Self-Assembly of Hydrophobic Hyperbranched PLMA Homopolymer with –COOH End Groups as Effective Nanocarriers for Bioimaging Applications
Abstract
1. Introduction
2. Materials and Methods
2.1. Materials
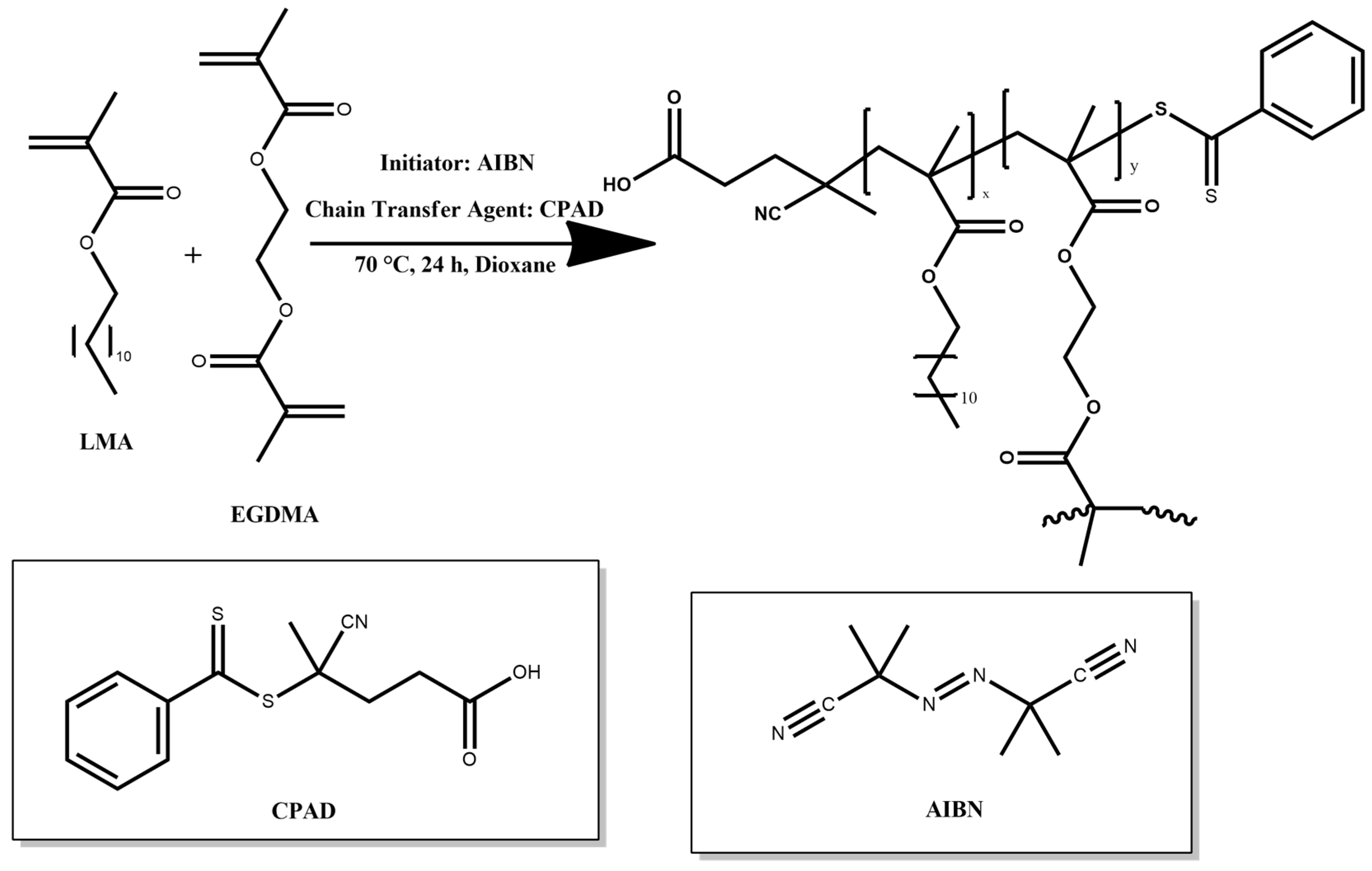
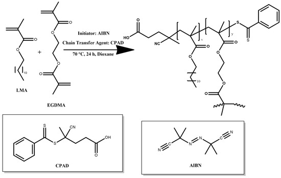
2.1.1. Synthesis of H-(PLMA) and Linear PLMA
2.1.2. Preparation of Neat and Dye-Loaded Nanostructures
2.1.3. Preparation of Mixed Systems
2.2. Methods
2.2.1. Size Exclusion Chromatography
2.2.2. Proton Nuclear Magnetic Resonance Spectroscopy (1H–NMR)
2.2.3. Fourier Transform Infrared Spectroscopy (FT–IR)
2.2.4. Dynamic Light Scattering
Suspension of Nanoparticles in Fetal Bovine Serum
2.2.5. Electrophoretic Light Scattering
2.2.6. UV/Vis/NIR Spectroscopy
2.2.7. Fluorescence Spectroscopy
2.2.8. Cryogenic Transmission Electron Microscopy (Cryo-TEM)
3. Results
3.1. SEC Analysis
3.2. Neat Polymer Nanostructures Obtained after Nanoprecipitation
3.2.1. Light Scattering Results
3.2.2. Zeta Potential (ζp)
3.3. Cargo Loaded Nanostructures and Mixed Systems
3.3.1. Pyrene Encapsulation
3.3.2. Mixed Systems with Tween 80 Surfactant
3.3.3. Curcumin Encapsulation
Light Scattering Measurements
Absorption and Emission Spectra Measurements
3.3.4. IR-1048 Dye Encapsulation
3.3.5. Cryo-TEM Analysis
3.4. Suspension of Nanoparticles in Fetal Bovine Serum
3.5. Stability Studies
4. Conclusions
Supplementary Materials
Author Contributions
Funding
Institutional Review Board Statement
Data Availability Statement
Conflicts of Interest
References
- Moghimi, S.M.; Hunter, A.C.; Murray, J.C. Nanomedicine: Current Status and Future Prospects. FASEB J. 2005, 19, 311–330. [Google Scholar] [CrossRef] [PubMed]
- Tekade, R.K.; Maheshwari, R.; Soni, N.; Tekade, M.; Chougule, M.B. Nanotechnology for the Development of Nanomedicine. In Nanotechnology-Based Approaches Targeting Delivery Drugs Genes; Elsevier: Amsterdam, The Netherlands, 2017; pp. 3–61. [Google Scholar]
- Lee Ventola, C. The Nanomedicine Revolution: Part 1: Emerging Concepts. Pharm. Ther. 2012, 37, 512. [Google Scholar]
- Zhang, C.; Yan, L.; Wang, X.; Zhu, S.; Chen, C.; Gu, Z.; Zhao, Y. Progress, Challenges, and Future of Nanomedicine. Nano Today 2020, 35, 101008. [Google Scholar] [CrossRef]
- Najahi-Missaoui, W.; Arnold, R.D.; Cummings, B.S. Safe Nanoparticles: Are We There Yet? Int. J. Mol. Sci. 2020, 22, 385. [Google Scholar] [CrossRef] [PubMed]
- Kad, A.; Pundir, A.; Arya, S.K.; Bhardwaj, N.; Khatri, M. An Elucidative Review to Analytically Sieve the Viability of Nanomedicine Market. J. Pharm. Innov. 2022, 17, 249–265. [Google Scholar] [CrossRef] [PubMed]
- Crucho, C.I.C.; Barros, M.T. Polymeric Nanoparticles: A Study on the Preparation Variables and Characterization Methods. Mater. Sci. Eng. C 2017, 80, 771–784. [Google Scholar] [CrossRef] [PubMed]
- Elsabahy, M.; Wooley, K.L. Design of Polymeric Nanoparticles for Biomedical Delivery Applications. Chem. Soc. Rev. 2012, 41, 2545. [Google Scholar] [CrossRef] [PubMed]
- Elmowafy, M.; Shalaby, K.; Elkomy, M.H.; Alsaidan, O.A.; Gomaa, H.A.M.; Abdelgawad, M.A.; Mostafa, E.M. Polymeric Nanoparticles for Delivery of Natural Bioactive Agents: Recent Advances and Challenges. Polymers 2023, 15, 1123. [Google Scholar] [CrossRef] [PubMed]
- Berda, E.B.; Wagener, K.B. Advances in Acyclic Diene Metathesis Polymerization. Polym. Sci. 2012, 1–10, 195–216. [Google Scholar]
- Bhat, S.I.; Ahmadi, Y.; Ahmad, S. Recent Advances in Structural Modifications of Hyperbranched Polymers and Their Applications. Ind. Eng. Chem. Res. 2018, 57, 10754–10785. [Google Scholar] [CrossRef]
- Wurm, F.; Frey, H. Hyperbranched Polymers: Synthetic Methodology, Properties, and Complex Polymer Architectures. Polym. Sci. 2012, 1–10, 177–198. [Google Scholar]
- Liu, B.; Kazlauciunas, A.; Guthrie, J.T.; Perrier, S. One-Pot Hyperbranched Polymer Synthesis Mediated by Reversible Addition Fragmentation Chain Transfer (RAFT) Polymerization. Macromolecules 2005, 38, 2131–2136. [Google Scholar] [CrossRef]
- Rogers, H.E.; Chambon, P.; Flynn, S.; Hern, F.Y.; Owen, A.; Rannard, S.P. Designing Single Trigger/Dual-Response Release and Degradation into Amine-Functional Hyperbranched-Polydendron Nanoprecipitates. Nanoscale Adv. 2020, 2, 5468–5477. [Google Scholar] [CrossRef] [PubMed]
- Atayde, E.C.; Montalbo, R.C.K.; Arco, S.D. Linear and Hyperbranched Copolymers of PEG-Based Acrylates and Methacrylic Acid as PH-Responsive Hydrophobic Drug Carriers. Mater. Sci. Forum 2018, 940, 15–20. [Google Scholar] [CrossRef]
- Truong, N.P.; Jones, G.R.; Bradford, K.G.E.; Konkolewicz, D.; Anastasaki, A. A Comparison of RAFT and ATRP Methods for Controlled Radical Polymerization. Nat. Rev. Chem. 2021, 5, 859–869. [Google Scholar] [CrossRef] [PubMed]
- Semsarilar, M.; Abetz, V.; Semsarilar, M.; Abetz, V. Polymerizations by RAFT: Developments of the Technique and Its Application in the Synthesis of Tailored (Co)Polymers. Macromol. Chem. Phys. 2021, 222, 2000311. [Google Scholar] [CrossRef]
- Tian, X.; Ding, J.; Zhang, B.; Qiu, F.; Zhuang, X.; Chen, Y. Recent Advances in RAFT Polymerization: Novel Initiation Mechanisms and Optoelectronic Applications. Polymers 2018, 10, 318. [Google Scholar] [CrossRef] [PubMed]
- Boscán, F.; Paulis, M.; Barandiaran, M.J. Towards the Production of High Performance Lauryl Methacrylate Based Polymers through Emulsion Polymerization. Eur. Polym. J. 2017, 93, 44–52. [Google Scholar] [CrossRef]
- Wenzel, F.; Hamzehlou, S.; Pardo, L.; Aguirre, M.; Leiza, J.R. Kinetics of Radical Ring Opening Polymerization of the Cyclic Ketene Acetal 2-Methylene-1,3-Dioxepane with Vinyl Monomers. Ind. Eng. Chem. Res. 2021, 60, 10479–10488. [Google Scholar] [CrossRef]
- Qiu, X.; Lu, L. Microencapsulated Paraffin as a Phase Change Material with Polyurea/Polyurethane/Poly(Lauryl Methacrylate) Hybrid Shells for Thermal Energy Storage Applications. J. Renew. Sustain. Energy 2021, 13, 014104. [Google Scholar] [CrossRef]
- Li, G. Preparation method of lauryl methacrylate. CN Patent 105294434A, 30 November 2015. [Google Scholar]
- Nikolic, M.S.; Olsson, C.; Salcher, A.; Kornowski, A.; Rank, A.; Schubert, R.; Frömsdorf, A.; Weller, H.; Förster, S. Micelle and Vesicle Formation of Amphiphilic Nanoparticles. Angew. Chem. 2009, 121, 2790–2792. [Google Scholar] [CrossRef]
- Iborra, A.; Díaz, G.; López, D.; Giussi, J.M.; Azzaroni, O. Copolymer Based on Lauryl Methacrylate and Poly(Ethylene Glycol) Methyl Ether Methacrylate as Amphiphilic Macrosurfactant: Synthesis, Characterization and Their Application as Dispersing Agent for Carbon Nanotubes. Eur. Polym. J. 2017, 87, 308–317. [Google Scholar] [CrossRef]
- Liu, Y.; Guo, X.; Zhao, M.; Zou, C.; Feng, Y.; Wu, Y.; Dai, C. The Effect and Enhancement Mechanism of Hydrophobic Interaction and Electrostatic Interaction on Zwitterionic Wormlike Micelles. Colloids Surf. A 2022, 648, 129424. [Google Scholar] [CrossRef]
- Nelemans, L.C.; Gurevich, L. Drug Delivery with Polymeric Nanocarriers—Cellular Uptake Mechanisms. Materials 2020, 13, 366. [Google Scholar] [CrossRef] [PubMed]
- Yadav, H.K.S.; Almokdad, A.A.; Shaluf, S.I.M.; Debe, M.S. Polymer-Based Nanomaterials for Drug-Delivery Carriers. In Nanocarriers for Drug Delivery: Nanoscience and Nanotechnology in Drug Delivery; Elsevier: Amsterdam, The Netherlands, 2019; pp. 531–556. [Google Scholar]
- Maeda, H. Polymer Therapeutics and the EPR Effect. J. Drug Target. 2017, 25, 781–785. [Google Scholar] [CrossRef] [PubMed]
- Hewlings, S.J.; Kalman, D.S. Curcumin: A Review of Its Effects on Human Health. Foods 2017, 6, 92. [Google Scholar] [CrossRef] [PubMed]
- Wang, R.; Zou, L.; Yi, Z.; Zhang, Z.; Zhao, M.; Shi, S. PLGA Nanoparticles Loaded with Curcumin Produced Luminescence for Cell Bioimaging. Int. J. Pharm. 2023, 639, 122944. [Google Scholar] [CrossRef] [PubMed]
- Liu, M.; Teng, C.P.; Win, K.Y.; Chen, Y.; Zhang, X.; Yang, D.P.; Li, Z.; Ye, E. Polymeric Encapsulation of Turmeric Extract for Bioimaging and Antimicrobial Applications. Macromol. Rapid Commun. 2019, 40, 1800216. [Google Scholar] [CrossRef] [PubMed]
- Stanić, Z. Curcumin, a Compound from Natural Sources, a True Scientific Challenge—A Review. Plant Foods Hum. Nutr. 2017, 72, 1–12. [Google Scholar] [CrossRef]
- Kamimura, M.; Takahiro, S.; Yoshida, M.; Hashimoto, Y.; Fukushima, R.; Soga, K. Over-1000 Nm near-Infrared Fluorescent Biodegradable Polymer Nanoparticles for Deep Tissue in Vivo Imaging in the Second Biological Window. Polym. J. 2017, 49, 799–803. [Google Scholar] [CrossRef]
- Meng, X.; Zhang, J.; Sun, Z.; Zhou, L.; Deng, G.; Li, S.; Li, W.; Gong, P.; Cai, L. Hypoxia-Triggered Single Molecule Probe for High-Contrast NIR II/PA Tumor Imaging and Robust Photothermal Therapy. Theranostics 2018, 8, 6025. [Google Scholar] [CrossRef]
- Zielinska, A.; Carreiró, F.; Oliveira, A.M.; Neves, A.; Pires, B.; Nagasamy Venkatesh, D.; Durazzo, A.; Lucarini, M.; Eder, P.; Silva, A.M.; et al. Polymeric Nanoparticles: Production, Characterization, Toxicology and Ecotoxicology. Molecules 2020, 25, 3731. [Google Scholar] [CrossRef] [PubMed]
- Gstraunthaler, G.; Lindl, T.; Van Der Valk, J. A Plea to Reduce or Replace Fetal Bovine Serum in Cell Culture Media. Cytotechnology 2013, 65, 791–793. [Google Scholar] [CrossRef] [PubMed]
- Wiogo, H.T.R.; Lim, M.; Bulmus, V.; Yun, J.; Amal, R. Stabilization of Magnetic Iron Oxide Nanoparticles in Biological Media by Fetal Bovine Serum (FBS). Langmuir 2011, 27, 843–850. [Google Scholar] [CrossRef]
- Soutar, M.P.M.; Kempthorne, L.; Annuario, E.; Luft, C.; Wray, S.; Ketteler, R.; Ludtmann, M.H.R.; Plun-Favreau, H. FBS/BSA Media Concentration Determines CCCP’s Ability to Depolarize Mitochondria and Activate PINK1-PRKN Mitophagy. Autophagy 2019, 15, 2002–2011. [Google Scholar] [CrossRef] [PubMed]
- Känkänen, V.; Seitsonen, J.; Tuovinen, H.; Ruokolainen, J.; Hirvonen, J.; Balasubramanian, V.; Santos, H.A. Evaluation of the Effects of Nanoprecipitation Process Parameters on the Size and Morphology of Poly(Ethylene Oxide)-Block-Polycaprolactone Nanostructures. Int. J. Pharm. 2020, 590, 119900. [Google Scholar] [CrossRef] [PubMed]
- Alasvand, N.; Urbanska, A.M.; Rahmati, M.; Saeidifar, M.; Gungor-Ozkerim, P.S.; Sefat, F.; Rajadas, J.; Mozafari, M. Therapeutic Nanoparticles for Targeted Delivery of Anticancer Drugs. In Multifunctional Systems for Combined Delivery, Biosensing and Diagnostics; Elsevier: Amsterdam, The Netherlands, 2017; pp. 245–259. [Google Scholar]
- Hoshyar, N.; Gray, S.; Han, H.; Bao, G. The Effect of Nanoparticle Size on in Vivo Pharmacokinetics and Cellular Interaction. Nanomedicine 2016, 11, 673. [Google Scholar] [CrossRef] [PubMed]
- Behzadi, S.; Serpooshan, V.; Tao, W.; Hamaly, M.A.; Alkawareek, M.Y.; Dreaden, E.C.; Brown, D.; Alkilany, A.M.; Farokhzad, O.C.; Mahmoudi, M. Cellular Uptake of Nanoparticles: Journey Inside the Cell. Chem. Soc. Rev. 2017, 46, 4218. [Google Scholar] [CrossRef] [PubMed]
- Beck-Broichsitter, M. Solvent Impact on Polymer Nanoparticles Prepared Nanoprecipitation. Colloids Surf. A 2021, 625, 126928. [Google Scholar] [CrossRef]
- Legrand, P.; Lesieur, S.; Bochot, A.; Gref, R.; Raatjes, W.; Barratt, G.; Vauthier, C. Influence of Polymer Behaviour in Organic Solution on the Production of Polylactide Nanoparticles by Nanoprecipitation. Int. J. Pharm. 2007, 344, 33–43. [Google Scholar] [CrossRef]
- Aubry, J.; Ganachaud, F.; Addad, J.P.C.; Cabane, B. Nanoprecipitation of Polymethylmethacrylate by Solvent Shifting: 1. Boundaries. Langmuir 2009, 25, 1970–1979. [Google Scholar] [CrossRef]
- Restrepo, C.V.; Villa, C.C. Synthesis of Silver Nanoparticles, Influence of Capping Agents, and Dependence on Size and Shape: A Review. Environ. Nanotechnol. Monit. Manag. 2021, 15, 100428. [Google Scholar] [CrossRef]
- Rasmussen, M.K.; Pedersen, J.N.; Marie, R. Size and Surface Charge Characterization of Nanoparticles with a Salt Gradient. Nat. Commun. 2020, 11, 2337. [Google Scholar] [CrossRef] [PubMed]
- Wei, X.; Shao, B.; He, Z.; Ye, T.; Luo, M.; Sang, Y.; Liang, X.; Wang, W.; Luo, S.; Yang, S.; et al. Cationic Nanocarriers Induce Cell Necrosis through Impairment of Na+/K+-ATPase and Cause Subsequent Inflammatory Response. Cell Res. 2015, 25, 237–253. [Google Scholar] [CrossRef] [PubMed]
- Hühn, D.; Kantner, K.; Geidel, C.; Brandholt, S.; De Cock, I.; Soenen, S.J.H.; Riveragil, P.; Montenegro, J.M.; Braeckmans, K.; Müllen, K.; et al. Polymer-Coated Nanoparticles Interacting with Proteins and Cells: Focusing on the Sign of the Net Charge. ACS Nano 2013, 7, 3253–3263. [Google Scholar] [CrossRef] [PubMed]
- Lu, B.; Lv, X.; Le, Y. Chitosan-Modified PLGA Nanoparticles for Control-Released Drug Delivery. Polymers 2019, 11, 304. [Google Scholar] [CrossRef]
- Amiji, M.M. Pyrene Fluorescence Study of Chitosan Self-Association in Aqueous Solution. Carbohydr. Polym. 1995, 26, 211–213. [Google Scholar] [CrossRef]
- Wilhelm, M.; Zhao, C.L.; Wang, Y.; Xu, R.; Winnik, M.A.; Mura, J.L.; Riess, G.; Croucher, M.D. Poly(Styrene-Ethylene Oxide) Block Copolymer Micelle Formation in Water: A Fluorescence Probe Study. Macromolecules 1991, 24, 1033–1040. [Google Scholar] [CrossRef]
- Yassin, A.E.B.; Massadeh, S.; Alshwaimi, A.A.; Kittaneh, R.H.; Omer, M.E.; Ahmad, D.; Aodah, A.H.; Shakeel, F.; Halwani, M.; Alanazi, S.A.; et al. Tween 80-Based Self-Assembled Mixed Micelles Boost Valsartan Transdermal Delivery. Pharmaceuticals 2023, 17, 19. [Google Scholar] [CrossRef]
- Naso, J.N.; Bellesi, F.A.; Ruiz-Henestrosa, V.M.P.; Pilosof, A.M.R. Solubilization of Lipolysis Products in Mixed Micelles Is Enhanced in Presence of Bile Salts and Tween 80 as Revealed by a Model Study (Oleic Acid) and Emulsified Chia-Oil. Food Res. Int. 2022, 161, 111804. [Google Scholar] [CrossRef]
- Liang, H.; Yang, Q.; Deng, L.; Lu, J.; Chen, J. Phospholipid–Tween 80 Mixed Micelles as an Intravenous Delivery Carrier for Paclitaxel. Drug Dev. Ind. Pharm. 2011, 37, 597–605. [Google Scholar] [CrossRef]
- Patwekar, S.; Patwekar, S.L.; Khavane, K.B.; Chainpure, P.R.; Payghan, S.A.; Shivpuje, S.S. A Review on Different Preparation Methods Used for Development of Curcumin Nanoparticles. Int. J. Creat. Res. Thoughts 2021, 9, 2320–2882. [Google Scholar]
- Chopra, H.; Dey, P.S.; Das, D.; Bhattacharya, T.; Shah, M.; Mubin, S.; Maishu, S.P.; Akter, R.; Rahman, M.H.; Karthika, C.; et al. Curcumin Nanoparticles as Promising Therapeutic Agents for Drug Targets. Molecules 2021, 26, 4998. [Google Scholar] [CrossRef]
- Luisa, D.P.A.M.; Griselda, R.M.; Valentín, M.L.; Carmina, O.S.; Cristina, V.M.; JJ, M.; Maykel, G.T.; David, Q.G.; Roberto, S.S.; Gerardo, L.G. Curcumin-Loaded Poly-ε-Caprolactone Nanoparticles Show Antioxidant and Cytoprotective Effects in the Presence of Reactive Oxygen Species. J. Bioact. Compat. Polym. 2020, 35, 270–285. [Google Scholar] [CrossRef]
- Tinca, A.L.; Iurian, S.; Rus, L.M.; Porfire, A.; Ruxandra, L.; Tefas, L.R. Development and Characterization of Curcumin-Loaded Polycaprolactone Nanoparticles by Design of Experiments. Rom. J. Pharm. Pract. 2020, 13, 127–138. [Google Scholar] [CrossRef]
- Kumar, V.; Kumari, A.; Kumar, D.; Yadav, S.K. Biosurfactant Stabilized Anticancer Biomolecule-Loaded Poly (d,l-Lactide) Nanoparticles. Colloids Surf. B 2014, 117, 505–511. [Google Scholar] [CrossRef] [PubMed]
- Cabral, H.; Miyata, K.; Osada, K.; Kataoka, K. Block Copolymer Micelles in Nanomedicine Applications. Chem. Rev. 2018, 118, 6844–6892. [Google Scholar] [CrossRef]
- Gyawali, D.; Zhou, S.; Tran, R.; Zhang, Y.; Liu, C.; Bai, X.; Yang, J. Fluorescence Imaging Enabled Biodegradable Photostable Polymeric Micelles. Adv. Healthc. Mater. 2014, 3, 182–186. [Google Scholar] [CrossRef] [PubMed]
- Vollrath, A.; Schubert, S.; Schubert, U. Fluorescence Imaging of Cancer Tissue Based on Metal-Free Polymeric Nanoparticles—A Review. J. Mater. Chem. B 2013, 1, 1994–2007. [Google Scholar] [CrossRef]
- Wolfbeis, O. An Overview of Nanoparticles Commonly Used in Fluorescent Bioimaging. Chem. Soc. Rev. 2015, 44, 4743–4768. [Google Scholar] [CrossRef]
- Li, K.; Liu, B. Polymer-Encapsulated Organic Nanoparticles for Fluorescence and Photoacoustic Imaging. Chem. Soc. Rev. 2014, 43, 6570–6597. [Google Scholar] [CrossRef] [PubMed]
- Ruedas-Rama, M.J.; Walters, J.D.; Orte, A.; Hall, E.A.H. Fluorescent Nanoparticles for Intracellular Sensing: A Review. Anal. Chim. Acta 2012, 751, 1–23. [Google Scholar] [CrossRef] [PubMed]
- Rani, S.; Mishra, S.; Sharma, M.; Nandy, A.; Mozumdar, S. Solubility and Stability Enhancement of Curcumin in Soluplus® Polymeric Micelles: A Spectroscopic Study. J. Dispers. Sci. Technol. 2020, 41, 523–536. [Google Scholar] [CrossRef]
- Ghosh, S.; Kuchlyan, J.; Banik, D.; Kundu, N.; Roy, A.; Banerjee, C.; Sarkar, N. Organic Additive, 5-Methylsalicylic Acid Induces Spontaneous Structural Transformation of Aqueous Pluronic Triblock Copolymer Solution: A Spectroscopic Investigation of Interaction of Curcumin with Pluronic Micellar and Vesicular Aggregates. J. Phys. Chem. B 2014, 118, 11437–11448. [Google Scholar] [CrossRef] [PubMed]
- Qi, J.; Hu, X.; Dong, X.; Lu, Y.; Lu, H.; Zhao, W.; Wu, W. Towards More Accurate Bioimaging of Drug Nanocarriers: Turning Aggregation-Caused Quenching into a Useful Tool. Adv. Drug. Deliv. Rev. 2019, 143, 206–225. [Google Scholar] [CrossRef] [PubMed]
- Bechnak, L.; El Kurdi, R.; Patra, D. Fluorescence Sensing of Nucleic Acid by Curcumin Encapsulated Poly(Ethylene Oxide)-Block-Poly(Propylene Oxide)-Block-Poly(Ethylene Oxide) Based Nanocapsules. J. Fluoresc. 2020, 30, 547–556. [Google Scholar] [CrossRef]
- Banerjee, C.; Maiti, S.; Mustafi, M.; Kuchlyan, J.; Banik, D.; Kundu, N.; Dhara, D.; Sarkar, N. Effect of Encapsulation of Curcumin in Polymeric Nanoparticles: How Efficient to Control ESIPT Process? Langmuir 2014, 30, 10834–10844. [Google Scholar] [CrossRef] [PubMed]
- Zhou, W.; Yin, L.; Zhang, X.; Liang, T.; Guo, Z.; Liu, Y.; Xie, C.; Fan, Q. Recent Advances in Small Molecule Dye-Based Nanotheranostics for NIR-II Photoacoustic Imaging-Guided Cancer Therapy. Front. Bioeng. Biotechnol. 2022, 10, 1002006. [Google Scholar] [CrossRef] [PubMed]
- Casalboni, M.; De Matteis, F.; Prosposito, P.; Quatela, A.; Sarcinelli, F. Fluorescence Efficiency of Four Infrared Polymethine Dyes. Chem. Phys. Lett. 2003, 373, 372–378. [Google Scholar] [CrossRef]
- Tkachenko, V.; Vidal, L.; Josien, L.; Schmutz, M.; Poly, J.; Chemtob, A. Characterizing the Core-Shell Architecture of Block Copolymer Nanoparticles with Electron Microscopy: A Multi-Technique Approach. Polymers 2020, 12, 1656. [Google Scholar] [CrossRef]
- Matusiak, J.; Grządka, E. Stability of Colloidal Systems—A review of the Stability Measurements Methods. Ann. UMCS Chem. 2017, 72, 33. [Google Scholar] [CrossRef]













| Sample | Mw (g/mol) [a] | Mw/Mn [a] |
|---|---|---|
| H-(PLMA) | 11,300 | 1.38 |
| PLMA | 6200 | 1.09 |
| Sample Code | Intesity90° (a.u.) | Rh (nm) a | PDI (Polydispersity Index) |
|---|---|---|---|
| P1 | 1952 | 32 171 | 0.295 |
| P2 | 22,419 | 67 | 0.152 |
| P3 | 34,900 | 71 | 0.146 |
| P4 | 62,000 | 75 | 0.108 |
| PLMA * | 6300 | 153 | 0.351 |
| Sample | Zeta Potential (mV) |
|---|---|
| P1 | +4.99 |
| P2 | −29.6 |
| P3 | −28.2 |
| P4 | −31.2 |
| PLMA | −22.3 |
| Sample | Intensity90˚ (a.u.) | PDI | Rh (nm) | Z-Potential (mV) |
|---|---|---|---|---|
| TA | 3560 | 0.182 | 78 | −19.9 |
| TB | 5950 | 0.159 | 91 | −21.9 |
| TWA | 12,258 | 0.113 | 125 | −31.3 |
| TWB | 7200 | 0.112 | 137 | −33.9 |
| Sample | Intensity90° (a.u.) | PDI | Rh (nm) | Ζ-Potential (mV) |
|---|---|---|---|---|
| CUR5 | 21,064 | 0.153 | 62 | −23.2 |
| CUR8 | 19,000 | 0.15 | 54 | −29.2 |
| CUR10 | 32,500 | 0.122 | 67 | −34.2 |
| CUR15 | 14,484 | 0.107 | 45 | −34.4 |
Disclaimer/Publisher’s Note: The statements, opinions and data contained in all publications are solely those of the individual author(s) and contributor(s) and not of MDPI and/or the editor(s). MDPI and/or the editor(s) disclaim responsibility for any injury to people or property resulting from any ideas, methods, instructions or products referred to in the content. |
© 2024 by the authors. Licensee MDPI, Basel, Switzerland. This article is an open access article distributed under the terms and conditions of the Creative Commons Attribution (CC BY) license (https://creativecommons.org/licenses/by/4.0/).
Share and Cite
Gerardos, A.M.; Foryś, A.; Trzebicka, B.; Pispas, S. Self-Assembly of Hydrophobic Hyperbranched PLMA Homopolymer with –COOH End Groups as Effective Nanocarriers for Bioimaging Applications. Polymers 2024, 16, 2166. https://doi.org/10.3390/polym16152166
Gerardos AM, Foryś A, Trzebicka B, Pispas S. Self-Assembly of Hydrophobic Hyperbranched PLMA Homopolymer with –COOH End Groups as Effective Nanocarriers for Bioimaging Applications. Polymers. 2024; 16(15):2166. https://doi.org/10.3390/polym16152166
Chicago/Turabian StyleGerardos, Angelica Maria, Aleksander Foryś, Barbara Trzebicka, and Stergios Pispas. 2024. "Self-Assembly of Hydrophobic Hyperbranched PLMA Homopolymer with –COOH End Groups as Effective Nanocarriers for Bioimaging Applications" Polymers 16, no. 15: 2166. https://doi.org/10.3390/polym16152166
APA StyleGerardos, A. M., Foryś, A., Trzebicka, B., & Pispas, S. (2024). Self-Assembly of Hydrophobic Hyperbranched PLMA Homopolymer with –COOH End Groups as Effective Nanocarriers for Bioimaging Applications. Polymers, 16(15), 2166. https://doi.org/10.3390/polym16152166

