Exploratory Study on the Application of Graphene Platelet-Reinforced Composite to Wind Turbine Blade
Abstract
1. Introduction
2. Materials and Finite Element Models
2.1. Material Modeling of Nanocomposites
2.2. Finite Element Model
3. Results and Discussion
3.1. Material Type
3.2. Functionally Graded Distribution
3.3. Volume Fraction
3.4. GPL-Reinforced Blade Elements
4. Conclusions
- Under a bending load, CNT 45° produces the largest deflection, followed by CNT 90°, CNT 0°, glass/epoxy, and the GPLRC. Under a torsional load, CNT 90° shows the largest twist angle, followed by CNT 0°, CNT 45°, glass/epoxy, and the GPLRC. For a blade reinforced with GPLs, the maximum deflection is reduced by 69 to 92% and the maximum twist angle is reduced by 89 to 97% compared to that of other materials.
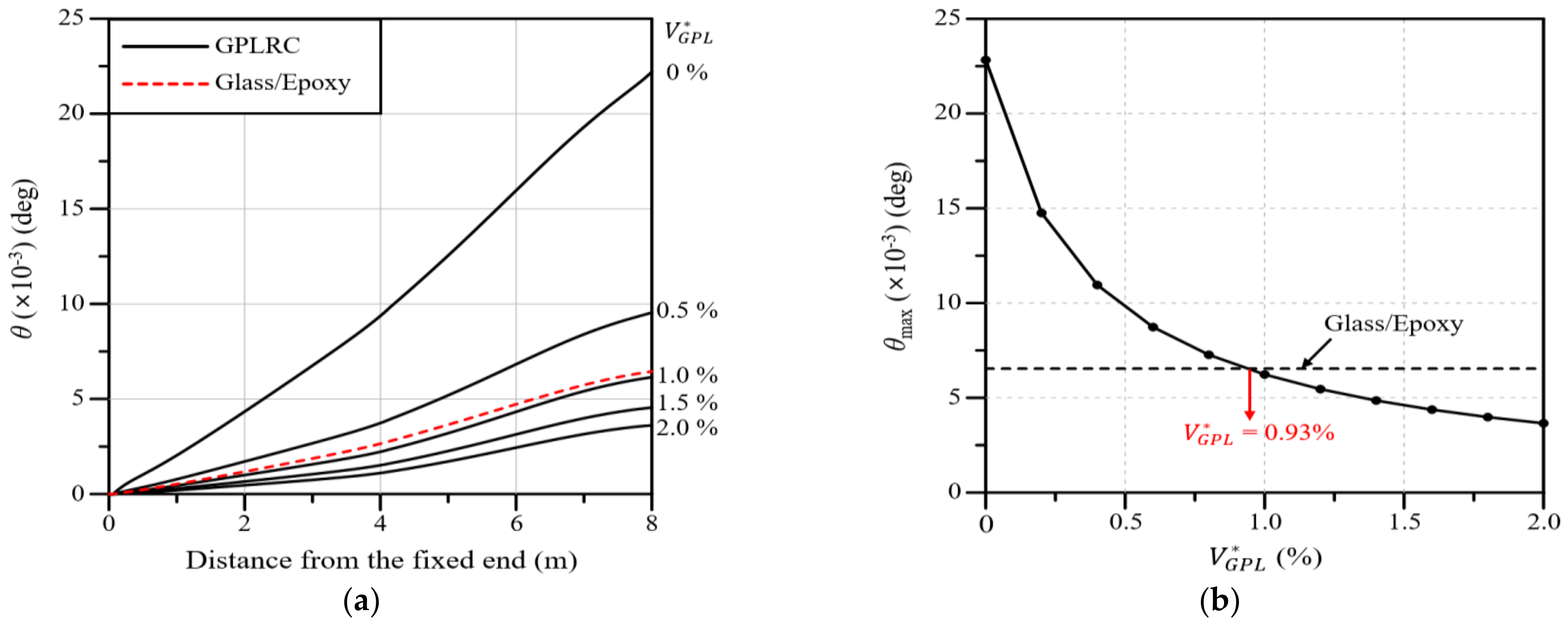
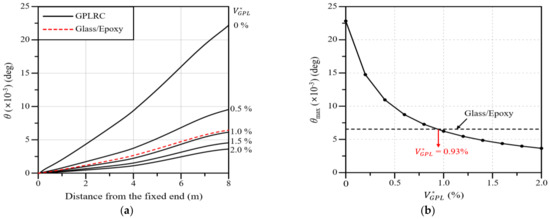
- As the total volume fraction of GPLs increases, the deflection, twist angle, and stress of the wind blade gradually decrease. The same maximum values as those of the glass/epoxy composites are observed when the values of are 1.97, 0.93, and 1.75%, respectively.
- Overall, the deflection and twist angle according to the functionally graded distribution of GPLs are found to increase in the following order: FG-O, FG-Λ, FG-U, and FG-X. The difference, however, is relatively insignificant compared to the difference caused by the material type and the GPL volume fraction.
- The deflection and twist angle of the wind blade significantly vary depending on the GPL-reinforced blade element of the GPLRC. The spar cap exhibited the largest deflection, followed by the shear web, skin, and shear web and spar cap, while the shear web produced the largest twist angle, followed by the spar cap, shear web and spar cap, and skin.
- The comparative results suggest that the mechanical properties of wind blades can be significantly improved by introducing GPLs. It is also expected that a GPLRC, an ultra-lightweight material, can significantly reduce the weight of wind blades and the total wind turbine manufacturing cost by reducing the weight of blade support structures.
Author Contributions
Funding
Institutional Review Board Statement
Data Availability Statement
Conflicts of Interest
Appendix A. Effective Material Properties
References
- IRENA. World Energy Transitions Outlook 2023: 1.5 °C Pathway; International Renewable Energy Agency: Abu Dhabi, United Arab Emirates, 2023; Volume 1. [Google Scholar]
- Ma, P.C.; Zhang, Y. Perspectives of carbon nanotubes/polymer nanocomposites for wind blade materials. Renew. Sustain. Energy Rev. 2014, 30, 651–660. [Google Scholar] [CrossRef]
- Mengal, A.N.; Karuppanan, S.; Wahab, A.A. Basalt carbon hybrid composite for wind turbine rotor blades: A short review. Adv. Mat. Res. 2014, 970, 67–73. [Google Scholar] [CrossRef]
- Chikhradze, N.M.; Marquis, F.D.; Abashidze, G.S. Hybrid fiber and nanopowder reinforced composites for wind turbine blades. J. Mater. Sci. Technol. 2015, 4, 60–67. [Google Scholar] [CrossRef]
- Ong, C.H.; Tsai, S.W. The Use of Carbon Fibers in Wind Turbine Blade Design: A SERI-8 Blade Example, SAND2000-0478; Sandia National Laboratories Contractor Report; Sandia National Laboratories: Albuquerque, NM, USA, 2000. [Google Scholar]
- Holmes, J.W.; Sørensen, B.F.; Brøndsted, P. Reliability of Wind Turbine Blades: An Overview of Materials Testing; Wind Power Shanghai: Shanghai, China, 2007. [Google Scholar]
- Holmes, J.W.; Brøndsted, P.; Sørensen, B.F.; Jiang, Z.; Sun, Z.; Chen, X. Development of a bamboo-based composite as a sustainable green material for wind turbine blades. Wind Eng. 2009, 33, 197–210. [Google Scholar] [CrossRef]
- Jiang, S.; Zhang, Q.; Jiang, S. On Structure, production, and market of bamboo-based panels in China. J. Forest. 2002, 13, 151–156. [Google Scholar]
- Thomas, L.; Ramachandra, M. Advanced materials for wind turbine blade—A review. Mater. Today Proc. 2018, 5, 2635–2640. [Google Scholar] [CrossRef]
- Pradeep, A.V.; Prasad, S.V.S.; Suryam, L.V.; Kumari, P.P. A comprehensive review on contemporary materials used for blades of wind turbine. Mater. Today Proc. 2019, 19, 556–559. [Google Scholar] [CrossRef]
- Mishnaevsky, L.; Branner, K.; Petersen, H.N.; Beauson, J.; McGugan, M.; Sørensen, B.F. Materials for wind turbine blades: An overview. Materials 2017, 10, 1285. [Google Scholar] [CrossRef] [PubMed]
- Tjong, S.C. Polymer Composites with Carbonaceous Nanofillers: Properties and Applications; Wiley-VCH Verlag GmbH & Co. KGaA: Berlin, Germany, 2012. [Google Scholar]
- Zaman, I.; Kuan, H.C.; Dai, J.; Kawashima, N.; Michelmore, A.; Sovi, A.; Dong, S.; Luong, L.; Ma, J. From carbon nanotubes and silicate layers to graphene platelets for polymer nanocomposites. Nanoscale 2012, 4, 4578–4586. [Google Scholar] [CrossRef] [PubMed]
- Zaman, I.; Phan, T.T.; Kuan, H.C.; Meng, Q.; La, L.T.B.; Luong, L.; Youssf, O.; Ma, J. Epoxy/graphene platelets nanocomposites with two levels of interface strength. Polymer 2011, 52, 1603–1611. [Google Scholar] [CrossRef]
- Feng, C.; Kitipornchai, S.; Yang, J. Nonlinear free vibration of functionally graded polymer composite beams reinforced with graphene nanoplatelets (GPLs). Eng. Struct. 2017, 140, 110–119. [Google Scholar] [CrossRef]
- Rafiee, M.A.; Rafiee, J.; Wang, Z.; Song, H.; Yu, Z.Z.; Koratkar, N. Enhanced mechanical properties of nanocomposites at low graphene content. ACS Nano. 2009, 3, 3884–3890. [Google Scholar] [CrossRef] [PubMed]
- Rafiee, M.A.; Rafiee, J.; Yu, Z.Z.; Koratkar, N. Buckling resistant graphene nanocomposites. Appl. Phys. Lett. 2009, 95, 223103. [Google Scholar] [CrossRef]
- Parashar, A.; Mertiny, P. Representative volume element to estimate buckling behavior of graphene/polymer nanocomposite. Nanoscale Res. Lett. 2012, 7, 515. [Google Scholar] [CrossRef] [PubMed]
- Feng, C.; Kitipornchai, S.; Yang, J. Nonlinear bending of polymer nanocomposite beams reinforced with non-uniformly distributed graphene platelets (GPLs). Compos. Part B Eng. 2017, 110, 132–140. [Google Scholar] [CrossRef]
- Gholami, R.; Ansari, R. Large deflection geometrically nonlinear analysis of functionally graded multilayer graphene platelet-reinforced polymer composite rectangular plates. Compos. Struct. 2017, 180, 760–771. [Google Scholar] [CrossRef]
- Bahaadini, R.; Saidi, A.R. Aeroelastic analysis of functionally graded rotating blades reinforced with grapheme nanoplatelets in supersonic flow. Asero. Sci. Technol. 2018, 80, 381–391. [Google Scholar]
- Domnica, S.M.; Ioan, C.; Ionut, T. Structural optimization of composite wind turbine blade blades with horizontal axis using finite element analysis. Procedia Technol. 2016, 22, 726–733. [Google Scholar] [CrossRef][Green Version]
- Ansal Muhammed, K.; Ramesh Kannan, C.; Stalin, B. Performance analysis of wind turbine blade materials using nanocomposites. Mater. Today 2020, 33, 4353–4361. [Google Scholar]
- Abu-Okail, M.; Alsaleh, N.A.; Farouk, W.M.; Elsheikh, A.; Abu-Oqail, A.; Abdelraouf, Y.A.; Ghafaar, M.A. Effect of dispersion of alumina nanoparticles and grapheme nanoplatelets on microstructural and mechanical characteristics of hybrid carbon/glass fibers reinforced polymer composite. J. Mater. Res. Technol. 2021, 14, 2624–2637. [Google Scholar] [CrossRef]
- Kim, H.J.; Cho, J.R. A numerical study on free vibration analysis of detailed and homogenized models for FG-CNTRC beams. J. Mech. Sci. Technol. 2023, 37, 229–238. [Google Scholar] [CrossRef]
- Shen, H.S.; Zhang, C.L. Thermal buckling and postbuckling behavior of functionally graded carbon nanotube-reinforced composite plates. Mater. Des. 2010, 31, 3403–3411. [Google Scholar] [CrossRef]
- Cho, J.R. Averaging and finite-element discretization approaches in the numerical analysis of functionally graded materials. Mater. Sci. Eng. A 2001, 302, 187–196. [Google Scholar] [CrossRef]
- Zheng, Y.; Zhao, R.; Liu, H. Finite element modal analysis of large-scale composite wind turbine blade. Adv. Mater. Res. 2013, 694–697, 453–457. [Google Scholar] [CrossRef]
- Jonkman, J.; Butterfield, S.; Musial, W.; Scott, G. Definition of a 5-MW Reference Wind Turbine for Offshore System Development; Technical Report NREL/TP-500-38060; National Renewable Energy Laboratory: Golden, CO, USA, 2009. [Google Scholar]
- Cox, K.; Echtermeyer, A. Structural design and analysis of a 10MW wind turbine blade. Energy Procedia 2012, 24, 194–201. [Google Scholar] [CrossRef]
- Leong, M.; Overgaard, C.L.T.; Thomsen, O.T.; Lund, E.; Daniel, I.M. Investigation of failure mechanisms in GFRP sandwich structures with face sheet wrinkle defects used for wind turbine blades. Compos. Struct. 2012, 94, 768–778. [Google Scholar] [CrossRef]
- Midas, I.T. Users’ Manual of Midas NFX; Midas IT: Seongnam, Republic of Korea, 2018. [Google Scholar]
- Zhao, S.; Zhao, Z.; Yang, Z.; Ke, L.; Kitipornchai, S.; Yang, J. Functionally graded graphene reinforced composite structures: A review. Eng. Struct. 2020, 210, 110339. [Google Scholar] [CrossRef]
- Liew, K.M.; Lei, Z.X.; Zhang, L.W. Mechanical analysis of functionally graded carbon nanotube reinforced composites: A review. Compos. Struct. 2015, 120, 90–97. [Google Scholar] [CrossRef]
- Cho, J.R. Free vibration analysis of functionally graded porous cylindrical panels reinforced with graphene platelets. Nanomaterials 2013, 13, 1441. [Google Scholar] [CrossRef] [PubMed]
- Halphin, J.C.; Kardos, J.L. The Haplin-Tsai equations: A review. Polym. Eng. Sci. 1976, 16, 344–352. [Google Scholar]
- Li, S.; Sitnikova, E.; Liang, Y.; Kaddour, A.S. The Tasi-Wu failure criterion rationalized in the context of UD composites. Compos. Part A Appl. Sci. Manuf. 2017, 102, 207–217. [Google Scholar] [CrossRef]
- Kabir, H.; Aghdam, M.M. A robust Bezier based solution for nonlinear vibration and post-buckling of random checkerboard graphene nano-platelets reinforced composite beams. Compos. Struct. 2019, 212, 184–198. [Google Scholar] [CrossRef]











| Material | (GPa) | (GPa) | (GPa) | (kg/m3) | |
|---|---|---|---|---|---|
| PMMA | 2.5 | 2.5 | 0.9 | 0.340 | 1150 |
| GPL | 1010.0 | 1010.0 | 425.8 | 0.186 | 1060 |
| SWCNT (10,10) | 5646.6 | 7080.0 | 1944.5 | 0.175 | 1400 |
| Material | (GPa) | (Gpa) | (GPa) | (kg/m3) | |
|---|---|---|---|---|---|
| Balsa wood | 0.4 | 0.4 | 0.16 | 0.1 | 125 |
| Glass fiber/Epoxy | 41.0 | 9.0 | 4.10 | 0.3 | 1890 |
| Mode | Natural Frequencies (rad/s) | ||||
|---|---|---|---|---|---|
| CNT 0° | CNT 45° | CNT 90° | Glass/Epoxy | GPLRC | |
| Ⅰ | 56.791 | 45.627 | 58.452 | 63.917 | 181.890 |
| Ⅱ | 74.952 | 102.238 | 74.794 | 84.925 | 282.161 |
| Ⅲ | 105.228 | 123.894 | 90.356 | 105.343 | 325.399 |
Disclaimer/Publisher’s Note: The statements, opinions and data contained in all publications are solely those of the individual author(s) and contributor(s) and not of MDPI and/or the editor(s). MDPI and/or the editor(s) disclaim responsibility for any injury to people or property resulting from any ideas, methods, instructions or products referred to in the content. |
© 2024 by the authors. Licensee MDPI, Basel, Switzerland. This article is an open access article distributed under the terms and conditions of the Creative Commons Attribution (CC BY) license (https://creativecommons.org/licenses/by/4.0/).
Share and Cite
Kim, H.J.; Cho, J.-R. Exploratory Study on the Application of Graphene Platelet-Reinforced Composite to Wind Turbine Blade. Polymers 2024, 16, 2002. https://doi.org/10.3390/polym16142002
Kim HJ, Cho J-R. Exploratory Study on the Application of Graphene Platelet-Reinforced Composite to Wind Turbine Blade. Polymers. 2024; 16(14):2002. https://doi.org/10.3390/polym16142002
Chicago/Turabian StyleKim, Hyeong Jin, and Jin-Rae Cho. 2024. "Exploratory Study on the Application of Graphene Platelet-Reinforced Composite to Wind Turbine Blade" Polymers 16, no. 14: 2002. https://doi.org/10.3390/polym16142002
APA StyleKim, H. J., & Cho, J.-R. (2024). Exploratory Study on the Application of Graphene Platelet-Reinforced Composite to Wind Turbine Blade. Polymers, 16(14), 2002. https://doi.org/10.3390/polym16142002

