Dynamic Behavior of Rubber Fiber-Reinforced Expansive Soil under Repeated Freeze–Thaw Cycles
Abstract
1. Introduction
2. Materials and Methods
2.1. Test Materials
2.2. Sample Preparation
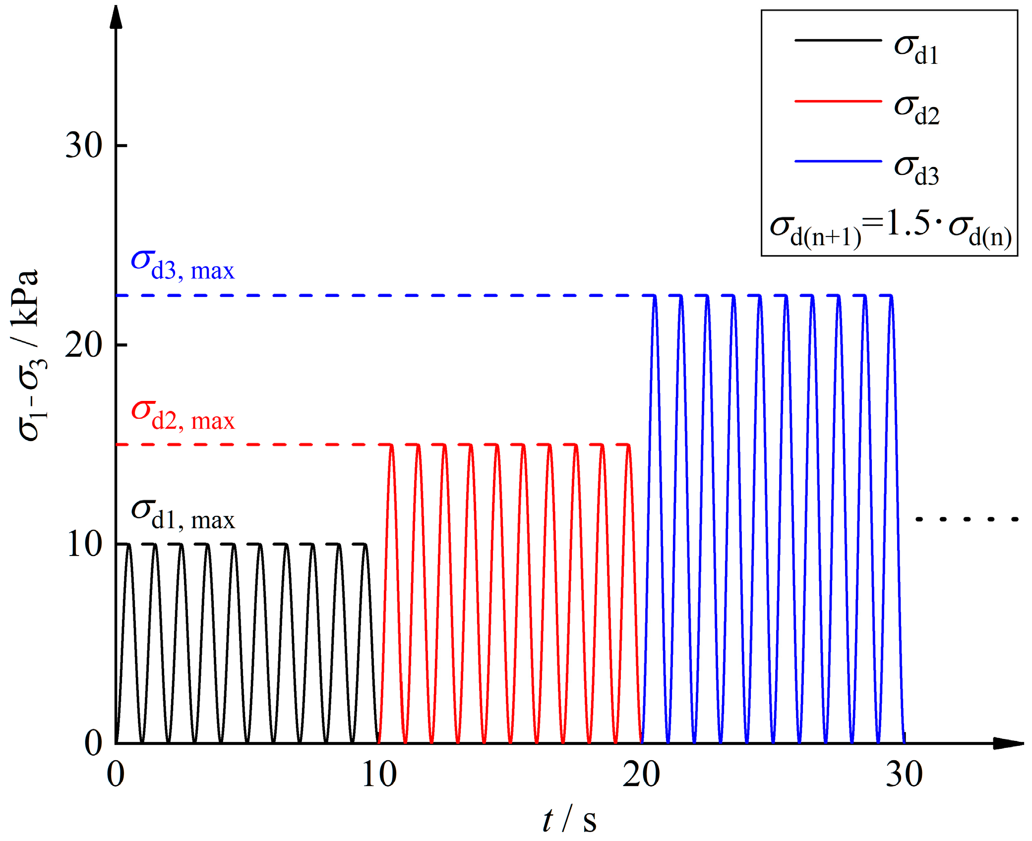
2.3. Test Scheme
3. Results and Discussion
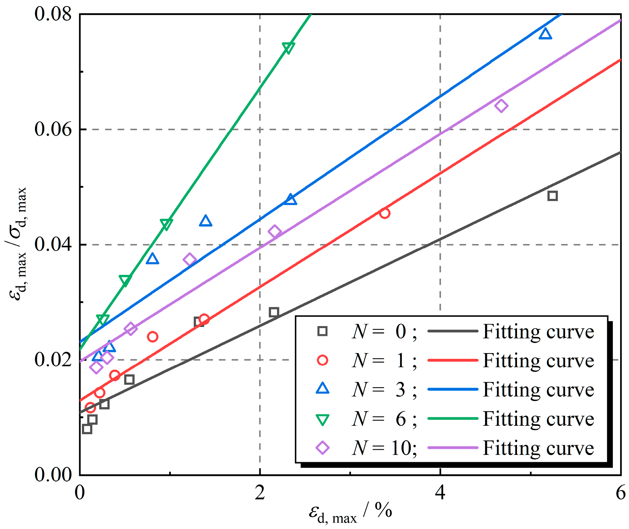
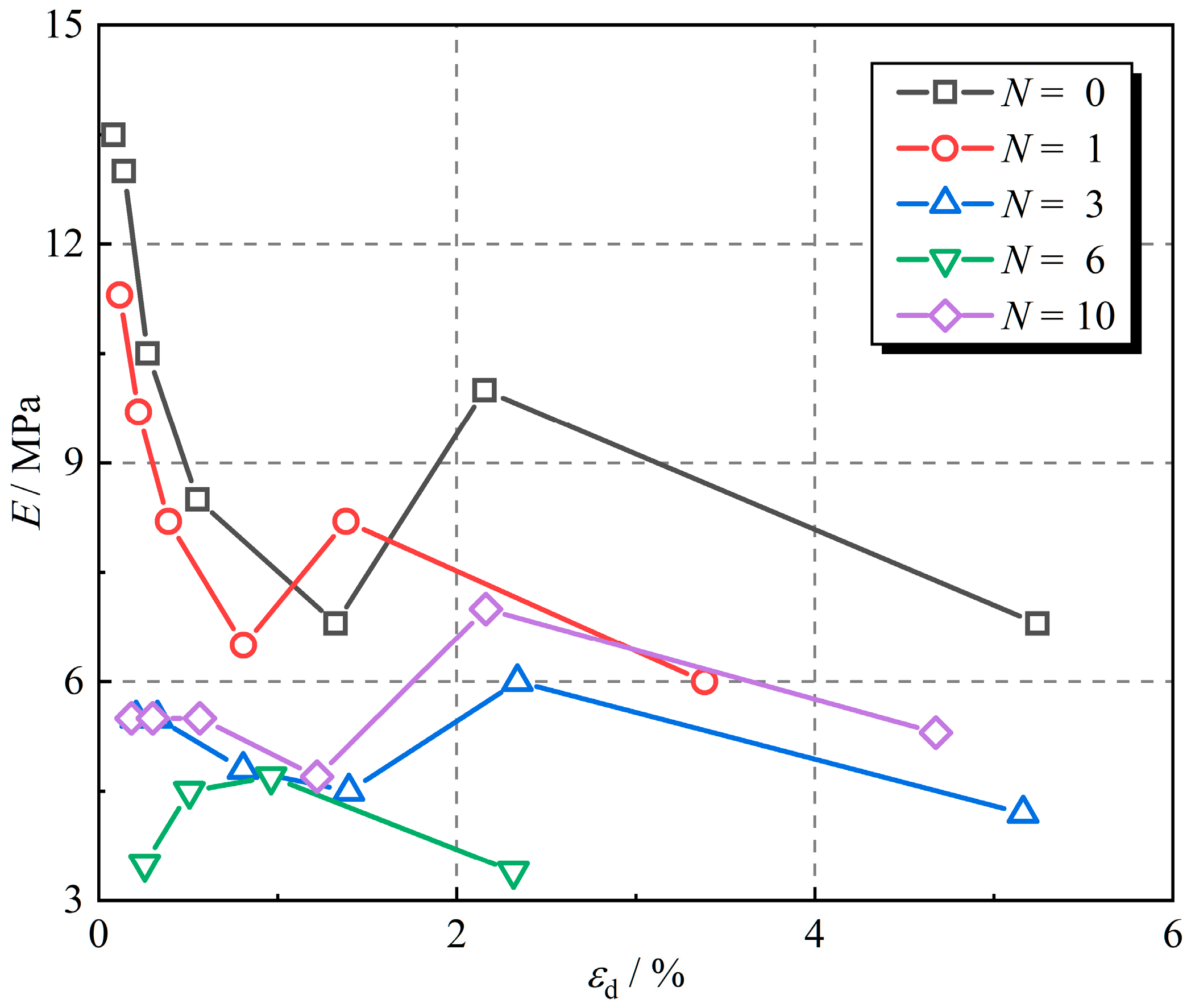
3.1. Effect of Freeze–Thaw Cycles on the Backbone Curve and Dynamic Elastic Modulus
3.2. Model Describing the Backbone Curve of Rubber Fiber-Reinforced Expansive Soil
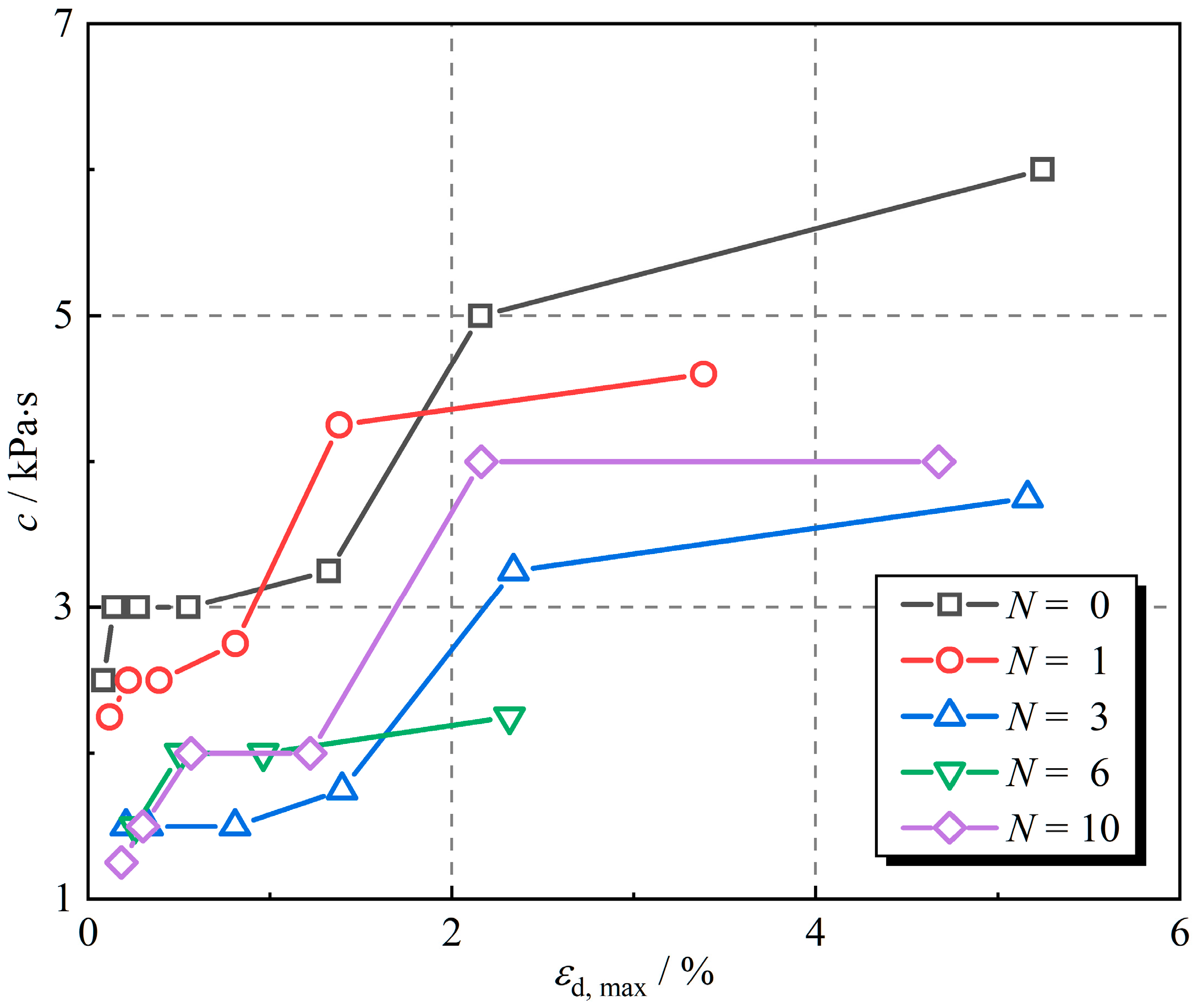
3.3. Effect of Freeze–Thaw Cycles on Hysteretic Curves
4. Stress–Strain Curves under Dynamic Loading
5. Conclusions
- (1)
- The dynamic stress amplitude and dynamic elastic modulus of rubber fiber-reinforced expansive soil decreased and then increased with the increase in the number of freeze–thaw cycles and reached the minimum value at the 6th freeze–thaw cycle. The dynamic stress amplitude and dynamic elastic modulus decreased by 59.4% and 52.2%, respectively, at the 6th freeze–thaw cycle. The dynamic elastic modulus of rubber fiber-reinforced expansive soil decreases gradually with the increase in dynamic strain amplitude. The data analysis demonstrated the appropriateness of employing a hyperbolic model to describe the backbone curve of rubber fiber-reinforced expansive soil.
- (2)
- The damping ratio of rubber fiber-reinforced expansive soil increases and then decreases with the increase in the number of freeze–thaw cycles and reaches the maximum value at the 6th freeze–thaw cycle. The damping ratio increased by 99.8% at the 6th freeze–thaw cycle, whereas the damping ratio increases gradually with the increase in dynamic stress amplitude. The test results indicate the appropriateness of employing the linear visco-elastic model to describe the hysteretic curve of rubber fiber-reinforced expansive soil. The elastic modulus of the linear elastic element and the viscosity coefficient of the linear viscous element decrease and then increase with the increase in the number of freeze–thaw cycles, and reach the minimum value at the 6th freeze–thaw cycle.
- (3)
- The calculation method of the dynamic stress–dynamic strain curve of rubber fiber-reinforced expansive soil was established. The statistical analysis shows that the established calculation method can better describe the dynamic stress–dynamic strain behavior of rubber fiber-reinforced expansive soil.
Author Contributions
Funding
Institutional Review Board Statement
Data Availability Statement
Conflicts of Interest
References
- Zhou, Z.W.; Ma, W.; Zhang, S.J.; Mu, Y.H.; Li, G.Y. Effect of freeze-thaw cycles in mechanical behaviors of frozen loess. Cold Reg. Sci. Technol. 2018, 146, 9–18. [Google Scholar] [CrossRef]
- Wang, T.L.; Liu, Y.J.; Yan, H.; Xu, L. An experimental study on the mechanical properties of silty soils under repeated freeze-thaw cycles. Cold Reg. Sci. Technol. 2015, 112, 51–65. [Google Scholar] [CrossRef]
- Lu, J.A.; Sun, B.Y.; Ren, F.P.; Li, H.; Jiao, X.Y. Effect of Freeze-Thaw Cycles on Soil Detachment Capacities of Three Loamy Soils on the Loess Plateau of China. Water 2021, 13, 342. [Google Scholar] [CrossRef]
- Tang, L.Y.; Li, G.; Li, Z.; Jin, L.; Yang, G.S. Shear properties and pore structure characteristics of soil-rock mixture under freeze-thaw cycles. Bull. Eng. Geol. Environ. 2021, 80, 3233–3249. [Google Scholar] [CrossRef]
- Wang, C.; Chen, J.; Chen, L.L.; Sun, Y.; Xie, Z.L.; Yin, G.A.; Liu, M.H.; Li, A.Y. Experimental and Modeling of Residual Deformation of Soil-Rock Mixture under Freeze-Thaw Cycles. Appl. Sci. 2022, 12, 8224. [Google Scholar] [CrossRef]
- Tang, L.Y.; Sun, S.Y.; Zheng, J.G.; Jin, L.; Yu, Y.T.; Luo, T.; Duan, X. Pore evolution and shear characteristics of a soil-rock mixture upon freeze-thaw cycling. Res. Cold Arid. Reg. 2023, 15, 179–190. [Google Scholar] [CrossRef]
- Qiu, K.C.; Ding, L.; Yu, W.B.; Chen, K.Z.; Huang, S.; Gao, K. Experimental Investigation of Shear Strength of Carbonate Saline Soil under Freeze-Thaw Cycles. Atmosphere 2022, 13, 2063. [Google Scholar] [CrossRef]
- Han, M.X.; Peng, W.; Ma, B.; Yu, Q.B.; Kasama, K.; Furukawa, Z.; Niu, C.C.; Wang, Q. Micro-composition evolution of the undisturbed saline soil undergoing different freeze-thaw cycles. Cold Reg. Sci. Technol. 2023, 210, 103825. [Google Scholar] [CrossRef]
- Cheng, S.K.; Wang, Q.; Wang, J.Q.; Han, Y. Effects of freeze-thaw cycle on mechanical properties of saline soil and Duncan-Chang model. Geomech. Eng. 2024, 38, 249–260. [Google Scholar] [CrossRef]
- Ding, S.J.; Li, S.M.; Kong, S.; Li, Q.Y.; Yang, T.H.; Nie, Z.B.; Zhao, G.W. Changing of mechanical property and bearing capacity of strongly chlorine saline soil under freeze-thaw cycles. Sci. Rep. 2024, 14, 6203. [Google Scholar] [CrossRef]
- Yang, Z.N.; Zhang, L.; Ling, X.Z.; Li, G.Y.; Tu, Z.B.; Shi, W. Experimental study on the dynamic behavior of expansive soil in slopes under freeze-thaw cycles. Cold Reg. Sci. Technol. 2019, 163, 27–33. [Google Scholar] [CrossRef]
- Cui, G.H.; Liu, Z.Q.; Ma, S.X.; Cheng, Z. Dynamic characteristics of carbonate saline soil under freeze-thaw cycles in the seaonal frozen soil region. Alex. Eng. J. 2023, 81, 384–394. [Google Scholar] [CrossRef]
- Yang, J.T. The Impact of Urbanization Process on Civil Car Ownership in China. In Advances in Social Science, Education and Humanities Research, Proceedings of the 5th Annual International Conference on Social Science and Contemporary Humanity Development (SSCHD), Wuhan, China, 15–16 November 2019; Atlantis Press: Amsterdam, The Netherlands; pp. 612–617.
- Ferdous, W.; Manalo, A.; Siddique, R.; Mendis, P.; Yan, Z.G.; Wong, H.S.; Lokuge, W.; Aravinthan, T.; Schubel, P. Recycling of landfill wastes (tyres, plastics and glass) in construction—A review on global waste generation, performance, application and future opportunities. Resour. Conserv. Recycl. 2021, 173, 105745. [Google Scholar] [CrossRef]
- Dobrota, D.; Dobrota, G.; Dobrescu, T. Improvement of waste tyre recycling technology based on a new tyre markings. J. Clean Prod. 2020, 260, 121141. [Google Scholar] [CrossRef]
- Tian, X.L.; Zhuang, Q.X.; Han, S.; Li, S.M.; Liu, H.C.; Li, L.; Zhang, J.X.; Wang, C.S.; Bian, H.G. A novel approach of reapplication of carbon black recovered from waste tyre pyrolysis to rubber composites. J. Clean Prod. 2021, 280, 124460. [Google Scholar] [CrossRef]
- Han, W.W.; Han, D.S.; Chen, H.B. Pyrolysis of Waste Tires: A Review. Polymers 2023, 15, 1604. [Google Scholar] [CrossRef]
- Mavukwana, A.E.; Fox, J.A.; Sempuga, B.C. Waste tyre to electricity: Thermodynamics analysis. J. Environ. Chem. Eng. 2020, 8, 103831. [Google Scholar] [CrossRef]
- Samesová, D.; Ponist, J.; Hybská, H.; Pochyba, A.; Schwarz, M.; Salva, J. Determination of aerobic and anaerobic biological degradability of waste tyres. Environ. Sci. Eur. 2023, 35, 19. [Google Scholar] [CrossRef]
- Qu, B.Y.; Li, A.M.; Qu, Y.; Wang, T.; Zhang, Y.; Wang, X.; Gao, Y.; Fu, W.; Ji, G.Z. Kinetic analysis of waste tire pyrolysis with metal oxide and zeolitic catalysts. J. Anal. Appl. Pyrolysis 2020, 152, 104949. [Google Scholar] [CrossRef]
- Zhou, Y.; Zhu, G.Q.; Yu, X.F.; Pan, R.L.; Chu, T.W.; Liang, Z.H. The flame development process and thermal radiation of tire stacks in a large-scale experiment. J. Therm. Anal. Calorim. 2022, 147, 2481–2494. [Google Scholar] [CrossRef]
- Raudonyte-Svirbutaviciene, E.; Stakeniene, R.; Joksas, K.; Valiulis, D.; Bycenkiene, S.; Zarkov, A. Distribution of polycyclic aromatic hydrocarbons and heavy metals in soil following a large tire fire incident: A case study. Chemosphere 2022, 286, 131556. [Google Scholar] [CrossRef] [PubMed]
- Cuevas, J.; Gonzalez-Santamaria, D.E.; Garcia-Delgado, C.; Ruiz, A.; Garralon, A.; Ruiz, A.I.; Fernandez, R.; Eymar, E.; Jimenez-Ballesta, R. Impact of a tire fire accident on soil pollution and the use of clay minerals as natural geo-indicators. Environ. Geochem. Health 2020, 42, 2147–2161. [Google Scholar] [CrossRef]
- Mentes, D.; Toth, C.E.; Nagy, G.; Muranszky, G.; Poliska, C. Investigation of gaseous and solid pollutants emitted from waste tire combustion at different temperatures. Waste Manag. 2022, 149, 302–312. [Google Scholar] [CrossRef] [PubMed]
- Bulei, C.; Todor, M.P.; Heput, T.; Kiss, I. Directions for material recovery of used tires and their use in the production of new products intended for the industry of civil construction and pavements. IOP Conf. Ser. Mater. Sci. Eng. 2018, 294, 012064. [Google Scholar] [CrossRef]
- Zheng, D.H.; Cheng, J.; Wang, X.L.; Yu, G.Q.; Xu, R.N.; Dai, C.N.; Liu, N.; Wang, N.; Chen, B.H. Influences and mechanisms of pyrolytic conditions on recycling BTX products from passenger car waste tires. Waste Manage. 2023, 169, 196–207. [Google Scholar] [CrossRef] [PubMed]
- Waldron, L. The shear resistance of root-permeated homogeneous and stratified soil. Soil Sci. Soc. Am. J. 1977, 41, 843–849. [Google Scholar] [CrossRef]
- Mehrjardi, G.T.; Fuentes, R.; Detert, O. Mechanical characteristics of geogrids produced from recycled polyester. Geosynth. Int. 2024, ahead of print. 1–26. [Google Scholar] [CrossRef]
- Reddy, A.R.; Singh, K.L. Performance of Pavement Subgrade Using Fly ash Stabilized Peat Soil Reinforced with Nylon Fiber. Int. J. Pavement Res. Technol. 2024, 17, 1059–1071. [Google Scholar] [CrossRef]
- Akbarimehr, D.; Eslami, A.; Esmail, A. Geotechnical behaviour of clay soil mixed with rubber waste. J. Clean Prod. 2020, 271, 122632. [Google Scholar] [CrossRef]
- Akbarimehr, D.; Fakharian, K. Dynamic shear modulus and damping ratio of clay mixed with waste rubber using cyclic triaxial apparatus. Soil Dyn. Earthq. Eng. 2021, 140, 106435. [Google Scholar] [CrossRef]
- Bahadori, H.; Farzalizadeh, R. Dynamic Properties of Saturated Sands Mixed with Tyre Powders and Tyre Shreds. Int. J. Civ. Eng. 2018, 16, 395–408. [Google Scholar] [CrossRef]
- Jaramillo, N.A.D.; Ferreira, J.W.D.; Malko, J.A.C.; Casagrande, M.D. Mechanical Behavior of Clayey Soil Reinforced with Recycled Tire Rubber Using Chips and Fibers. Geotech. Geol. Eng. 2022, 40, 3365–3378. [Google Scholar] [CrossRef]
- D2487-17; Standard Practice for Classification of Soils for Engineering Purposes (Unified Soil Classification System). ASTM International: West Conshohocken, PA, USA, 2017. [CrossRef]
- Prakash, K.; Sridharan, A. Free swell ratio and clay mineralogy of fine-grained soils. Geotech. Test. J. 2004, 27, 220–225. [Google Scholar] [CrossRef]
- D698-12; Standard Test Method for Laboratory Compaction Characteristics of Soil Using Standard Effort. ASTM International: West Conshohocken, PA, USA, 2021. [CrossRef]
- D2216-19; Standard Test Methods for Laboratory Determination of Water (Moisture) Content of Soil and Rock by Mass. ASTM International: West Conshohocken, PA, USA, 2019. [CrossRef]
- D4318-17e1; Standard Test Methods for Liquid Limit, Plastic Limit, and Plasticity Index of Soils. ASTM International: West Conshohocken, PA, USA, 2017. [CrossRef]
- D854-14; Standard Test Methods for Specific Gravity of Soil Solids by Water Pycnometer. ASTM International: West Conshohocken, PA, USA, 2014. [CrossRef]
- D7928-17; Standard Test Method for Particle-Size Distribution (Gradation) of Fine-Grained Soils Using the Sedimentation (Hydrometer) Analysis. ASTM International: West Conshohocken, PA, USA, 2017. [CrossRef]
- D4452; Standard Practice for X-Ray Radiography of Soil Samples. ASTM International: West Conshohocken, PA, USA, 2014. [CrossRef]
- Correia, N.S.; Rocha, S.A.; Lodi, P.C.; McCartney, J.S. Shear strength behavior of clayey soil reinforced with polypropylene fibers under drained and undrained conditions. Geotext. Geomembr. 2021, 49, 1419–1426. [Google Scholar] [CrossRef]
- Estabragh, A.R.; Bordbar, A.T.; Javadi, A.A. Mechanical Behavior of a Clay Soil Reinforced with Nylon Fibers. Geotech. Geol. Eng. 2011, 29, 899–908. [Google Scholar] [CrossRef]
- Wang, D.-Y.; Ma, W.; Niu, Y.-H.; Chang, X.-X.; Wen, Z. Effects of cyclic freezing and thawing on mechanical properties of Qinghai–Tibet clay. Cold Reg. Sci. Technol. 2007, 48, 34–43. [Google Scholar] [CrossRef]
- Thevakumar, K.; Indraratna, B.; Ferreira, F.B.; Carter, J.; Rujikiatkamjorn, C. The influence of cyclic loading on the response of soft subgrade soil in relation to heavy haul railways. Transp. Geotech. 2021, 29, 100571. [Google Scholar] [CrossRef]
- Lu, Y.; Liu, S.H.; Weng, L.P.; Wang, L.J.; Li, Z.; Xu, L. Fractal analysis of cracking in a clayey soil under freeze-thaw cycles. Eng. Geol. 2016, 208, 93–99. [Google Scholar] [CrossRef]
- Luo, Z.L.; Zheng, Y.J.; Zhang, X.; Wang, L.H.; Gao, Y.; Liu, K.X.; Han, S.J. Effect of Phase Change Materials on Mechanical Properties of Stabilized Loess Subgrade Subjected to Freeze-Thaw Cycle. J. Mater. Civ. Eng. 2023, 35, 04023217. [Google Scholar] [CrossRef]
- Li, T.G.; Kong, L.W.; Guo, A.G. The deformation and microstructure characteristics of expansive soil under freeze-thaw cycles with loads. Cold Reg. Sci. Technol. 2021, 192, 103393. [Google Scholar] [CrossRef]
- Hardin, B.O.; Drnevich, V.P. Shear Modulus and Damping in Soils: Measurement and Parameter Effects (Terzaghi Leture). J. Soil Mech. Found. Div. 1972, 98, 603–624. [Google Scholar] [CrossRef]














| Soil Parameters | Results | Reference Standards | |
|---|---|---|---|
| Maximum dry density | 1.858 g/cm3 | ASTM D698-12 [36] | |
| Optimum moisture content | 15.71% | ||
| Natural moisture content | 6.06% | ASTM D2216-19 [37] | |
| Liquid limit | 57.9% | ASTM D4318-17e1 [38] | |
| Plastic limit | 22.3% | ||
| Free swelling ratio | 71% | Prakash et al. (2004) [35] | |
| Specific gravity (ds) | 2.72 | ASTM D854-14 [39] | |
| Coefficient of uniformity (Cu) | 9.3 | ASTM D7928-17 [40] | |
| Mineral content | Quartz | 60.6% | ASTM D4452 [41] |
| Montmorillonite | 20.8% | ||
| Calcite | 14.4% | ||
| Albite | 4.2% | ||
| N | a | b | R2 | σd, ult/kPa | Ed, ult/MPa | εd, r/% |
|---|---|---|---|---|---|---|
| 0 | 0.01084 | 0.00753 | 0.94 | 132.80 | 9.23 | 1.44 |
| 1 | 0.01291 | 0.00987 | 0.97 | 101.32 | 7.75 | 1.31 |
| 3 | 0.02310 | 0.01066 | 0.93 | 93.81 | 4.33 | 2.17 |
| 6 | 0.02181 | 0.02270 | 0.99 | 44.05 | 4.59 | 0.96 |
| 10 | 0.01971 | 0.00987 | 0.96 | 101.32 | 5.07 | 2.00 |
| N | k | R2 |
|---|---|---|
| 0 | 0.00170 | 0.98 |
| 1 | 0.00207 | 0.99 |
| 3 | 0.00261 | 0.98 |
| 6 | 0.00468 | 0.99 |
| 10 | 0.00236 | 0.99 |
Disclaimer/Publisher’s Note: The statements, opinions and data contained in all publications are solely those of the individual author(s) and contributor(s) and not of MDPI and/or the editor(s). MDPI and/or the editor(s) disclaim responsibility for any injury to people or property resulting from any ideas, methods, instructions or products referred to in the content. |
© 2024 by the authors. Licensee MDPI, Basel, Switzerland. This article is an open access article distributed under the terms and conditions of the Creative Commons Attribution (CC BY) license (https://creativecommons.org/licenses/by/4.0/).
Share and Cite
Sun, Z.; Wang, R.; Yang, Z.; Lv, J.; Shi, W.; Ling, X. Dynamic Behavior of Rubber Fiber-Reinforced Expansive Soil under Repeated Freeze–Thaw Cycles. Polymers 2024, 16, 2817. https://doi.org/10.3390/polym16192817
Sun Z, Wang R, Yang Z, Lv J, Shi W, Ling X. Dynamic Behavior of Rubber Fiber-Reinforced Expansive Soil under Repeated Freeze–Thaw Cycles. Polymers. 2024; 16(19):2817. https://doi.org/10.3390/polym16192817
Chicago/Turabian StyleSun, Zhenxing, Rongchang Wang, Zhongnian Yang, Jianhang Lv, Wei Shi, and Xianzhang Ling. 2024. "Dynamic Behavior of Rubber Fiber-Reinforced Expansive Soil under Repeated Freeze–Thaw Cycles" Polymers 16, no. 19: 2817. https://doi.org/10.3390/polym16192817
APA StyleSun, Z., Wang, R., Yang, Z., Lv, J., Shi, W., & Ling, X. (2024). Dynamic Behavior of Rubber Fiber-Reinforced Expansive Soil under Repeated Freeze–Thaw Cycles. Polymers, 16(19), 2817. https://doi.org/10.3390/polym16192817
