Water-Soluble Star Polymer as a Potential Photoactivated Nanotool for Lysozyme Degradation
Abstract
1. Introduction
2. Materials and Methods
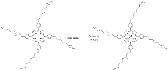
2.1. Synthesis of 5,10,15,20-Tetrakis-p-(ω-methoxy-poly-oxyethylene phenyl) Porphyrin (Star3600_2H)
2.2. Synthesis of the 5,10,15,20-Tetrakis-p-(ω-methoxy-poly-oxyethylene phenyl) Metal-Porphyrins (Star3600_Me)
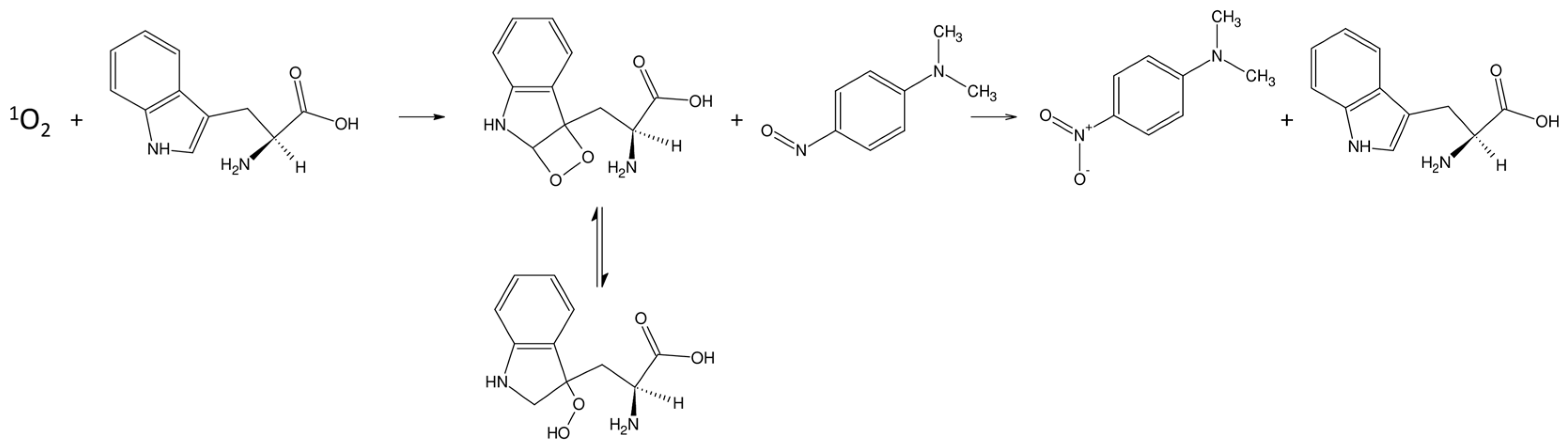
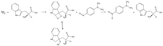
2.3. Estimation of Singlet Oxygen Production
2.4. Photodegradation Experiments
2.5. Instruments
3. Results and Discussion
3.1. Structural and Spectroscopic Characterization of Star3600_2H and Star3600_Me
3.2. Star3600_Me Estimation of Singlet Oxygen Production
3.3. Star3600_Me Sensing Properties toward Tryptophan
3.4. Tryptophan Photo-Degradation
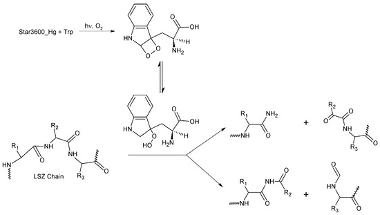
3.5. Lysozyme Recognition and Degradation with Star3600_Hg
3.6. Light Irradiation Experiments
4. Conclusions
Author Contributions
Funding
Institutional Review Board Statement
Data Availability Statement
Conflicts of Interest
References
- Kumar, R.; Singh, R.; Hui, D.; Feo, L.; Fraternali, F. Graphene as biomedical sensing element: State of art review and potential engineering applications. Compos. Part B Eng. 2018, 134, 193–206. [Google Scholar] [CrossRef]
- Hegg, E.L.; Burstyn, J.N. Toward the development of metal-based synthetic nucleases and peptidases: A rationale and progress report in applying the principles of coordination chemistry. Coord. Chem. Rev. 1998, 173, 133–165. [Google Scholar] [CrossRef]
- Buranaprapuk, A.; Kumar, C.V.; Jockusch, S.; Turro, N.J. Photochemical Protein Scissors: Role of Aromatic Residues on the Binding Affinity and Photocleavage Efficiency of Pyrenyl Peptides. Tetrahedron 2000, 56, 7019–7025. [Google Scholar] [CrossRef]
- Chowdhury, N.; Dutta, S.; Dasgupta, S.; Singh, N.D.P.; Baidya, M.; Ghosh, S.K. Synthesis, photophysical, photochemical, DNA cleavage/binding and cytotoxic properties of pyrene oxime ester conjugates. Photochem. Photobiol. Sci. 2012, 11, 1239–1250. [Google Scholar] [CrossRef]
- Vera, C.C.; Borsarelli, C.D. Photo-induced protein modifications: A range of biological consequences and applications. Biophys. Rev. 2023, 15, 569–576. [Google Scholar] [CrossRef] [PubMed]
- Kumar, C.V.; Buranaprapuk, A. Tuning the Selectivity of Protein Photocleavage: Spectroscopic and Photochemical Studies. J. Am. Chem. Soc. 1999, 121, 4262–4270. [Google Scholar] [CrossRef]
- D’Urso, A.; Holmes, A.E.; Berova, N.; Balaz, M.; Purrello, R. Z-DNA Recognition in B-Z-B Sequences by a Cationic Zinc Porphyrin. Chem. Asian J. 2011, 6, 3104–3109. [Google Scholar] [CrossRef]
- Kuroda, Y.; Kato, Y.; Higashioji, T.; Hasegawa, J.-y.; Kawanami, S.; Takahashi, M.; Shiraishi, N.; Tanabe, K.; Ogoshi, H. Chiral Amino Acid Recognition by a Porphyrin-Based Artificial Receptor. J. Am. Chem. Soc. 2002, 117, 10950–10958. [Google Scholar] [CrossRef]
- Gulino, A.; Lupo, F.; Condorelli, G.G.; Mineo, P.; Fragalà, I. Viable Synthetic Route for a Luminescent Porphyrin Monolayer Covalently Assembled on a Molecularly Engineered Si(100) Surface. Chem. Mater. 2007, 19, 5102–5109. [Google Scholar] [CrossRef]
- Altmann, A.; Eden, M.; Hüttmann, G.; Schell, C.; Rahmanzadeh, R. Porphyrin-based sensor films for monitoring food spoilage. Food Packag. Shelf Life 2023, 38, 101105. [Google Scholar] [CrossRef]
- Mineo, P.G.; Vento, F.; Abbadessa, A.; Scamporrino, E.; Nicosia, A. An optical sensor of acidity in fuels based on a porphyrin derivative. Dye. Pigment. 2019, 161, 147–154. [Google Scholar] [CrossRef]
- Micali, N.; Mineo, P.; Vento, F.; Nicosia, A.; Villari, V. Supramolecular Structures Formed in Water by Graphene Oxide and Nonionic PEGylated Porphyrin: Interaction Mechanisms and Fluorescence Quenching Effects. J. Phys. Chem. C 2019, 123, 25977–25984. [Google Scholar] [CrossRef]
- Mineo, P.G.; Abbadessa, A.; Rescifina, A.; Mazzaglia, A.; Nicosia, A.; Scamporrino, A.A. PEGylate porphyrin-gold nanoparticles conjugates as removable pH-sensor nano-probes for acidic environments. Colloids Surf. A Physicochem. Eng. Asp. 2018, 546, 40–47. [Google Scholar] [CrossRef]
- Nicosia, A.; Abbadessa, A.; Vento, F.; Mazzaglia, A.; Mineo, P.G. Silver Nanoparticles Decorated with PEGylated Porphyrins as Potential Theranostic and Sensing Agents. Materials 2021, 14, 2764. [Google Scholar] [CrossRef] [PubMed]
- Qindeel, M.; Sargazi, S.; Hosseinikhah, S.M.; Rahdar, A.; Barani, M.; Thakur, V.K.; Pandey, S.; Mirsafaei, R. Porphyrin-Based Nanostructures for Cancer Theranostics: Chemistry, Fundamentals and Recent Advances. ChemistrySelect 2021, 6, 14082–14099. [Google Scholar] [CrossRef]
- Zhang, Y.; Lovell, J.F. Porphyrins as Theranostic Agents from Prehistoric to Modern Times. Theranostics 2012, 2, 905–915. [Google Scholar] [CrossRef]
- Imran, M.; Ramzan, M.; Qureshi, A.; Khan, M.; Tariq, M. Emerging Applications of Porphyrins and Metalloporphyrins in Biomedicine and Diagnostic Magnetic Resonance Imaging. Biosensors 2018, 8, 95. [Google Scholar] [CrossRef]
- Shi, J.; Liu, T.W.B.; Chen, J.; Green, D.; Jaffray, D.; Wilson, B.C.; Wang, F.; Zheng, G. Transforming a Targeted Porphyrin Theranostic Agent into a PET Imaging Probe for Cancer. Theranostics 2011, 1, 363–370. [Google Scholar] [CrossRef]
- Nishida, K.; Tojo, T.; Kondo, T.; Yuasa, M. Evaluation of the correlation between porphyrin accumulation in cancer cells and functional positions for application as a drug carrier. Sci. Rep. 2021, 11, 2046. [Google Scholar] [CrossRef]
- Kou, J.; Dou, D.; Yang, L. Porphyrin photosensitizers in photodynamic therapy and its applications. Oncotarget 2017, 8, 81591–81603. [Google Scholar] [CrossRef]
- Avci, P.; Gupta, A.; Sadasivam, M.; Vecchio, D.; Pam, Z.; Pam, N.; Hamblin, M.R. Low-level laser (light) therapy (LLLT) in skin: Stimulating, healing, restoring. Semin. Cutan. Med. Surg. 2013, 32, 41–52. [Google Scholar] [PubMed]
- Andrade, S.M.; Teixeira, R.; Costa, S.M.B.; Sobral, A.J.F.N. Self-aggregation of free base porphyrins in aqueous solution and in DMPC vesicles. Biophys. Chem. 2008, 133, 1–10. [Google Scholar] [CrossRef] [PubMed]
- Zhou, Y.; Liang, X.; Dai, Z. Porphyrin-loaded nanoparticles for cancer theranostics. Nanoscale 2016, 8, 12394–12405. [Google Scholar] [CrossRef] [PubMed]
- Dong, X.; Chen, H.; Qin, J.; Wei, C.; Liang, J.; Liu, T.; Kong, D.; Lv, F. Thermosensitive porphyrin-incorporated hydrogel with four-arm PEG-PCL copolymer (II): Doxorubicin loaded hydrogel as a dual fluorescent drug delivery system for simultaneous imaging tracking in vivo. Drug Deliv. 2017, 24, 641–650. [Google Scholar] [CrossRef] [PubMed]
- Vinodh, M.; Alipour, F.H.; Mohamod, A.A.; Al-Azemi, T.F. Molecular Assemblies of Porphyrins and Macrocyclic Receptors: Recent Developments in Their Synthesis and Applications. Molecules 2012, 17, 11763–11799. [Google Scholar] [CrossRef]
- Gelfuso, G.M.; Figueiredo, F.V.; Gratieri, T.; Lopez, R.F.V. The Effects of pH and Ionic Strength on Topical Delivery of a Negatively Charged Porphyrin (TPPS4). J. Pharm. Sci. 2008, 97, 4249–4257. [Google Scholar] [CrossRef] [PubMed]
- Kim, T.; Ham, S.; Lee, S.H.; Hong, Y.; Kim, D. Enhancement of exciton transport in porphyrin aggregate nanostructures by controlling the hierarchical self-assembly. Nanoscale 2018, 10, 16438–16446. [Google Scholar] [CrossRef]
- Dixon, D.W.; Steullet, V. Dimerization of tetracationic porphyrins: Ionic strength dependence. J. Inorg. Biochem. 1998, 69, 25–32. [Google Scholar] [CrossRef]
- Parker, J.E.; Thomas, R.J.; Morisson, D.; Brancaleon, L. Combination of Resonance Raman Spectroscopy and Docking Simulations to Study the Nonspecific Binding of a Free-Base Porphyrin to a Globular Protein. J. Phys. Chem. B 2012, 116, 11032–11040. [Google Scholar] [CrossRef]
- Villari, V.; Micali, N.; Nicosia, A.; Mineo, P. Water-Soluble Non-Ionic PEGylated Porphyrins: A Versatile Category of Dyes for Basic Science and Applications. Top. Curr. Chem. 2021, 379, 35. [Google Scholar] [CrossRef]
- Nicosia, A.; Vento, F.; Marletta, G.; Messina, G.; Satriano, C.; Villari, V.; Micali, N.; De Martino, M.; Schotman, M.; Mineo, P. Porphyrin-Based Supramolecular Flags in the Thermal Gradients’ Wind: What Breaks the Symmetry, How and Why. Nanomaterials 2021, 11, 1673. [Google Scholar] [CrossRef] [PubMed]
- Gajda, E.; Bugla-Płoskońska, G. Lysozyme—Occurrence in nature, biological properties and possible applications. Postępy Hig. Med. Doświadczalnej 2014, 68, 1501–1515. [Google Scholar] [CrossRef] [PubMed]
- Leśnierowski, G.; Yang, T. Lysozyme and its modified forms: A critical appraisal of selected properties and potential. Trends Food Sci. Technol. 2021, 107, 333–342. [Google Scholar] [CrossRef]
- Masschalck, B.; Michiels, C.W. Antimicrobial Properties of Lysozyme in Relation to Foodborne Vegetative Bacteria. Crit. Rev. Microbiol. 2008, 29, 191–214. [Google Scholar] [CrossRef] [PubMed]
- Nicosia, A.; Vento, F.; Satriano, C.; Villari, V.; Micali, N.; Cucci, L.M.; Sanfilippo, V.; Mineo, P.G. Light-Triggered Polymeric Nanobombs for Targeted Cell Death. ACS Appl. Nano Mater. 2020, 3, 1950–1960. [Google Scholar] [CrossRef]
- Mosinger, J.; Mička, Z. Quantum yields of singlet oxygen of metal complexes of meso-tetrakis(sulphonatophenyl) porphine. J. Photochem. Photobiol. A Chem. 1997, 107, 77–82. [Google Scholar] [CrossRef]
- Bahr, U.; Stahl-Zeng, J.; Gleitsmann, E.; Karas, M. Delayed extraction time-of-flight MALDI mass spectrometry of proteins above 25000 Da. J. Mass Spectrom. 1997, 32, 1111–1116. [Google Scholar] [CrossRef]
- Scamporrino, E.; Maravigna, P.; Vitalini, D.; Mineo, P. A new procedure for quantitative correction of matrix-assisted laser desorption/ionization time-of-flight mass spectrometric response. Rapid Commun. Mass Spectrom. 1998, 12, 646–650. [Google Scholar] [CrossRef]
- Menges, F. Spectragryph—Optical Spectroscopy Software, version 1.2.16.1; Dr. F. Menges: Oberstdorf, Germany, 2019; Available online: https://www.effemm2.de/spectragryph/ (accessed on 25 September 2023).
- Valicsek, Z.; Lendvay, G.; Horváth, O. Equilibrium, Photophysical, Photochemical, and Quantum Chemical Examination of Anionic Mercury(II) Mono- and Bisporphyrins. J. Phys. Chem. B 2008, 112, 14509–14524. [Google Scholar] [CrossRef]
- Spellane, P.J.; Gouterman, M.; Antipas, A.; Kim, S.; Liu, Y.C. Porphyrins. 40. Electronic spectra and four-orbital energies of free-base, zinc, copper, and palladium tetrakis(perfluorophenyl)porphyrins. Inorg. Chem. 2002, 19, 386–391. [Google Scholar] [CrossRef]
- Jeong, H.-G.; Choi, M.-S. Design and Properties of Porphyrin-based Singlet Oxygen Generator. Isr. J. Chem. 2016, 56, 110–118. [Google Scholar] [CrossRef]
- Ogilby, P.R. Singlet oxygen: There is indeed something new under the sun. Chem. Soc. Rev. 2010, 39, 3181–3209. [Google Scholar] [CrossRef] [PubMed]
- Zhao, Q.; Wang, Y.; Xu, Y.; Yan, Y.; Huang, J. Out-of-Plane Coordinated Porphyrin Nanotubes with Enhanced Singlet Oxygen Generation Efficiency. Sci. Rep. 2016, 6, 31339. [Google Scholar] [CrossRef] [PubMed]
- Schlachter, A.; Asselin, P.; Harvey, P.D. Porphyrin-Containing MOFs and COFs as Heterogeneous Photosensitizers for Singlet Oxygen-Based Antimicrobial Nanodevices. ACS Appl. Mater. Interfaces 2021, 13, 26651–26672. [Google Scholar] [CrossRef] [PubMed]
- Schmitt, J.; Heitz, V.; Sour, A.; Bolze, F.; Ftouni, H.; Nicoud, J.F.; Flamigni, L.; Ventura, B. Diketopyrrolopyrrole-Porphyrin Conjugates with High Two-Photon Absorption and Singlet Oxygen Generation for Two-Photon Photodynamic Therapy. Angew. Chem. 2014, 127, 171–175. [Google Scholar] [CrossRef]
- Farinone, M.; Urbańska, K.; Pawlicki, M. BODIPY- and Porphyrin-Based Sensors for Recognition of Amino Acids and Their Derivatives. Molecules 2020, 25, 4523. [Google Scholar] [CrossRef] [PubMed]
- Travagliante, G.; Gaeta, M.; Purrello, R.; D’Urso, A. Recognition and Sensing of Chiral Organic Molecules by Chiral Porphyrinoids: A Review. Chemosensors 2021, 9, 204. [Google Scholar] [CrossRef]
- Huang, X.; Nakanishi, K.; Berova, N. Porphyrins and metalloporphyrins: Versatile circular dichroic reporter groups for structural studies. Chirality 2000, 12, 237–255. [Google Scholar] [CrossRef]
- Borovkov, V. Supramolecular Chirality in Porphyrin Chemistry. Symmetry 2014, 6, 256–294. [Google Scholar] [CrossRef]
- Pescitelli, G.; Di Bari, L.; Berova, N. Application of electronic circular dichroism in the study of supramolecular systems. Chem. Soc. Rev. 2014, 43, 5211–5233. [Google Scholar] [CrossRef]
- Gracanin, M.; Hawkins, C.L.; Pattison, D.I.; Davies, M.J. Singlet-oxygen-mediated amino acid and protein oxidation: Formation of tryptophan peroxides and decomposition products. Free Radic. Biol. Med. 2009, 47, 92–102. [Google Scholar] [CrossRef] [PubMed]
- Wilkinson, F.; Helman, W.P.; Ross, A.B. Quantum Yields for the Photosensitized Formation of the Lowest Electronically Excited Singlet State of Molecular Oxygen in Solution. J. Phys. Chem. Ref. Data 1993, 22, 113–262. [Google Scholar] [CrossRef]
- Zhang, Y.; Görner, H. Photooxidation of lysozyme or serum albumin bound to meso-tetra-arylporphyrins. Dye. Pigment. 2011, 90, 163–169. [Google Scholar] [CrossRef]
- Sreerama, N.; Venyaminov, S.Y.; Woody, R.W. Estimation of Protein Secondary Structure from Circular Dichroism Spectra: Inclusion of Denatured Proteins with Native Proteins in the Analysis. Anal. Biochem. 2000, 287, 243–251. [Google Scholar] [CrossRef]
- Holzwarth, G.; Doty, P. The Ultraviolet Circular Dichroism of Polypeptides1. J. Am. Chem. Soc. 2002, 87, 218–228. [Google Scholar] [CrossRef]
- Komorek, P.; Wałek, M.; Jachimska, B. Mechanism of lysozyme adsorption onto gold surface determined by quartz crystal microbalance and surface plasmon resonance. Bioelectrochemistry 2020, 135, 107582. [Google Scholar] [CrossRef]
- Kang, Y.-Q.; Zhao, C.; Chen, A.-Z.; Wang, S.-B.; Liu, Y.-G.; Wu, W.-G.; Su, X.-Q. Study of Lysozyme-Loaded Poly-L-Lactide (PLLA) Porous Microparticles in a Compressed CO2 Antisolvent Process. Materials 2013, 6, 3571–3583. [Google Scholar] [CrossRef]
- Saburova, E.A.; Tikhonenko, S.A.; Dybovskaya, Y.N.; Sukhorukov, B.I. Changes in the Activity and Structure of Urease in the Interaction with Polyelectrolytes. Russ. J. Phys. Chem. 2014, 82, 468–474. [Google Scholar] [CrossRef]
- Li, Y.; Koopal, L.K.; Chen, Y.; Shen, A.; Tan, W. Conformational modifications of lysozyme caused by interaction with humic acid studied with spectroscopy. Sci. Total Environ. 2021, 768, 144858. [Google Scholar] [CrossRef]
- Greenfield, N.J.; Fasman, G.D. Computed circular dichroism spectra for the evaluation of protein conformation. Biochemistry 2002, 8, 4108–4116. [Google Scholar] [CrossRef]
- Clennan, E.L.; Wang, D.; Clifton, C.; Chen, M.F. Geometry-Dependent Quenching of Singlet Oxygen by Dialkyl Disulfides. J. Am. Chem. Soc. 1997, 119, 9081–9082. [Google Scholar] [CrossRef]
- Jiang, S.; Carroll, L.; Rasmussen, L.M.; Davies, M.J. Oxidation of protein disulfide bonds by singlet oxygen gives rise to glutathionylated proteins. Redox Biol. 2021, 38, 101822. [Google Scholar] [CrossRef] [PubMed]
- Lushchak, V.I. Free radical oxidation of proteins and its relationship with functional state of organisms. Biochemistry 2007, 72, 809–827. [Google Scholar] [CrossRef] [PubMed]
- Stadtman, E.R.; Levine, R.L. Free radical-mediated oxidation of free amino acids and amino acid residues in proteins. Amino Acids 2003, 25, 207–218. [Google Scholar] [CrossRef]
- Bellmaine, S.; Schnellbaecher, A.; Zimmer, A. Reactivity and degradation products of tryptophan in solution and proteins. Free Radic. Biol. Med. 2020, 160, 696–718. [Google Scholar] [CrossRef]














| Photosensitizer | Quantum Yield |
|---|---|
| TPPS | 0.62 |
| Star3600_2H | 0.34 |
| Star3600_Zn | 1.38 |
| Star3600_Sn | 0.94 |
| Star3600_Hg | 0.31 |
| Star3600_Rh | 0.31 |
| Star3600_Er | 0.25 |
| Photosensitizer | ΦRed | ΦGreen |
|---|---|---|
| TPPS [53] | 0.33 | 0.50 |
| Star3600_2H | 0.21 | 0.24 |
| Star3600_Hg | 0.22 | 0.60 |
| Label | Molecular Mass Range | Residue | Residue Amount (%) |
|---|---|---|---|
| a | 1655 | R5 + 2W | >1 |
| b | 1840–2170 Da | R4R5 + 2W, R4R5 + 3W, R5R6 + W | 1 |
| c | 2560–3850 Da | R4R5R6 + 2W, R4R5R6 + 3W, R1, R1 + W, R2, R2 + W | 7 |
| d | 4870–5480 Da | R3 + 2W, R3R4 + 2W, R3 + 3W, R3R4 + 3W, R3R4 + 4W | 2 |
| e | 6860–7650 Da | R1R2 + W, R3R4R5 + 5W, R1R2 + 2W, R3R4R5R6 + 3W, R1R2 + 3W, R3R4R5R6 + 4W, R3R4R5R6 + 5W.Pristine lysozyme (double charge) | 7 |
| f | 10,650–11,740 Da | R2R3R4R5 + 5W, R2R3R4R5 + 6W, R2R3R4R5R6 + 6W. | 3 |
| g | 11,740–12,350 Da | R1R2R3 + 3W, R1R2R3 + 4W, R1R2R3R4 + 4W, R1R2R3R4R5 + 5W | 10 |
| LSZ | 14,400 Da | Pristine lysozyme | 69 |
Disclaimer/Publisher’s Note: The statements, opinions and data contained in all publications are solely those of the individual author(s) and contributor(s) and not of MDPI and/or the editor(s). MDPI and/or the editor(s) disclaim responsibility for any injury to people or property resulting from any ideas, methods, instructions or products referred to in the content. |
© 2024 by the authors. Licensee MDPI, Basel, Switzerland. This article is an open access article distributed under the terms and conditions of the Creative Commons Attribution (CC BY) license (https://creativecommons.org/licenses/by/4.0/).
Share and Cite
Mezzina, L.; Nicosia, A.; Barone, L.; Vento, F.; Mineo, P.G. Water-Soluble Star Polymer as a Potential Photoactivated Nanotool for Lysozyme Degradation. Polymers 2024, 16, 301. https://doi.org/10.3390/polym16020301
Mezzina L, Nicosia A, Barone L, Vento F, Mineo PG. Water-Soluble Star Polymer as a Potential Photoactivated Nanotool for Lysozyme Degradation. Polymers. 2024; 16(2):301. https://doi.org/10.3390/polym16020301
Chicago/Turabian StyleMezzina, Lidia, Angelo Nicosia, Laura Barone, Fabiana Vento, and Placido Giuseppe Mineo. 2024. "Water-Soluble Star Polymer as a Potential Photoactivated Nanotool for Lysozyme Degradation" Polymers 16, no. 2: 301. https://doi.org/10.3390/polym16020301
APA StyleMezzina, L., Nicosia, A., Barone, L., Vento, F., & Mineo, P. G. (2024). Water-Soluble Star Polymer as a Potential Photoactivated Nanotool for Lysozyme Degradation. Polymers, 16(2), 301. https://doi.org/10.3390/polym16020301

