Preparation and Characterization of Graphene Oxide/Carbon Nanotube/Polyaniline Composite and Conductive and Anticorrosive Properties of Its Waterborne Epoxy Composite Coatings
Abstract
1. Introduction
2. Materials and Methods
2.1. Materials
2.2. Preparation of Acidified Carbon Nanotubes (Ac-CNT)
2.3. Preparation of Graphene Oxide (GO)
2.4. Preparation of CNT/PANI Nanocomposites
2.5. Preparation of GO/CNT/PANI Nanocomposites
2.6. Coating Preparation
2.7. Characterization
3. Results and Discussions
3.1. Microstructure Analysis
3.1.1. FT-IR Analysis
3.1.2. XRD Analysis
3.2. Morphology Analysis
3.3. Dispersion Stability
3.3.1. The Aggregation and Sedimentation Process
3.3.2. Morphology of Composite Coating
3.4. Contact Angle
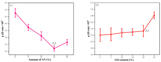
3.5. Resistivity Measurement
3.6. Mechanical Performances Measurement
3.7. Antiorrosion Tests
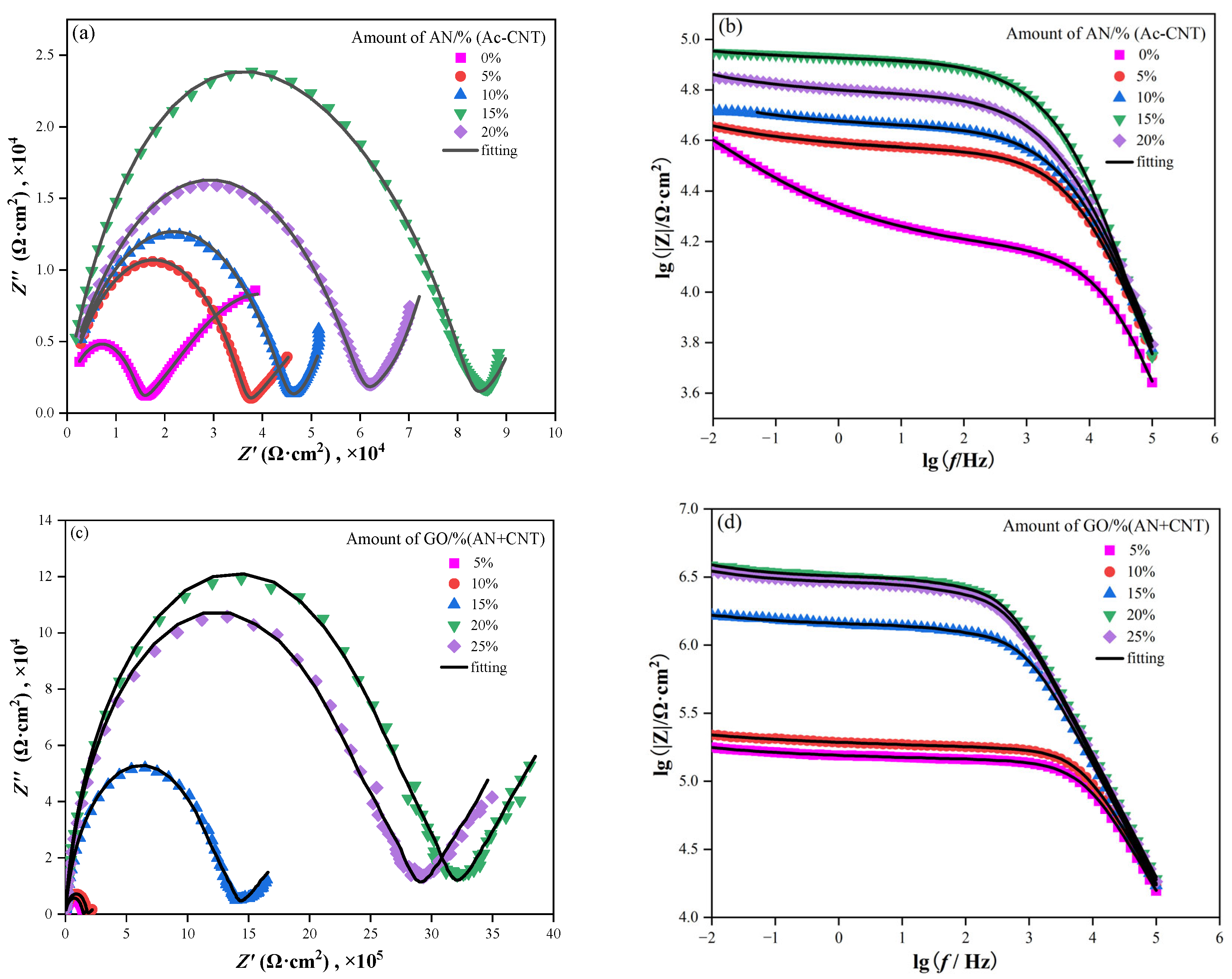
3.7.1. The Electrochemical Impedance Spectroscopy
3.7.2. Potentiodynamic Polarization Curves
3.7.3. Salt Spray Test
3.8. Corrosion Protection Mechanism
4. Conclusions
Supplementary Materials
Author Contributions
Funding
Institutional Review Board Statement
Informed Consent Statement
Data Availability Statement
Conflicts of Interest
References
- Sill, T.E.; Zaheer, W.; Valdes, C.G.; Balcorta, V.H.; Douglas, L.D.; Fletcher, T.; Steiger, S.; Spinner, N.S.; Verkhoturov, S.V.; Kalyanaraman, V.; et al. Mechanistic Origins of Corrosion Protection of Aluminum Alloys by Graphene/Polyetherimide Nanocomposite Coatings. NPJ Mater. Degrad. 2023, 7, 35. [Google Scholar] [CrossRef]
- Randis, R.; Darmadi, D.B.; Gapsari, F.; As Ad Sonief, A.; Akpan, E.D.; Ebenso, E.E. The Potential of Nanocomposite-Based Coatings for Corrosion Protection of Metals. J. Mol. Liq. 2023, 390, 123067. [Google Scholar] [CrossRef]
- Ai, Y.F.; Xia, L.; Pang, F.Q.; Xu, Y.L.; Jian, R.K. Mechanically Strong and Flame-Retardant Epoxy Resins with Anti-Corrosion Performance. Compos. Part B-Eng. 2020, 193, 108019. [Google Scholar] [CrossRef]
- Lithner, D.; Nordensvan, I.; Dave, G. Comparative Acute Toxicity of Leachates from Plastic Products Made of Polypropylene, Polyethylene, PVC, Acrylonitrile-Butadiene-Styrene, and Epoxy to Daphnia Magna. Environ. Sci. Pollut. 2012, 19, 1763–1772. [Google Scholar] [CrossRef]
- Mantel, T.; Benne, P.; Ernst, M. Electrically Conducting Duplex-Coated Gold-PES-UF Membrane for Capacitive Organic Fouling Mitigation and Rejection Enhancement. J. Membr. 2021, 620, 118831. [Google Scholar] [CrossRef]
- Liu, Y.; Xia, J.; Lin, J. Characterization and Conductive Property of Polyurushiol/Silver Conductive Coatings Prepared under UV Irradiation. Pro. Org. Coat. 2011, 71, 117–120. [Google Scholar] [CrossRef]
- Zhang, X.M.; Yang, X.L.; Wang, B. Electrical Properties of Electrically Conductive Adhesives from Epoxy and Silver-Coated Copper Powders after Sintering and Thermal Aging. Int. J. Adhes. Adhes. 2021, 105, 102785. [Google Scholar] [CrossRef]
- Bai, Y.X.; Jin, X.L.; Xie, J.Q.; Lv, X.; Guo, T.T.; Zhang, L.; Zhu, J.; Shao, Y.Y.; Zhang, H.P.; Zhang, H.; et al. Fabrication of a Conductive Additive for the Anticorrosion Enhancement of Zinc-Rich Epoxy Coatings. Coatings 2022, 12, 1406. [Google Scholar] [CrossRef]
- Izumi, T.; Izumi, K.; Kuroiwa, N.; Senjuh, A.; Fujimoto, A.; Adachi, M.; Yamamoto, T.A. Preparation of Electrically Conductive Nano-Powder of Zinc Oxide and Application to Transparent Film Coating. J. Alloys Compd. 2009, 480, 123–125. [Google Scholar] [CrossRef]
- Hu, K.; Liu, S.; Lei, J.; Zhou, C. Dispersion and Resistivity Optimization of Conductive Carbon Black in Environment-Friendly Conductive Coating Based on Acrylic Resin. Polym. Compos. 2015, 36, 467–474. [Google Scholar] [CrossRef]
- Zhu, H.X.; Chang, L.; Fu, K.K.; Li, Y. Dual Conductive Network of Nickel-Coated Carbon Fiber Woven Fabric for Indirect and Direct Lightning Strike Protection of Carbon Fiber Reinforced Polymer Composites. Polym. Compos. 2022, 43, 4437–4446. [Google Scholar] [CrossRef]
- Rafiei Hashjin, R.; Ranjbar, Z.; Yari, H. Modeling of Electrical Conductive Graphene Filled Epoxy Coatings. Prog. Org. Coat. 2018, 125, 411–419. [Google Scholar] [CrossRef]
- Pilch-Pitera, B.; Czachor, D.; Kowalczyk, K.; Pavlova, E.; Wojturski, J.; Florczak, Ł.; Byczyński, Ł. Conductive Polyurethane-Based Powder Clear Coatings Modified with Carbon Nanotubes. Prog. Org. Coat. 2019, 137, 105367. [Google Scholar] [CrossRef]
- Wang, X.H.; Tang, Q.; Mu, Y.H.; Li, C.Q. Preparation of PANI-PVA Composite Conductive Coatings Doped with Different Acid. Adv. Polym. 2017, 36, 502–506. [Google Scholar] [CrossRef]
- Kasisomayajula, S.V.; Jadhav, N.; Gelling, V.J. Investigation on Mechanical and Conductive Properties of Polypyrrole/UV Cured Acrylate Nanocomposite Coatings. Prog. Org. Coat. 2021, 154, 106190. [Google Scholar] [CrossRef]
- Dreyer, D.R.; Park, S.; Bielawski, C.W.; Ruoff, R.S. The Chemistry of Graphene Oxide. Chem. Soc. Rev. 2009, 39, 229–240. [Google Scholar] [CrossRef]
- Gao, W.; Alemany, L.B.; Ci, L.; Ajayan, P.M. New Insights into the Structure and Reduction of Graphite Oxide. Nat. Chem. 2009, 1775, 4330. [Google Scholar] [CrossRef]
- Abakah, R.; Huang, F.; Hu, Q.; Wang, Y.C.; Liu, J. Comparative Study of Corrosion Properties of Different Graphene Nanoplate/Epoxy Composite Coatings for Enhanced Surface Barrier Protection. Coatings 2021, 11, 2079–6412. [Google Scholar] [CrossRef]
- Xu, D.; Xuan, C.; Li, X.; Luo, Z.; Wang, Z.; Tang, T.; Wen, J.; Li, M.; Xiao, J. Novel Helical Carbon Nanotubes-Embedded Reduced Graphene Oxide in Three-Dimensional Architecture for High-Performance Flexible Supercapacitors. Electrochim. Acta 2020, 339, 135912. [Google Scholar] [CrossRef]
- Chen, M.; Zhang, L.; Duan, S.; Jing, S.; Jiang, H.; Li, C. Highly Stretchable Conductors Integrated with a Conductive Carbon Nanotube/Graphene Network and 3D Porous Poly(dimethylsiloxane). Adv. Funct. Mater. 2014, 24, 7548–7556. [Google Scholar] [CrossRef]
- Song, E.; Choi, J. Conducting Polyaniline Nanowire and Its Applications in Chemiresistive Sensing. Nanomaterials 2013, 3, 498–523. [Google Scholar] [CrossRef] [PubMed]
- Xu, J.; Yao, P.; Jiang, Z.; Liu, H.; Li, X.; Liu, L.; Li, M.; Zheng, Y. Preparation, Morphology, and Properties of Conducting Polyaniline-Grafted Multiwalled Carbon Nanotubes/Epoxy Composites. Appl. Polym. Symp. 2012, 125, E334–E341. [Google Scholar] [CrossRef]
- Marcano, D.C.; Kosynkin, D.V.; Berlin, J.M.; Sinitskii, A.; Sun, Z.; Slesarev, A.S.; Alemany, L.B.; Lu, W.; Tour, J.M. Improved Synthesis of Graphene Oxide. ACS Nano 2010, 48, 4806–4814. [Google Scholar] [CrossRef] [PubMed]
- GB/T 6742-2007; Paints and Varnishes–Bend Test (Cylindrical Mandrel). China National Standardization Administration Committee: Beijing, China, 2007.
- GB/T 9286-2021; Paints and Varnishes–Cross-Cut Test. China National Standardization Administration Committee: Beijing, China, 2021.
- GB/T 6739-2006; Paints and Varnishes–Determination of Film Hardness by Pencil Test. China National Standardization Administration Committee: Beijing, China, 2006.
- GB/T 1732-1993; Paints and Varnishes–Determination of Impact Resistance of Film. China National Standardization Administration Committee: Beijing, China, 1993.
- Kar, P.K.; Choudhury, A. Carboxylic Acid Functionalized Multi-Walled Carbon Nanotube Doped Polyaniline for Chloroform Sensors. Sensor. Actuat. B-Chem. 2013, 183, 25–33. [Google Scholar] [CrossRef]
- Nayak, S.R.; Mohana, K.N.; Hegde, M.B.; Rajitha, K.; Madhusudhana, A.M.; Naik, S.R. Functionalized Multi-Walled Carbon Nanotube/Polyindole Incorporated Epoxy: An Effective Anti-Corrosion Coating Material for Mild Steel. J. Alloy Compd. 2021, 856, 158057. [Google Scholar] [CrossRef]
- Mutalib, T.N.; Tan, S.J.; Foo, K.L.; Liew, Y.M.; Heah, C.Y.; Abdullah, M.M. Properties of Polyaniline/Graphene Oxide (PANI/GO) Composites: Effect of GO Loading. Polym. Bull. 2020, 78, 4835–4847. [Google Scholar] [CrossRef]
- Hatchett, D.W.; Josowicz, M.; Janata, J. Acid Doping of Polyaniline: Spectroscopic and Electrochemical Studies. Phys. Chem. Part. B 1999, 103, 10992–10998. [Google Scholar] [CrossRef]
- Li, Y.; Yan, Q.; Wang, Y.; Li, Y.; Zhu, M.; Cheng, K.; Ye, K.; Zhu, K.; Yan, J.; Cao, D.; et al. Polyaniline Coated 3D Crosslinked Carbon Nanosheets for High-Energy-Density Supercapacitors. Appl. Surf. Sci. 2019, 493, 506–513. [Google Scholar] [CrossRef]
- Moradi, M.; Vasseghian, Y.; Khataee, A.; Khataee, A.; Harati, M.; Arfaeinia, H. Ultrasound-Assisted Synthesis of FeTiO3/GO Nanocomposite for Photocatalytic Degradation of Phenol under Visible Light Irradiation. Sep. Purif. Technol. 2021, 261, 118274. [Google Scholar] [CrossRef]
- Payami, E.; Aghaiepour, A.; Rahimpour, K.; Mohammadi, R.; Teimuri-Mofrad, R. Design and Synthesis of Ternary Go-Fc/Mn3O4/PANI Nanocomposite for Energy Storage Applications. Alloy Compd. 2020, 829, 154485. [Google Scholar] [CrossRef]
- Yang, S.; Zhu, S.; Hong, R. Graphene Oxide/Polyaniline Nanocomposites Used in Anticorrosive Coatings for Environmental Protection. Coatings 2020, 10, 1215. [Google Scholar] [CrossRef]
- Tian, X.; Zhang, S.; Ma, Y.; Luo, Y.; Xu, F.; Chen, Y. Preparation and Vapor-Sensitive Properties of Hydroxyl-Terminated Polybutadiene Polyurethane Conductive Polymer Nanocomposites Based on Polyaniline-Coated Multiwalled Carbon Nanotubes. Nanotechnology 2020, 31, 195504. [Google Scholar] [CrossRef] [PubMed]
- El-Sharkaway, E.A.; Kamel, R.M.; El-Sherbiny, I.M.; Gharib, S.S. Removal of Methylene Blue from Aqueous Solutions Using Polyaniline/Graphene Oxide or Polyaniline/Reduced Graphene Oxide Composites. Environ. Technol. 2020, 41, 2854–2862. [Google Scholar] [CrossRef] [PubMed]
- Gao, F.; Luo, Y.F.; Xu, J.H.; Du, X.S.; Wang, H.B.; Cheng, X.; Du, Z.L. Preparation of Graphene Oxide-Based Polyaniline Composites with Synergistic Anticorrosion Effect for Waterborne Polyurethane Anticorrosive Coatings. Prog. Org. Coat. 2021, 156, 106233. [Google Scholar] [CrossRef]
- Tian, L.; Meziani, M.; Lu, F.; Kong, C.Y.; Cao, L.; Thorne, T.J.; Sun, Y. Graphene Oxides for Homogeneous Dispersion of Carbon Nanotubes. Acs. Appl. Mater. Inter. 2010, 11, 3217–3222. [Google Scholar] [CrossRef] [PubMed]
- Ding, G.; Zhang, N.; Wang, C.; Li, X.; Zhang, J.; Li, W.; Li, R.; Yang, Z. Effect of the Size on the Aggregation and Sedimentation of Graphene Oxide in Seawaters with Different Salinities. J. Nanopart. Res. Res. 2018, 20, 313. [Google Scholar] [CrossRef]
- Chang, K.; Ji, W.F.; Lai, M.; Hsiao, Y.R.; Hsu, C.; Chuang, T.L.; Wei, Y.; Yeh, J.; Liu, W. Synergistic Effects of Hydrophobicity and Gas Barrier Properties on the Anticorrosion Property of Pmma Nanocomposite Coatings Embedded with Graphene Nanosheets. Polym. Chem. 2014, 5, 1049–1056. [Google Scholar] [CrossRef]
- Mohd Nurazzi, N.; Asyraf, M.R.; Khalina, A.; Abdullah, N.; Sabaruddin, F.A.; Kamarudin, S.H.; Ahmad, S.; Mahat, A.M.; Lee, C.L.; Aisyah, H.A.; et al. Fabrication, Functionalization, and Application of Carbon Nanotube-Reinforced Polymer Composite. Polymers 2021, 13, 1047. [Google Scholar] [CrossRef]
- Doh, J.; Yang, Q.; Raghavan, N. Reliability-Based Robust Design Optimization of Polymer Nanocomposites to Enhance Percolated Electrical Conductivity Considering Correlated input Variables Using Multivariate Distributions. Polymers 2020, 186, 122060. [Google Scholar] [CrossRef]
- Pandey, G.; Thostenson, E.T. Carbon Nanotube-Based Multifunctional Polymer Nanocomposites. Polym. Rev. 2012, 52, 355–416. [Google Scholar] [CrossRef]
- Tan, H.; Xu, X. Conductive Properties and Mechanism of Various Polymers Doped with Carbon Nanotube/Polyaniline Hybrid Nanoparticles. Compos. Sci. Technol. 2016, 128, 155–160. [Google Scholar] [CrossRef]
- Zhang, Y.; Tian, J.; Zhong, J.; Shi, X. Thin Nacre-Biomimetic Coating with Super-Anticorrosion Performance. ACS Nano 2018, 12, 10189–10200. [Google Scholar] [CrossRef] [PubMed]
- Hu, X.; Zhang, Y.; Liu, C.; Cui, H. Polydopamine Wrapped Polyaniline Nanosheets: Synthesis and Anticorrosion Application for Waterborne Epoxy Coatings. J. Mater. Sci. Technol. 2023, 176, 155–166. [Google Scholar] [CrossRef]
- Zhou, S.; Yan, J.; Yan, H.; Zhang, Y.; Huang, J.; Zhao, G.; Liu, Y. ZrO2-Anchored RGO Nanohybrid for Simultaneously Enhancing the Wear Resistance and Anticorrosion Performance of Multifunctional Epoxy Coatings. Prog. Org. Coat. 2022, 166, 106795. [Google Scholar] [CrossRef]
- Liu, T.; Wei, J.; Ma, L.; Liu, S.; Zhang, D.; Zhao, H. Effect of Polyaniline-Based Plate on the Anticorrosion Performance of Epoxy Coating. Prog. Org. Coat. 2021, 151, 106109. [Google Scholar] [CrossRef]
- Coroş, M.; Varodi, C.; Pogacean, F.; Gál, E.; Pruneanu, S.M. Nitrogen-Doped Graphene: The Influence of Doping Level on the Charge-Transfer Resistance and Apparent Heterogeneous Electron Transfer Rate. Sensors 2020, 20, 1815. [Google Scholar] [CrossRef]
- Um, J.G.; Jun, Y.; Alhumade, H.; Krithivasan, H.; Lui, G.; Yu, A. Investigation of the Size Effect of Graphene Nano-Platelets (Gnps) on the Anti-Corrosion Performance of Polyurethane/GnP Composites. RSC Adv. 2018, 8, 17091–17100. [Google Scholar] [CrossRef]
- Li, C.; Xu, J.; Xu, Q.; Xue, G.; Yu, H.N.; Wang, X.; Lu, J.; Cui, G.; Gu, G. Synthesis of Ti3C2 Mxene@PANI Composites for Excellent Anticorrosion Performance of Waterborne Epoxy Coating. Prog. Org. Coat. 2022, 165, 106673. [Google Scholar] [CrossRef]
- Zhang, M.; Yu, X.; Sheng, M.; Chen, H.; Chen, B. Preparation of a Mussel-Inspired Supramolecular Polymer Coating Containing Graphene Oxide on Magnesium Alloys with Anti-Corrosion and Self-Healing Properties. Int. J. Mol. Sci. 2023, 24, 4981. [Google Scholar] [CrossRef]
- Fu, C.; Sun, G.; Wang, C.; Wei, B.; Ran, G.; Song, Q. Fabrication of Nitrogen-Doped Graphene Nanosheets Anchored with Carbon Nanotubes for the Degradation of Tetracycline in Saline Water. Environ. Res. 2022, 206, 112242. [Google Scholar] [CrossRef]
- Situ, Y.; Ji, W.F.; Liu, C.; Xu, J.; Huang, H. Synergistic Effect of Homogeneously Dispersed PANI-TiN Nanocomposites Towards Long-Term Anticorrosive Performance of Epoxy Coatings. Prog. Org. Coat. 2019, 130, 158–167. [Google Scholar] [CrossRef]
- Mccafferty, E. Validation of Corrosion Rates Measured by the Tafel Extrapolation Method. Corros. Sci. 2006, 47, 3202–3215. [Google Scholar] [CrossRef]
- Chen, L.; Su, R.K. Corrosion Rate Measurement by Using Polarization Resistance Method for Microcell and Macrocell Corrosion: Theoretical Analysis and Experimental Work with Simulated Concrete Pore Solution. Constr. Build. Mater. 2021, 267, 121003. [Google Scholar] [CrossRef]
- Xia, Y.; Zhang, N.; Zhou, Z.D.; Chen, C.; Wu, Y.; Zhong, F.; Lv, Y.; He, Y. Incorporating SiO2 Functionalized g-C3N4 Sheets to Enhance Anticorrosion Performance of Waterborne Epoxy. Prog. Org. Coat. 2020, 147, 145678. [Google Scholar] [CrossRef]
- Peng, C.; Hsu, C.; Lin, K.; Li, P.; Hsieh, M.; Wei, Y.; Yeh, J.; Yu, Y. Electrochemical Corrosion Protection Studies of Aniline-Capped Aniline Trimer-Based Electroactive Polyurethane Coatings. Electrochim. Acta 2011, 58, 614–620. [Google Scholar] [CrossRef]
- He, Y.; Chen, C.; Guo, X.; Fei, Z.; Wu, Y.; He, Z. Improved Corrosion Protection of Waterborne Epoxy/Graphene Coating by Combining Non-Covalent and Covalent Bonds. React. Funct. Polym. 2019, 137, 104–115. [Google Scholar] [CrossRef]
- Zhou, W.; Wang, S.L.; Sang, Y.; Zhang, C.; Liang, T.; Liu, Q.; Fan, Y.; Zhao, X.; Cao, X. Synthesis of h-BN Modified GO to Improve the Corrosion Resistance of the Water-Borne Epoxy Coating for Hot-Dip Galvanized Steel. Mater. Lett. 2021, 285, 129136. [Google Scholar] [CrossRef]
- Kumar, M.S.; Yasoda, K.Y.; Batabyal, S.K.; Kothurkar, N.K. Carbon-Polyaniline Nanocomposites as Supercapacitor Materials. Mater. Res. Express. 2018, 5, 045505. [Google Scholar] [CrossRef]
- Wang, N.; Zhang, Y.; Chen, J.; Zhang, J.; Fang, Q. Dopamine Modified Metal-Organic Frameworks on Anti-Corrosion Properties of Waterborne Epoxy Coatings. Prog. Org. Coat. 2017, 109, 126–134. [Google Scholar] [CrossRef]
- Liu, S.; Gu, L.; Zhao, H.; Chen, J.; Yu, H. Corrosion Resistance of Graphene-Reinforced Waterborne Epoxy Coatings. J. Mater. Sci. Technol. 2016, 32, 425–431. [Google Scholar] [CrossRef]
- Wang, X.; Lu, J.; Li, J.; Jing, X.; Wang, F. Solvent-Free Polyaniline Coating for Corrosion Prevention of Metal. ACS Symp. Ser. 2003, 843, 254–267. [Google Scholar]
- Gupta, T.K.; Singh, B.P.; Mathur, R.B.; Dhakate, S.R. Multi-Walled Carbon Nanotube-Graphene-Polyaniline Multiphase Nanocomposite with Superior Electromagnetic Shielding Effectiveness. Nanoscale 2014, 6, 842–851. [Google Scholar] [CrossRef]

















| Samples | A1 | A2 | A3 | A4 | A5 | A6 | A7 | A8 | A9 | A10 | A11 |
|---|---|---|---|---|---|---|---|---|---|---|---|
| CNT/g | 0.02 | 0.04 | 0.06 | 0.08 | 0.10 | 0.12 | 0.14 | 0.16 | 0.18 | 0.20 | 0.24 |
| WEP/g | 4.0 | 4.0 | 4.0 | 4.0 | 4.0 | 4.0 | 4.0 | 4.0 | 4.0 | 4.0 | 4.0 |
| CNT/WEP/% | 0.5 | 1.0 | 1.5 | 2.0 | 2.5 | 3.0 | 3.5 | 4.0 | 4.5 | 5.0 | 6.0 |
| Samples | B1 | B2 | B3 | B4 | C1 | C2 | C3 | C4 | C5 |
|---|---|---|---|---|---|---|---|---|---|
| CNT/g | 0.133 | 0.127 | 0.122 | 0.117 | 0.116 | 0.111 | 0.106 | 0.101 | 0.097 |
| AN/g | 0.007 | 0.013 | 0.018 | 0.023 | 0.017 | 0.017 | 0.016 | 0.015 | 0.015 |
| GO/g | - | - | - | - | 0.007 | 0.013 | 0.018 | 0.023 | 0.028 |
| WEP/g | 4.0 | 4.0 | 4.0 | 4.0 | 4.0 | 4.0 | 4.0 | 4.0 | 4.0 |
| AN/CNT/% | 5.0 | 10.0 | 15.0 | 20.0 | 15.0 | 15.0 | 15.0 | 15.0 | 15.0 |
| GO/(AN + CNT)/% | - | - | - | - | 5.0 | 10.0 | 15.0 | 20.0 | 25.0 |
| Fillers/WEP/% | 3.5 | 3.5 | 3.5 | 3.5 | 3.5 | 3.5 | 3.5 | 3.5 | 3.5 |
| Samples | WEP | CNT/WEP | CNT/PANI/WEP | GO/CNT/PANI/WEP |
|---|---|---|---|---|
| Flexibility/mm | 3 | 10 | 10 | 5 |
| Pencil hardness (level) | 2H | 3H | 3H | 2H |
| Adhesion (level) | 1 | 1 | 1 | 0 |
| Impact resistance/cm | 50 | 40 | 40 | 50 |
| Sample | GO/% | Rs/Ω·cm2 | Rct/Ω·cm2 | CPE1 | Rp/Ω·cm2 | CPE2 | ||
|---|---|---|---|---|---|---|---|---|
| Y0/Ω·cm−2·sn | n | Y0/Ω·cm−2·sn | n | |||||
| C1 | 5 | 2.82 × 102 | 9.37 × 104 | 6.32 × 10−10 | 0.89 | 4.80 × 104 | 6.67 × 10−9 | 0.76 |
| C2 | 10 | 3.24 × 102 | 1.72 × 105 | 5.36 × 10−10 | 0.87 | 1.40 × 105 | 2.72 × 10−5 | 0.29 |
| C3 | 15 | 2.78 × 101 | 1.15 × 106 | 5.16 × 10−10 | 0.73 | 2.31 × 105 | 5.16 × 10−8 | 0.90 |
| C4 | 20 | 2.40 × 101 | 2.61 × 106 | 2.63 × 10−10 | 0.92 | 5.13 × 105 | 3.27 × 10−8 | 0.78 |
| C5 | 25 | 2.46 × 101 | 2.31 × 106 | 2.95 × 10−10 | 0.91 | 4.12 × 105 | 3.07 × 10−8 | 0.77 |
| Sample | ba | bc | Ecorr/V | Icorr/A·cm−2 | CR/mm·a−1 | Rp/Ω·cm2 | PE/% |
|---|---|---|---|---|---|---|---|
| Bare steel | 1.83 | 0.12 | −0.953 | 1.24 × 10−4 | 9.59 × 10−1 | 3.99 × 102 | - |
| WEP | 0.84 | 0.44 | −0.670 | 3.73 × 10−6 | 2.88 × 10−2 | 3.38 × 104 | 77.39 |
| CNT/WEP | 0.41 | 0.28 | −0.363 | 6.32 × 10−7 | 4.89 × 10−3 | 1.14 × 105 | 96.17 |
| CNT/PANI/WEP | 0.32 | 0.28 | −0.356 | 9.67 × 10−8 | 7.40 × 10−4 | 6.99 × 105 | 99.41 |
| GO/CNT/PANI/WEP | 0.34 | 0.35 | −0.180 | 4.53 × 10−8 | 3.50 × 10−4 | 1.65 × 106 | 99.72 |
| Sample | GO/% | ba | bc | Ecorr/V | Icorr/A·cm−2 | CR/mm·a−1 | Rp/Ω·cm2 | PE/% |
|---|---|---|---|---|---|---|---|---|
| Bare steel | - | 1.83 | 0.12 | −0.953 | 1.24 × 10−4 | 9.59 × 10−1 | 3.99 × 102 | - |
| C1 | 5 | 0.55 | 0.47 | −0.344 | 8.50 × 10−7 | 6.57 × 10−3 | 1.29 × 105 | 94.85 |
| C2 | 10 | 0.52 | 0.46 | −0.265 | 7.93 × 10−7 | 6.13 × 10−3 | 1.34 × 105 | 95.19 |
| C3 | 15 | 0.45 | 0.43 | −0.218 | 4.81 × 10−7 | 3.72 × 10−3 | 1.99 × 105 | 97.08 |
| C4 | 20 | 0.34 | 0.35 | −0.180 | 4.53 × 10−8 | 3.50 × 10−4 | 1.65 × 106 | 99.72 |
| C5 | 25 | 0.34 | 0.36 | −0.214 | 2.81 × 10−7 | 2.17 × 10−3 | 2.72 × 105 | 98.29 |
Disclaimer/Publisher’s Note: The statements, opinions and data contained in all publications are solely those of the individual author(s) and contributor(s) and not of MDPI and/or the editor(s). MDPI and/or the editor(s) disclaim responsibility for any injury to people or property resulting from any ideas, methods, instructions or products referred to in the content. |
© 2024 by the authors. Licensee MDPI, Basel, Switzerland. This article is an open access article distributed under the terms and conditions of the Creative Commons Attribution (CC BY) license (https://creativecommons.org/licenses/by/4.0/).
Share and Cite
Li, Y.; Liu, S.; Feng, F.; Li, Y.; Han, Y.; Tong, X.; Gao, X. Preparation and Characterization of Graphene Oxide/Carbon Nanotube/Polyaniline Composite and Conductive and Anticorrosive Properties of Its Waterborne Epoxy Composite Coatings. Polymers 2024, 16, 2641. https://doi.org/10.3390/polym16182641
Li Y, Liu S, Feng F, Li Y, Han Y, Tong X, Gao X. Preparation and Characterization of Graphene Oxide/Carbon Nanotube/Polyaniline Composite and Conductive and Anticorrosive Properties of Its Waterborne Epoxy Composite Coatings. Polymers. 2024; 16(18):2641. https://doi.org/10.3390/polym16182641
Chicago/Turabian StyleLi, Yufeng, Shibo Liu, Feng Feng, Yiming Li, Yahui Han, Xinyang Tong, and Xiaohui Gao. 2024. "Preparation and Characterization of Graphene Oxide/Carbon Nanotube/Polyaniline Composite and Conductive and Anticorrosive Properties of Its Waterborne Epoxy Composite Coatings" Polymers 16, no. 18: 2641. https://doi.org/10.3390/polym16182641
APA StyleLi, Y., Liu, S., Feng, F., Li, Y., Han, Y., Tong, X., & Gao, X. (2024). Preparation and Characterization of Graphene Oxide/Carbon Nanotube/Polyaniline Composite and Conductive and Anticorrosive Properties of Its Waterborne Epoxy Composite Coatings. Polymers, 16(18), 2641. https://doi.org/10.3390/polym16182641
