Chitin Extracted from Black Soldier Fly Larvae at Different Growth Stages
Abstract
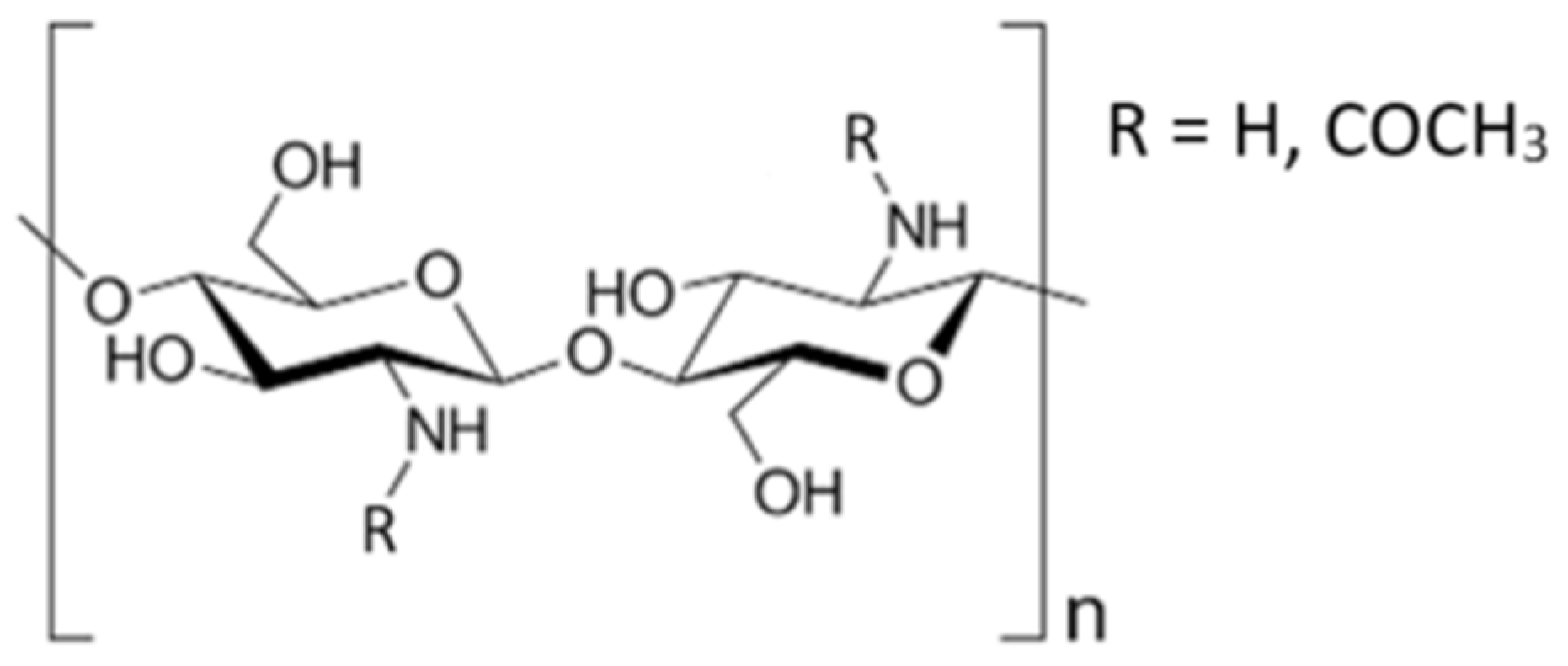
1. Introduction
2. Materials and Methods
2.1. Materials
2.2. Chitin Extraction and Purification
2.3. Characterization Techniques
3. Results
3.1. Characterisation
3.2. X-ray Diffraction
3.3. FT-IR Spectroscopy
3.4. Nuclear Magnetic Resonance
3.5. Thermogravimetric Analysis
4. Discussion
5. Conclusions
Supplementary Materials
Author Contributions
Funding
Institutional Review Board Statement
Data Availability Statement
Conflicts of Interest
References
- Poveda, J. Insect Frass in the Development of Sustainable Agriculture. A Review. Agron. Sustain. Dev. 2021, 41, 5. [Google Scholar] [CrossRef]
- Hahn, T.; Tafi, E.; Paul, A.; Salvia, R.; Falabella, P.; Zibek, S. Current State of Chitin Purification and Chitosan Production from Insects. J. Chem. Technol. Biotechnol. 2020, 95, 2775–2795. [Google Scholar] [CrossRef]
- Zainol Abidin, N.A.; Kormin, F.; Zainol Abidin, N.A.; Mohamed Anuar, N.A.F.; Abu Bakar, M.F. The Potential of Insects as Alternative Sources of Chitin: An Overview on the Chemical Method of Extraction from Various Sources. Int. J. Mol. Sci. 2020, 21, 4978. [Google Scholar] [CrossRef] [PubMed]
- Subnational Climate Fund–Global Study on Black Soldier Fly Sector. 2022. Available online: https://www.subnational.finance/projet/black-soldier-fly-market-study/ (accessed on 3 September 2024).
- Wang, Y.-S.; Shelomi, M. Review of Black Soldier Fly (Hermetia illucens) as Animal Feed and Human Food. Foods 2017, 6, 91. [Google Scholar] [CrossRef]
- Chia, S.Y.; Tanga, C.M.; Khamis, F.M.; Mohamed, S.A.; Salifu, D.; Sevgan, S.; Fiaboe, K.K.M.; Niassy, S.; Van Loon, J.J.A.; Dicke, M.; et al. Threshold Temperatures and Thermal Requirements of Black Soldier Fly Hermetia illucens: Implications for Mass Production. PLoS ONE 2018, 13, e0206097. [Google Scholar] [CrossRef]
- Seyedalmoosavi, M.M.; Mielenz, M.; Veldkamp, T.; Daş, G.; Metges, C.C. Growth Efficiency, Intestinal Biology, and Nutrient Utilization and Requirements of Black Soldier Fly (Hermetia illucens) Larvae Compared to Monogastric Livestock Species: A Review. J. Anim. Sci. Biotechnol. 2022, 13, 31. [Google Scholar] [CrossRef]
- Shah, A.A.; Totakul, P.; Matra, M.; Cherdthong, A.; Harnboonsong, Y.; Wanapat, M. Nutritional Composition of Various Insects and Potential Uses as Alternative Protein Sources in Animal Diets. Anim. Biosci. 2022, 35, 317–331. [Google Scholar] [CrossRef]
- Barragan-Fonseca, K.B.; Dicke, M.; Van Loon, J.J.A. Nutritional Value of the Black Soldier Fly (Hermetia illucens L.) and Its Suitability as Animal Feed—A Review. J. Insects Food Feed. 2017, 3, 105–120. [Google Scholar] [CrossRef]
- Müller, A.; Wolf, D.; Gutzeit, H.O. The Black Soldier Fly, Hermetia Illucens—A Promising Source for Sustainable Production of Proteins, Lipids and Bioactive Substances. Z. Naturforschung C 2017, 72, 351–363. [Google Scholar] [CrossRef]
- Bulak, P.; Proc, K.; Pawłowska, M.; Kasprzycka, A.; Berus, W.; Bieganowski, A. Biogas Generation from Insects Breeding Post Production Wastes. J. Clean. Prod. 2020, 244, 118777. [Google Scholar] [CrossRef]
- Moretta, A.; Salvia, R.; Scieuzo, C.; Di Somma, A.; Vogel, H.; Pucci, P.; Sgambato, A.; Wolff, M.; Falabella, P. A Bioinformatic Study of Antimicrobial Peptides Identified in the Black Soldier Fly (BSF) Hermetia Illucens (Diptera: Stratiomyidae). Sci. Rep. 2020, 10, 16875. [Google Scholar] [CrossRef] [PubMed]
- Hillyer, J.F. Insect Immunology and Hematopoiesis. Dev. Comp. Immunol. 2016, 58, 102–118. [Google Scholar] [CrossRef] [PubMed]
- Shishkov, O.; Hu, M.; Johnson, C.; Hu, D.L. Black Soldier Fly Larvae Feed by Forming a Fountain around Food. J. R. Soc. Interface 2019, 16, 20180735. [Google Scholar] [CrossRef] [PubMed]
- Eggink, K.M.; Dalsgaard, J. Chitin Contents in Different Black Soldier Fly (Hermetia illucens) Life Stages. J. Insects Food Feed. 2023, 9, 855–864. [Google Scholar] [CrossRef]
- Soetemans, L.; Uyttebroek, M.; Bastiaens, L. Characteristics of Chitin Extracted from Black Soldier Fly in Different Life Stages. Int. J. Biol. Macromol. 2020, 165, 3206–3214. [Google Scholar] [CrossRef]
- Pedrazzani, C.; Righi, L.; Vescovi, F.; Maistrello, L.; Caligiani, A. Black Soldier Fly as a New Chitin Source: Extraction, Purification and Molecular/Structural Characterization. LWT 2024, 191, 115618. [Google Scholar] [CrossRef]
- Elieh-Ali-Komi, D.; Hamblin, M.R. Chitin and Chitosan: Production and Application of Versatile Biomedical Nanomaterials. Int. J. Adv. Res. 2016, 4, 411–427. [Google Scholar]
- Kumirska, J.; Czerwicka, M.; Kaczyński, Z.; Bychowska, A.; Brzozowski, K.; Thöming, J.; Stepnowski, P. Application of Spectroscopic Methods for Structural Analysis of Chitin and Chitosan. Mar. Drugs 2010, 8, 1567–1636. [Google Scholar] [CrossRef]
- Triunfo, M.; Tafi, E.; Guarnieri, A.; Salvia, R.; Scieuzo, C.; Hahn, T.; Zibek, S.; Gagliardini, A.; Panariello, L.; Coltelli, M.B.; et al. Characterization of Chitin and Chitosan Derived from Hermetia Illucens, a Further Step in a Circular Economy Process. Sci. Rep. 2022, 12, 6613. [Google Scholar] [CrossRef]
- Rinaudo, M. Chitin and Chitosan: Properties and Applications. Prog. Polym. Sci. 2006, 31, 603–632. [Google Scholar] [CrossRef]
- Chakravarty, J.; Edwards, T.A. Innovation from Waste with Biomass-Derived Chitin and Chitosan as Green and Sustainable Polymer: A Review. Energy Nexus 2022, 8, 100149. [Google Scholar] [CrossRef]
- Hahn, T.; Roth, A.; Ji, R.; Schmitt, E.; Zibek, S. Chitosan Production with Larval Exoskeletons Derived from the Insect Protein Production. J. Biotechnol. 2020, 310, 62–67. [Google Scholar] [CrossRef] [PubMed]
- Negrea, P.; Caunii, A.; Sarac, I.; Butnariu, M. The Study of Infrared Spectrum of Chitin and Chitosan Extract as Potential Sources of Biomass. Dig. J. Nanomater. Biostruct. (DJNB) 2015, 10, 1129–1138. [Google Scholar]
- Villar-Chavero, M.M.; Domínguez, J.C.; Alonso, M.V.; Oliet, M.; Rodriguez, F. Thermal and Kinetics of the Degradation of Chitosan with Different Deacetylation Degrees under Oxidizing Atmosphere. Thermochim. Acta 2018, 670, 18–26. [Google Scholar] [CrossRef]
- Pokhrel, S.; Yadav, P.N.; Adhikari, R. Applications of Chitin and Chitosan in Industry and Medical Science: A Review. Nepal J. Sci. Technol. 2016, 16, 99–104. [Google Scholar] [CrossRef]
- Mulla, M.F.Z.; Ahmed, J.; Vahora, A.; Pathania, S.; Rashed, M.S. Characterization of Biopolymers Based Antibacterial Films Enriched with Thyme Essential Oil and Their Application for Milk Cake Preservation. Front. Food. Sci. Technol. 2024, 4, 1356582. [Google Scholar] [CrossRef]
- Waśko, A.; Bulak, P.; Polak-Berecka, M.; Nowak, K.; Polakowski, C.; Bieganowski, A. The First Report of the Physicochemical Structure of Chitin Isolated from Hermetia illucens. Int. J. Biol. Macromol. 2016, 92, 316–320. [Google Scholar] [CrossRef]
- Ravi, H.K.; Degrou, A.; Costil, J.; Trespeuch, C.; Chemat, F.; Vian, M.A. Effect of Devitalization Techniques on the Lipid, Protein, Antioxidant, and Chitin Fractions of Black Soldier Fly (Hermetia illucens) Larvae. Eur. Food Res. Technol. 2020, 246, 2549–2568. [Google Scholar] [CrossRef]
- Paul, G.; Steuernagel, S.; Koller, H. Non-Covalent Interactions of a Drug Molecule Encapsulated in a Hybrid Silica Gel. Chem. Commun. 2007, 5194. [Google Scholar] [CrossRef]
- Gullo, F.; Marangon, A.; Croce, A.; Gatti, G.; Aceto, M. From Natural Woods to High Density Materials: An Ecofriendly Approach. Sustainability 2023, 15, 2055. [Google Scholar] [CrossRef]
- Mohan, K.; Ganesan, A.R.; Ezhilarasi, P.N.; Kondamareddy, K.K.; Rajan, D.K.; Sathishkumar, P.; Rajarajeswaran, J.; Conterno, L. Green and Eco-Friendly Approaches for the Extraction of Chitin and Chitosan: A Review. Carbohydr. Polym. 2022, 287, 119349. [Google Scholar] [CrossRef] [PubMed]
- Brigode, C.; Hobbi, P.; Jafari, H.; Verwilghen, F.; Baeten, E.; Shavandi, A. Isolation and Physicochemical Properties of Chitin Polymer from Insect Farm Side Stream as a New Source of Renewable Biopolymer. J. Clean. Prod. 2020, 275, 122924. [Google Scholar] [CrossRef]
- Mohan, K.; Ganesan, A.R.; Muralisankar, T.; Jayakumar, R.; Sathishkumar, P.; Uthayakumar, V.; Chandirasekar, R.; Revathi, N. Recent Insights into the Extraction, Characterization, and Bioactivities of Chitin and Chitosan from Insects. Trends Food Sci. Technol. 2020, 105, 17–42. [Google Scholar] [CrossRef] [PubMed]
- Mohammed, M.H.; Williams, P.A.; Tverezovskaya, O. Extraction of Chitin from Prawn Shells and Conversion to Low Molecular Mass Chitosan. Food Hydrocoll. 2013, 31, 166–171. [Google Scholar] [CrossRef]
- Ibitoye, E.B.; Lokman, I.H.; Hezmee, M.N.M.; Goh, Y.M.; Zuki, A.B.Z.; Jimoh, A.A. Extraction and Physicochemical Characterization of Chitin and Chitosan Isolated from House Cricket. Biomed. Mater. 2018, 13, 025009. [Google Scholar] [CrossRef]
- Hoell, I.A.; Vaaje-Kolstad, G.; Eijsink, V.G.H. Structure and Function of Enzymes Acting on Chitin and Chitosan. Biotechnol. Genet. Eng. Rev. 2010, 27, 331–366. [Google Scholar] [CrossRef]
- Hossin, M.A.; Al Shaqsi, N.H.K.; Al Touby, S.S.J.; Al Sibani, M.A. A Review of Polymeric Chitin Extraction, Characterization, and Applications. Arab. J. Geosci. 2021, 14, 1870. [Google Scholar] [CrossRef]
- Stawski, D.; Rabiej, S.; Herczyńska, L.; Draczyński, Z. Thermogravimetric Analysis of Chitins of Different Origin. J. Therm. Anal. Calorim. 2008, 93, 489–494. [Google Scholar] [CrossRef]
- Zhang, Y.; Xue, C.; Xue, Y.; Gao, R.; Zhang, X. Determination of the Degree of Deacetylation of Chitin and Chitosan by X-ray Powder Diffraction. Carbohydr. Res. 2005, 340, 1914–1917. [Google Scholar] [CrossRef]
- Majtán, J.; Bíliková, K.; Markovič, O.; Gróf, J.; Kogan, G.; Šimúth, J. Isolation and Characterization of Chitin from Bumblebee (Bombus terrestris). Int. J. Biol. Macromol. 2007, 40, 237–241. [Google Scholar] [CrossRef]
- Sajomsang, W.; Gonil, P. Preparation and Characterization of α-Chitin from Cicada Sloughs. Mater. Sci. Eng. C 2010, 30, 357–363. [Google Scholar] [CrossRef]
- Socrates, G. Infrared and Raman Characteristic Group Frequencies: Tables and Charts, 3rd ed.; Wiley: Chichester, UK, 2010; ISBN 978-0-470-09307-8. [Google Scholar]
- Kamal, M.; Adly, E.; Alharbi, S.A.; Khaled, A.S.; Rady, M.H.; Ibrahim, N.A. Exploring Simplified Methods for Insect Chitin Extraction and Application as a Potential Alternative Bioethanol Resource. Insects 2020, 11, 788. [Google Scholar] [CrossRef] [PubMed]
- Tolesa, L.D.; Gupta, B.S.; Lee, M.-J. Chitin and Chitosan Production from Shrimp Shells Using Ammonium-Based Ionic Liquids. Int. J. Biol. Macromol. 2019, 130, 818–826. [Google Scholar] [CrossRef] [PubMed]
- Alexandri, E.; Ahmed, R.; Siddiqui, H.; Choudhary, M.; Tsiafoulis, C.; Gerothanassis, I. High Resolution NMR Spectroscopy as a Structural and Analytical Tool for Unsaturated Lipids in Solution. Molecules 2017, 22, 1663. [Google Scholar] [CrossRef]
- Duarte, M.L.; Ferreira, M.C.; Marvão, M.R.; Rocha, J. An Optimised Method to Determine the Degree of Acetylation of Chitin and Chitosan by FTIR Spectroscopy. Int. J. Biol. Macromol. 2002, 31, 1–8. [Google Scholar] [CrossRef]
- Kasaai, M.R. Determination of the Degree of N-Acetylation for Chitin and Chitosan by Various NMR Spectroscopy Techniques: A Review. Carbohydr. Polym. 2010, 79, 801–810. [Google Scholar] [CrossRef]
- Achinivu, E.C.; Shamshina, J.L.; Rogers, R.D. Chitin Extracted from Various Biomass Sources: It’s Not the Same. Fluid Phase Equilibria 2022, 552, 113286. [Google Scholar] [CrossRef]
- Wanjun, T.; Cunxin, W.; Donghua, C. Kinetic Studies on the Pyrolysis of Chitin and Chitosan. Polym. Degrad. Stab. 2005, 87, 389–394. [Google Scholar] [CrossRef]
- Corazzari, I.; Nisticò, R.; Turci, F.; Faga, M.G.; Franzoso, F.; Tabasso, S.; Magnacca, G. Advanced Physico-Chemical Characterization of Chitosan by Means of TGA Coupled on-Line with FTIR and GCMS: Thermal Degradation and Water Adsorption Capacity. Polym. Degrad. Stab. 2015, 112, 1–9. [Google Scholar] [CrossRef]
- Moussout, H.; Ahlafi, H.; Aazza, M.; Bourakhouadar, M. Kinetics and Mechanism of the Thermal Degradation of Biopolymers Chitin and Chitosan Using Thermogravimetric Analysis. Polym. Degrad. Stab. 2016, 130, 1–9. [Google Scholar] [CrossRef]
- Kaya, M.; Mujtaba, M.; Ehrlich, H.; Salaberria, A.M.; Baran, T.; Amemiya, C.T.; Galli, R.; Akyuz, L.; Sargin, I.; Labidi, J. On Chemistry of γ-Chitin. Carbohydr. Polym. 2017, 176, 177–186. [Google Scholar] [CrossRef] [PubMed]
- Finke, M.D. Estimate of Chitin in Raw Whole Insects. Zoo Biol. 2007, 26, 105–115. [Google Scholar] [CrossRef] [PubMed]





| Sample | Water | Lipid | Mineral | Protein | Chitin |
|---|---|---|---|---|---|
| BSFL-IL | 8.0 ± 1.6 | 23.6 ± 5.3 | 20.6 ± 3.2 | 29.7 ± 3.7 | 18.1 ± 2.0 |
| BSFL-EL | 8.2 ± 1.3 | 21.7 ± 4.9 | 20.9 ± 2.6 | 26.9 ± 4.2 | 22.3 ± 2.3 |
| Chitin Source | CrI% |
|---|---|
| BSFL-IL | 71.91 ± 0.13 |
| BSFL-EL | 77.84 ± 0.08 |
| Standard Commercial | 71.10 ± 0.02 |
| Vibrational Mode | Band Position [cm−1] | |||
|---|---|---|---|---|
| Extracted Chitin | Commercial Chitin | Literature | Reference | |
| CN amide III | 1309–1311 | 1311 | 1320–1310 | [2,28,44,45] |
| δ CH3 | 1372–1376 | 1376 | 1370–1375 | [24] |
| δ + ν NH, CO | 1655–1620 1560–1548 | 1655–1620 1560 | 1620–1650 1550–1560 | [23,25,28,45] |
| ν CH glucose ring CH2OH, CH3 | 2961, 2925, 2855–2889 | 2875, 2889, 2919, 2925, 2961 | 3000–2800 | [25,28,45] |
| amide II overtone | 3102 | 3102 | 3100–3110 | [2,24] |
| ν NH | 3261 | 3261 | 3255–3270 | [2] |
| ν OH | 3478–3437 | 3478–3437 | 3280–3450 | [2,24,25,28,45] |
| Chitin Source | Peaks Intensity | DA% | ||||||
|---|---|---|---|---|---|---|---|---|
| CH3 | C1 | C2 | C3 | C4 | C5 | C6 | ||
| BSFL-IL | 11.5 | 15 | 11 | 16 | 13.5 | 19 | 14 | 78 |
| BSFL-EL | 13.5 | 15 | 14 | 13 | 14 | 18 | 12.5 | 94 |
| Commercial | 12 | 13 | 15 | 15 | 14 | 17 | 14 | 82 |
| Weight Loss % | |||
|---|---|---|---|
| Temperature Range | BSFL-IL | BSFL-EL | Standard Commercial |
| 30–150 °C | 5 | 7 | 10 |
| 200–400 °C | 75 | 72 | 70 |
| 400–700 °C | 87 | 83 | 81 |
Disclaimer/Publisher’s Note: The statements, opinions and data contained in all publications are solely those of the individual author(s) and contributor(s) and not of MDPI and/or the editor(s). MDPI and/or the editor(s) disclaim responsibility for any injury to people or property resulting from any ideas, methods, instructions or products referred to in the content. |
© 2024 by the authors. Licensee MDPI, Basel, Switzerland. This article is an open access article distributed under the terms and conditions of the Creative Commons Attribution (CC BY) license (https://creativecommons.org/licenses/by/4.0/).
Share and Cite
Marangon, A.; Paul, G.; Zaghi, R.; Marchese, L.; Gatti, G. Chitin Extracted from Black Soldier Fly Larvae at Different Growth Stages. Polymers 2024, 16, 2861. https://doi.org/10.3390/polym16202861
Marangon A, Paul G, Zaghi R, Marchese L, Gatti G. Chitin Extracted from Black Soldier Fly Larvae at Different Growth Stages. Polymers. 2024; 16(20):2861. https://doi.org/10.3390/polym16202861
Chicago/Turabian StyleMarangon, Andrea, Geo Paul, Riccardo Zaghi, Leonardo Marchese, and Giorgio Gatti. 2024. "Chitin Extracted from Black Soldier Fly Larvae at Different Growth Stages" Polymers 16, no. 20: 2861. https://doi.org/10.3390/polym16202861
APA StyleMarangon, A., Paul, G., Zaghi, R., Marchese, L., & Gatti, G. (2024). Chitin Extracted from Black Soldier Fly Larvae at Different Growth Stages. Polymers, 16(20), 2861. https://doi.org/10.3390/polym16202861

