Effect of Proteins on the Vulcanized Natural Rubber Crosslinking Network Structure and Mechanical Properties
Abstract
1. Introduction
2. Materials and Methods
2.1. Sample Preparation
2.1.1. Preparation of Natural Rubber Latex (NRL)
2.1.2. Preparation of Vulcanized NR
2.2. Sample Analysis
2.2.1. Fourier Transform Infrared (FTIR) Spectroscopy
2.2.2. Nitrogen Content
2.2.3. Mechanical Properties
2.2.4. Crosslinking Density
2.2.5. Dynamic Mechanical Analyzer (DMA)
3. Results and Discussion
3.1. FTIR Analysis
3.2. Nitrogen Content Analysis
3.3. Effect of Proteins on the Vulcanization Properties of NR
3.4. Effect of Proteins on NR Mechanical Properties
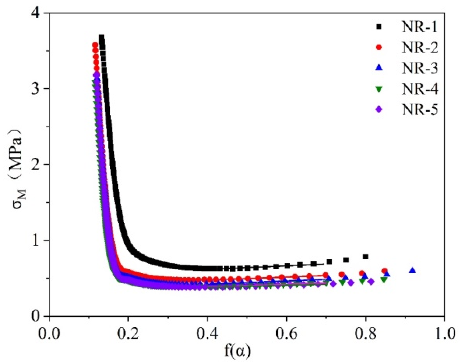
3.5. Effect of Proteins on NR Crosslinking Network
3.6. Hysteresis Loss
3.7. Effect of Protein on Dynamic and Mechanical Properties of Vulcanized NR
4. Conclusions
Author Contributions
Funding
Institutional Review Board Statement
Data Availability Statement
Conflicts of Interest
References
- Xu, T.; Jia, Z.; Wu, L.; Chen, Y.; Luo, Y.; Jia, D.; Peng, Z. Influence of acetone extract from natural rubber on the structure and interface interaction in NR/silica composites. Appl. Surf. Sci. 2017, 423, 43–52. [Google Scholar] [CrossRef]
- Kawahara, S. Discovery of island-nanomatrix structure in natural rubber. Polym. J. 2023, 55, 1007–1021. [Google Scholar] [CrossRef]
- Tarachiwin, L.; Sakdapipanich, J.; Ute, K.; Kitayama, T.; Bamba, T.; Fukusaki, E.-I.; Kobayashi, A.; Tanaka, Y. Structural Characterization of α-Terminal Group of Natural Rubber. 1. Decomposition of Branch-Points by Lipase and Phosphatase Treatments. Biomacromolecules 2005, 6, 1851–1857. [Google Scholar] [CrossRef]
- Tarachiwin, L.; Sakdapipanich, J.; Ute, K.; Kitayama, T.; Tanaka, Y. Structural Characterization of α-Terminal Group of Natural Rubber. 2. Decomposition of Branch-Points by Phospholipase and Chemical Treatments. Biomacromolecules 2005, 6, 1858–1863. [Google Scholar] [CrossRef]
- Dixit, M.; Taniguchi, T. Effect of Impurities on the Formation of End-Group Clusters in Natural Rubber: Phenylalanine Dipeptide as an Impurity Protein. Macromolecules 2024, 57, 2588–2608. [Google Scholar] [CrossRef]
- Huang, C.; Zhang, J.; Cai, X.; Huang, G.; Wu, J. The effects of proteins and phospholipids on the network structure of natural rubber: A rheological study in bulk and in solution. J. Polym. Res. 2020, 27, 158. [Google Scholar] [CrossRef]
- Schlögl, S.; Trutschel, M.-L.; Chassé, W.; Riess, G.; Saalwächter, K. Entanglement Effects in Elastomers: Macroscopic vs Microscopic Properties. Macromolecules 2014, 47, 2759–2773. [Google Scholar] [CrossRef]
- Kawahara, S.; Tanaka, Y. Structure of Natural Rubber. Nippon Gomu Kyokaishi 2009, 82, 417–423. [Google Scholar] [CrossRef]
- Kawahara, S.; Nishioka, H.; Yamano, M.; Yamamoto, Y. Synthetic Rubber with the Tensile Strength of Natural Rubber. ACS Appl. Polym. Mater. 2022, 4, 2323–2328. [Google Scholar] [CrossRef]
- Srisomboon, S.; Wadeesirisak, K.; Vaysse, L.; Sainte-Beuve, J.; Musigamart, N.; Liengprayoon, S.; Bonfils, F.; Rattanaporn, K.; Bottier, C. Optimization of a protein extraction method from natural rubber sheets made of Hevea brasiliensis latex. J. Rubber Res. 2021, 24, 27–39. [Google Scholar] [CrossRef]
- Ariyawiriyanan, W.; Nuinu, J.; Sae-Heng, K.; Kawahara, S. The Mechanical Properties of Vulcanized Deproteinized Natural Rubber. Energy Procedia 2013, 34, 728–733. [Google Scholar] [CrossRef]
- Lehman, N.; Keereerak, A.; Promsung, R.; Nakaramontri, Y.; Johns, J.; Songtipya, L.; Kalkornsurapranee, E. Influence of different protein contents from several clonal varieties of Hevea brasiliensis latex on the properties of cured natural rubber film using glutaraldehyde (GA) as a curing agent. Ind. Crops Prod. 2024, 208, 117868. [Google Scholar] [CrossRef]
- Guo, Y.; Bao, K.; Wu, X.; Han, D.; Zhang, J. Morphology and aggregation process of natural rubber particles. Ind. Crops Prod. 2023, 203, 117153. [Google Scholar] [CrossRef]
- Sadeghi, M.; Malekzadeh, M.; Taghvaei-Ganjali, S.; Motiee, F. Correlations between natural rubber protein content and rapid predictions of rheological properties, compression set and hardness of rubber compound. J. Indian Chem. Soc. 2021, 98, 100162. [Google Scholar] [CrossRef]
- Zhou, Y.; Kosugi, K.; Yamamoto, Y.; Kawahara, S. Effect of non-rubber components on the mechanical properties of natural rubber. Polym. Adv. Technol. 2017, 28, 159–165. [Google Scholar] [CrossRef]
- Jong, L. Influence of protein hydrolysis on the mechanical properties of natural rubber composites reinforced with soy protein particles. Ind. Crops Prod. 2015, 65, 102–109. [Google Scholar] [CrossRef]
- Huang, S.-Q.; Zhang, J.-Q.; Zhu, Y.; Kong, L.-M.; Liao, L.-S.; Zhang, F.-Q.; Xie, Z.-T.; Wu, J.-R. Revealing the Structure-Property Difference of Natural Rubber Prepared by Different Methods: Protein and Gel Content are Key Factors. Chin. J. Polym. Sci. 2023, 42, 457–467. [Google Scholar] [CrossRef]
- Zhan, Y.-H.; Wei, Y.-C.; Tian, J.-J.; Gao, Y.-Y.; Luo, M.-C.; Liao, S. Effect of protein on the thermogenesis performance of natural rubber matrix. Sci. Rep. 2020, 10, 16417. [Google Scholar] [CrossRef]
- Jong, L. Reinforcement effect of soy protein nanoparticles in amine-modified natural rubber latex. Ind. Crops Prod. 2017, 105, 53–62. [Google Scholar] [CrossRef]
- Yu, W.-W.; Xu, W.-Z.; Xia, J.-H.; Wei, Y.-C.; Liao, S.; Luo, M.-C. Toughening natural rubber by the innate sacrificial network. Polymer 2020, 194, 122419. [Google Scholar] [CrossRef]
- Wang, Y.; Liu, H.; Yu, H.; Zhao, P.; Wang, Q.; Liao, L.; Luo, M.; Zheng, T.; Liao, S.; Peng, Z. New insight into naturally occurring network and entanglements induced strain behavior of vulcanized natural rubber. Polymer 2022, 241, 124545. [Google Scholar] [CrossRef]
- Fu, X.; Huang, C.; Zhu, Y.; Huang, G.; Wu, J. Characterizing the naturally occurring sacrificial bond within natural rubber. Polymer 2019, 161, 41–48. [Google Scholar] [CrossRef]
- GB/T8088-2008; Rubber, Raw Natural and Rubber Latex, Natural—Determination of Nitrogen Content. Chinese Standard Publisher: Beijing, China, 2008.
- GB/T528-2009; Rubber, Vulcanized or Thermoplastic—Determination of Tensile Stress-Strain Properties. Chinese Standard Publisher: Beijing, China, 2009.
- Rolere, S.; Liengprayoon, S.; Vaysse, L.; Sainte-Beuve, J.; Bonfils, F. Investigating natural rubber composition with Fourier Transform Infrared (FT-IR) spectroscopy: A rapid and non-destructive method to determine both protein and lipid contents simultaneously. Polym. Test. 2015, 43, 83–93. [Google Scholar] [CrossRef]
- Yunyongwattanakorn, J.; Tanaka, Y.; Sakdapipanich, J.; Wongsasutthikul, V. Highly-Purified Natural Rubber by Saponification of Latex: Analysis of Residual Proteins in Saponified Natural Rubber. Rubber Chem. Technol. 2008, 81, 121–137. [Google Scholar] [CrossRef]
- Sakdapipanich, J.; Kalah, R.; Nimpaiboon, A.; Ho, C.C. Influence of mixed layer of proteins and phospholipids on the unique film formation behavior of Hevea natural rubber latex. Colloids Surf. A Physicochem. Eng. Asp. 2015, 466, 100–106. [Google Scholar] [CrossRef]
- Klinklai, W.; Saito, T.; Kawahara, S.; Tashiro, K.; Suzuki, Y.; Sakdapipanich, J.T.; Isono, Y. Hyperdeproteinized natural rubber prepared with urea. J. Appl. Polym. Sci. 2004, 93, 555–559. [Google Scholar] [CrossRef]
- Yamamoto, Y.; Nghia, P.T.; Klinklai, W.; Saito, T.; Kawahara, S. Removal of proteins from natural rubber with urea and its application to continuous processes. J. Appl. Polym. Sci. 2008, 107, 2329–2332. [Google Scholar] [CrossRef]
- Wei, Y.-C.; Liu, G.-X.; Zhang, L.; Zhao, F.; Liao, S.; Luo, M.-C. Exploring the unique characteristics of natural rubber induced by coordination interaction between proteins and Zn2+. Polymer 2020, 193, 122357. [Google Scholar] [CrossRef]
- Wei, Y.-C.; Zhu, D.; Xie, W.-Y.; Xia, J.-H.; He, M.-F.; Liao, S. In-situ observation of spatial organization of natural rubber latex particles and exploring the relationship between particle size and mechanical properties of natural rubber. Ind. Crops Prod. 2022, 180, 114737. [Google Scholar] [CrossRef]
- Liu, X.-X.; He, M.-F.; Luo, M.-C.; Wei, Y.-C.; Liao, S. The role of natural rubber endogenous proteins in promoting the formation of vulcanization networks. e-Polymers 2022, 22, 445–453. [Google Scholar] [CrossRef]
- Zhao, F.; Bi, W.; Zhao, S. Influence of Crosslink Density on Mechanical Properties of Natural Rubber Vulcanizates. J. Macromol. Sci. Part B 2011, 50, 1460–1469. [Google Scholar] [CrossRef]
- Liu, H.; Huang, G.S.; Wei, L.Y.; Zeng, J.; Fu, X.; Huang, C.; Wu, J.R. Inhomogeneous Natural Network Promoting Strain-induced Crystallization:A Mesoscale Model of Natural Rubber. Chin. J. Polym. Sci. 2019, 37, 105–114. [Google Scholar] [CrossRef]
- Huang, S.; Zhang, J.; Kong, L.; Li, W.; Xie, Z.-T.; Wu, J. Fully Biosourced, Vulcanization-Free, and Thermal-Responsive Natural Rubber Material. Macromolecules 2024, 57, 1642–1652. [Google Scholar] [CrossRef]
- Wang, Y.; Liao, L.; Wang, R.; Yu, H.; Zheng, T.; Lian, Y.; Luo, M.; Liao, S.; Liu, H.; Peng, Z. Research of strain induced crystallization and tensile properties of vulcanized natural rubber based on crosslink densities. Ind. Crops Prod. 2023, 202, 117070. [Google Scholar] [CrossRef]
- Wu, J.; Qu, W.; Huang, G.; Wang, S.; Huang, C.; Liu, H. Super-Resolution Fluorescence Imaging of Spatial Organization of Proteins and Lipids in Natural Rubber. Biomacromolecules 2017, 18, 1705–1712. [Google Scholar] [CrossRef]
- Huang, C.; Huang, G.; Li, S.; Luo, M.; Liu, H.; Fu, X.; Qu, W.; Xie, Z.; Wu, J. Research on architecture and composition of natural network in natural rubber. Polymer 2018, 154, 90–100. [Google Scholar] [CrossRef]
- Klüppel, M.; Menge, H.; Schmidt, H.; Schneider, H.; Schuster, R.H. Influence of Preparation Conditions on Network Parameters of Sulfur-Cured Natural Rubber. Macromolecules 2001, 34, 8107–8116. [Google Scholar] [CrossRef]
- Wang, Y.; Liu, H.; Zheng, T.; Peng, Z.; Wang, R.; Yu, H.; Wang, Q.; Liao, S.; Liao, L. Strain-induced crystallization behavior and tensile properties of natural rubber with different vulcanization bond types. Polym. Test. 2023, 129, 108289. [Google Scholar] [CrossRef]
- Shen, Q.; Wu, M.; Xu, C.; Wang, Y.; Wang, Q.; Liu, W. Sodium alginate crosslinked oxidized natural rubber supramolecular network with rapid self-healing at room temperature and improved mechanical properties. Compos. Part A Appl. Sci. Manuf. 2021, 150, 106601. [Google Scholar] [CrossRef]






| Sample | Nitrogen Content % | Protein Content % |
|---|---|---|
| NR-1 | 0.537 ± 0.004 | 3.356 ± 0.025 |
| NR-2 | 0.157 ± 0.001 | 0.984 ± 0.006 |
| NR-3 | 0.099 ± 0.001 | 0.619 ± 0.006 |
| NR-4 | 0.032 ± 0.001 | 0.198 ± 0.006 |
| NR-5 | 0.022 ± 0.003 | 0.135 ± 0.017 |
| Samples | MH/dN·m | ML/dN·m | t10/min | t90/min |
|---|---|---|---|---|
| NR-1 | 7.14 | 0.72 | 1.7 | 12.2 |
| NR-2 | 6.64 | 0.71 | 3.4 | 10.2 |
| NR-3 | 6.12 | 0.55 | 8.8 | 18.9 |
| NR-4 | 6.12 | 0.62 | 11.1 | 22.8 |
| NR-5 | 6.04 | 0.63 | 11.8 | 24.1 |
| Projects | NR-1 | NR-2 | NR-3 | NR-4 | NR-5 |
|---|---|---|---|---|---|
| Tensile strength (MPa) | 27.80 ± 0.92 | 30.81 ± 1.57 | 27.45 ± 1.06 | 27.64 ± 2.08 | 26.70 ± 1.58 |
| 100% stress (MPa) | 1.11 ± 0.02 | 0.86 ± 0.03 | 0.77 ± 0.01 | 0.70 ± 0.02 | 0.68 ± 0.03 |
| 300% stress (MPa) | 2.82 ± 0.05 | 2.04 ± 0.06 | 1.77 ± 0.02 | 1.64 ± 0.06 | 1.58 ± 0.09 |
| 500% stress (MPa) | 10.31 ± 0.4 | 5.03 ± 0.51 | 4.02 ± 0.07 | 3.7 ± 0.50 | 3.28 ± 0.43 |
| Elongation at break (%) | 656 ± 7 | 752 ± 20 | 738 ± 9 | 756 ± 26 | 753 ± 30 |
| Samples | Q (%) | mol/cm3) | MC (kg/mol) |
|---|---|---|---|
| NR-1 | 4.06 | 2.35 | 3.88 |
| NR-2 | 4.61 | 1.74 | 5.25 |
| NR-3 | 4.89 | 1.52 | 6.02 |
| NR-4 | 4.95 | 1.47 | 6.19 |
| NR-5 | 4.97 | 1.46 | 6.24 |
| Samples | NR-1 | NR-2 | NR-3 | NR-4 | NR-5 |
|---|---|---|---|---|---|
| Gc (MPa) | 0.52 | 0.39 | 0.33 | 0.32 | 0.32 |
| Ge (MPa) | 0.24 | 0.20 | 0.22 | 0.18 | 0.14 |
| Vc (mol/mL) | 3.12 | 2.37 | 1.99 | 1.90 | 1.95 |
| Mc (g/mol) | 2978 | 3916 | 4664 | 4897 | 4776 |
| Rc (nm) | 4.05 | 4.64 | 5.07 | 5.19 | 5.13 |
| N | 28 | 37 | 44 | 46 | 45 |
| d0 (nm) | 2.33 | 2.54 | 2.44 | 2.74 | 3.07 |
| ne | 9 | 11 | 10 | 13 | 16 |
Disclaimer/Publisher’s Note: The statements, opinions and data contained in all publications are solely those of the individual author(s) and contributor(s) and not of MDPI and/or the editor(s). MDPI and/or the editor(s) disclaim responsibility for any injury to people or property resulting from any ideas, methods, instructions or products referred to in the content. |
© 2024 by the authors. Licensee MDPI, Basel, Switzerland. This article is an open access article distributed under the terms and conditions of the Creative Commons Attribution (CC BY) license (https://creativecommons.org/licenses/by/4.0/).
Share and Cite
Wang, Y.; Su, S.; Liu, H.; Wang, R.; Liao, L.; Peng, Z.; Li, J.; Wu, H.; He, D. Effect of Proteins on the Vulcanized Natural Rubber Crosslinking Network Structure and Mechanical Properties. Polymers 2024, 16, 2957. https://doi.org/10.3390/polym16212957
Wang Y, Su S, Liu H, Wang R, Liao L, Peng Z, Li J, Wu H, He D. Effect of Proteins on the Vulcanized Natural Rubber Crosslinking Network Structure and Mechanical Properties. Polymers. 2024; 16(21):2957. https://doi.org/10.3390/polym16212957
Chicago/Turabian StyleWang, Yueqiong, Shiqi Su, Hongchao Liu, Rui Wang, Lusheng Liao, Zheng Peng, Jihua Li, Haijun Wu, and Dongning He. 2024. "Effect of Proteins on the Vulcanized Natural Rubber Crosslinking Network Structure and Mechanical Properties" Polymers 16, no. 21: 2957. https://doi.org/10.3390/polym16212957
APA StyleWang, Y., Su, S., Liu, H., Wang, R., Liao, L., Peng, Z., Li, J., Wu, H., & He, D. (2024). Effect of Proteins on the Vulcanized Natural Rubber Crosslinking Network Structure and Mechanical Properties. Polymers, 16(21), 2957. https://doi.org/10.3390/polym16212957
