Morphological, Thermal, and Mechanical Properties of Nanocomposites Based on Bio-Polyamide and Feather Keratin–Halloysite Nanohybrid
Abstract
1. Introduction
2. Materials and Methods
2.1. Materials
2.2. Preparation of Nanohybrids
2.3. Preparation of Bio-Polyamide Nanocomposites
2.4. Characterization
2.4.1. Scanning Electron Microscopy (SEM)
2.4.2. X-ray Diffraction Analysis (XRD)
2.4.3. Fourier-Transform Infrared Spectroscopy (FTIR)
2.4.4. Raman Spectroscopy
2.4.5. Thermal Characterization
2.4.6. Mechanical Properties Analysis
2.4.7. Dynamic Mechanical Analysis (DMA)
2.4.8. Nanomechanical Properties Analysis
3. Results and Discussion
3.1. Characterization of Feather Keratin–Halloysite Nanohybrids
3.1.1. SEM Analysis
3.1.2. X-ray Diffraction Analysis
3.1.3. FTIR Analysis
3.1.4. Raman Analysis
3.1.5. Thermal Analysis
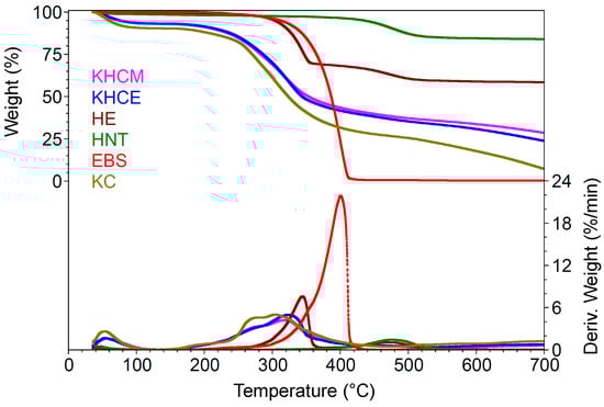
- Thermogravimetric Analysis
- Differential Scanning Calorimetry Analysis
3.2. Characterization of Bio-Polyamide Nanocomposites
3.2.1. SEM Analysis
3.2.2. X-ray Diffraction Analysis
3.2.3. FTIR Analysis
3.2.4. Raman Analysis
3.2.5. Thermal Analysis
- Thermogravimetric Analysis
- Differential Scanning Calorimetry Analysis
3.2.6. Mechanical Properties Analysis
3.2.7. Dynamic Mechanical Analysis (DMA)
3.2.8. Nanomechanical Properties Analysis
4. Conclusions
5. Patents
Author Contributions
Funding
Institutional Review Board Statement
Data Availability Statement
Acknowledgments
Conflicts of Interest
References
- Composites in the Automotive Industry 2023. Available online: https://tech-fab-europe.eu/composites-in-the-automotive-industry/ (accessed on 1 February 2024).
- SusChem. Polymer Composites for Automotive Sustainability. 2015. Available online: https://baxcompany.com/wp-content/uploads/2016/09/Suschem_Polymers_Brochure1.pdf (accessed on 1 February 2024).
- Hamerton, I.; Hobson, L.J.; Wagner, J. Introduction to sustainable composites. RSC Sustain. 2024, 2, 261–264. [Google Scholar] [CrossRef]
- Fisher, G. Natural Fibers: The New Fashion in Automotive Composites. 2023. Available online: https://www.fiberjournal.com/natural-fibers-the-new-fashion-in-automotive-composites/ (accessed on 1 February 2024).
- Ogunsona, E.O.; Codou, A.; Misra, M.; Mohanty, A.K. A critical review on the fabrication processes and performance of polyamide biocomposites from a biofiller perspective. Mater. Today Sustain. 2019, 5, 100014. [Google Scholar] [CrossRef]
- Quiles-Carrillo, L.; Boronata, T.; Montanesa, N.; Balarta, R.; Torres-Ginerb, S. Injection-molded parts of fully bio-based polyamide 1010 strengthened with waste derived slate fibers pretreated with glycidyl- and amino-silane coupling agents. Polym. Test. 2019, 77, 105875. [Google Scholar] [CrossRef]
- Hernandez-García, E.; Pacheco-Romeralo, M.; Pascual-Ramírez, L.; Vargas, M.; Torres-Giner, S. Synthesis and characterization of polyamide 1010 and evaluation of its cast-extruded films for meat preservation. Food Packag. Shelf Life 2023, 36, 101058. [Google Scholar] [CrossRef]
- Morino, M.; Nishitani, Y.; Kitagawa, T.; Kikutani, S. Thermal, Mechanical and Tribological Properties of Gamma-Irradiated Plant-Derived Polyamide 1010. Polymers 2023, 15, 3111. [Google Scholar] [CrossRef] [PubMed]
- Baniasadi, H.; Trifol, J.; Ranta, A.; Seppälä, J. Exfoliated clay nanocomposites of renewable long-chain aliphatic polyamide through in-situ polymerization. Compos. Part B 2021, 211, 108655. [Google Scholar] [CrossRef]
- Yan, M.; Yang, H. Improvement of Polyamide 1010 With Silica Nanospheres via In Situ Melt Polycondensation. Polym. Compos. 2012, 33, 177–1776. [Google Scholar] [CrossRef]
- Chilakamarry, C.R.; Mahmood, S.; Saffe, S.N.B.M.; Arifin, M.A.B.; Gupta, A.; Sikkandar, M.Y.; Begum, S.S.; Narasaiah, B. Extraction and application of keratin from natural resources: A review. 3 Biotech 2021, 11, 220. [Google Scholar] [CrossRef] [PubMed]
- Brebu, M.; Spiridon, I. Thermal degradation of keratin waste. J. Anal. Appl. Pyrolysis 2011, 91, 288–295. [Google Scholar] [CrossRef]
- Martínez-Hernández, A.L.; Velasco-Santos, C. Keratin Fibers from Chicken Feathers: Structure and Advances in Polymer Composites. In Keratin: Structure, Properties and Applications; Dullaart, R., Mousquès, J., Eds.; Nova Science Publishers Inc.: Hauppauge, NY, USA, 2012; pp. 149–211. ISBN 978-1-62100-336-6. [Google Scholar]
- Zahn, M.; Wool, R.P. Mechanical Properties of Chicken Feather Fibers. Polym. Compos. 2011, 32, 937–944. [Google Scholar] [CrossRef]
- Reddy, N.; Yang, Y. Light-Weight Polypropylene Composites Reinforced with Whole Chicken Feathers. J. Appl. Polym. Sci. 2010, 116, 3668–3675. [Google Scholar] [CrossRef]
- Amieva, J.-C.; Velasco-Santos, C.; Martinez-Hernandez, A.L.; Rivera-Armenta, J.L.; Mendoza-Martinez, A.M.; Castano, V.M. Composites from chicken feathers quill and recycled polypropylene. J. Compos. Mater. 2015, 49, 275–283. [Google Scholar] [CrossRef]
- Bansal, G.; Singh, V.K. Review on Chicken Feather Fiber (CFF) a Livestock Waste in Composite Material Development. Int. J. Waste Resour. 2016, 6, 4. [Google Scholar] [CrossRef]
- Ahn, H.K.; Huda, M.S.; Smith, M.C.; Mulbry, W.; Reeves, J.B. Biodegradability of injection molded bioplastic pots containing polylactic acid and poultry feather fiber. Bioresour. Technol. 2011, 102, 4930–4933. [Google Scholar] [CrossRef] [PubMed]
- Pardo-Ibanez, P.; Lopez-Rubio, A.; Martınez-Sanz, M.; Cabedo, L.; Lagaron, J.M. Keratin–Polyhydroxyalkanoate Melt-Compounded Composites with Improved Barrier Properties of Interest in Food Packaging Applications. J. Appl. Polym. Sci. 2014, 131, 39947. [Google Scholar] [CrossRef]
- Aranberri, I.; Montes, S.; Azcune, I.; Rekondo, A.; Grande, H.J. Fully Biodegradable Biocomposites with High Chicken Feather Content. Polymers 2017, 9, 593. [Google Scholar] [CrossRef] [PubMed]
- Li, B.; Sun, Y.; Yao, J.; Shen, Y.; Wu, H.; Li, J.; Yang, M. Characterization of the keratin/polyamide 6 composite fiber’s structure and performance prepared by the optimized spinning process based on the rheological analysis. Int. J. Biol. Macromol. 2022, 222, 938–949. [Google Scholar] [CrossRef] [PubMed]
- Vuluga, Z.; Corobea, M.C.; Elizetxea, C.; Ordonez, M.; Ghiurea, M.; Raditoiu, V.; Nicolae, C.A.; Florea, D.; Iorga, M.; Somoghi, R.; et al. Morphological and Tribological Properties of PMMA/Halloysite Nanocomposites. Polymers 2018, 10, 816. [Google Scholar] [CrossRef] [PubMed]
- ISO 527-1:2019; Plastics—Determination of Tensile Properties; Part 1: General Principles. ISO: Geneva, Switzerland, 2019.
- ISO 179-1:2023; Plastics—Determination of Charpy Impact Properties; Part 1: Non-Instrumented Impact Test. ISO: Geneva, Switzerland, 2023.
- Rooj, S.; Das, A.; Thakur, V.; Mahaling, R.N.; Bhowmick, A.K.; Heinrich, G. Preparation and properties of natural nanocomposites based on natural rubber and naturally occurring halloysite nanotubes. Mater. Des. 2010, 31, 2151–2156. [Google Scholar] [CrossRef]
- Pluta, M.; Bojda, J.; Piorkowska, E.; Murariu, M.; Bonnaud, L.; Dubois, P. The effect of halloysite nanotubes and N,N′-ethylenebis (stearamide) on the properties of polylactide nanocomposites with amorphous matrix. Polym. Test. 2017, 61, 35–45. [Google Scholar] [CrossRef]
- Nur-E-Alam, M.; Akter, N.; Chakma, S.; Fatema, K.; Azad, A.K.; Jaman Chowdhury, M.; Abu Sayid Mia, M. Alkali Enzymatic Extraction of Keratin Protein from Chicken Feather Waste in Bangladesh. Iran. J. Energy Environ. 2019, 10, 235–241. [Google Scholar] [CrossRef]
- Mattiello, S.; Guzzini, A.; Del Giudice, A.; Santulli, C.; Antonini, M.; Lupidi, G.; Gunnella, R. Physico-Chemical Characterization of Keratin fromWool and Chicken Feathers Extracted Using Refined Chemical Methods. Polymers 2023, 15, 181. [Google Scholar] [CrossRef]
- Rosen, M.; Franklin, L.C. Process for the Interconversion of Crystalline Forms of Ethylene Bis-Stearamide. U.S. Patent 4248792A, 3 February 1981. [Google Scholar]
- Xu, M.; Xu, M.; Dai, H.; Wang, S.; Wu, W. The impact of synthesis conditions on the structure and properties of di-(stearylamidoethyl) epoxypropyl ammonium chloride. BioResources 2013, 8, 3347–3357. [Google Scholar] [CrossRef]
- Huynh, M.D.; Trung, T.H.; Dat, N.H.; Giang, N.V. The melting rheology, mechanical properties, thermal stability and morphology of polylactic acid/ethylene bis stearamide modified gypsum composite. Vietnam J. Chem. 2020, 58, 251–255. [Google Scholar] [CrossRef]
- Cheng, H.; Frost, R.L.; Yang, J.; Liu, Q.; He, J. Infrared and infrared emission spectroscopic study of typical Chinese kaolinite and halloysite. Spectrochim. Acta Part A 2010, 77, 1014–1020. [Google Scholar] [CrossRef] [PubMed]
- Li, C.; Zhao, Y.; Zhu, T.; Li, Y.; Ruan, J.; Li, G. Effective solvent-free oxidation of cyclohexene to allylic products with oxygen by mesoporous etched halloysite nanotube supported Co2+. RSC Adv. 2018, 8, 14870–14878. [Google Scholar] [CrossRef] [PubMed]
- Szczepanik, B.; Redzia, N.; Frydel, L.; Słomkiewicz, P.; Kołbus, A.; Styszko, K.; Dziok, T.; Samojeden, B. Synthesis and Characterization of Halloysite/Carbon Nanocomposites for Enhanced NSAIDs Adsorption from Water. Materials 2019, 12, 3754. [Google Scholar] [CrossRef] [PubMed]
- Lampropoulou, P.; Papoulis, D. Halloysite in Different Ceramic Products: A Review. Materials 2021, 14, 5501. [Google Scholar] [CrossRef] [PubMed]
- Brezeștean, I.A.; Marconi, D.; Colniță, A.; Ciorîță, A.; Tripon, S.C.; Vuluga, Z.; Corobea, M.C.; Dina, N.E.; Turcu, I. Scanning Electron Microscopy and Raman Spectroscopy Characterization of Structural Changes Induced by Thermal Treatment in Innovative Bio-Based Polyamide Nanocomposites. Chemosensors 2022, 11, 28. [Google Scholar] [CrossRef]
- Ma, B.; Qiao, X.; Hou, X.; Yang, Y. Pure keratin membrane and fibers from chicken feather. Int. J. Biol. Macromol. 2016, 89, 614–621. [Google Scholar] [CrossRef] [PubMed]
- Pourjavaheri, F.; Pour, S.O.; Jones, O.A.H.; Smooker, P.M.; Brkljača, R.; Sherkat, F.; Blanch, E.W.; Gupta, A.; Shanks, R.A. Extraction of keratin from waste chicken feathers using sodium sulfide and Lcysteine. Process Biochem. 2019, 82, 205–214. [Google Scholar] [CrossRef]
- Pluta, M.; Bojda, J.; Piorkowska, E.; Murariu, M.; Bonnaud, L.; Dubois, P. The effect of halloysite nanotubes and N,N′-ethylenebis (stearamide) on morphology and properties of polylactide nanocomposites with crystalline matrix. Polym. Test. 2017, 64, 83–91. [Google Scholar] [CrossRef]
- Quiles-Carrillo, L.; Montanes, N.; Fombuena, V.; Balart, R.; Torres-Ginerb, S. Enhancement of the processing window and performance of polyamide 1010/bio-based high-density polyethylene blends by melt mixing with natural additives. Polym. Int. 2020, 69, 61–71. [Google Scholar] [CrossRef]
- Marset, D.; Dolza, C.; Boronat, T.; Montanes, N.; Balart, R.; Sanchez-Nacher, L.; Quiles-Carrillo, L. Injection-Molded Parts of Partially Biobased Polyamide 610 and Biobased Halloysite Nanotubes. Polymers 2020, 12, 1503. [Google Scholar] [CrossRef] [PubMed]
- Farias-Aguilar, J.C.; Ramírez-Moreno, M.J.; Téllez-Jurado, L.; Balmori-Ramírez, H. Low pressure and low temperature synthesis of polyamide-6 (PA6) using using Na0 as catalyst. Mater. Lett. 2014, 136, 388–392. [Google Scholar] [CrossRef]
- Ding, P.; Su, S.; Song, N.; Tang, S.; Liu, Y.; Shi, L. Influence on thermal conductivity of polyamide-6 covalently-grafted graphene nanocomposites: Varied grafting-structures by controllable macromolecular length. RSC Adv. 2014, 4, 18782–18791. [Google Scholar] [CrossRef]
- Zhang, Z.; Liu, W.; Liu, H.; Sun, A.; Yoo, Y.; He, S.; Zhu, C.; Yang, M. The Thermal Behavior of -PA1010: Evolution of Structure and Morphology in the Simultaneous Thermal Stretched Films. Materials 2020, 13, 1722. [Google Scholar] [CrossRef] [PubMed]
- Unnikrishnan, V.; Zabihi, O.; Li, Q.; Ahmadi, M.; Ferdowsi, M.R.G.; Kannangara, T.; Blanchard, P.; Kiziltas, A.; Joseph, P.; Naebe, M. Multifunctional PA6 composites using waste glass fiber and green metal organic framework/graphene hybrids. Polym. Compos. 2022, 43, 5877–5893. [Google Scholar] [CrossRef]
- Huang, H.-X.; Wang, B.; Zhou, W.-W. Polymorphism in polyamide 6 and polyamide 6/clay nanocomposites molded via water-assisted injection molding. Compos. Part B Eng. 2012, 43, 972–977. [Google Scholar] [CrossRef]
- Dencheva, N.; Denchev, Z.; Oliveira, M.J.; Funari, S.S. Relationship between Crystalline Structure and Mechanical Behavior in Isotropic and Oriented Polyamide 6. J. Appl. Polym. Sci. 2007, 103, 2242–2252. [Google Scholar] [CrossRef]
- Araujo, E.M.; Leite, A.M.D.; Paz, R.A.; Medeiros, V.N.; Melo, T.J.A.; Lira, H.L. Polyamide 6 Nanocomposites with Inorganic Particles Modifiedwith Three Quaternary Ammonium Salts. Materials 2011, 4, 1956–1966. [Google Scholar] [CrossRef] [PubMed]
- Caban, R.; Gnatowski, A. Structural and Thermal Examinations of Polyamide Modified with Fly Ash from Biomass Combustion. Materials 2023, 16, 5277. [Google Scholar] [CrossRef] [PubMed]
- Kornilova, A.V.; Gorbachevskii, M.V.; Kuralbayeva, G.A.; Jana, S.; Novikov, A.A.; Eliseev, A.A.; Vasiliev, A.N.; Timoshenko, V.Y. Plasmonic Properties of Halloysite Nanotubes with Immobilized Silver Nanoparticles for Applications in Surface-Enhanced Raman Scattering. Phys. Status Solidi A 2019, 216, 1800886. [Google Scholar] [CrossRef]
- Coquelle, M.; Duquesne, S.; Casetta, M.; Sun, J.; Gu, X.; Zhang, S.; Bourbigot, S. Flame Retardancy of PA6 Using a Guanidine Sulfamate/Melamine Polyphosphate Mixture. Polymers 2015, 7, 316–332. [Google Scholar] [CrossRef]
- Ma, N.; Liu, W.; Ma, L.; He, S.; Liu, H.; Zhang, Z.; Sun, A.; Huang, M.; Zhu, C. Crystal transition and thermal behavior of Nylon 12. e-Polymers 2020, 20, 346–352. [Google Scholar] [CrossRef]
- Muthuraj, R.; Hajee, M.; Horrocks, A.R.; Kandola, B.K. Effect of compatibilizers on lignin/bio-polyamide blend carbon precursor filament properties and their potential for thermostabilisation and carbonisation. Polym. Test. 2021, 95, 107133. [Google Scholar] [CrossRef]
- Anton, A.M.; Zhuravlev, E.; Kossack, W.; Andrianov, R.; Schick, C.; Kremer, F. Fingerprints of homogeneous nucleation and crystal growth in polyamide 66 as studied by combined infrared spectroscopy and fast scanning chip calorimetry. Colloid Polym. Sci. 2020, 298, 697–706. [Google Scholar] [CrossRef]
- Zainuddin, S.; Fahim, A.; Shoieb, S.; Syed, F.; Hosur, M.V.; Li, D.; Hicks, C.; Jeelani, J. Morphological and mechanical behavior of chemically treated jute-PHBV bio-nanocomposites reinforced with silane grafted halloysite nanotubes. J. Appl. Polym. Sci. 2016, 133, 43994. [Google Scholar] [CrossRef]
- Oliver, W.C. Measurement of hardness and elastic modulus byinstrumented indentation: Advances in understanding and refinements to methodology. J. Mater. Res. 2004, 19, 3–20. [Google Scholar] [CrossRef]
- Markarian, J. Additives improve scratch resistance in automotive applications. Plast. Addit. Compd. 2009, 11, 10–15. [Google Scholar] [CrossRef]

















| Sample | RT–130 °C | 130–530 °C | 530–750 °C | Residue at 750 °C | |
|---|---|---|---|---|---|
| Wt. Loss | Wt. Loss | Tmax | Wt. Loss | ||
| % | % | °C | % | % | |
| EBS | 0.00 | 99.69 | 400.4 | 0.15 | 0.16 |
| HNT | 1.34 | 13.29 | 476.9 | 1.27 | 84.10 |
| KC | 9.93 | 66.14 | 312.9 | 14.69 | 9.24 |
| HE | 0.55 | 39.97 | 344.2 | 1.26 | 58.22 |
| KCHM | 7.12 | 56.84 | 318.5 | 10.52 | 25.52 |
| KCHE | 6.80 | 59.26 | 323.3 | 14.05 | 19.89 |
| First Heating | Enthalpy 1 | Enthalpy 2 | Enthalpy 3 | Enthalpy 4 | Enthalpy 5 | ||||||||||
|---|---|---|---|---|---|---|---|---|---|---|---|---|---|---|---|
| Onset | Tmax | ΔHm | Onset | Tmax | ΔHm | Onset | Tmax | ΔHm | Onset | Tmax | ΔHm | Onset | Tmax | ΔHm | |
| °C | °C | J/(g) | °C | °C | J/(g) | °C | °C | J/(g) | °C | °C | J/(g) | °C | °C | J/(g) | |
| EBS | 60.8 | 68.1 | 7.0 | 99.6 | 105.5 | 33.4 | 138.6 | 143.6 | 122.9 | ||||||
| HE | 59.2 | 66.0 | 4.5 | 75.8 | 99.5 | 3.3 | 139.9 | 145.1 | 33.7 | ||||||
| HNT | 14.7 | 72.6 | 34.0 | ||||||||||||
| KC | 54.9 | 89.8 | 243.2 | 166.3 | 212.1 | 67.3 | 255.8 | 275.8 | 16.5 | ||||||
| KCHE | 35.6 | 74.5 | 160.1 | 140.0 | 145.6 | 5.8 | 162.7 | 272.5 | 130.7 | ||||||
| KCHM | 29.2 | 73.3 | 179.9 | 163.4 | 270.8 | 146.6 | |||||||||
| Sample Name | PA Diffraction Plane | 2θ (°) | d-Value (Å) | Height (cps) | FWHM (°) | Size (Å) |
|---|---|---|---|---|---|---|
| PA | γ(001) | 8.24 | 10.73 | 7750 | 1.42 | 56 |
| α(200) | 20.15 | 4.40 | 70,601 | 1.23 | 65 | |
| α(002) | 23.75 | 3.74 | 48,527 | 2.69 | 30 | |
| PA–KCHM | γ(001) | 8.11 | 10.89 | 8096 | 1.52 | 52 |
| α(200) | 20.09 | 4.42 | 53,922 | 1.17 | 69 | |
| α(002) | 23.63 | 3.76 | 28,429 | 2.23 | 36 | |
| PA–KCHE | γ(001) | 8.77 | 10.67 | 9080 | 1.37 | 58 |
| α(200) | 20.05 | 4.43 | 50,167 | 0.59 | 136 | |
| α(002) | 23.80 | 3.74 | 30,468 | 1.69 | 48 |
| Sample | RT–230 °C | 230–397 °C | 397–503 °C | 503–700 °C | Residue at 700 °C | ||
|---|---|---|---|---|---|---|---|
| Wt. Loss | Wt. Loss | Wt. Loss | Tmax | Wt. Loss | Tmax | ||
| % | % | % | °C | % | °C | % | |
| PA | 0.56 | 2.93 | 94.86 | 465.2 | 1.28 | 531.2 | 0.37 |
| PA–KCHM | 0.89 | 5.36 | 89.35 | 462.3 | 3.32 | 550.7 | 1.08 |
| PA–KCHE | 0.90 | 6.41 | 89.55 | 461.3 | 1.93 | 552.0 | 1.21 |
| Sample | Crystallization | Melting 1 | Melting 2 | Total | |||||||||
|---|---|---|---|---|---|---|---|---|---|---|---|---|---|
| Onset | Tc | ΔHc | Onset | Tm1 | ΔHm1 | Xc1 | Onset | Tm2 | ΔHm2 | Xc2 | ΔHm | Xc | |
| °C | °C | J/(g) | °C | °C | J/(g) | % | °C | °C | J/(g) | % | J/(g) | % | |
| PA | 183.4 | 178.8 | 70.31 | 167.8 | 188.0 | 42.26 | 17.88 | 191.6 | 198.6 | 27.96 | 11.46 | 71.59 | 29.34 |
| PA–KCHM | 183.0 | 178.4 | 64.40 | 171.9 | 187.4 | 37.60 | 16.39 | 191.8 | 198.8 | 29.29 | 12.77 | 66.89 | 29.16 |
| PA–KCHE | 182.7 | 178.0 | 66.05 | 163.8 | 186.8 | 48.51 | 22.95 | 191.4 | 198.3 | 30.25 | 13.25 | 82.65 | 36.20 |
| Sample | Step Transition-Storage Modulus | Loss Modulus, E″ | Tan Delta | ||||
|---|---|---|---|---|---|---|---|
| Onset | Midpoint (I) | End | Temperature | E″, Peak Max. | Temperature | Tan δ, Peak Max. | |
| °C | °C | °C | °C | MPa | °C | ||
| PA | 43.39 | 54.92 | 71.27 | 47.37 | 112.3 | 63.65 | 0.1200 |
| PA–KCHE | 42.75 | 54.69 | 70.82 | 47.83 | 118.8 | 63.76 | 0.1236 |
| PA–KCHM | 42.08 | 55.22 | 71.17 | 47.26 | 118.7 | 63.65 | 0.1222 |
| Sample | Rq (nm) | μ | SD (nm) |
|---|---|---|---|
| PA | 146 ± 14 | 0.32 ± 0.007 | 463 ± 32 |
| PA–KCHM | 152 ± 9 | 0.33 ± 0.007 | 410 ± 40 |
| PA–KCHE | 137 ± 5 | 0.31 ± 0.001 | 383 ± 23 |
Disclaimer/Publisher’s Note: The statements, opinions and data contained in all publications are solely those of the individual author(s) and contributor(s) and not of MDPI and/or the editor(s). MDPI and/or the editor(s) disclaim responsibility for any injury to people or property resulting from any ideas, methods, instructions or products referred to in the content. |
© 2024 by the authors. Licensee MDPI, Basel, Switzerland. This article is an open access article distributed under the terms and conditions of the Creative Commons Attribution (CC BY) license (https://creativecommons.org/licenses/by/4.0/).
Share and Cite
Teodorescu, G.M.; Vuluga, Z.; Ioniță, A.; Nicolae, C.A.; Ghiurea, M.; Gabor, A.R.; Rădițoiu, V.; Raduly, M.; Brezeştean, I.A.; Marconi, D.; et al. Morphological, Thermal, and Mechanical Properties of Nanocomposites Based on Bio-Polyamide and Feather Keratin–Halloysite Nanohybrid. Polymers 2024, 16, 2003. https://doi.org/10.3390/polym16142003
Teodorescu GM, Vuluga Z, Ioniță A, Nicolae CA, Ghiurea M, Gabor AR, Rădițoiu V, Raduly M, Brezeştean IA, Marconi D, et al. Morphological, Thermal, and Mechanical Properties of Nanocomposites Based on Bio-Polyamide and Feather Keratin–Halloysite Nanohybrid. Polymers. 2024; 16(14):2003. https://doi.org/10.3390/polym16142003
Chicago/Turabian StyleTeodorescu, George Mihail, Zina Vuluga, Andreea Ioniță, Cristian Andi Nicolae, Marius Ghiurea, Augusta Raluca Gabor, Valentin Rădițoiu, Monica Raduly, Ioana Andreea Brezeştean, Daniel Marconi, and et al. 2024. "Morphological, Thermal, and Mechanical Properties of Nanocomposites Based on Bio-Polyamide and Feather Keratin–Halloysite Nanohybrid" Polymers 16, no. 14: 2003. https://doi.org/10.3390/polym16142003
APA StyleTeodorescu, G. M., Vuluga, Z., Ioniță, A., Nicolae, C. A., Ghiurea, M., Gabor, A. R., Rădițoiu, V., Raduly, M., Brezeştean, I. A., Marconi, D., & Turcu, I. (2024). Morphological, Thermal, and Mechanical Properties of Nanocomposites Based on Bio-Polyamide and Feather Keratin–Halloysite Nanohybrid. Polymers, 16(14), 2003. https://doi.org/10.3390/polym16142003

