Study of the Thermal Phase Transition of Poly(N,N-diethylacrylamide-co-N-ethylacrylamide) Random Copolymers in Aqueous Solution
Abstract
1. Introduction
2. Materials and Methods
2.1. Materials
2.2. Synthesis of PDEAm, PNEAm Homopolymers, and PDEAm-co-PNEAm Random Copolymers by Free Radical Polymerization
2.3. Size Exclusion Chromatography (SEC-MALS)
2.4. Turbidity Measurements
2.5. Dynamic Light Scattering (DLS) and ζ-Potential
2.6. Fourier Transform Infrared Spectroscopy (FTIR)
2.7. Proton Nuclear Magnetic Resonance Spectroscopy (1H-NMR)
3. Results and Discussion
3.1. Polymer Synthesis and Structural Characterization
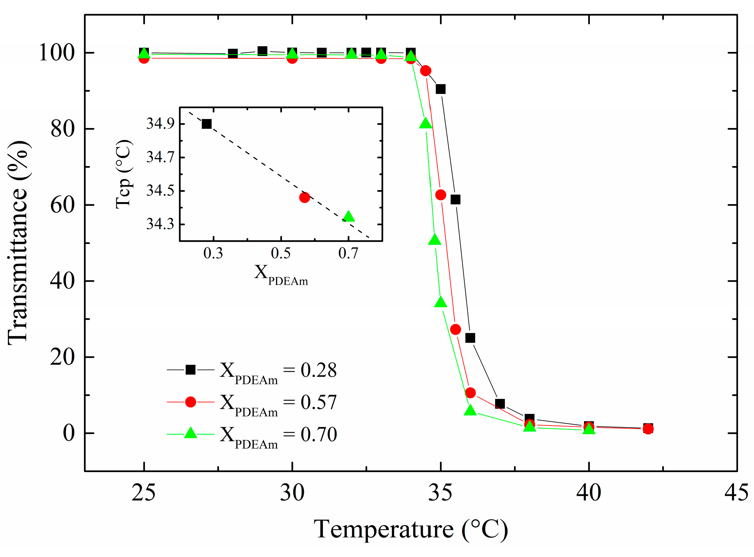
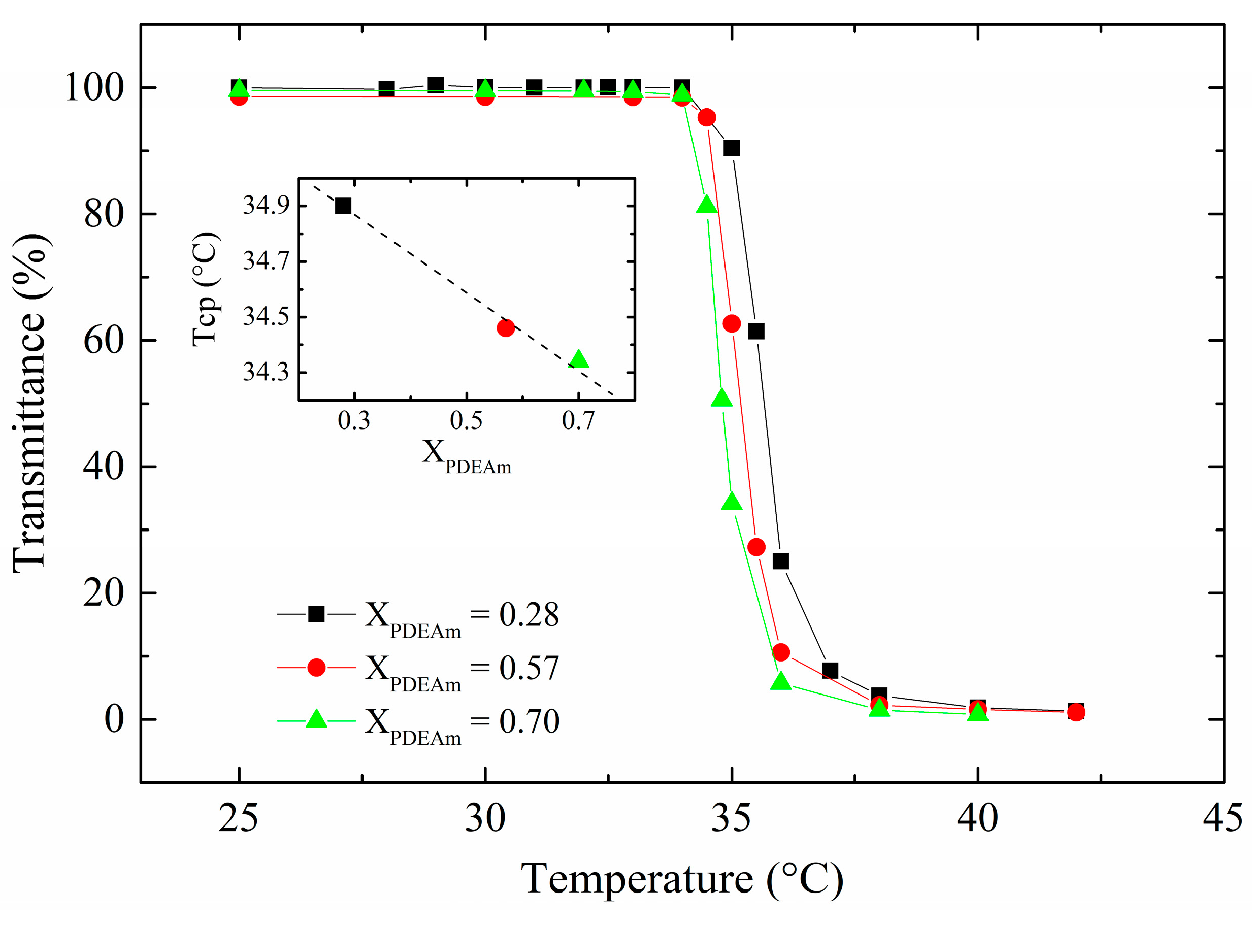
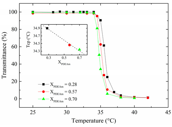
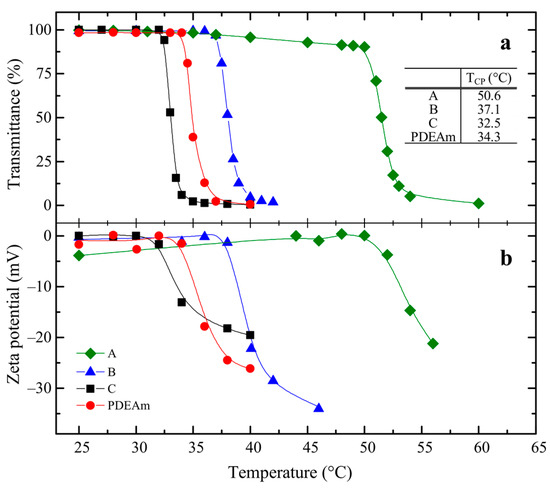
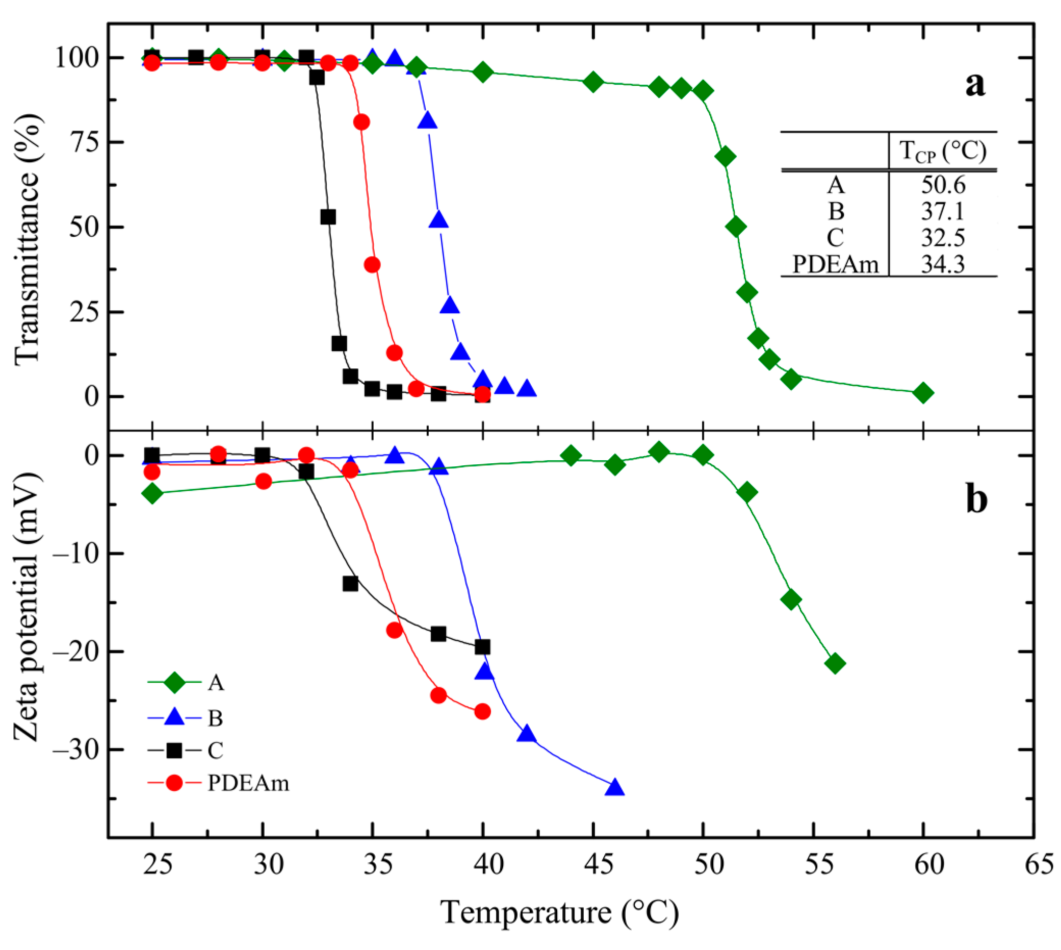
3.2. Analysis of the Phase Transition in Aqueous Solution
4. Conclusions
Supplementary Materials
Author Contributions
Funding
Institutional Review Board Statement
Data Availability Statement
Acknowledgments
Conflicts of Interest
References
- Afroze, F.; Nies, E.; Berghmans, H. Phase Transitions in the System Poly(N-Isopropylacrylamide)/Water and Swelling Behaviour of the Corresponding Networks. J. Mol. Struct. 2000, 554, 55–68. [Google Scholar] [CrossRef]
- Matsumoto, M.; Wakabayashi, R.; Tada, T.; Asoh, T.-A.; Shoji, T.; Kitamura, N.; Tsuboi, Y. Rapid Phase Separation in Aqueous Solution of Temperature-Sensitive Poly(N,N-Diethylacrylamide). Macromol. Chem. Phys. 2016, 217, 2576–2583. [Google Scholar] [CrossRef]
- Chen, S.; Wang, K.; Zhang, W. A New Thermoresponsive Polymer of Poly(N-Acryloylsarcosine Methyl Ester) with a Tunable LCST. Polym. Chem. 2017, 8, 3090–3101. [Google Scholar] [CrossRef]
- Vega-Chacón, J.; Arbeláez, M.I.A.; Jorge, J.H.; Marques, R.F.C.; Jafelicci, M. pH-Responsive Poly(Aspartic Acid) Hydrogel-Coated Magnetite Nanoparticles for Biomedical Applications. Mater. Sci. Eng. C 2017, 77, 366–373. [Google Scholar] [CrossRef]
- Chen, J.; Liu, M.; Liu, H.; Ma, L.; Gao, C.; Zhu, S.; Zhang, S. Synthesis and Properties of Thermo- and pH-Sensitive Poly(Diallyldimethylammonium Chloride)/Poly(N,N-Diethylacrylamide) Semi-IPN Hydrogel. Chem. Eng. J. 2010, 159, 247–256. [Google Scholar] [CrossRef]
- Indulekha, S.; Arunkumar, P.; Bahadur, D.; Srivastava, R. Dual Responsive Magnetic Composite Nanogels for Thermo-Chemotherapy. Colloids Surf. B: Biointerfaces 2017, 155, 304–313. [Google Scholar] [CrossRef] [PubMed]
- Blasco, E.; Schmidt, B.V.K.J.; Barner-Kowollik, C.; Piñol, M.; Oriol, L. Dual Thermo- and Photo-Responsive Micelles Based on Miktoarm Star Polymers. Polym. Chem. 2013, 4, 4506–4514. [Google Scholar] [CrossRef]
- Hao, Y.; Meng, J.; Wang, S. Photo-Responsive Polymer Materials for Biological Applications. Chin. Chem. Lett. 2017, 28, 2085–2091. [Google Scholar] [CrossRef]
- Yesilyurt, V.; Webber, M.J.; Appel, E.A.; Godwin, C.; Langer, R.; Anderson, D.G. Injectable Self-Healing Glucose-Responsive Hydrogels with pH-Regulated Mechanical Properties. Adv. Mater. 2016, 28, 86–91. [Google Scholar] [CrossRef]
- Aguilar, M.R.; San Román, J. Introduction to Smart Polymers and Their Applications. In Smart Polymers and Their Applications; Woodhead Publishing: Duxford, UK, 2019; pp. 1–11. ISBN 978-0-08-102416-4. [Google Scholar]
- Lanzalaco, S.; Armelin, E. Poly(N-Isopropylacrylamide) and Copolymers: A Review on Recent Progresses in Biomedical Applications. Gels 2017, 3, 36. [Google Scholar] [CrossRef]
- Li, L.; Yan, B.; Yang, J.; Chen, L.; Zeng, H. Novel Mussel-Inspired Injectable Self-Healing Hydrogel with Anti-Biofouling Property. Adv. Mater. 2015, 27, 1294–1299. [Google Scholar] [CrossRef] [PubMed]
- Lima, L.H.; Morales, Y.; Cabral, T. Ocular Biocompatibility of Poly-N-Isopropylacrylamide (pNIPAM). J. Ophthalmol. 2016, 2016, e5356371. [Google Scholar] [CrossRef] [PubMed]
- Fujimoto, K.L.; Ma, Z.; Nelson, D.M.; Hashizume, R.; Guan, J.; Tobita, K.; Wagner, W.R. Synthesis, Characterization and Therapeutic Efficacy of a Biodegradable, Thermoresponsive Hydrogel Designed for Application in Chronic Infarcted Myocardium. Biomaterials 2009, 30, 4357–4368. [Google Scholar] [CrossRef] [PubMed]
- Mizutani, A.; Kikuchi, A.; Yamato, M.; Kanazawa, H.; Okano, T. Preparation of Thermoresponsive Polymer Brush Surfaces and Their Interaction with Cells. Biomaterials 2008, 29, 2073–2081. [Google Scholar] [CrossRef] [PubMed]
- Tan, H.; Ramirez, C.M.; Miljkovic, N.; Li, H.; Rubin, J.P.; Marra, K.G. Thermosensitive Injectable Hyaluronic Acid Hydrogel for Adipose Tissue Engineering. Biomaterials 2009, 30, 6844–6853. [Google Scholar] [CrossRef] [PubMed]
- Yang, J.; Shen, D.; Zhou, L.; Li, W.; Li, X.; Yao, C.; Wang, R.; El-Toni, A.M.; Zhang, F.; Zhao, D. Spatially Confined Fabrication of Core–Shell Gold Nanocages@Mesoporous Silica for Near-Infrared Controlled Photothermal Drug Release. Chem. Mater. 2013, 25, 3030–3037. [Google Scholar] [CrossRef]
- Dai, Y.; Ma, P.; Cheng, Z.; Kang, X.; Zhang, X.; Hou, Z.; Li, C.; Yang, D.; Zhai, X.; Lin, J. Up-Conversion Cell Imaging and pH-Induced Thermally Controlled Drug Release from NaYF4:Yb3+/Er3+@Hydrogel Core–Shell Hybrid Microspheres. ACS Nano 2012, 6, 3327–3338. [Google Scholar] [CrossRef] [PubMed]
- Cui, H.; Liu, Y.; Cheng, Y.; Zhang, Z.; Zhang, P.; Chen, X.; Wei, Y. In Vitro Study of Electroactive Tetraaniline-Containing Thermosensitive Hydrogels for Cardiac Tissue Engineering. Biomacromolecules 2014, 15, 1115–1123. [Google Scholar] [CrossRef] [PubMed]
- Tanaka, T. Collapse of Gels and the Critical Endpoint. Phys. Rev. Lett. 1978, 40, 820–823. [Google Scholar] [CrossRef]
- Hirokawa, Y.; Tanaka, T. Volume Phase Transition in a Nonionic Gel. J. Chem. Phys. 1984, 81, 6379–6380. [Google Scholar] [CrossRef]
- Hirotsu, S.; Hirokawa, Y.; Tanaka, T. Volume-phase Transitions of Ionized N-isopropylacrylamide Gels. J. Chem. Phys. 1987, 87, 1392–1395. [Google Scholar] [CrossRef]
- Platé, N.A.; Lebedeva, T.L.; Valuev, L.I. Lower Critical Solution Temperature in Aqueous Solutions of N-Alkyl-Substituted Polyacrylamides. Polym. J. 1999, 31, 21–27. [Google Scholar] [CrossRef]
- Hirano, T.; Li, M.; Maeda, K.; Oshimura, M.; Ute, K. Unusually Large Hysteresis in Temperature-Responsive Phase-Transition Behavior of Aqueous Solutions of Isotactic Copolymers Comprising N-Ethylacrylamide and N-Isopropylacrylamide. Polymer 2020, 198, 122530. [Google Scholar] [CrossRef]
- Fujishige, S.; Kubota, K.; Ando, I. Phase Transition of Aqueous Solutions of Poly(N-Isopropylacrylamide) and Poly(N-Isopropylmethacrylamide). J. Phys. Chem. 1989, 93, 3311–3313. [Google Scholar] [CrossRef]
- Lessard, D.G.; Ousalem, M.; Zhu, X.X. Effect of the Molecular Weight on the Lower Critical Solution Temperature of Poly(N,N-Diethylacrylamide) in Aqueous Solutions. Can. J. Chem. 2001, 79, 1870–1874. [Google Scholar] [CrossRef]
- Xue, W.; Huglin, M.B.; Jones, T.G.J. Parameters Affecting the Lower Critical Solution Temperature of Linear and Crosslinked Poly(N-Ethylacrylamide) in Aqueous Media. Macromol. Chem. Phys. 2003, 204, 1956–1965. [Google Scholar] [CrossRef]
- Watanabe, R.; Takaseki, K.; Katsumata, M.; Matsushita, D.; Ida, D.; Osa, M. Characterization of Poly(N,N-Diethylacrylamide) and Cloud Points in Its Aqueous Solutions. Polym. J. 2016, 48, 621–628. [Google Scholar] [CrossRef]
- Chen, S.; Zhang, Y.; Wang, K.; Zhou, H.; Zhang, W. N-Ester-Substituted Polyacrylamides with a Tunable Lower Critical Solution Temperature (LCST): The N-Ester-Substitute Dependent Thermoresponse. Polym. Chem. 2016, 7, 3509–3519. [Google Scholar] [CrossRef]
- Hirano, T.; Ono, A.; Yamamoto, H.; Mori, T.; Maeda, Y.; Oshimura, M.; Ute, K. Effect of Composition and Stereoregularity on Phase-Transition Behavior of Aqueous N-Ethylacrylamide/N-n-Propylacrylamide Copolymer Solutions. Polymer 2013, 54, 5601–5608. [Google Scholar] [CrossRef]
- Gao, Y.; Yang, J.; Ding, Y.; Ye, X. Effect of Urea on Phase Transition of Poly(N-Isopropylacrylamide) Investigated by Differential Scanning Calorimetry. J. Phys. Chem. B 2014, 118, 9460–9466. [Google Scholar] [CrossRef]
- Wang, J.; Liu, B.; Ru, G.; Bai, J.; Feng, J. Effect of Urea on Phase Transition of Poly(N-Isopropylacrylamide) and Poly(N,N-Diethylacrylamide) Hydrogels: A Clue for Urea-Induced Denaturation. Macromolecules 2016, 49, 234–243. [Google Scholar] [CrossRef]
- Ma, B.; Wang, L.; Han, L.; Cai, W.; Shao, X. Understanding the Effect of Urea on the Phase Transition of Poly(N-Isopropylacrylamide) in Aqueous Solution by Temperature-Dependent near-Infrared Spectroscopy. Spectrochim. Acta Part A Mol. Biomol. Spectrosc. 2021, 253, 119573. [Google Scholar] [CrossRef] [PubMed]
- Keerl, M.; Richtering, W. Synergistic Depression of Volume Phase Transition Temperature in Copolymer Microgels. Colloid. Polym. Sci. 2007, 285, 471–474. [Google Scholar] [CrossRef]
- Keerl, M.; Smirnovas, V.; Winter, R.; Richtering, W. Copolymer Microgels from Mono- and Disubstituted Acrylamides: Phase Behavior and Hydrogen Bonds. Macromolecules 2008, 41, 6830–6836. [Google Scholar] [CrossRef]
- Cao, Y.; Zhao, N.; Wu, K.; Zhu, X.X. Solution Properties of a Thermosensitive Triblock Copolymer of N-Alkyl Substituted Acrylamides. Langmuir 2009, 25, 1699–1704. [Google Scholar] [CrossRef]
- Fernández-Quiroz, D.; González-Gómez, Á.; Lizardi-Mendoza, J.; Vázquez-Lasa, B.; Goycoolea, F.M.; San Román, J.; Argüelles-Monal, W.M. Effect of the Molecular Architecture on the Thermosensitive Properties of Chitosan-g-Poly(N-Vinylcaprolactam). Carbohydr. Polym. 2015, 134, 92–101. [Google Scholar] [CrossRef] [PubMed]
- Fernández-Quiroz, D.; González-Gómez, Á.; Lizardi-Mendoza, J.; Vázquez-Lasa, B.; Goycoolea, F.M.; Román, J.S.; Argüelles-Monal, W.M. Conformational Study on the Thermal Transition of Chitosan-g-Poly(N-Vinylcaprolactam) in Aqueous Solution. Colloid. Polym. Sci. 2016, 294, 555–563. [Google Scholar] [CrossRef]
- Hashimoto, C.; Nagamoto, A.; Maruyama, T.; Kariyama, N.; Irisa, Y.; Ikehata, A.; Ozaki, Y. Hydration States of Poly(N-Isopropylacrylamide) and Poly(N,N-Diethylacrylamide) and Their Monomer Units in Aqueous Solutions with Lower Critical Solution Temperatures Studied by Infrared Spectroscopy. Macromolecules 2013, 46, 1041–1053. [Google Scholar] [CrossRef]
- Simakova, A.; Averick, S.E.; Konkolewicz, D.; Matyjaszewski, K. Aqueous ARGET ATRP. Macromolecules 2012, 45, 6371–6379. [Google Scholar] [CrossRef]
- Abraham, R.J.; Griffiths, L.; Perez, M. 1H NMR Spectra. Part 30: 1H Chemical Shifts in Amides and the Magnetic Anisotropy, Electric Field and Steric Effects of the Amide Group. Magn. Reson. Chem. 2013, 51, 143–155. [Google Scholar] [CrossRef]
- Zakharova, N.V.; Simonova, M.A.; Zelinskii, S.N.; Annenkov, V.V.; Filippov, A.P. Synthesis, Molecular Characteristics, and Stimulus-Sensitivity of Graft Copolymer of Chitosan and Poly(N,N-Diethylacrylamide). J. Mol. Liq. 2019, 292, 111355. [Google Scholar] [CrossRef]
- Liu, H.Y.; Zhu, X.X. Lower Critical Solution Temperatures of N-Substituted Acrylamide Copolymers in Aqueous Solutions. Polymer 1999, 40, 6985–6990. [Google Scholar] [CrossRef]
- Mori, H.; Matsuyama, M.; Sutoh, K.; Endo, T. RAFT Polymerization of Acrylamide Derivatives Containing L-Phenylalanine Moiety. Macromolecules 2006, 39, 4351–4360. [Google Scholar] [CrossRef]
- Lessard, D.G.; Ousalem, M.; Zhu, X.X.; Eisenberg, A.; Carreau, P.J. Study of the Phase Transition of Poly(N,N-Diethylacrylamide) in Water by Rheology and Dynamic Light Scattering. J. Polym. Sci. B Polym. Phys. 2003, 41, 1627–1637. [Google Scholar] [CrossRef]
- Djokpé, E.; Vogt, W. N-Isopropylacrylamide and N-Isopropylmethacryl-Amide: Cloud Points of Mixtures and Copolymers. Macromol. Chem. Phys. 2001, 202, 750–757. [Google Scholar] [CrossRef]
- Fang, J.; Bian, F.; Shen, W. A Study on Solution Properties of Poly(N,N-Diethylacrylamide-Co-Acrylic Acid). J. Appl. Polym. Sci. 2008, 110, 3373–3378. [Google Scholar] [CrossRef]
- Maeda, Y.; Yamamoto, H.; Ikeda, I. Effects of Ionization on the Phase Behavior of Poly(N-Isopropylacrylamide-Co-Acrylic Acid) and Poly(N,N-Diethylacrylamide-Co-Acrylic Acid) in Water. Colloid. Polym. Sci. 2004, 282, 1268–1273. [Google Scholar] [CrossRef]
- Liang, W.; García-Peñas, A.; Sharma, G.; Kumar, A.; Stadler, F.J. Competition between Physical Cross-Linking and Phase Transition Temperature in Blends Based on Poly(N-Isopropylacrylamide-Co-N-Ethylacrylamide) Copolymers and Carboxymethyl Cellulose. Macromol. Chem. Phys. 2020, 221, 2000081. [Google Scholar] [CrossRef]
- Biswas, C.S.; Wang, Q.; Du, B.; Stadler, F.J. Sorption and Desorption Properties of Random Copolymer Hydrogels of N-Isopropylacrylamide and N-Ethylacrylamide: Effect of Monomer Composition. J. Appl. Polym. Sci. 2017, 134, 45176. [Google Scholar] [CrossRef]
- Utashiro, Y.; Takiguchi, M.; Satoh, M. Zeta Potential of PNIPAM Microgel Particles Dispersed in Water—Effects of Charged Radical Initiators vs. OH− Ion. Adsorption. Colloid. Polym. Sci. 2017, 295, 45–52. [Google Scholar] [CrossRef]
- Pelton, R.H.; Pelton, H.M.; Morphesis, A.; Rowell, R.L. Particle Sizes and Electrophoretic Mobilities of Poly(N-Isopropylacrylamide) Latex. Langmuir 1989, 5, 816–818. [Google Scholar] [CrossRef]
- Vácha, R.; Zangi, R.; Engberts, J.B.F.N.; Jungwirth, P. Water Structuring and Hydroxide Ion Binding at the Interface between Water and Hydrophobic Walls of Varying Rigidity and van Der Waals Interactions. J. Phys. Chem. C 2008, 112, 7689–7692. [Google Scholar] [CrossRef]
- Zangi, R.; Engberts, J.B.F.N. Physisorption of Hydroxide Ions from Aqueous Solution to a Hydrophobic Surface. J. Am. Chem. Soc. 2005, 127, 2272–2276. [Google Scholar] [CrossRef] [PubMed]
- Pica, A.; Graziano, G. Why Does Urea Have a Different Effect on the Collapse Temperature of PDEAM and PNIPAM? J. Mol. Liq. 2019, 285, 204–212. [Google Scholar] [CrossRef]
- Bao, H.; Li, L.; Leong, W.C.; Gan, L.H. Thermo-Responsive Association of Chitosan-Graft-Poly(N-Isopropylacrylamide) in Aqueous Solutions. J. Phys. Chem. B 2010, 114, 10666–10673. [Google Scholar] [CrossRef]











| Sample | X (M1) a | m (M1) (g) | m (M2) (g) | Rm (mol-%) b | Yield (%) |
|---|---|---|---|---|---|
| PNEAm | 0.00 | 0.0000 | 1.779 | 0.71 | 77.1 |
| A | 0.21 | 0.7502 | 2.2546 | 0.74 | 65.2 |
| B | 0.44 | 1.5048 | 1.5136 | 0.79 | 77.2 |
| C | 0.70 | 2.2528 | 0.7502 | 0.85 | 54.8 |
| PDEAm | 1.00 | 2.9982 | 0.0000 | 0.89 | 73.6 |
| Sample | XDEAm R | XDEAm C |
|---|---|---|
| PNEAm | 0.00 | 0.00 |
| A | 0.21 | 0.28 |
| B | 0.44 | 0.57 |
| C | 0.70 | 0.70 |
| PDEAm | 1.00 | 1.00 |
| DLS Mw (kDa) | DP * | SEC Mass Recovery (%) | SEC Mw (kDa) | SEC Mw/Mn Polydispersity Index | |
|---|---|---|---|---|---|
| PNEAm | 20.0 | 201 | 91.7 | 19.3 | 1.58 |
| A | 28.0 | 261 | 90.2 | 30.8 | 1.38 |
| B | 26.6 | 231 | 88.5 | 25.4 | 1.29 |
| C | 31.2 | 263 | 17.7 | — | — |
| PDEAm | 24.7 | 194 | 5.5 | — | — |
Disclaimer/Publisher’s Note: The statements, opinions and data contained in all publications are solely those of the individual author(s) and contributor(s) and not of MDPI and/or the editor(s). MDPI and/or the editor(s) disclaim responsibility for any injury to people or property resulting from any ideas, methods, instructions or products referred to in the content. |
© 2024 by the authors. Licensee MDPI, Basel, Switzerland. This article is an open access article distributed under the terms and conditions of the Creative Commons Attribution (CC BY) license (https://creativecommons.org/licenses/by/4.0/).
Share and Cite
Coca-Hidalgo, J.J.; Recillas-Mota, M.; Fernández-Quiroz, D.; Lizardi-Mendoza, J.; Peniche-Covas, C.; Goycoolea, F.M.; Argüelles-Monal, W.M. Study of the Thermal Phase Transition of Poly(N,N-diethylacrylamide-co-N-ethylacrylamide) Random Copolymers in Aqueous Solution. Polymers 2024, 16, 1575. https://doi.org/10.3390/polym16111575
Coca-Hidalgo JJ, Recillas-Mota M, Fernández-Quiroz D, Lizardi-Mendoza J, Peniche-Covas C, Goycoolea FM, Argüelles-Monal WM. Study of the Thermal Phase Transition of Poly(N,N-diethylacrylamide-co-N-ethylacrylamide) Random Copolymers in Aqueous Solution. Polymers. 2024; 16(11):1575. https://doi.org/10.3390/polym16111575
Chicago/Turabian StyleCoca-Hidalgo, José Javier, Maricarmen Recillas-Mota, Daniel Fernández-Quiroz, Jaime Lizardi-Mendoza, Carlos Peniche-Covas, Francisco M. Goycoolea, and Waldo M. Argüelles-Monal. 2024. "Study of the Thermal Phase Transition of Poly(N,N-diethylacrylamide-co-N-ethylacrylamide) Random Copolymers in Aqueous Solution" Polymers 16, no. 11: 1575. https://doi.org/10.3390/polym16111575
APA StyleCoca-Hidalgo, J. J., Recillas-Mota, M., Fernández-Quiroz, D., Lizardi-Mendoza, J., Peniche-Covas, C., Goycoolea, F. M., & Argüelles-Monal, W. M. (2024). Study of the Thermal Phase Transition of Poly(N,N-diethylacrylamide-co-N-ethylacrylamide) Random Copolymers in Aqueous Solution. Polymers, 16(11), 1575. https://doi.org/10.3390/polym16111575

