Effects of Nozzle Temperature on Mechanical Properties of Polylactic Acid Specimens Fabricated by Fused Deposition Modeling
Abstract
1. Introduction
2. Materials and Methods
2.1. Materials and Processing Parameters
2.2. Thermal Characterization
2.3. X-ray Diffraction (XRD)
2.4. Scanning Electron Microscopy (SEM)
2.5. Mechanical Testing
3. Results and Discussion
3.1. Thermal and XRD Analysis
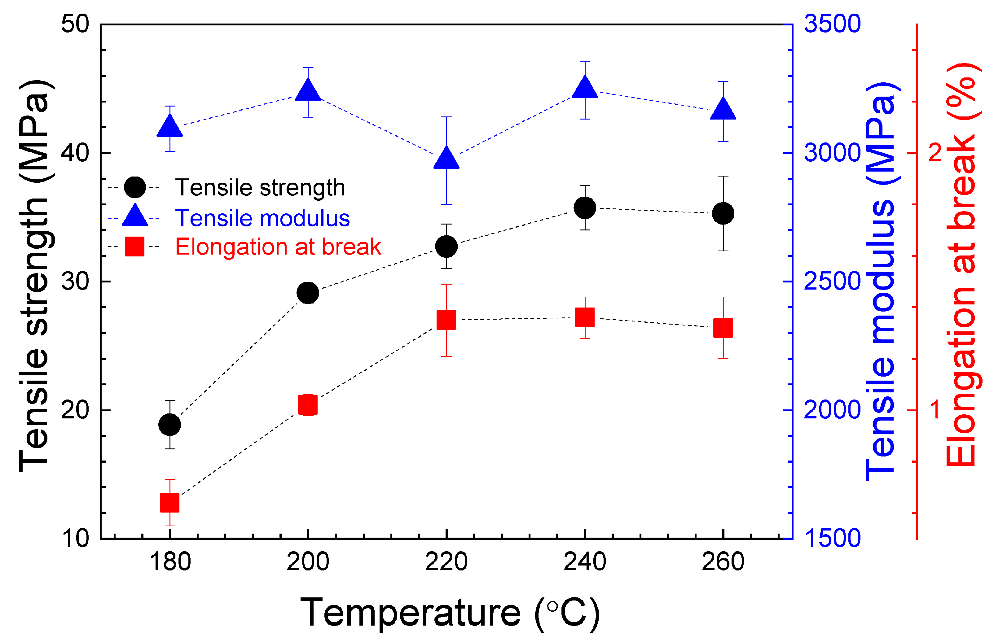
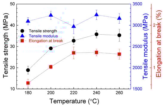
3.2. Tensile Tests
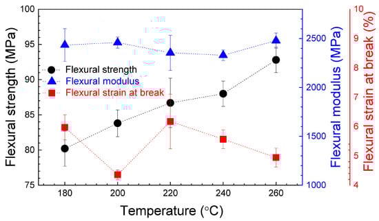
3.3. Flexural Tests
3.4. Compression Tests
4. Conclusions
Supplementary Materials
Author Contributions
Funding
Institutional Review Board Statement
Data Availability Statement
Conflicts of Interest
Correction Statement
References
- Attaran, M. The Rise of 3-D Printing: The Advantages of Additive Manufacturing over Traditional Manufacturing. Bus. Horiz. 2017, 60, 677–688. [Google Scholar] [CrossRef]
- Prakash, K.S.; Nancharaih, T.; Rao, V.V.S. Additive Manufacturing Techniques in Manufacturing—An Overview. Mater. Today Proc. 2018, 5, 3873–3882. [Google Scholar] [CrossRef]
- Shahrubudin, N.; Lee, T.C.; Ramlan, R. An Overview on 3D Printing Technology: Technological, Materials, and Applications. Procedia Manuf. 2019, 35, 1286–1296. [Google Scholar] [CrossRef]
- Thakar, C.M.; Parkhe, S.S.; Jain, A.; Phasinam, K.; Murugesan, G.; Ventayen, R.J.M. 3d Printing: Basic Principles and Applications. Mater. Today Proc. 2022, 51, 842–849. [Google Scholar] [CrossRef]
- Sajjad, R.; Chauhdary, S.T.; Anwar, M.T.; Zahid, A.; Khosa, A.A.; Imran, M.; Sajjad, M.H. A Review of 4D Printing—Technologies, Shape Shifting, Smart Polymer Based Materials, and Biomedical Applications. Adv. Ind. Eng. Polym. Res. 2024, 7, 20–36. [Google Scholar] [CrossRef]
- Mazurchevici, A.D.; Nedelcu, D.; Popa, R. Additive Manufacturing of Composite Materials by FDM Technology: A Review. Indian J. Eng. Mater. Sci. 2020, 27, 179–192. [Google Scholar]
- Dhinakaran, V.; Kumar, K.P.M.; Ram, P.M.B.; Ravichandran, M.; Vinayagamoorthy, M. A Review on Recent Advancements in Fused Deposition Modeling. Mater. Today Proc. 2020, 27, 752–756. [Google Scholar] [CrossRef]
- Zhang, P.; Wang, Z.; Li, J.; Li, X.; Cheng, L. From Materials to Devices Using Fused Deposition Modeling: A State-of-Art Review. Nanotechnol. Rev. 2020, 9, 1594–1609. [Google Scholar] [CrossRef]
- Rajan, K.; Samykano, M.; Kadirgama, K.; Harun, W.S.W.; Rahman, M.M. Fused Deposition Modeling: Process, Materials, Parameters, Properties, and Applications; Springer: London, UK, 2022; ISBN 0017002208860. [Google Scholar]
- Harsha Arigela, S.; Kumar Chintamreddy, V. Fused Deposition Modeling of an Aircraft Wing Using Industrial Robot with Non-Linear Tool Path Generation. Int. J. Eng. Trans. A Basics 2021, 34, 272–282. [Google Scholar] [CrossRef]
- Ciofu, C.; Mazurchevici, S.N.; Maldonado-Cortes, D.; Pena-Paras, L.; Correa, D.I.Q.; Nedelcu, D. Tribological Behavior of PLA Biodegradable Materials Used in the Automotive Industry. Int. J. Mod. Manuf. Technol. 2019, 11, 83–88. [Google Scholar]
- Fitzpatrick, X.; Fayzullin, A.; Wang, G.; Parker, L.; Dokos, S.; Guller, A. Cells-in-Touch: 3D Printing in Reconstruction and Modelling of Microscopic Biological Geometries for Education and Future Research Applications. Bioengineering 2023, 10, 687. [Google Scholar] [CrossRef]
- Jamshidian, M.; Tehrany, E.A.; Imran, M.; Jacquot, M.; Desobry, S. Poly-Lactic Acid: Production, Applications, Nanocomposites, and Release Studies. Compr. Rev. Food Sci. Food Saf. 2010, 9, 552–571. [Google Scholar] [CrossRef]
- Henton, D.E.; Gruber, P.; Lunt, J.; Randall, J. Polylactic Acid Technology. Nat. Fibers, Biopolym. Biocompos. 2005, 12, 527–577. [Google Scholar] [CrossRef]
- Farah, S.; Anderson, D.G.; Langer, R. Physical and Mechanical Properties of PLA, and Their Functions in Widespread Applications—A Comprehensive Review. Adv. Drug Deliv. Rev. 2016, 107, 367–392. [Google Scholar] [CrossRef]
- Sawyer, D.J. Bioprocessing—No Longer a Field of Dreams. Macromol. Symp. 2003, 201, 271–282. [Google Scholar] [CrossRef]
- Lanzotti, A.; Grasso, M.; Staiano, G.; Martorelli, M. The Impact of Process Parameters on Mechanical Properties of Parts Fabricated in PLA with an Open-Source 3-D Printer. Rapid Prototyp. J. 2015, 21, 604–617. [Google Scholar] [CrossRef]
- Rajpurohit, S.; Dave, H. Tensile Properties of 3D Printed PLA under Unidirectional and Bidirectional Raster Angle: A Comparative Study. Int. J. Mater. Metall. Eng. 2018, 12, 6–11. [Google Scholar]
- Vǎlean, C.; Marşavina, L.; Mǎrghitaşl, M.; Linul, E.; Razavi, J.; Berto, F. Effect of Manufacturing Parameters on Tensile Properties of FDM Printed Specimens. Procedia Struct. Integr. 2020, 26, 313–320. [Google Scholar] [CrossRef]
- Corapi, D.; Morettini, G.; Pascoletti, G.; Zitelli, C. Characterization of a Polylactic Acid (PLA) Produced by Fused Deposition Modeling (FDM) Technology. Procedia Struct. Integr. 2019, 24, 289–295. [Google Scholar] [CrossRef]
- Afrose, M.F.; Masood, S.H.; Iovenitti, P.; Nikzad, M.; Sbarski, I. Effects of Part Build Orientations on Fatigue Behaviour of FDM-Processed PLA Material. Prog. Addit. Manuf. 2016, 1, 21–28. [Google Scholar] [CrossRef]
- Liu, X.; Zhang, M.; Li, S.; Si, L.; Peng, J.; Hu, Y. Mechanical Property Parametric Appraisal of Fused Deposition Modeling Parts Based on the Gray Taguchi Method. Int. J. Adv. Manuf. Technol. 2017, 89, 2387–2397. [Google Scholar] [CrossRef]
- Jaya Christiyan, K.G.; Chandrasekhar, U.; Venkateswarlu, K. Flexural Properties of PLA Components Under Various Test Condition Manufactured by 3D Printer. J. Inst. Eng. Ser. C 2018, 99, 363–367. [Google Scholar] [CrossRef]
- Sajjad, R.; Butt, S.U.; Saeed, H.A.; Anwar, M.T.; Rasheed, T. Impact of Multiple Infill Strategy on the Structural Strength of Single Build FDM Printed Parts. J. Manuf. Process. 2023, 89, 105–110. [Google Scholar] [CrossRef]
- Torres, J.; Cole, M.; Owji, A.; DeMastry, Z.; Gordon, A.P. An Approach for Mechanical Property Optimization of Fused Deposition Modeling with Polylactic Acid via Design of Experiments. Rapid Prototyp. J. 2016, 22, 387–404. [Google Scholar] [CrossRef]
- Popescu, D.; Zapciu, A.; Amza, C.; Baciu, F.; Marinescu, R. FDM Process Parameters Influence over the Mechanical Properties of Polymer Specimens: A Review. Polym. Test. 2018, 69, 157–166. [Google Scholar] [CrossRef]
- Akhoundi, B.; Nabipour, M.; Hajami, F.; Shakoori, D. An Experimental Study of Nozzle Temperature and Heat Treatment (Annealing) Effects on Mechanical Properties of High-Temperature Polylactic Acid in Fused Deposition Modeling. Polym. Eng. Sci. 2020, 60, 979–987. [Google Scholar] [CrossRef]
- Song, Y.; Li, Y.; Song, W.; Yee, K.; Lee, K.Y.; Tagarielli, V.L. Measurements of the Mechanical Response of Unidirectional 3D-Printed PLA. Mater. Des. 2017, 123, 154–164. [Google Scholar] [CrossRef]
- Ding, S.; Zou, B.; Wang, P.; Ding, H. Effects of Nozzle Temperature and Building Orientation on Mechanical Properties and Microstructure of PEEK and PEI Printed by 3D-FDM. Polym. Test. 2019, 78, 105948. [Google Scholar] [CrossRef]
- Foppiano, M.; Saluja, A.; Fayazbakhsh, K. The Effect of Variable Nozzle Temperature and Cross-Sectional Pattern on Interlayer Tensile Strength Of 3D Printed ABS Specimens. Exp. Mech. 2021, 61, 1473–1487. [Google Scholar] [CrossRef]
- ISO 527-2:2012; Plastics—Determination of Tensile Properties—Part 2: Test Conditions for Moulding and Extrusion Plastics. International Organization for Standardization: Geneva, Switzerland, 2012.
- ISO 178:2019; Plastics—Determination of Flexural Properties. International Organization for Standardization: Geneva, Switzerland, 2020.
- ISO 604:2002; Plastics—Determination of Compressive Properties. International Organization for Standardization: Geneva, Switzerland, 2003.
- ISO 11357-1:2016; Plastics—Differential Scanning Calorimetry (DSC)—Part 1: General Principles. International Organization for Standardization: Geneva, Switzerland, 2017.
- ISO 527-1:2019; Plastics—Determination of Tensile Properties—Part 1: General Principles. International Organization for Standardization: Geneva, Switzerland, 2020.
- ASTM D790-03; Standard Test Method for Flexural Properties of Unreinforced and Reinforced Plastics and Electrical Insulation Materials. ASTM Stand: West Conshohocken, PA, USA, 2015; pp. 1–11.
- Spoerk, M.; Gonzalez-Gutierrez, J.; Sapkota, J.; Schuschnigg, S.; Holzer, C. Effect of the Printing Bed Temperature on the Adhesion of Parts Produced by Fused Filament Fabrication. Plast. Rubber Compos. 2018, 47, 17–24. [Google Scholar] [CrossRef]
- Chandran, V.; Kalman, J.; Fayazbakhsh, K.; Bougherara, H. A Comparative Study of the Tensile Properties of Compression Molded and 3D Printed PLA Specimens in Dry and Water Saturated Conditions. J. Mech. Sci. Technol. 2021, 35, 1977–1985. [Google Scholar] [CrossRef]
- Wittbrodt, B.; Pearce, J.M. The Effects of PLA Color on Material Properties of 3-D Printed Components. Addit. Manuf. 2015, 8, 110–116. [Google Scholar] [CrossRef]
- Tymrak, B.M.; Kreiger, M.; Pearce, J.M. Mechanical Properties of Components Fabricated with Open-Source 3-D Printers under Realistic Environmental Conditions. Mater. Des. 2014, 58, 242–246. [Google Scholar] [CrossRef]
- Ferreira, R.T.L.; Amatte, I.C.; Dutra, T.A.; Bürger, D. Experimental Characterization and Micrography of 3D Printed PLA and PLA Reinforced with Short Carbon Fibers. Compos. Part B Eng. 2017, 124, 88–100. [Google Scholar] [CrossRef]
- Alafaghani, A.; Qattawi, A.; Alrawi, B.; Guzman, A. Experimental Optimization of Fused Deposition Modelling Processing Parameters: A Design-for-Manufacturing Approach. Procedia Manuf. 2017, 10, 791–803. [Google Scholar] [CrossRef]
- Pastor-Artigues, M.M.; Roure-Fernández, F.; Ayneto-Gubert, X.; Bonada-Bo, J.; Pérez-Guindal, E.; Buj-Corral, I. Elastic Asymmetry of PLA Material in FDM-Printed Parts: Considerations Concerning Experimental Characterisation for Use in Numerical Simulations. Materials 2020, 13, 15. [Google Scholar] [CrossRef] [PubMed]
- Webbe Kerekes, T.; Lim, H.; Joe, W.Y.; Yun, G.J. Characterization of Process–Deformation/Damage Property Relationship of Fused Deposition Modeling (FDM) 3D-Printed Specimens. Addit. Manuf. 2019, 25, 532–544. [Google Scholar] [CrossRef]
- Hsueh, M.H.; Lai, C.J.; Wang, S.H.; Zeng, Y.S.; Hsieh, C.H.; Pan, C.Y.; Huang, W.C. Effect of Printing Parameters on the Thermal and Mechanical Properties of 3d-Printed Pla and Petg, Using Fused Deposition Modeling. Polymers 2021, 13, 1758. [Google Scholar] [CrossRef] [PubMed]
- Rivera-López, F.; Hernández-Molina, M.; del Medico Bravo, A.; Laz Pavón, M.M. Effect of Process Parameters and Postprocessing on Mechanical Properties of Additive Manufacturing Polylactic Acid Obtained by Fused Deposition Modeling. 3D Print. Addit. Manuf. 2023, 10, 60–69. [Google Scholar] [CrossRef]
- Nugroho, A.; Ardiansyah, R.; Rusita, L.; Larasati, I.L. Effect of Layer Thickness on Flexural Properties of PLA (PolyLactid Acid) by 3D Printing. J. Phys. Conf. Ser. 2018, 1130, 012017. [Google Scholar] [CrossRef]
- Brischetto, S.; Torre, R. Tensile and Compressive Behavior in the Experimental Tests for Pla Specimens Produced via Fused Deposition Modelling Technique. J. Compos. Sci. 2020, 4, 140. [Google Scholar] [CrossRef]

















| Parameter | Value |
|---|---|
| Layer width | 0.4 mm |
| Layer height | 0.2 mm |
| Infill density | 100% |
| Bed temperature | 60 °C |
| Deposition speed: perimeters | 40 mm/s |
| Deposition speed: infill | 50 mm/s |
| Deposition speed: first layer | 20 mm/s |
| Tensile Specimens—Horizontal Manufactured Orientation | |||||
|---|---|---|---|---|---|
| Nozzle Temperature (°C) | Tensile Strength (MPa) | Tensile Modulus (MPa) | Elongation at Break (%) | Ambient Conditions | |
| T (°C) | HR (%) | ||||
| 180 | 45.50 (2.21) | 3220.46 (54.65) | 2.04 (0.22) | 18.1 | 66.3 |
| 200 | 58.65 (1.84) | 3495.12 (86.74) | 2.49 (0.33) | 17.9 | 61.7 |
| 220 | 57.64 (2.17) | 3660.66 (279.78) | 2.31 (0.22) | 17.6 | 61.0 |
| 240 | 57.02 (1.88) | 3714.28 (159.88) | 2.50 (0.35) | 17.7 | 66.0 |
| 260 | 51.71 (1.74) | 3332.62 (122.92) | 2.19 (0.23) | 17.1 | 72.1 |
| Tensile Specimens—Transversal Manufactured Orientation | |||||
|---|---|---|---|---|---|
| Nozzle Temperature (°C) | Tensile Strength (MPa) | Tensile Modulus (MPa) | Elongation at Break (%) | Ambient Conditions | |
| T (°C) | HR (%) | ||||
| 180 | 18.86 (1.88) | 3095.08 (87.49) | 0.64 (0.09) | 20.3 | 66.0 |
| 200 | 29.11 (0.79) | 3233.96 (97.17) | 1.02 (0.04) | 19.2 | 65.5 |
| 220 | 32.73 (1.74) | 2970.50 (170.15) | 1.35 (0.14) | 20.2 | 68.4 |
| 240 | 35.74 (1.74) | 3245.00 (112.52) | 1.36 (0.08) | 20.3 | 67.8 |
| 260 | 35.30 (2.90) | 3161.10 (117.89) | 1.32 (0.12) | 19.1 | 64.8 |
| Flexural Specimens | |||||
|---|---|---|---|---|---|
| Nozzle Temperature (°C) | Flexural Strength (MPa) | Flexural Modulus (MPa) | Flexural Strain at Break (%) | Ambient Conditions | |
| T (°C) | HR (%) | ||||
| 180 | 80.2 (2.5) | 2434.41 (167.22) | 5.97 (0.43) | 16.9 | 61.0 |
| 200 | 83.8 (1.9) | 2459.10 (57.15) | 4.36 (0.16) | 17.2 | 63.9 |
| 220 | 86.7 (3.5) | 2354.80 (179.49) | 6.17 (0.93) | 17.6 | 62.4 |
| 240 | 88.0 (1.8) | 2329.86 (53.88) | 5.57 (0.32) | 17.7 | 66.4 |
| 260 | 92.8 (1.8) | 2479.02 (77.33) | 4.97 (0.32) | 17.7 | 65.0 |
| Compressive Specimens | ||||
|---|---|---|---|---|
| Nozzle Temperature (°C) | Compressive Yield Strength (MPa) | Compressive Modulus (MPa) | Ambient Conditions | |
| T (°C) | HR (%) | |||
| 180 | 88.1 (0.5) | 2454.58 (18.20) | 17.9 | 63.0 |
| 200 | 89.0 (0.7) | 2476.28 (21.01) | 18.4 | 62.0 |
| 220 | 92.7 (1.0) | 2576.22 (17.57) | 17.7 | 55.0 |
| 240 | 93.0 (0.3) | 2565.78 (9.96) | 17.7 | 62.3 |
| 260 | 92.9 (0.3) | 2568.16 (7.08) | 18.0 | 67.7 |
Disclaimer/Publisher’s Note: The statements, opinions and data contained in all publications are solely those of the individual author(s) and contributor(s) and not of MDPI and/or the editor(s). MDPI and/or the editor(s) disclaim responsibility for any injury to people or property resulting from any ideas, methods, instructions or products referred to in the content. |
© 2024 by the authors. Licensee MDPI, Basel, Switzerland. This article is an open access article distributed under the terms and conditions of the Creative Commons Attribution (CC BY) license (https://creativecommons.org/licenses/by/4.0/).
Share and Cite
Rivera-López, F.; Pavón, M.M.L.; Correa, E.C.; Molina, M.H. Effects of Nozzle Temperature on Mechanical Properties of Polylactic Acid Specimens Fabricated by Fused Deposition Modeling. Polymers 2024, 16, 1867. https://doi.org/10.3390/polym16131867
Rivera-López F, Pavón MML, Correa EC, Molina MH. Effects of Nozzle Temperature on Mechanical Properties of Polylactic Acid Specimens Fabricated by Fused Deposition Modeling. Polymers. 2024; 16(13):1867. https://doi.org/10.3390/polym16131867
Chicago/Turabian StyleRivera-López, Fernando, María M. Laz Pavón, Eduardo Cabello Correa, and María Hernández Molina. 2024. "Effects of Nozzle Temperature on Mechanical Properties of Polylactic Acid Specimens Fabricated by Fused Deposition Modeling" Polymers 16, no. 13: 1867. https://doi.org/10.3390/polym16131867
APA StyleRivera-López, F., Pavón, M. M. L., Correa, E. C., & Molina, M. H. (2024). Effects of Nozzle Temperature on Mechanical Properties of Polylactic Acid Specimens Fabricated by Fused Deposition Modeling. Polymers, 16(13), 1867. https://doi.org/10.3390/polym16131867

