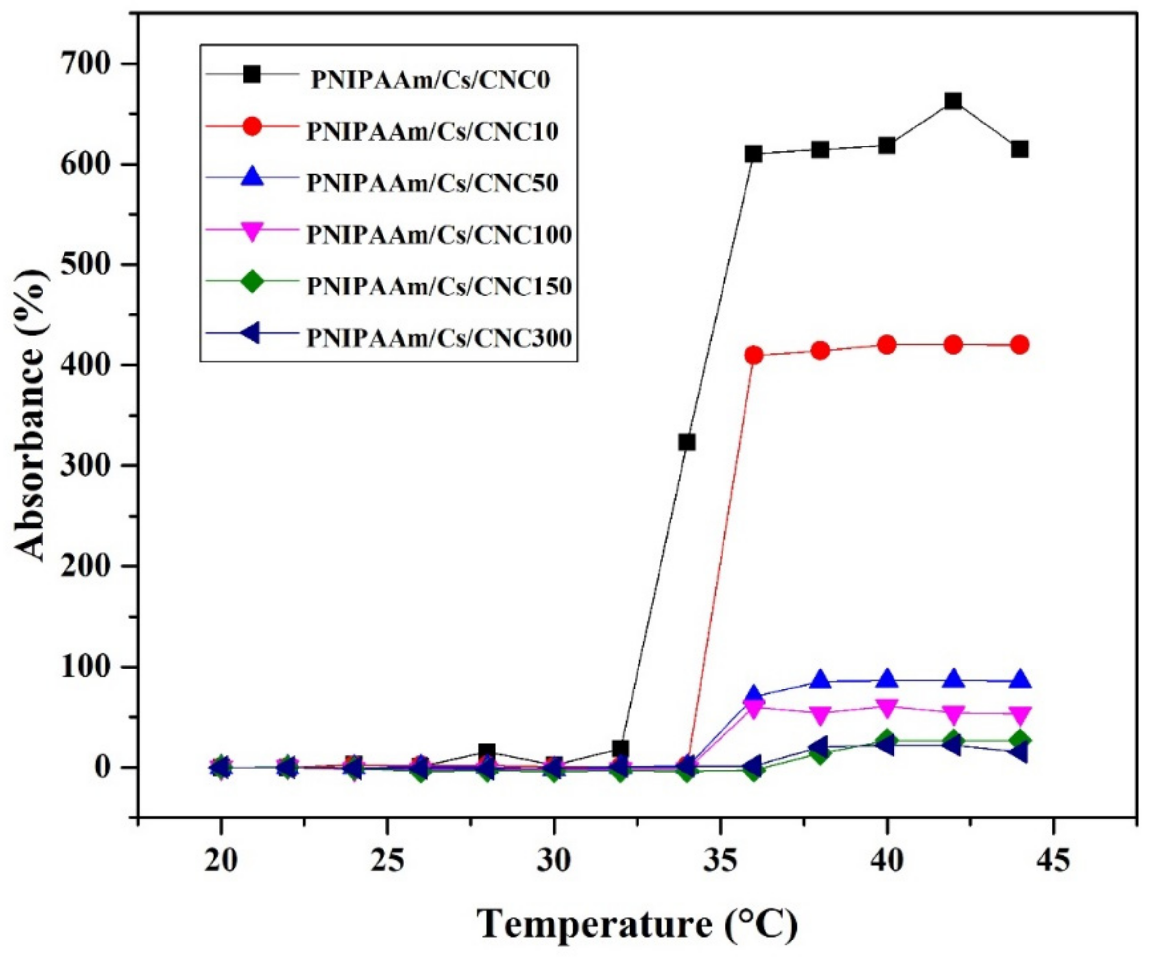
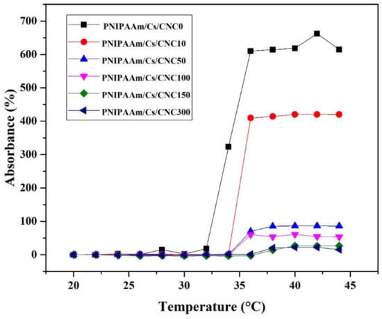
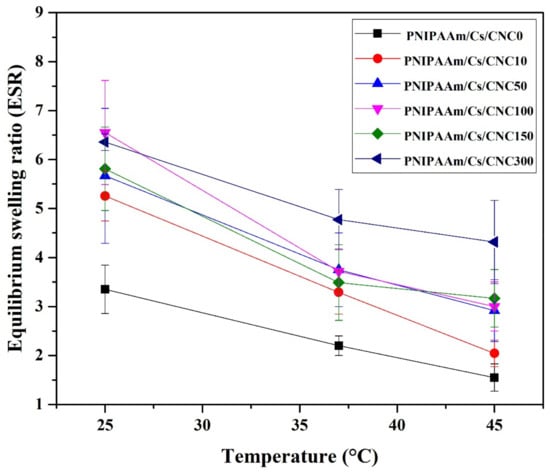
3.2. Preliminary Investigation as a Medical Material
4. Conclusions
Author Contributions
Funding
Institutional Review Board Statement
Data Availability Statement
Conflicts of Interest
References
- Zhu, N.; Zhuang, Y.; Sun, W.; Wang, J.; Wang, F.; Han, X.; Han, Z.; Ni, M.; Cui, W.; Qiu, Y. Multistructured hydrogel promotes nerve regeneration. Mater. Today Adv. 2024, 21, 100465. [Google Scholar] [CrossRef]
- Yin, B.; Gosecka, M.; Bodaghi, M.; Crespy, D.; Youssef, G.; Dodda, J.M.; Wong, S.H.D.; Imran, A.B.; Gosecki, M.; Jobdeedamrong, A.; et al. Engineering multifunctional dynamic hydrogel for biomedical and tissue regenerative applications. Chem. Eng. J. 2024, 487, 150403. [Google Scholar] [CrossRef]
- Liu, Y.; Guo, Z. Small functional hydrogels with big engineering applications. Mater. Today Phys. 2024, 43, 101397. [Google Scholar] [CrossRef]
- Li, Z.; Song, P.; Li, G.; Han, Y.; Ren, X.; Bai, L.; Su, J. AI energized hydrogel design, optimization and application in biomedicine. Mater. Today Bio 2024, 25, 101014. [Google Scholar] [CrossRef]
- Ahmed, E.M. Hydrogel: Preparation, characterization, and applications: A review. J. Adv. Res. 2015, 6, 105–121. [Google Scholar] [CrossRef]
- Wang, J.; Wang, K.; Dong, F.; Zou, X.; Liu, W.; Feng, Y. Sodium lignosulfonate doped polyvinyl alcohol-based hydrogel conductive composites based on ion-specific effects with continuously tunable mechanical properties and excellent conductive sensing properties. Mater. Today Commun. 2024, 38, 108498. [Google Scholar] [CrossRef]
- Suneetha, M.; Hemalatha, D.; Kim, H.; Rao, K.S.V.K.; Han, S.S. Vanillin/fungal-derived carboxy methyl chitosan/polyvinyl alcohol hydrogels prepared by freeze-thawing for wound dressing applications. Int. J. Biol. Macromol. 2024, 266, 130910. [Google Scholar] [CrossRef]
- Li, L.; Zhang, Y.-n.; Wang, M.; Zhang, H.; Zhao, Y. Real-time in-situ thermal monitoring of gelation process of polyacrylamide hydrogel using PDMS sensitized in-fiber MZI. Opt. Laser Technol. 2024, 176, 110930. [Google Scholar] [CrossRef]
- Xue, Q.; Xiao, Y.; Zhang, X.; Zhang, X.; Hong, W.; Yang, C. Dynamic responses of Ca-alginate/polyacrylamide hydrogels at high strain rates. Int. J. Mech. Sci. 2024, 269, 109052. [Google Scholar] [CrossRef]
- Abdul Hameed, M.M.; Al-Aizari, F.A.; Thamer, B.M. Synthesis of a novel clay/polyacrylic acid-tannic acid hydrogel composite for efficient removal of crystal violet dye with low swelling and high adsorption performance. Colloids Surf. A Physicochem. Eng. Asp. 2024, 684, 133130. [Google Scholar] [CrossRef]
- Fei, J.; Tang, T.; Zhou, L.; He, H.; Ma, M.; Shi, Y.; Chen, S.; Wang, X. Swelling behavior of sodium lignosulfonate grafted polyacrylic acid highly absorbent hydrogels with two-phase structure. Polymer 2024, 300, 126828. [Google Scholar] [CrossRef]
- Elakkiya, K.; Bargavi, P.; Balakumar, S. Unveiling pro-angiogenesis and drug delivery using dual-bio polymer with bio-ceramic based nanocomposite hydrogels. Chemosphere 2023, 341, 140131. [Google Scholar] [CrossRef] [PubMed]
- Rodrigues, I.C.P.; Orrantia Clark, L.C.; Kuang, X.; Sanchez Flores, R.; Lopes, É.S.N.; Gabriel, L.P.; Zhang, Y.S. Multimaterial coextrusion (bio)printing of composite polymer biomaterial ink and hydrogel bioink for tissue fabrication. Compos. Part B Eng. 2024, 275, 111337. [Google Scholar] [CrossRef]
- Moaness, M.; Kamel, A.M.; Salama, A.; Kamel, R.; Beherei, H.H.; Mabrouk, M. Fast skin healing chitosan/PEO hydrogels: In vitro and in vivo studies. Int. J. Biol. Macromol. 2024, 265, 130950. [Google Scholar] [CrossRef] [PubMed]
- Wang, Y.; Deng, J.; Liu, H.; Ran, R.; Zhang, T.; Li, Z. Enzyme-chitosan hydrogels for high sensitivity flexible silk-based electrochemical glucose sensor. Microchem. J. 2024, 200, 110306. [Google Scholar] [CrossRef]
- Lee, D.U.; Kayumov, M.; Park, J.; Park, S.K.; Kang, Y.; Ahn, Y.; Kim, W.; Yoo, S.H.; Park, J.-K.; Kim, B.-G.; et al. Antibiofilm and antithrombotic hydrogel coating based on superhydrophilic zwitterionic carboxymethyl chitosan for blood-contacting devices. Bioact. Mater. 2024, 34, 112–124. [Google Scholar] [CrossRef]
- Narciso, F.; Cardoso, S.; Monge, N.; Lourenço, M.; Martin, V.; Duarte, N.; Santos, C.; Gomes, P.; Bettencourt, A.; Ribeiro, I.A.C. 3D-printed biosurfactant-chitosan antibacterial coating for the prevention of silicone-based associated infections. Colloids Surf. B Biointerfaces 2023, 230, 113486. [Google Scholar] [CrossRef]
- Romero, M.R.; Coser, N.A.; Pérez, M.A.; Gomez, C.G. Poly(N-isopropylacrylamide)-interpenetrated chitosan coils working as nanoreactors for controlled silver nanoparticle growth. Carbohydr. Polym. 2022, 288, 119374. [Google Scholar] [CrossRef]
- Moradi, S.; Najjar, R.; Hamishehkar, H.; Lotfi, A. Triple-responsive drug nanocarrier: Magnetic core-shell nanoparticles of Fe3O4@poly(N-isopropylacrylamide)-grafted-chitosan, synthesis and in vitro cytotoxicity evaluation against human lung and breast cancer cells. J. Drug Deliv. Sci. Technol. 2022, 72, 103426. [Google Scholar] [CrossRef]
- Li, W.; Zhao, Y.; Sun, W.; Dong, T.; Saldaña, M.D.A.; Sun, W. Multi-responsive poly N-isopropylacrylamide/poly N-tert-butylacrylamide nanocomposite hydrogel with the ability to be adsorbed on the chitosan film as an active antibacterial material. Int. J. Biol. Macromol. 2022, 208, 1019–1028. [Google Scholar] [CrossRef]
- Rafael, D.; Melendres, M.M.R.; Andrade, F.; Montero, S.; Martinez-Trucharte, F.; Vilar-Hernandez, M.; Durán-Lara, E.F.; Schwartz, S., Jr.; Abasolo, I. Thermo-responsive hydrogels for cancer local therapy: Challenges and state-of-art. Int. J. Pharm. 2021, 606, 120954. [Google Scholar] [CrossRef] [PubMed]
- Mathew, A.P.; Uthaman, S.; Cho, K.H.; Cho, C.S.; Park, I.K. Injectable hydrogels for delivering biotherapeutic molecules. Int. J. Biol. Macromol. 2018, 110, 17–29. [Google Scholar] [CrossRef] [PubMed]
- Gao, F.; Jiao, C.; Yu, B.; Cong, H.; Shen, Y. Preparation and biomedical application of injectable hydrogels. Mater. Chem. Front. 2021, 5, 4912–4936. [Google Scholar] [CrossRef]
- Wiwatsamphan, P.; Chirachanchai, S. Persistently reversible pH-/thermo-responsive chitosan/poly (N-isopropyl acrylamide) hydrogel through clickable crosslinked interpenetrating network. Polym. Degrad. Stab. 2022, 198, 109874. [Google Scholar] [CrossRef]
- Hoang, H.T.; Jo, S.-H.; Phan, Q.-T.; Park, H.; Park, S.-H.; Oh, C.-W.; Lim, K.T. Dual pH-/thermo-responsive chitosan-based hydrogels prepared using "click" chemistry for colon-targeted drug delivery applications. Carbohydr. Polym. 2021, 260, 117812. [Google Scholar] [CrossRef]
- Shi, Z.; Yang, F.; Pang, Q.; Hu, Y.; Wu, H.; Yu, X.; Chen, X.; Shi, L.; Wen, B.; Xu, R.; et al. The osteogenesis and the biologic mechanism of thermo-responsive injectable hydrogel containing carboxymethyl chitosan/sodium alginate nanoparticles towards promoting osteal wound healing. Int. J. Biol. Macromol. 2023, 224, 533–543. [Google Scholar] [CrossRef]
- Feng, X.; Xing, C.; Wang, C.; Tian, Y.; Shang, S.; Liu, H.; Huang, X.; Jiang, J.; Song, Z.; Zhang, H. Degradable, anti-swelling, high-strength cellulosic hydrogels via salting-out and ionic coordination. Int. J. Biol. Macromol. 2024, 267, 131536. [Google Scholar] [CrossRef]
- Liu, S.; Zhao, Y.; Wei, H.; Nie, L.; Ding, P.; Sun, H.; Guo, Y.; Chen, T.; Okoro, O.V.; Shavandi, A.; et al. Injectable hydrogels based on silk fibroin peptide grafted hydroxypropyl chitosan and oxidized microcrystalline cellulose for scarless wound healing. Colloids Surf. A Physicochem. Eng. Asp. 2022, 647, 129062. [Google Scholar] [CrossRef]
- Ghorbani, M.; Roshangar, L.; Soleimani Rad, J. Development of reinforced chitosan/pectin scaffold by using the cellulose nanocrystals as nanofillers: An injectable hydrogel for tissue engineering. Eur. Polym. J. 2020, 130, 109697. [Google Scholar] [CrossRef]
- Wang, R.; Xue, H.; Leng, J.; Zhang, J.; Yan, Z.; Liu, X.; Feng, H.; Xiao, L.; Zhu, W. Preparation and antibacterial properties of hemp cellulose-based material based on Schiff base between lysine grafted N-halamine and dialdehyde hemp. Ind. Crops Prod. 2022, 176, 114388. [Google Scholar] [CrossRef]
- Mahur, B.K.; Ahuja, A.; Singh, S.; Maji, P.K.; Rastogi, V.K. Different nanocellulose morphologies (cellulose nanofibers, nanocrystals and nanospheres) extracted from Sunn hemp (Crotalaria juncea). Int. J. Biol. Macromol. 2023, 253, 126657. [Google Scholar] [CrossRef] [PubMed]
- Zhao, T.; Li, B.; Nie, K.; Ben, H.; Yang, X.; Zhang, Y.; Han, G.; Jiang, W. A novel cascade glycolic acid pretreatment-alkali degumming method for producing hemp fiber. Ind. Crops Prod. 2023, 195, 116424. [Google Scholar] [CrossRef]
- Promdontree, P.; Kheolamai, P.; Ounkaew, A.; Narain, R.; Ummartyotin, S. Characterization of Cellulose Fiber Derived from Hemp and Polyvinyl Alcohol-Based Composite Hydrogel as a Scaffold Material. Polymers 2023, 15, 4098. [Google Scholar] [CrossRef] [PubMed]
- Leong, S.L.; Tiong, S.I.X.; Siva, S.P.; Ahamed, F.; Chan, C.-H.; Lee, C.L.; Chew, I.M.L.; Ho, Y.K. Morphological control of cellulose nanocrystals via sulfuric acid hydrolysis based on sustainability considerations: An overview of the governing factors and potential challenges. J. Environ. Chem. Eng. 2022, 10, 108145. [Google Scholar] [CrossRef]
- Ziminska, M.; Wilson, J.J.; McErlean, E.; Dunne, N.; McCarthy, H.O. Synthesis and Evaluation of a Thermoresponsive Degradable Chitosan-Grafted PNIPAAm Hydrogel as a “Smart” Gene Delivery System. Materials 2020, 13, 2530. [Google Scholar] [CrossRef]
- Wu, S.W.; Liu, X.; Miller, A.L., 2nd; Cheng, Y.S.; Yeh, M.L.; Lu, L. Strengthening injectable thermo-sensitive NIPAAm-g-chitosan hydrogels using chemical cross-linking of disulfide bonds as scaffolds for tissue engineering. Carbohydr. Polym. 2018, 192, 308–316. [Google Scholar] [CrossRef]
- Zubik, K.; Singhsa, P.; Wang, Y.; Manuspiya, H.; Narain, R. Thermo-Responsive Poly(N-Isopropylacrylamide)-Cellulose Nanocrystals Hybrid Hydrogels for Wound Dressing. Polymers 2017, 9, 119. [Google Scholar] [CrossRef]
- Khan, S.; Akhtar, N.; Minhas, M.U.; Badshah, S.F. pH/Thermo-Dual Responsive Tunable In Situ Cross-Linkable Depot Injectable Hydrogels Based on Poly(N-Isopropylacrylamide)/Carboxymethyl Chitosan with Potential of Controlled Localized and Systemic Drug Delivery. AAPS PharmSciTech 2019, 20, 119. [Google Scholar] [CrossRef]
- Wasupalli, G.K.; Verma, D. Thermosensitive injectable hydrogel based on chitosan-polygalacturonic acid polyelectrolyte complexes for bone tissue engineering. Carbohydr. Polym. 2022, 294, 119769. [Google Scholar] [CrossRef]
- Bhuiyan, M.H.; Clarkson, A.N.; Ali, M.A. Optimization of thermoresponsive chitosan/beta-glycerophosphate hydrogels for injectable neural tissue engineering application. Colloids Surf. B Biointerfaces 2023, 224, 113193. [Google Scholar] [CrossRef]
- Ogunjobi, J.K.; Adewale, A.I.; Adeyemi, S.A. Cellulose nanocrystals from Siam weed: Synthesis and physicochemical characterization. Heliyon 2023, 9, e13104. [Google Scholar] [CrossRef] [PubMed]
- Ejara, T.M.; Balakrishnan, S.; Kim, J.C. Nanocomposites of PVA/cellulose nanocrystals: Comparative and stretch drawn properties. SPE Polym. 2021, 2, 288–296. [Google Scholar] [CrossRef]
- Mariano, M.; El Kissi, N.; Dufresne, A. Cellulose nanocrystals and related nanocomposites: Review of some properties and challenges. J. Polym. Sci. Part B Polym. Phys. 2014, 52, 791–806. [Google Scholar] [CrossRef]
- George, J.; Sabapathi, S.N. Cellulose nanocrystals: Synthesis, functional properties, and applications. Nanotechnol. Sci. Appl. 2015, 8, 45–54. [Google Scholar] [CrossRef]
- Wohlhauser, S.; Delepierre, G.; Labet, M.; Morandi, G.; Thielemans, W.; Weder, C.; Zoppe, J.O. Grafting Polymers from Cellulose Nanocrystals: Synthesis, Properties, and Applications. Macromolecules 2018, 51, 6157–6189. [Google Scholar] [CrossRef]
- Yang, J.; Han, C.-R.; Duan, J.-F.; Ma, M.-G.; Zhang, X.-M.; Xu, F.; Sun, R.-C. Synthesis and characterization of mechanically flexible and tough cellulose nanocrystals–polyacrylamide nanocomposite hydrogels. Cellulose 2013, 20, 227–237. [Google Scholar] [CrossRef]
- Khoshkava, V.; Kamal, M.R. Effect of drying conditions on cellulose nanocrystal (CNC) agglomerate porosity and dispersibility in polymer nanocomposites. Powder Technol. 2014, 261, 288–298. [Google Scholar] [CrossRef]
- Sun, X.; Tyagi, P.; Agate, S.; Lucia, L.; McCord, M.; Pal, L. Unique thermo-responsivity and tunable optical performance of poly(N-isopropylacrylamide)-cellulose nanocrystal hydrogel films. Carbohydr. Polym. 2019, 208, 495–503. [Google Scholar] [CrossRef]
- Dai, R.; Meng, L.; Fu, Q.; Hao, S.; Yang, J. Fabrication of Anisotropic Silk Fibroin-Cellulose Nanocrystals Cryogels with Tunable Mechanical Properties, Rapid Swelling, and Structural Recoverability via a Directional-Freezing Strategy. ACS Sustain. Chem. Eng. 2021, 9, 12274–12285. [Google Scholar] [CrossRef]
- Zhang, J.; Zhang, X.; Tian, Y.; Zhong, T.; Liu, F. Novel and wet-resilient cellulose nanofiber cryogels with tunable porosity and improved mechanical strength for methyl orange dyes removal. J. Hazard. Mater. 2021, 416, 125897. [Google Scholar] [CrossRef]
- Moon, R.J.; Martini, A.; Nairn, J.; Simonsen, J.; Youngblood, J. Cellulose nanomaterials review: Structure, properties and nanocomposites. Chem. Soc. Rev. 2011, 40, 3941–3994. [Google Scholar] [CrossRef]
- Trubetskaya, A.; Leppiniemi, J.; Lipponen, S.; Lombardo, S.; Thielemans, W.; Maloney, T.; Pääkkönen, T.; Kesari, K.K.; Ruokolainen, J.; Hytönen, V.P.; et al. Thermoresponsive and biocompatible poly(N-isopropylacrylamide)–cellulose nanocrystals hydrogel for cell growth. Mater. Adv. 2024, 5, 570–583. [Google Scholar] [CrossRef]
- Iqbal, M.S.; Akbar, J.; Saghir, S.; Karim, A.; Koschella, A.; Heinze, T.; Sher, M. Thermal studies of plant carbohydrate polymer hydrogels. Carbohydr. Polym. 2011, 86, 1775–1783. [Google Scholar] [CrossRef]
- Hou, Y.; Matthews, A.R.; Smitherman, A.M.; Bulick, A.S.; Hahn, M.S.; Hou, H.; Han, A.; Grunlan, M.A. Thermoresponsive nanocomposite hydrogels with cell-releasing behavior. Biomaterials 2008, 29, 3175–3184. [Google Scholar] [CrossRef]
- Innocenzi, P. Understanding sol–gel transition through a picture. A short tutorial. J. Sol-Gel Sci. Technol. 2020, 94, 544–550. [Google Scholar] [CrossRef]
- Avila-Salas, F.; Duran-Lara, E.F. An Overview of Injectable Thermo-Responsive Hydrogels and Advances in their Biomedical Applications. Curr. Med. Chem. 2020, 27, 5773–5789. [Google Scholar] [CrossRef]
- Cheng, Q.; Ding, S.; Zheng, Y.; Wu, M.; Peng, Y.Y.; Diaz-Dussan, D.; Shi, Z.; Liu, Y.; Zeng, H.; Cui, Z.; et al. Dual Cross-Linked Hydrogels with Injectable, Self-Healing, and Antibacterial Properties Based on the Chemical and Physical Cross-Linking. Biomacromolecules 2021, 22, 1685–1694. [Google Scholar] [CrossRef]
- Nasseri, R.; Deutschman, C.P.; Han, L.; Pope, M.A.; Tam, K.C. Cellulose nanocrystals in smart and stimuli-responsive materials: A review. Mater. Today Adv. 2020, 5, 100055. [Google Scholar] [CrossRef]
- de Oliveira, T.E.; Mukherji, D.; Kremer, K.; Netz, P.A. Effects of stereochemistry and copolymerization on the LCST of PNIPAm. J. Chem. Phys. 2017, 146, 034904. [Google Scholar] [CrossRef]
- Bangar, S.P.; Harussani, M.M.; Ilyas, R.A.; Ashogbon, A.O.; Singh, A.; Trif, M.; Jafari, S.M. Surface modifications of cellulose nanocrystals: Processes, properties, and applications. Food Hydrocoll. 2022, 130, 107689. [Google Scholar] [CrossRef]
- Sharma, G.; Thakur, B.; Naushad, M.; Kumar, A.; Stadler, F.J.; Alfadul, S.M.; Mola, G.T. Applications of nanocomposite hydrogels for biomedical engineering and environmental protection. Environ. Chem. Lett. 2017, 16, 113–146. [Google Scholar] [CrossRef]
- Serpico, L.; Dello Iacono, S.; Cammarano, A.; De Stefano, L. Recent Advances in Stimuli-Responsive Hydrogel-Based Wound Dressing. Gels 2023, 9, 451. [Google Scholar] [CrossRef] [PubMed]
- Michalicha, A.; Belcarz, A.; Giannakoudakis, D.A.; Staniszewska, M.; Barczak, M. Designing Composite Stimuli-Responsive Hydrogels for Wound Healing Applications: The State-of-the-Art and Recent Discoveries. Materials 2024, 17, 278. [Google Scholar] [CrossRef] [PubMed]









Disclaimer/Publisher’s Note: The statements, opinions and data contained in all publications are solely those of the individual author(s) and contributor(s) and not of MDPI and/or the editor(s). MDPI and/or the editor(s) disclaim responsibility for any injury to people or property resulting from any ideas, methods, instructions or products referred to in the content. |
© 2024 by the authors. Licensee MDPI, Basel, Switzerland. This article is an open access article distributed under the terms and conditions of the Creative Commons Attribution (CC BY) license (https://creativecommons.org/licenses/by/4.0/).
Share and Cite
Promdontree, P.; Ounkaew, A.; Yao, Y.; Zeng, H.; Narain, R.; Ummartyotin, S. Temperature-Responsive Injectable Composite Hydrogels Based on Poly(N-Isopropylacrylamide), Chitosan, and Hemp-Derived Cellulose Nanocrystals. Polymers 2024, 16, 2984. https://doi.org/10.3390/polym16212984
Promdontree P, Ounkaew A, Yao Y, Zeng H, Narain R, Ummartyotin S. Temperature-Responsive Injectable Composite Hydrogels Based on Poly(N-Isopropylacrylamide), Chitosan, and Hemp-Derived Cellulose Nanocrystals. Polymers. 2024; 16(21):2984. https://doi.org/10.3390/polym16212984
Chicago/Turabian StylePromdontree, Praewa, Artjima Ounkaew, Yuan Yao, Hongbo Zeng, Ravin Narain, and Sarute Ummartyotin. 2024. "Temperature-Responsive Injectable Composite Hydrogels Based on Poly(N-Isopropylacrylamide), Chitosan, and Hemp-Derived Cellulose Nanocrystals" Polymers 16, no. 21: 2984. https://doi.org/10.3390/polym16212984
APA StylePromdontree, P., Ounkaew, A., Yao, Y., Zeng, H., Narain, R., & Ummartyotin, S. (2024). Temperature-Responsive Injectable Composite Hydrogels Based on Poly(N-Isopropylacrylamide), Chitosan, and Hemp-Derived Cellulose Nanocrystals. Polymers, 16(21), 2984. https://doi.org/10.3390/polym16212984

